Nitric Oxide-Releasing NO–Curcumin Hybrid Inhibits Colon Cancer Cell Proliferation and Induces Cell Death In Vitro
Abstract
1. Introduction
2. Materials and Methods
2.1. Curcumin Extraction
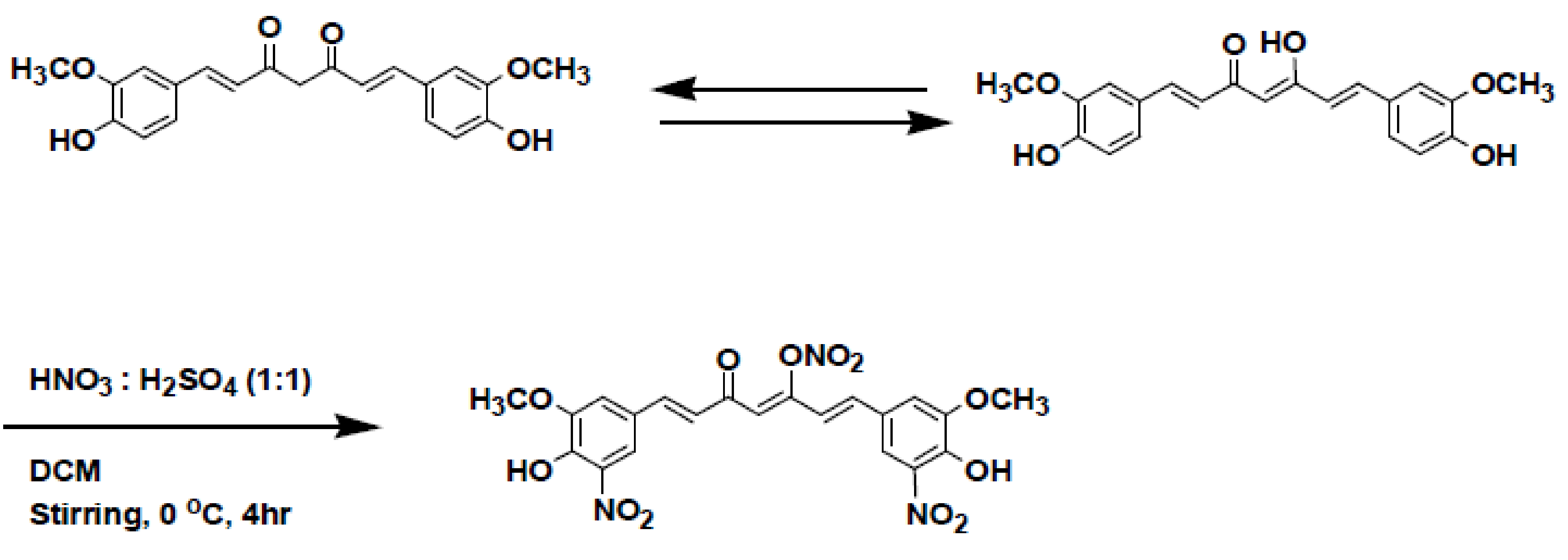
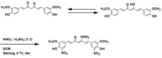
2.2. Synthesis, Purification, and NMR Analysis of Nitro-Oxy Curcumin
2.3. Assessment of Nitric Oxide Release
2.4. Cell Culture
2.5. Propidium Idodide Staining
2.6. Cell Count
2.7. XTT Assay and IC50 Determination
2.8. RNA Extraction, cDNA Synthesis, and Real-Time PCR
3. Results
3.1. Synthesis and Chemical Characterization of Nitro-Oxy Curcumin
3.2. NO–Curcumin Changes Cell Morphology and Cell Density
3.3. NO–Curcumin Has a More Potent Effect on Cell Proliferation and Cell Death Compared to Curcumin Alone
3.4. NO–Curcumin Has a Lower IC50 Compared to Curcumin Alone
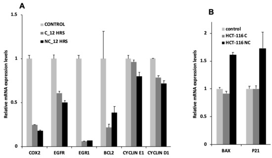
3.5. NO–Curcumin Reduces the Expression of Pro-Proliferative Genes and Increases the Expression of Pro-Apoptotic Genes
4. Discussion
5. Conclusions
Author Contributions
Funding
Institutional Review Board Statement
Informed Consent Statement
Data Availability Statement
Conflicts of Interest
References
- Ferlay, J.; Soerjomataram, I.; Ervik, M.; Dikshit, R.; Eser, S.; Mathers, C.; Rebelo, M.; Parkin, D.M.; Forman, D.; Bray, F. Cancer Incidence and Mortality Worldwide, in Globocan. Int. J. Cancer 2015, 136, E359–E386. [Google Scholar] [CrossRef] [PubMed]
- Mann, J. Natural products in cancer chemotherapy: Past, present and future. Nat. Rev. Cancer 2002, 2, 143–148. [Google Scholar] [CrossRef] [PubMed]
- Newman, D.J.; Cragg, G.M. Natural products as sources of new drugs from 1981 to 2014. J. Nat. Prod. 2016, 79, 629–661. [Google Scholar] [CrossRef] [PubMed]
- Ravindran, J.; Prasad, S.; Aggarwal, B.B. Curcumin and Cancer Cells: How Many Ways Can Curry Kill Tumor Cells Selectively? AAPS J. 2009, 11, 495–510. [Google Scholar] [CrossRef] [PubMed]
- Shishodia, S.; Chaturvedi, M.M.; Aggarwal, B.B. Role of Curcumin in Cancer Therapy. Curr. Probl. Cancer 2007, 31, 243–305. [Google Scholar] [CrossRef] [PubMed]
- Xie, B.; Zhao, L.; Guo, L.; Liu, H.; Fu, S.; Fan, W.; Lin, L.; Chen, J.; Wang, B.; Fan, L.; et al. Benzyl isothiocyanate suppresses development and metastasis of murine mammary carcinoma by regulating the Wnt/betacatenin pathway. Mol. Med. Rep. 2019, 20, 1808–1818. [Google Scholar] [PubMed]
