Experimental and Numerical Study on Dynamic Characteristics of Droplet Impacting on a Hot Tailings Surface
Abstract
:1. Introduction
2. Experimental Procedure
3. CFD Simulation
3.1. The Governing Equations
3.2. Numerical Model and Boundary Conditions
4. Results and Discussion
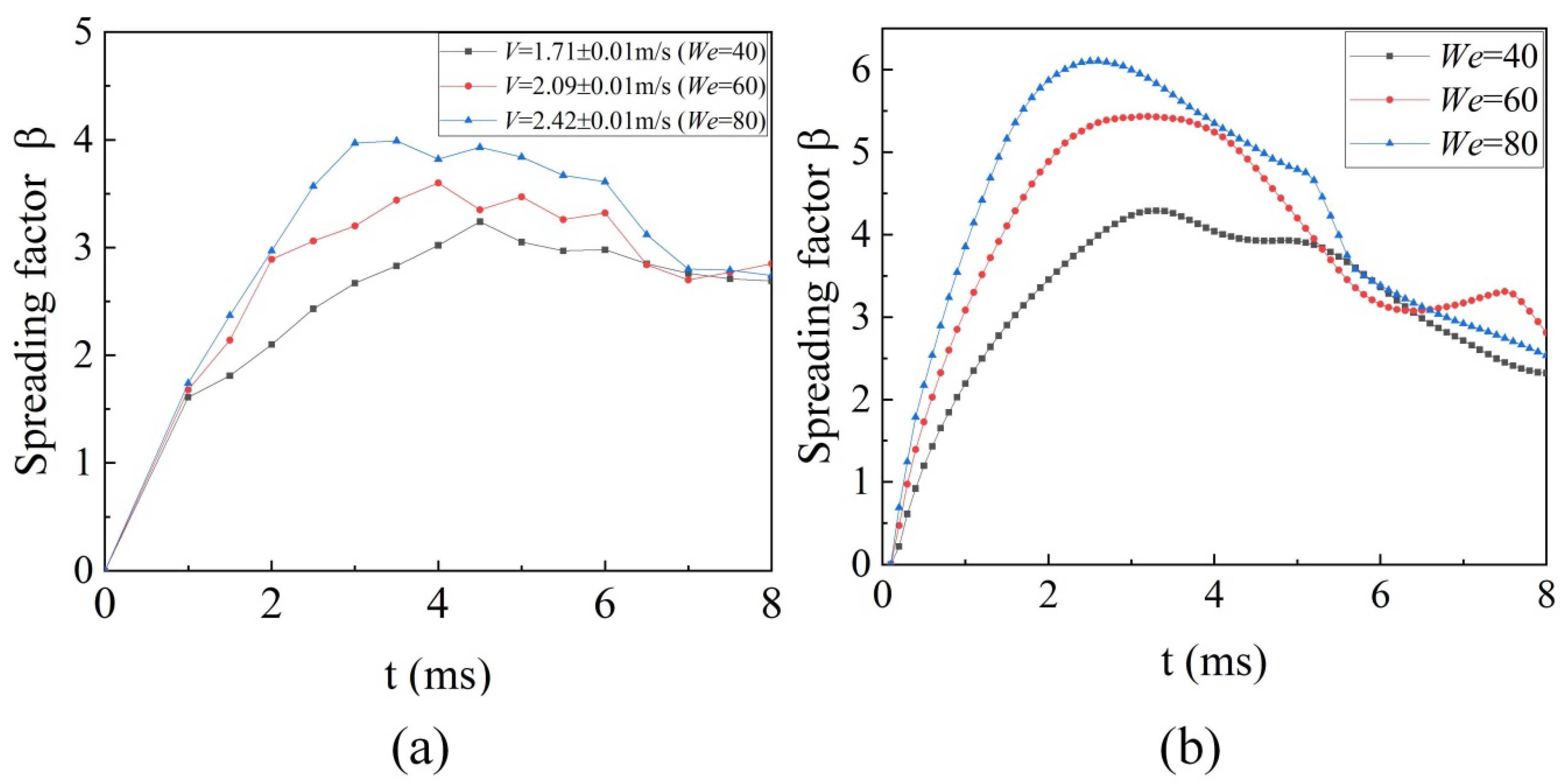
4.1. Comparison between Experiments and Simulation
4.2. Dynamic Behaviors Analysis
4.3. Spreading Characteristics Analysis
4.3.1. Effect of Droplet Diameters
4.3.2. Effect of Contact Angles
4.3.3. Effect of Surface-Tension Value
4.4. Scaling Analysis of Maximum Spreading Factor
5. Conclusions
- (1)
- Regarding the dynamic behaviors of droplets on the hot surface, the numerical model was validated as compared to the experimental results, using a high-speed camera. A good agreement of spreading factors with different impact velocities between the simulation and experiments was obtained.
