Numerical Investigation of the Cleaning Flame Jet and Formation of the Molten Pool in the Corner Scarfing Process of the Casting Slab
Abstract
1. Introduction
2. Model Establishment and Results Analysis of Corner Flame Cleaning
2.1. Geometric Description and Meshing
2.2. Mathematical Model
2.2.1. Governing Equations
2.2.2. Turbulence Model
2.2.3. Combustion Model
2.3. Boundary Conditions and Numerical Solution
2.4. Flame Corner Cleaning Results and Discussion
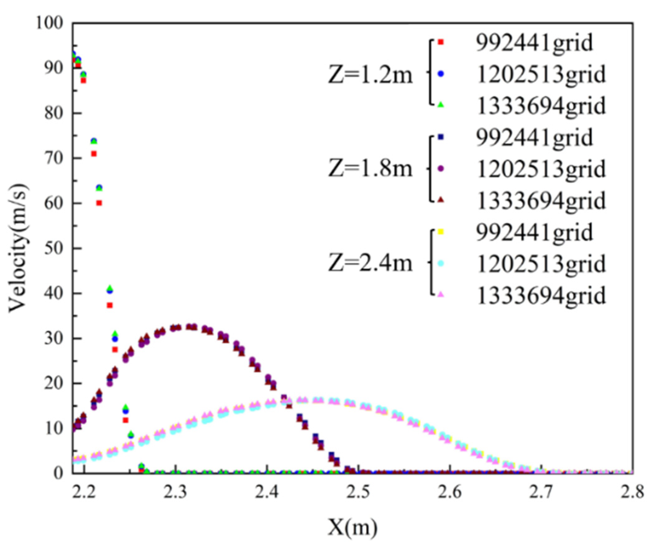
2.4.1. Grid Independence Validation
2.4.2. Validation of Numerical Simulation
2.4.3. Effect of Different Oxygen Flow Rates on Velocity and Oxygen Concentration Distribution
2.4.4. Effect of Different Nozzle Angles
3. Model Establishment and Results Analysis of Corner Molten Pool
3.1. Mathematical Model and Numerical Solution
3.2. Results of Molten Pool Formation and Discussion
4. Conclusions
- The complicated transport characteristics in the corner flame cleaning process are investigated using a numerical simulation method based on the experiment from the practical process. For simplicity, the cleaning process can be divided into two parts (cleaning flame jet zone and molten pool zone) to simulate separately. These results are helpful for clearly understanding the actual cleaning process and improving the process parameters;
- A three-dimensional fully coupled model for the flame cleaning nozzle is developed to simulate the flow pattern of the flame jet, Oxygen concentration distribution, and temperature field in the corner of the slab. The simulated flame jet flow field and temperature results agreed well with the factory trial results;
- With the increase in oxygen flow rate, the velocity at the corner also increases, and the area of high oxygen concentration gradually decreases. The corner cleaning depth can be controlled by the oxygen flow rate to improve the slab quality and improve the metal recovery rate. The greater the angle of nozzle and slab, the smaller the action range of the gas, and the greater the impact velocity. With the increase in the angle, the area of high oxygen concentration gradually increases. Therefore, choosing the suitable flow rate and the angle parameters is necessary to save resources and ensure product quality;
- A three-dimensional thermal model for simulation of the molten pool formed by flame cleaning in the corner of the casting slab has also been developed. The predicted results of the molten pool shape agreed well with the results from the industry trials. The present study has demonstrated that these two heat source models are suitable for simulating and studying the formation of the molten pool during the corner flame cleaning process.