- Jantarat, C. Bioavailability Enhancement Techniques of Herbal Medicine: A Case Example of Curcumin. Int. J. Pharm. Pharm. Sci. 2013, 5, 493–500. [Google Scholar]
- Tomeh, M.A.; Hadianamrei, R.; Zhao, X. A Review of Curcumin and Its Derivatives as Anticancer Agents. Int. J. Mol. Sci. 2019, 20, 1033. [Google Scholar] [CrossRef]
- Shakibaei, M.; Mobasheri, A.; Lueders, C.; Busch, F.; Shayan, P.; Goel, A. Curcumin enhances the effect of chemotherapy against colorectal cancer cells by inhibition of NF-kappaB and Src protein kinase signaling pathways. PLoS ONE 2013, 8, e57218. [Google Scholar] [CrossRef]
- Park, C.; Kim, G.Y.; Kim, G.D.; Choi, B.T.; Park, Y.M.; Choi, Y.H. Induction of G2/M arrest and inhibition of cyclooxygenase-2 activity by curcumin in human bladder cancer T24 cells. Oncol. Rep. 2006, 15, 1225–1231. [Google Scholar] [CrossRef]
- Su, C.C.; Chen, G.W.; Lin, J.G.; Wu, L.T.; Chung, J.G. Curcumin inhibits cell migration of human colon cancer colo 205 cells through the inhibition of nuclear factor kappa B/p65 and down-regulates cyclooxygenase-2 and matrix metalloproteinase-2 expressions. Anticancer Res. 2006, 26, 1281–1288. [Google Scholar] [PubMed]
- Jaiswal, A.S.; Marlow, B.P.; Gupta, N.; Narayan, S. Beta-catenin-mediated transactivation and cell-cell adhesion pathways are important in curcumin (diferuylmethane)-induced growth arrest and apoptosis in colon cancer cells. Oncogene 2002, 21, 8414–8427. [Google Scholar] [CrossRef] [PubMed]
- Kim, K.-C.; Lee, C. Curcumin Induces Downregulation of E2F4 Expression and Apoptotic Cell Death in HCT116 Human Colon Cancer Cells; Involvement of Reactive Oxygen Species. Korean J. Physiol. Pharmacol. 2010, 14, 391–397. [Google Scholar] [CrossRef] [PubMed]
- Lee, Y.J.; Kim, N.-Y.; Suh, Y.-A.; Lee, C. Involvement of ROS in Curcumin-induced Autophagic Cell Death. Korean J. Physiol. Pharmacol. 2011, 15, 1–7. [Google Scholar] [CrossRef] [PubMed]
- Wang, C.; Song, X.; Shang, M.; Zou, W.; Zhang, M.; Wei, H.; Shao, H. Curcumin exerts cytotoxicity dependent on reactive oxygen species accumulation in non-small-cell lung cancer cells. Future Oncol. 2019, 15, 1243–1253. [Google Scholar] [CrossRef]
- Kocyigit, A.; Guler, E.M. Curcumin induce DNA damage and apoptosis through generation of reactive oxygen species and reducing mitochondrial membrane potential in melanoma cancer cells. Cell. Mol. Biol. 2017, 63, 97–105. [Google Scholar] [CrossRef]