- (2)
- The Weber number has an important effect on the fluid dynamics of droplets. When We is below 80, the main behaviors of droplets on the hot surface after impact include spread, retraction, and rebound. In addition, the larger Weber number (We > 80) results in the breakup and splash of the droplets after reaching the maximum spreading factor. The spreading motion and the dynamic characteristic of the droplet are mainly influenced by the pressure distribution inside the droplet. The distribution of velocity contour promotes heat transfer between the droplet and the surface.
- (3)
- Contact angles and surface tension coefficients are important parameters to influence the spreading characteristics. The hydrophobic property of the surface is enhanced with the increase of the contact angle, resulting in the reduction of droplet spreading factors. In addition, the maximum spreading factor decreases with the surface tension value rising at the spreading stage, and the droplet undergoes oscillation after retraction due to the larger surface tension.
Author Contributions
Funding
Institutional Review Board Statement
Informed Consent Statement
Data Availability Statement
Conflicts of Interest
References
- Nayak, S.K.; Mishra, P.C.; Parashar, S.K.S. Influence of spray characteristics on heat flux in dual phase spray impingement cooling of hot surface. Alex. Eng. J. 2016, 55, 1995–2004. [Google Scholar] [CrossRef]
- Clay, M.A.; Miksis, M.J. Effects of surfactant on droplet spreading. Phys. Fluids 2004, 16, 3070–3078. [Google Scholar] [CrossRef]
- Aziz, S.D.; Chandra, S. Impact recoil and splashing of molten metal droplets. Int. J. Heat Mass Transf. 2000, 43, 2841–2857. [Google Scholar] [CrossRef]
- Murao, Y.; Sugimoto, J. Correlation of heat-transfer coefficient for saturated film boiling during reflood phase prior to quenching. J. Nucl. Sci. Technol. 1981, 18, 275–284. [Google Scholar] [CrossRef]
- Liang, G.; Mudawar, I. Review of drop impact on heated walls. Int. J. Heat Mass Transf. 2017, 106, 103–126. [Google Scholar] [CrossRef]
- Moon, J.H.; Lee, J.B.; Lee, S.H. Dynamic behavior of non-newtonian droplets impinging on solid surfaces. Mater. Trans. 2013, 54, 260–265. [Google Scholar] [CrossRef]
- Wachters, L.H.J.; Smulders, L.; Vermeulen, J.R. The heat transfer from a hot wall to impinging water drops in the spheroidal state. Chem. Eng. Sci. 1966, 21, 1047–1056. [Google Scholar] [CrossRef]
- Clanet, C.; Béguin, C.; Richard, D.; Quéré, D. Maximal deformation of an impacting drop. J. Fluid Mech. 2004, 517, 199–208. [Google Scholar] [CrossRef]
- Borisov, V.T.; Cherepanov, A.N.; Predtechenskii, M.R.; Varlamov, Y.D. Effect of wettability on the behavior of a liquid drop after its collision with a solid substrate. J. Appl. Mech. Tech. Phys. 2003, 44, 803–808. [Google Scholar] [CrossRef]
- Raman, K.A.; Jaiman, R.K.; Lee, T.S.; Low, H.T. Lattice Boltzmann simulations of droplet impact onto surfaces with varying wettabilities. Int. J. Heat Mass Transf. 2016, 95, 336–354. [Google Scholar] [CrossRef]
- Tang, C.L.; Qin, M.X.; Weng, X.Y.; Zhang, X.H.; Zhang, P.; Li, J.L.; Huang, Z.H. Dynamics of droplet impact on solid surface with different roughness. Int. J. Multiph. Flow 2017, 96, 56–69. [Google Scholar] [CrossRef]
- Marengo, M.; Antonini, C.; Roisman, I.V.; Cameron, T. Drop collisions with simple and complex surfaces. Curr. Opin. Colloid Interface Sci. 2011, 16, 292–302. [Google Scholar] [CrossRef]
- Bai, C.; Gosman, A.D. Development of methodology for spray impingement simulation. SAE Tech. Pap. 1995, 104, 550–568. [Google Scholar] [CrossRef]