Author Contributions
Funding
Institutional Review Board Statement
Informed Consent Statement
Data Availability Statement
Conflicts of Interest
References
- Li, Y.M.; Li, B.K.; Qi, F.S. Non-premixed Combustion of Parallel Multiple Jets in Scarfing Process. J. Northeast. Univ. (Nat. Sci.) 2019, 40, 505–509. [Google Scholar]
- Qi, F.S.; Chen, J.J.; Li, Y.M.; Li, B.K. Numerical Study on Mixing Characteristic of Jet Flow from Packed Holes Based on Automatic Scarfing Machine. China Metall. 2014, 24, 158–162. [Google Scholar]
- Chen, J.; Li, B.K.; Qi, F.S. Effect of multi-jet merging on the slab surface quality in the scarfing process Compressible fluidity of gas. Heavy Mach. 2018, 4, 52–57. [Google Scholar]
- Li, Y.M.; Li, B.K.; Qi, F.S.; Sherman, C.P. Flow and heat transfer of parallel multiple jets obliquely impinging on a flat surface. Appl. Therm. Eng. 2018, 133, 588–603. [Google Scholar] [CrossRef]
- Li, Y.M.; Li, B.K.; Qi, F.S.; Wang, X.C. Numerical investigation of the interaction of the turbulent dual-jet and acoustic propagation. Chin. Phys. B 2017, 26, 024701. [Google Scholar] [CrossRef]
- Egon, E. Impulse torch for energy-saving slab scarfing. Metall. Plant Technol. Int. 2007, 30, 50–53. [Google Scholar]
- Tomohide, T.; Masanori, K.; Katsuya, T. Improvement of bloom surface quality in the hot scarfing process. Res. Dev. Kobe Steel Eng. Rep. 2011, 61, 24–28. [Google Scholar]
- Showalter, M.S.; Nemchinsky, V.A.; Khan, J.A. Fundamental study of oxygen scarfing process. Am. Soc. Mech. Eng. 1996, 323, 233–238. [Google Scholar]
- Frank, J.H.; Barlow, R.S.; Lundquist, C. Radiation and nitric oxide formation in turbulent non-premixed jet flames. Proc. Combust. Inst. 2000, 28, 447–454. [Google Scholar] [CrossRef]
- Paul, S.C.; Paul, M.C.; Jones, W.P. Large eddy simulation of a turbulent non-premixed propane-air reacting flame in a cylindrical combustor. Comput. Fluids 2010, 39, 1832–1847. [Google Scholar] [CrossRef][Green Version]
- Yan, Y.Y.; Zhang, Y.; Yang, F. Combustion heat transfer numerical simulation for reactor based on ANSYS CFX. J. Shaanxi Univ. Sci. Technol. 2013, 31, 134–138. [Google Scholar]
- Chen, Z.Y.; Wang, J.B.; Tian, Y. Numerical simulation of scarfing machine burners flame characteristics. Iron Steel 2016, 51, 87–92. [Google Scholar]
- Choi, D.C.; Jeon, Y.J.; Kim, S.W. Faulty scarfing slab detection using machine vision. Adv. Mater. Res. 2012, 462, 185–190. [Google Scholar] [CrossRef]
- Faghani, E.; Rogak, S.N. A phenomenological model of two circular turbulent jets. Int. J. Eng. Res. 2013, 14, 293–304. [Google Scholar] [CrossRef]
- Wang, J.Y.; Priestman, G.H.; Wu, D.D. An analytical solution for incompressible flow through parallel multiple jets. J. Fluids Eng. 2001, 123, 407–410. [Google Scholar] [CrossRef]
- Kuepper, H.; Schaub, E. Oxygen Cutting and Flame Scarfing in an Open Die Forge. Stahl Eisen 1972, 92, 1098–1105. [Google Scholar]
- Daiker, A.L. Continuous and sampled scarfing of stainless steel. Metallurgist 1974, 18, 451–453. [Google Scholar] [CrossRef]
- Pfeuffer, A. Development of scarfing equipment. Iron Steel Int. 1975, 48, 147–151. [Google Scholar]
- Sancho, L.F.; Samoano, J.R.; Alvarez, I. Automated on-line inspection of surface scarfing in slabs and quality assessment based on novel image technologies. Rev. Metall. 2008, 105, 383–389. [Google Scholar] [CrossRef]
- Han, J.; Chen, T. Application of Scarfing Machine in Slab Continue Casting Production. Contin. Cast. 2012, 2, 38–41. [Google Scholar]
- Zhang, C.Y.; Song, H.; Wang, Y.S.; Li, Q. Application and reformation of continuous casting slab scarfing gun. Sci. Technol. Baotou Steel (Group) Corp. 2001, 27, 72–74. [Google Scholar]
- Zhang, J.; Wang, G.; Fan, H.N.; Zhang, L.X.; Zhou, Y.H.; Wang, Q. Production Practice of Ma Steel Slab Scarfing Machine. Contin. Cast. 2018, 43, 38–41. [Google Scholar]
- Qin, Z.M. Practical analysis of scarfing machine in slab continuous casting production at Baosteel. Baosteel Technol. 2020, 1, 64–68. [Google Scholar]
- Jokiaho, T.; Santa-aho, S.; Peura, P.; Vippola, M. Role of Steel Plate Thickness on the Residual Stress Formation and Cracking Behavior during Flame Cutting. Metall. Mater. Trans. A 2019, 50, 4178–4192. [Google Scholar] [CrossRef]
- Jokiaho, T.; Santa-aho, S.; Peura, P.; Vippola, M. Cracking and Failure Characteristics of Flame Cut Thick Steel Plates. Metall. Mater. Trans. A 2020, 51, 1744–1754. [Google Scholar] [CrossRef]