- Swatson, W.S.; Katoh-Kurasawa, M.; Shaulsky, G.; Alexander, S. Curcumin affects gene expression and reactive oxygen species via a PKA dependent mechanism in Dictyostelium discoideum. PLoS ONE 2017, 12, e0187562. [Google Scholar] [CrossRef]
- Wang, H.; Wang, L.; Xie, Z.; Zhou, S.; Li, Y.; Zhou, Y.; Sun, M. Nitric Oxide (NO) and NO Synthases (NOS)-Based Targeted Therapy for Colon Cancer. Cancers 2020, 12, 1881. [Google Scholar] [CrossRef]
- Bonavida, B.; Khineche, S.; Huertayepez, S.; Garban, H. Therapeutic potential of nitric oxide in cancer. Drug Resist. Updates 2006, 9, 157–173. [Google Scholar] [CrossRef]
- Forrester, K.; Ambs, S.; Lupold, S.E.; Kapust, R.B.; Spillare, E.A.; Weinberg, W.C.; Felley-Bosco, E.; Wang, X.W.; Geller, D.A.; Tzeng, E.; et al. Nitric oxide-induced p53 accumulation and regulation of inducible nitric oxide synthase expression by wild-type p53. Proc. Natl. Acad. Sci. USA 1996, 93, 2442–2447. [Google Scholar] [CrossRef]
- Messmer, U.K.; Brüne, B. Nitric oxide-induced apoptosis: p53-dependent and p53-independent signalling pathways. Biochem. J. 1996, 319 Pt 1, 299–305. [Google Scholar] [CrossRef]
- Glockzin, S.; von Knethen, A.; Scheffner, M.; Brüne, B. Activation of the Cell Death Program by Nitric Oxide Involves Inhibition of the Proteasome. J. Biol. Chem. 1999, 274, 19581–19586. [Google Scholar] [CrossRef] [PubMed]
- Boyd, C.S.; Cadenas, E. Nitric Oxide and Cell Signaling Pathways in Mitochondrial-Dependent Apoptosis. Biol. Chem. 2002, 383, 411–423. [Google Scholar] [CrossRef] [PubMed]
- Li, C.-Q.; Robles, A.; Hanigan, C.L.; Hofseth, L.J.; Trudel, L.J.; Harris, C.C.; Wogan, G.N. Apoptotic Signaling Pathways Induced by Nitric Oxide in Human Lymphoblastoid Cells Expressing Wild-Type or Mutant p53. Cancer Res. 2004, 64, 3022–3029. [Google Scholar] [CrossRef]
- Huerta, S.; Chilka, S.; Bonavida, B. Nitric oxide donors: Novel cancer therapeutics (review). Int. J. Oncol. 2008, 33, 909–927. [Google Scholar] [CrossRef] [PubMed]
- Miller, M.R.; Megson, I.L. Recent developments in nitric oxide donor drugs. J. Cereb. Blood Flow Metab. 2007, 151, 305–321. [Google Scholar] [CrossRef] [PubMed]
- Keeble, J.; Moore, P.K. Pharmacology and potential therapeutic applications of nitric oxide-releasing non-steroidal anti-inflammatory and related nitric oxide-donating drugs. J. Cereb. Blood Flow Metab. 2002, 137, 295–310. [Google Scholar] [CrossRef]
