Transient Pressure Behavior of Volume Fracturing Horizontal Wells in Fractured Stress-Sensitive Tight Oil Reservoirs
Abstract
:1. Introduction
2. Materials and Methods
2.1. Mathematical Model of Oil Reservoir Seepage
2.2. Mathematical Model of Seepage within Complex Fracture Networks
2.3. Mathematical Model for Coupled Seepage in Volume Fracturing Horizontal Wells of Tight Oil Reservoirs
3. Results
3.1. Seepage Staging of Volume Fracturing Horizontal Well in Tight Oil Reservoir
3.2. Sensitivity Analysis
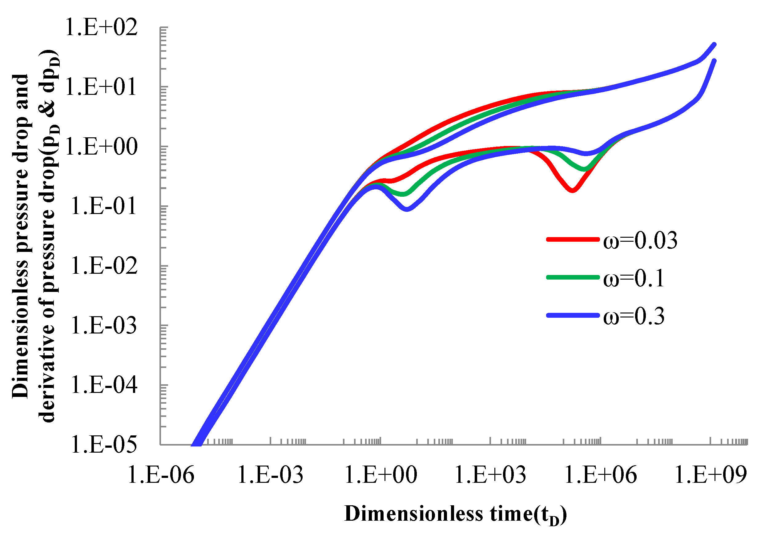
3.2.1. Stress Sensitivity Factor Analysis
3.2.2. Wellbore Storage Factor Sensitivity Analysis
3.2.3. Sensitivity Analysis of Skin Coefficients
3.2.4. Storage Capacity Ratio Sensitivity Analysis
3.2.5. Sensitivity Analysis of Channeling Flow Coefficient
3.2.6. Sensitivity Analysis of Permeability of Volumetric Fracture Network
4. Discussion
5. Conclusions
- (1)
- The wellbore storage factor mainly affects the wellbore storage phase flow, the larger the wellbore storage factor, the longer the duration of the wellbore storage flow. The well skin has a greater impact on later development; the larger the skin coefficient, the greater the well pressure drop.
- (2)
- Formation stress sensitivity mainly affects the seepage characteristics of wells in the late development period. The larger the stress sensitivity coefficient is, the larger the upwarping amplitude of the dimensionless pressure drop derivative curve is.
- (3)
- The storage capacity ratio has a relatively large impact on the flow before the occurrence of channeling flow, and the depth of the “notch” on the pressure drop derivative curve becomes shallower as the storage capacity ratio increases. The channeling flow coefficient mainly affects the timing of the channeling flow phase. The larger the channeling flow coefficient, the earlier the channeling flow of the matrix system to the natural fracture system, and the more to the left the “notch” position.