- Liang, G.F. Cutting Technical Manual; China Machine Press: Beijing, China, 2017. [Google Scholar]
- Thiébaud, R.; Drezet, J.M.; Lebet, J.P. Experimental and numerical characterisation of heat flow during flame cutting of thick steel plates. J. Mater. Process. Technol. 2014, 214, 304–310. [Google Scholar] [CrossRef]
- Arenas, M.J.; Hömberg, D.; Lasarzik, R.; Mikkonen, P.; Petzold, T. Modelling and simulation of flame cutting for steel plates with solid phases and melting. J. Math. Ind. 2020, 10, 304–310. [Google Scholar] [CrossRef]
- Zhang, S.Y.; Tang, X.H.; Lai, M.J.; He, J. Numerical Simulation Analysis of Gas Flame Cutting Steel Plate Temperature Field. Weld. Technol. 2013, 42, 10–13. [Google Scholar]
- Yu, J.; Wang, S.H.; Wang, G.C.; Huang, X.; Song, K.; Lu, S.Q.; Ding, J. Analysis on Heat and Mass Transfer During Hydrogen Absorption in ZrCo Hydride Beds Based on UDF Heat Source Model. J. Chongqing Univ. Technol. (Nat. Sci.) 2021, 35, 234–242. [Google Scholar]
- Martinez, D.M.; Jiang, X. Numerical investigations of a hydrogen impinging flame with different finite-rate chemical kinetic mechanisms. Fuel 2013, 109, 285–296. [Google Scholar] [CrossRef]
- Hindasageri, V.; Vedula, R.P.; Prabhu, S.V. Heat transfer distribution for impinging methane-air premixed flame jets. Appl. Therm. Eng. 2014, 73, 461–473. [Google Scholar] [CrossRef]
- Tajik, A.R.; Kuntikana, P.; Prabhu, S.V.; Hindasageri, V. Effect of preheated mixture on heat transfer characteristics of impinging methane-air premixed flame jet. Int. J. Heat Mass Transf. 2015, 86, 550–562. [Google Scholar] [CrossRef]
- Liu, P.X.; Zhang, Y.S.; Liu, H.Q.; Gui, Z.X. Modeling for periodic striation and microstructure evolution in active gas melt laser cutting for phase hardened parts. Int. J. Adv. Manuf. Technol. 2014, 70, 1421–1426. [Google Scholar] [CrossRef]
- Nyon, K.Y.; Nyeoh, C.Y.; Mokhtar, M.; Razi, A.R. Finite element analysis of laser inert gas cutting on Inconel 718. Int. J. Adv. Manuf. Technol. 2012, 60, 995–1007. [Google Scholar] [CrossRef]
- Li, H.; Wang, Y.F.; Shi, Z.Q.; Sun, X.; Xiao, Y.M.; Wang, T. Simulation of Laser Cladding Temperature Field and Flow Field Based on Ellipse Heat Source Model. Appl. Laser 2017, 37, 218–222. [Google Scholar]
- Liu, X.Z.; Liu, L.J. Influence of Different Body Heat Source Models on Welding Temperature Field of T-joint. Agric. Equip. Veh. Eng. 2021, 59, 55–59. [Google Scholar]
- Goldak, J.; Chakravarti, A.; Bibby, M. A New Finite Element Model for Welding Heat Sources. Metall. Trans. B 1984, 15, 299–305. [Google Scholar] [CrossRef]
















| Type of Steel | Low Carbon Steel |
|---|---|
| Liquidus temperature/(K) | 1797 |
| Solidus temperature/(K) | 1768 |
| Latent heat/(J/kg) | 270,000 |
| Specific heat/(J/(kg·K) | 680 |
| Solidus density/(kg/m3) | 7200 |
| Solidus viscosity/(Pa·s) | 6.2 |
| Solidus thermal conductivity/(W/(m·K)) | 28.4 |
Publisher’s Note: MDPI stays neutral with regard to jurisdictional claims in published maps and institutional affiliations. |
© 2022 by the authors. Licensee MDPI, Basel, Switzerland. This article is an open access article distributed under the terms and conditions of the Creative Commons Attribution (CC BY) license (https://creativecommons.org/licenses/by/4.0/).
Share and Cite
Wang, C.; Zhang, Y.; Gao, A.; Zhang, J.; Wang, B. Numerical Investigation of the Cleaning Flame Jet and Formation of the Molten Pool in the Corner Scarfing Process of the Casting Slab. Processes 2022, 10, 798. https://doi.org/10.3390/pr10040798
Wang C, Zhang Y, Gao A, Zhang J, Wang B. Numerical Investigation of the Cleaning Flame Jet and Formation of the Molten Pool in the Corner Scarfing Process of the Casting Slab. Processes. 2022; 10(4):798. https://doi.org/10.3390/pr10040798
Chicago/Turabian StyleWang, Cong, Yongqiang Zhang, Aiyun Gao, Jieyu Zhang, and Bo Wang. 2022. "Numerical Investigation of the Cleaning Flame Jet and Formation of the Molten Pool in the Corner Scarfing Process of the Casting Slab" Processes 10, no. 4: 798. https://doi.org/10.3390/pr10040798
APA StyleWang, C., Zhang, Y., Gao, A., Zhang, J., & Wang, B. (2022). Numerical Investigation of the Cleaning Flame Jet and Formation of the Molten Pool in the Corner Scarfing Process of the Casting Slab. Processes, 10(4), 798. https://doi.org/10.3390/pr10040798