- Bernardin, J.D.; Mudawar, I. The Leidenfrost point: Experimental study and assessment of existing models. J. Heat Transf. 1999, 121, 894–903. [Google Scholar] [CrossRef]
- Tran, T.; Staat, H.J.J.; Prosperetti, A.; Sun, C.; Lohse, D. Drop impact on superheated surfaces. Phys. Rev. Lett. 2012, 108, 036101. [Google Scholar] [CrossRef]
- Quéré, D. Leidenfrost Dynamics. Annu. Rev. Fluid Mech. 2013, 45, 197–215. [Google Scholar] [CrossRef]
- Rioboo, R.; Marengo, M.; Tropea, C. Time evaluation of liquid drop impact onto solid dry surfaces. Exp. Fluids 2002, 33, 112–121. [Google Scholar] [CrossRef]
- Ogata, S.; Nakanishi, R. Effect of Surface Textures and Wettability on Droplet Impact on a Heated Surface. Processes 2021, 9, 350. [Google Scholar] [CrossRef]
- Cossali, G.E.; Coghe, A.; Marengo, M. The impact of a single drop on a wetted solid surface. Exp. Fluids 1997, 22, 463–472. [Google Scholar] [CrossRef]
- Naveen, P.T.; Simhadri, R.R.; Ranjith, S.K. Simultaneous Effect of Droplet Temperature and Surface Wettability on Single Drop Impact Dynamics. Fluid Dyn. 2020, 55, 640–652. [Google Scholar] [CrossRef]
- Ge, Y.; Fan, L.S. Three-dimensional simulation of impingement of a liquid droplet on a flat surface in the Leidenfrost regime. Phys. Fluids 2005, 17, 027104. [Google Scholar] [CrossRef]
- Strotos, G.; Aleksis, G.; Gavaises, M.; Nikas, K.S.; Nikolopoulos, N.; Theodorakakos, A. Non-dimensionalisation parameters for predicting the cooling effectiveness of dropletsimpacting on moderate temperature solid surfaces. Int. J. Therm. Sci. 2011, 50, 698–711. [Google Scholar] [CrossRef]
- Jeong, H.J.; Hwang, W.R.; Kim, C.; Kim, S.J. Numerical simulations of capillary spreading of a particle-laden droplet on a solid surface. J. Mater. Process. Technol. 2010, 210, 297–305. [Google Scholar] [CrossRef]
- Jeong, H.J.; Hwang, W.R.; Kim, C. Numerical simulations of the impact and spreading of a particulate drop on a solid substrate. Modell. Simul. Mater. Sci. Eng. 2012, 68791. [Google Scholar] [CrossRef]
- Malgarinos, I.; Nikolopoulos, N.; Marengo, M.; Antonini, C.; Gavaises, M. VOF simulations of the contact angle dynamics during the drop spreading: Standard models and a new wetting force model. Adv. Colloid Interface Sci. 2014, 212, 1–20. [Google Scholar] [CrossRef] [PubMed]
- Wang, F.; Wang, L.; Chen, G. Analysis of Oil Droplet Deposition Characteristics and Determination of Impact State Criterion in Aero-Engine Bearing Chamber. Processes 2020, 8, 741. [Google Scholar] [CrossRef]
- Guo, J.-H.; Dai, S.-Q. Numerical simulation on the mechanism of the normal impact of two droplets onto a thin film. J. Shanghai Univ. 2007, 11, 210–212. [Google Scholar] [CrossRef]
- Jin, Y.; Zhou, H.; Zhu, L.; Li, Z. Dynamics of Single Droplet Splashing on Liquid Film by Coupling FVM with VOF. Processes 2021, 9, 841. [Google Scholar] [CrossRef]
- Abubakar, A.A.; Yilbas, B.S.; Hussain, A.; Qahtani, M.; Hassan, G.; Yakubu, M.; Bahatab, S.; Adukwu, J.A.E. Experimental and Model Studies of Various Size Water Droplet Impacting on a Hydrophobic Surface. J. Fluids Eng. 2021, 143, 061402. [Google Scholar] [CrossRef]
- Shakeri, S.; Chandra, S. Splashing of molten tin droplets on a rough steel surface. Int. J. Heat Mass Transf. 2002, 45, 4561–4575. [Google Scholar] [CrossRef]
- Wang, X.; Yu, W.; Wang, M.; Wang, F.F.; Wu, B.L. Spreading behavior of Sn droplets impacting Cu and stainless steel substrates. Surf. Interfaces 2022, 29, 101790. [Google Scholar] [CrossRef]