Author Contributions
Funding
Conflicts of Interest
References
- Ashraf, U.; Zhang, H.; Anees, A.; Mangi, H.N.; Ali, M.; Zhang, X.; Imraz, M.; Abbasi, S.S.; Abbas, A.; Ullah, Z.; et al. A Core Logging, Machine Learning and Geostatistical Modeling Interactive Approach for Subsurface Imaging of Lenticular Geobodies in a Clastic Depositional System, SE Pakistan. Nonrenewable Resour. 2021, 30, 2807–2830. [Google Scholar] [CrossRef]
- Ashraf, U.; Zhang, H.; Anees, A.; Ali, M.; Zhang, X.; Abbasi, S.S.; Mangi, H.N. Controls on Reservoir Heterogeneity of a Shallow-Marine Reservoir in Sawan Gas Field, SE Pakistan: Implications for Reservoir Quality Prediction Using Acoustic Impedance Inversion. Water 2020, 12, 2972. [Google Scholar] [CrossRef]
- Fisher, M.K.; Heinze, J.R.; Harris, C.D.; Davidson, B.M.; Wright, C.A.; Dunn, K.P. Optimizing horizontal completion techniques in the barnett shale using microseismic fracture mapping. In Proceedings of the SPE Annual Technical Conference and Exhibition, Houston, TX, USA, 26−29 September 2004. [Google Scholar]
- Fatt, I.; Davis, T.H. Reduction in permeability with overburden pressure. J. Pet. Technol. 1952, 4, 16. [Google Scholar] [CrossRef]
- Ali, H.S.; Al-Marhoun, M.A.; Abu-Khamsin, S.A.; Celik, M.S. The effect of overburden pressure on relative permeability. In Proceedings of the Fifth SPE Middle East Oil Show, Manama, Bahrain, 7−10 March 1987. [Google Scholar]
- Gray, D.H.; Fatt, I. The Effect of Stress on Permeability of Sandstone Cores. Soc. Pet. Eng. J. 1963, 3, 95–100. [Google Scholar] [CrossRef]
- Vairogs, J.; Hearn, C.L.; Dareing, D.W.; Rhoades, V.W. Effect of Rock Stress on Gas Production From Low-Permeability Reservoirs. J. Pet. Technol. 1971, 23, 1161–1167. [Google Scholar] [CrossRef]
- Gringarten, A.C.; Ramey, H.J.; Raghavan, R. Unsteady-state pressure distributions created by a well with a single infinite-conductivity vertical fracture. SPE J. 1973, 14, 347–360. [Google Scholar] [CrossRef] [Green Version]
- Valko, P.P.; Amini, S. The method of distributed volumetric sources for calculating the transient and pseudosteady-state productivity of complex well-fracture configurations. In Proceedings of the 2007 SPE Hydraulic Fracturing Technology Conference, College Station, TX, USA, 29−31 January 2007. [Google Scholar]
- Chen, Z.M.; Liao, X.W.; Zhao, X.L.; Lv, S.B.; Zhu, L.T. A semi-analytical approach for obtaining type curves of multiple-fractured horizontal wells with secondary-fracture networks. SPE J. 2016, 21, 538–549. [Google Scholar] [CrossRef]
- Luo, W.J.; Tang, C.F. Pressure-transient analysis of multiwing fractures connected to a vertical wellbore. SPE J. 2014, 20, 360–367. [Google Scholar]
- Jia, P.; Cheng, L.S.; Huang, S.J.; Liu, H.J. Transient behavior of complex fracture networks. J. Pet. Sci. Eng. 2015, 132, 1–17. [Google Scholar] [CrossRef]
- Ren, Z.X.; Wu, X.D.; Liu, D.D.; Ray, R.; Guo, W.; Chen, Z.M.; Zhang, J.M.; Wu, X.J.; Zhang, H.; Tang, Z.G. Semi-analytical model of the transient pressure behavior of complex fracture networks in tight oil reservoirs. J. Nat. Gas Sci. Eng. 2016, 35, 497–508. [Google Scholar]
- Zhao, Y.L.; Zhang, L.H.; Liu, Y.H.; Hu, S.Y.; Liu, Q.G. Transient pressure analysis of fractured well in bi-zonal gas reservoirs. J. Hydrol. 2015, 524, 89–99. [Google Scholar] [CrossRef]
- Zhao, Y.-L.; Xie, S.-C.; Peng, X.; Zhang, L.-H. Transient pressure response of fractured horizontal wells in tight gas reservoirs with arbitrary shapes by the boundary element method. Environ. Earth Sci. 2016, 75, 1220. [Google Scholar] [CrossRef]