- Li, D.; Wang, L.; Cai, H.; Zhang, Y.; Xu, J. Synthesis and Biological Evaluation of Novel Furozan-Based Nitric Oxide-Releasing Derivatives of Oridonin as Potential Anti-Tumor Agents. Molecules 2012, 17, 7556–7568. [Google Scholar] [CrossRef]
- Lai, Y.; Shen, L.; Zhang, Z.; Liu, W.; Zhang, Y.; Ji, H.; Tian, J. Synthesis and biological evaluation of furoxan-based nitric oxide-releasing derivatives of glycyrrhetinic acid as anti-hepatocellular carcinoma agents. Bioorganic Med. Chem. Lett. 2010, 20, 6416–6420. [Google Scholar] [CrossRef]
- Van Erk, M.J.; Teuling, E.; Staal, Y.C.; Huybers, S.; Van Bladeren, P.J.; Aarts, J.M.; Van Ommen, B. Time- and dose-dependent effects of curcumin on gene expression in human colon cancer cells. J. Carcinog. 2004, 3, 8. [Google Scholar] [CrossRef][Green Version]
- Koppenol, H.W.; Bounds, P.L.; Dang, C.V. Otto Warburg’s contributions to current concepts of cancer metabolism. Nat. Rev. Cancer 2011, 11, 325–337. [Google Scholar] [CrossRef] [PubMed]
- Syng-Ai, C.; Kumari, A.L.; Khar, A. Effect of curcumin on normal and tumor cells: Role of glutathione and bcl-2. Mol. Cancer Ther. 2004, 3, 1101–1108. [Google Scholar] [PubMed]
- Choudhari, S.K.; Chaudhary, M.; Bagde, S.; Gadbail, A.R.; Joshi, V. Nitric oxide and cancer: A review. World J. Surg. Oncol. 2013, 11, 118. [Google Scholar] [CrossRef] [PubMed]
- Behrend, L.; Henderson, G.; Zwacka, R.M. Reactive oxygen species in oncogenic transformation. Biochem. Soc. Trans. 2003, 31, 1441–1444. [Google Scholar] [CrossRef]
- Wu, W.-S. The signaling mechanism of ROS in tumor progression. Cancer Metastasis Rev. 2006, 25, 695–705. [Google Scholar] [CrossRef]
- Pelicano, H.; Carney, D.; Huang, P. ROS stress in cancer cells and therapeutic implications. Drug Resist. Updates 2004, 7, 97–110. [Google Scholar] [CrossRef]
- Trachootham, D.; Alexandre, J.; Huang, P. Targeting cancer cells by ROS-mediated mechanisms: A radical therapeutic approach? Nat. Rev. Drug Discov. 2009, 8, 579–591. [Google Scholar] [CrossRef]
- Schumacker, P.T. Reactive oxygen species in cancer cells: Live by the sword, die by the sword. Cancer Cell 2006, 10, 175–176. [Google Scholar] [CrossRef]
- Yeh, R.K.; Chen, J.; Williams, J.L.; Baluch, M.; Hundley, T.R.; Rosenbaum, R.E.; Kalala, S.; Traganos, F.; Benardini, F.; del Soldato, P.; et al. NO-donating nonsteroidal antiinflammatory drugs (NSAIDs) inhibit colon cancer cell growth more potently than traditional NSAIDs: A general pharmacological property? Biochem. Pharmacol. 2004, 67, 2197–2205. [Google Scholar] [CrossRef]