- Mitchell, B.R.; Bate, T.E.; Klewicki, J.C.; Korkolis, Y.P.; Kinsey, B.L. Experimental investigation of droplet impact on metal surfaces in reduced ambient pressure. Procedia Manuf. 2017, 10, 730–736. [Google Scholar] [CrossRef]
- Zhao, Y.; Wen, L.; Su, L.; Liu, B.; Wang, J.; Hu, L. Dynamics Behaviors of Droplets Impacting on a Heated Tailings Surface. In Proceedings of the 12th International Symposium on High-Temperature Metallurgical Processing, Anaheim, CA, USA, 27 February–3 March 2022. [Google Scholar]
- Negeed, E.-S.R.; Albeirutty, M.; Takata, Y. Dynamic behavior of micrometric single water droplets impacting onto heated surfaces with TiO2 hydrophilic coating. Int. J. Therm. Sci. 2014, 79, 1–17. [Google Scholar] [CrossRef]
- Brackbill, J.; Kothe, D.; Zemach, C. A continuum method for modeling surface tension. J. Comput. Phys. 1992, 100, 335–354. [Google Scholar] [CrossRef]
- Fluent, I.A. User Guide; Ansys Inc.: Canonburg, PA, USA, 2016. [Google Scholar]
- Graessel, K.; Bächer, C.; Gekle, S. Rayleigh-Plateau instability of anisotropic interfaces. Part 1. An analytical and numerical study of fluid interfaces. J. Fluid Mech. 2021, 910, A46. [Google Scholar] [CrossRef]
- Akao, F.; Araki, K.; Mori, S.; Moriyama, A. Deformation behaviors of a liquid droplet impinging onto hot metal surface. Trans. Iron Steel Inst. Jpn. 1980, 20, 737–743. [Google Scholar] [CrossRef]
- Wang, Z.F.; Xiong, J.; Yao, W.; Qu, W.; Yang, Y. Experimental investigation on the Leidenfrost Phenomenon of droplet impact on heated silicon carbide surfaces. Int. J. Heat Mass Transf. 2019, 128, 1206–1217. [Google Scholar] [CrossRef]
- Jowkar, S.; Morad, M.R. Water drop impact on a semi-cylindrical convex hot surface for a diameter ratio of unity. Exp. Therm. Fluid Sci. 2019, 106, 68–77. [Google Scholar] [CrossRef]
- Zhao, P.; Hargrave, G.K.; Versteeg, H.K.; Garner, C.P.; Reid, B.A.; Long, E.J.; Zhao, H. The dynamics of droplet impact on a heated porous surface. Chem. Eng. Sci. 2018, 190, 232–247. [Google Scholar] [CrossRef] [Green Version]










| Materials | Air | Water (Liquid) | Extracted Titanium Tailings |
|---|---|---|---|
| Density, kg·m−3 | 1.225 | 998.2 | 2600 |
| specific heat, kJ·kg−1·K−1 | 1.006 | 4.182 | 0.74 |
| thermal conductivity, kw·m−1·K−1 | 0.024 | 0.600 | 1.38 |
| Viscosity, Pa·s−1 | 1.790 × 10−5 | 1.005 × 10−3 | - |
Publisher’s Note: MDPI stays neutral with regard to jurisdictional claims in published maps and institutional affiliations. |
© 2022 by the authors. Licensee MDPI, Basel, Switzerland. This article is an open access article distributed under the terms and conditions of the Creative Commons Attribution (CC BY) license (https://creativecommons.org/licenses/by/4.0/).
Share and Cite
Zhao, Y.; Wen, L.; Zhang, Y.; Liu, B.; Yang, H.; Deng, Q. Experimental and Numerical Study on Dynamic Characteristics of Droplet Impacting on a Hot Tailings Surface. Processes 2022, 10, 1766. https://doi.org/10.3390/pr10091766
Zhao Y, Wen L, Zhang Y, Liu B, Yang H, Deng Q. Experimental and Numerical Study on Dynamic Characteristics of Droplet Impacting on a Hot Tailings Surface. Processes. 2022; 10(9):1766. https://doi.org/10.3390/pr10091766
Chicago/Turabian StyleZhao, Yan, Liangying Wen, Yuefeng Zhang, Bo Liu, Huan Yang, and Qingyu Deng. 2022. "Experimental and Numerical Study on Dynamic Characteristics of Droplet Impacting on a Hot Tailings Surface" Processes 10, no. 9: 1766. https://doi.org/10.3390/pr10091766
APA StyleZhao, Y., Wen, L., Zhang, Y., Liu, B., Yang, H., & Deng, Q. (2022). Experimental and Numerical Study on Dynamic Characteristics of Droplet Impacting on a Hot Tailings Surface. Processes, 10(9), 1766. https://doi.org/10.3390/pr10091766