- Zhao, Y.L.; Zhang, L.H.; Shan, B.C. Mathematical model of fractured horizontal well in shale gas reservoir with rectangular stimulated reservoir volume. J. Nat. Gas Sci. Eng. 2018, 59, 67–79. [Google Scholar] [CrossRef]
- Xu, J.C.; Sun, B.J.; Chen, B.L. A hybrid embedded discrete fracture model for simulating tight porous media with complex fracture systems. J. Pet. Sci. Eng. 2019, 174, 131–143. [Google Scholar] [CrossRef]
- Al-Alwani, M.A.; Dunn-Norman, S.; Britt, L.K.; Alkinani, H.H.; Al-Hameedi, A.T.T.; Al-Attar, A.M.; Trevino, H.A.; Al-Bazzaz, W.H. Production Performance Evaluation from Stimulation and Completion Parameters in the Permian Basin: Data Mining Approach. In Proceedings of the Asia Pacific Unconventional Resources Technology Conference, Brisbane, Australia, 18−19 November 2019; pp. 995–1008. [Google Scholar]
- Chen, Z.; Shi, L. Parameter estimations of complex fracture networks using pressure transient analysis in fracturing-shutting data from shale oil wells. In Proceedings of the SPE/AAPG/SEG Unconventional Resources Technology Conference, Virtual, 20−22 July 2020. [Google Scholar]
- Cumming, J.A.; Botsas, T.; Jermyn, I.H.; Gringarten, A.C. Assessing the Non-uniqueness of a Well Test Interpretation Model Using a Bayesian Approach. In Proceedings of the 82nd EAGE Annual Conference & Exhibition. European Association of Geoscientists & Engineers, Virtual, 1−3 December 2020; pp. 1–23. [Google Scholar]
- Dong, P.; Chen, Z.; Liao, X.; Yu, W. Application of deep learning on well-test interpretation for identifying pressure behavior and characterizing reservoirs. J. Pet. Sci. Eng. 2021, 208, 109264. [Google Scholar] [CrossRef]
- Jia, P.; Cheng, L.; Clarkson, C.R.; Huang, S.; Wu, Y.; Williams-Kovacs, J.D. A novel method for interpreting water data during flowback and early-time production of multi-fractured horizontal wells in shale reservoirs. Int. J. Coal Geol. 2018, 200, 186–198. [Google Scholar] [CrossRef]
- Jia, P.; Cheng, L.S.; Clarkson, C.R.; Williams-Kovacs, J.D.; Wang, S.; Wang, D. Dynamic coupling of analytical linear flow solution and numerical fracture model for simulating early-time flowback of fractured tight oil wells (planar fracture and complex fracture network). J. Pet. Sci. Eng. 2019, 177, 1–23. [Google Scholar] [CrossRef]
- Ren, Z.X.; Yan, R.F.; Huang, X.; Liu, W.Q.; Yuan, S.B.; Xu, J.P.; Jiang, H.Y.; Zhang, J.M.; Yan, R.T.; Qu, Z. The transient pressure behavior model of multiple horizontal wells with complex fracture networks in tight oil reservoir. J. Pet. Sci. Eng. 2019, 173, 650–665. [Google Scholar] [CrossRef]
- Pedrosa, O.A. Pressure Transient Response in Stress-Sensitive Formations. In Proceedings of the Spe California Regional Meeting, Oakland, CA, USA, 2−4 April 1986. [Google Scholar]
- Ren, Z.X.; Wu, X.D.; Han, G.Q.; Liu, L.Y.; Wu, X.J.; Zhang, G.H.; Lin, H.; Zhang, J.M.; Zhang, X.W. Transient pressure behavior of multi-stage fractured horizontal wells in stress-sensitive tight oil reservoirs. J. Pet. Sci. Eng. 2017, 157, 1197–1208. [Google Scholar]
- Raghavan, R.S.; Chen, C.C.; Bijan, A. An Analysis of Horizontal Wells Intercepted by Multiple Fractures. SPE J. 1997, 2, 235–245. [Google Scholar] [CrossRef]
- Karimi-Fard, M.; Durlofsky, L.J.; Aziz, K. An Efficient Discrete-Fracture Model Applicable for General-Purpose Reservoir Simulators. SPE J. 2004, 9, 227–236. [Google Scholar] [CrossRef]
- Stehfest, H. Numerical inversion of laplace transforms. Commun. ACM 1970, 13, 47–49. [Google Scholar] [CrossRef]