- Williams, J.L.; Kashfi, K.; Ouyang, N.; del Soldato, P.; Kopelovich, L.; Rigas, B. NO-donating aspirin inhibits intestinal carcinogenesis in Min (APC(Min/+)) mice. Biochem. Biophys. Res. Commun. 2004, 313, 784–788. [Google Scholar] [CrossRef]





| Target Gene | Forward Primer | Reverse Primer |
|---|---|---|
| P21 | 5′-cgtcaaatcctccccttcct-3′ | 5′-atgggttctgacggacatcc-3′ |
| Bax | 5′-ggttgtcgcccttttctact-3′ | 5′-aagtccaatgtccagcccat-3′ |
| COX2 | 5′-tcccttccttcgaaatgcaa-3′ | 5′-aggttagagaaggcttcccag-3′ |
| CYCLIN E1 | 5′-ggaagaggaaggcaaacgtg-3′ | 5′-tgcattattgtcccaaggctg-3′ |
| EGFR | 5′-tcaataactgtgaggtggtcc-3′ | 5′-gacataaccagccacctcct-3′ |
| BCL2 | 5′-gccctgtggatgactgagta-3′ | 5′-gaaatcaaacagaggccgca-3′ |
| CYCLIN D1 | 5′-tacaccgacaactccatccg-3′ | 5′-ttcaatgaaatcgtgcgggg-3′ |
| EGR1 | 5′-agcagcaccttcaaccctc-3′ | 5′-ccagcaccttctcgttgttc-3′ |
Publisher’s Note: MDPI stays neutral with regard to jurisdictional claims in published maps and institutional affiliations. |
© 2022 by the authors. Licensee MDPI, Basel, Switzerland. This article is an open access article distributed under the terms and conditions of the Creative Commons Attribution (CC BY) license (https://creativecommons.org/licenses/by/4.0/).
Share and Cite
Hidmi, A.; Alzahayqa, M.; Erikat, S.; Bahar, R.; Hindi, L.; Al-Maharik, N.; Salah, Z. Nitric Oxide-Releasing NO–Curcumin Hybrid Inhibits Colon Cancer Cell Proliferation and Induces Cell Death In Vitro. Processes 2022, 10, 800. https://doi.org/10.3390/pr10050800
Hidmi A, Alzahayqa M, Erikat S, Bahar R, Hindi L, Al-Maharik N, Salah Z. Nitric Oxide-Releasing NO–Curcumin Hybrid Inhibits Colon Cancer Cell Proliferation and Induces Cell Death In Vitro. Processes. 2022; 10(5):800. https://doi.org/10.3390/pr10050800
Chicago/Turabian StyleHidmi, Adel, Mahmoud Alzahayqa, Sharihan Erikat, Raghad Bahar, Lamia Hindi, Nawaf Al-Maharik, and Zaidoun Salah. 2022. "Nitric Oxide-Releasing NO–Curcumin Hybrid Inhibits Colon Cancer Cell Proliferation and Induces Cell Death In Vitro" Processes 10, no. 5: 800. https://doi.org/10.3390/pr10050800
APA StyleHidmi, A., Alzahayqa, M., Erikat, S., Bahar, R., Hindi, L., Al-Maharik, N., & Salah, Z. (2022). Nitric Oxide-Releasing NO–Curcumin Hybrid Inhibits Colon Cancer Cell Proliferation and Induces Cell Death In Vitro. Processes, 10(5), 800. https://doi.org/10.3390/pr10050800