- Cinco, L.; Samaniego, V.; Dominguez, A. Transient pressure behavior for a well with a finite-conductivity vertical fracture. Soc. Petrol. Eng. J. 1978, 18, 253–264. [Google Scholar] [CrossRef] [Green Version]
- Gringarten, A.C.; Ramey, H.J., Jr. Unsteady-state pressure distributions created by a well with a single horizontal fracture, partial penetration, or restricted entry. Soc. Petrol. Eng. J. 1974, 14, 413–426. [Google Scholar] [CrossRef]
- Horne, R.; Temeng, K.O. Relative productivities and pressure transient modeling of horizontal wells with multiple fractures. Middle East Oil Show. OnePetro 1995, 5, 563–574. [Google Scholar]
- Chu, H.; Liao, X.; Chen, Z.; Zhao, X.; Liu, W.; Zou, J. Pressure transient analysis in fractured reservoirs with poorly connected fractures. J. Nat. Gas Sci. Eng. 2019, 67, 30–42. [Google Scholar] [CrossRef]
- Xu, J.; Wu, K.; Li, R.; Li, Z.; Li, J.; Xu, Q.; Chen, Z. Real gas transport in shale matrix with fractal structures. Fuel 2018, 219, 353–363. [Google Scholar] [CrossRef]
- Xu, J.; Wu, K.; Li, R.; Li, Z.; Li, J.; Xu, Q.; Li, L.; Chen, Z. Nanoscale pore size distribution effects on gas production from fractal shale rocks. Fractals 2019, 27, 1950142. [Google Scholar] [CrossRef]
- Xu, J.; Chen, Z.; Li, R. Impacts of pore size distribution on gas injection in intraformational water zones in oil sands reservoirs. Oil Gas Sci. Technol.–Rev. d’IFP Energies Nouv. 2020, 75, 75. [Google Scholar] [CrossRef]








| Parameters | Values | Unit |
|---|---|---|
| Thickness of oil reservoir | 10 | m |
| Permeability in x-direction | 0.01 | mD |
| Permeability in y-direction | 0.01 | mD |
| Permeability of fracture | 1700 | mD |
| Channeling flow coefficient | 10−6 | Real number |
| Initial pressure of oil reservoir | 12 | MPa |
| Well production | 15.9 | m3/d |
| Porosity of oil reservoir | 0.1 | Real number |
| Volume coefficient | 1 | m3/m3 |
| Viscosity of crude oil | 1 | mPa.s |
| Compression coefficient | 4.35 × 10−4 | MPa−1 |
| Storage coefficient | 0.03 | Real number |
| Stress sensitivity coefficient | 0.1 | Dimensionless |
| Wellbore storage coefficient | 0.8 | Dimensionless |
| Skin coefficient | 0.5 | Dimensionless |
Publisher’s Note: MDPI stays neutral with regard to jurisdictional claims in published maps and institutional affiliations. |
© 2022 by the authors. Licensee MDPI, Basel, Switzerland. This article is an open access article distributed under the terms and conditions of the Creative Commons Attribution (CC BY) license (https://creativecommons.org/licenses/by/4.0/).
Share and Cite
Li, Z.; Yan, X.; Wen, M.; Bi, G.; Ma, N.; Ren, Z. Transient Pressure Behavior of Volume Fracturing Horizontal Wells in Fractured Stress-Sensitive Tight Oil Reservoirs. Processes 2022, 10, 953. https://doi.org/10.3390/pr10050953
Li Z, Yan X, Wen M, Bi G, Ma N, Ren Z. Transient Pressure Behavior of Volume Fracturing Horizontal Wells in Fractured Stress-Sensitive Tight Oil Reservoirs. Processes. 2022; 10(5):953. https://doi.org/10.3390/pr10050953
Chicago/Turabian StyleLi, Zhong, Xinjiang Yan, Min Wen, Gang Bi, Nan Ma, and Zongxiao Ren. 2022. "Transient Pressure Behavior of Volume Fracturing Horizontal Wells in Fractured Stress-Sensitive Tight Oil Reservoirs" Processes 10, no. 5: 953. https://doi.org/10.3390/pr10050953
APA StyleLi, Z., Yan, X., Wen, M., Bi, G., Ma, N., & Ren, Z. (2022). Transient Pressure Behavior of Volume Fracturing Horizontal Wells in Fractured Stress-Sensitive Tight Oil Reservoirs. Processes, 10(5), 953. https://doi.org/10.3390/pr10050953
