Autogenous Oxidation/Reduction of Polyaniline in Aqueous Sulfuric Acid
Abstract
:1. Introduction
2. Materials and Methods
2.1. Materials
2.2. Setup
2.3. Polymer Synthesis
2.4. Estimation of Mass of Deposited Polymer
3. Results
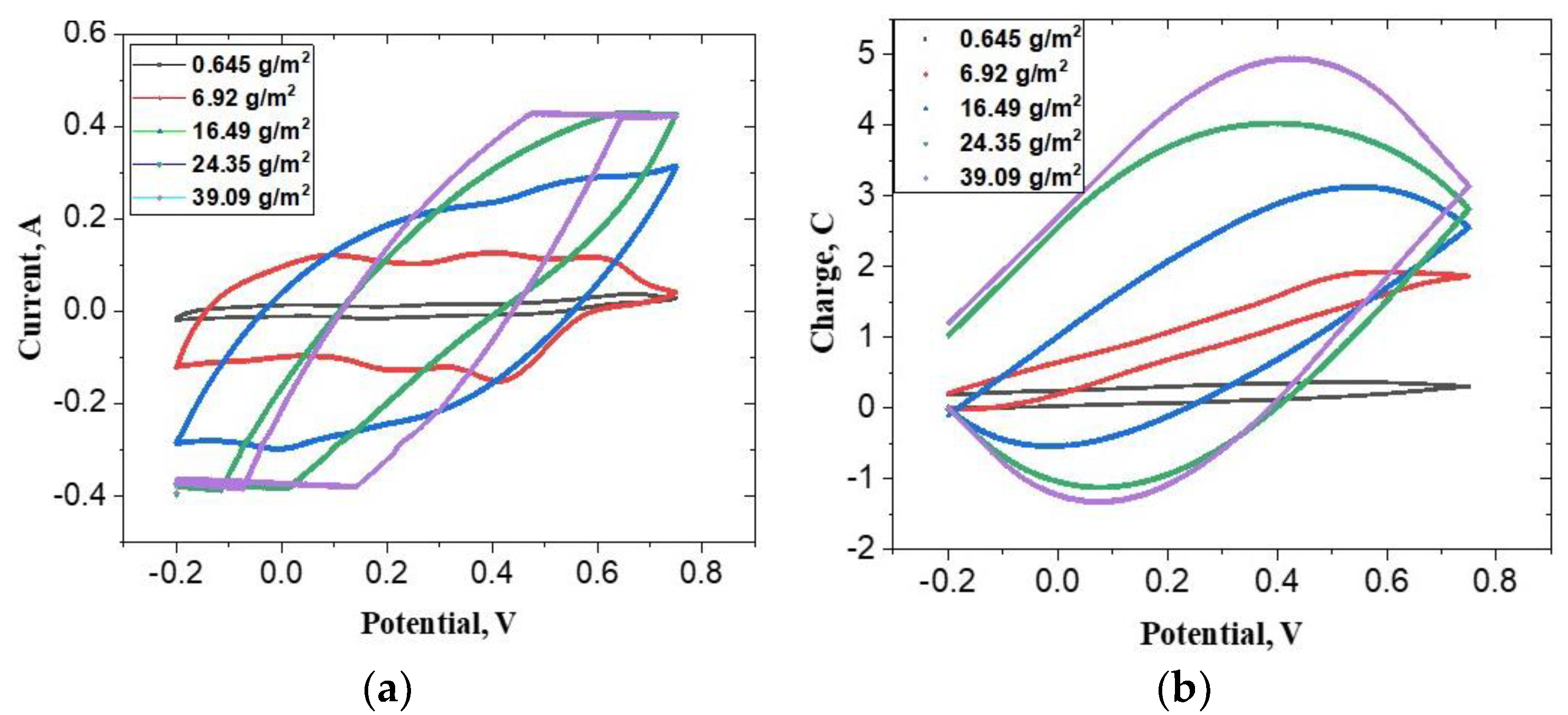
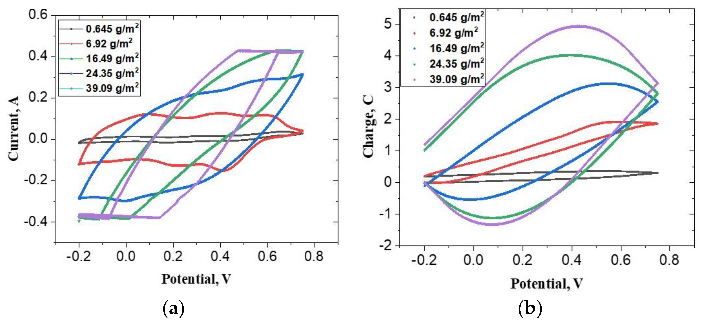
3.1. Characteristics of High Conjugation Polyaniline Films
3.2. Rising Open Circuit Potential Experiment
3.3. Determination of the Rate of Oxidation of Polyaniline
3.4. Falling Open Circuit Potential Experiments
4. Discussion
4.1. Mechanism of Oxidation of Polyaniline
4.2. Mechanism of Reduction
5. Conclusions
Author Contributions
Funding
Institutional Review Board Statement
Informed Consent Statement
Data Availability Statement
Conflicts of Interest
References
- Meerholz, K.; Gregorius, H.; Miillen, K.; Heinze, J. Voltammetric Studies of Solution and Solid-state Properties of Monodisperse Oligo(p-phen ylenevin ylene)s. Adv. Mater. 1994, 6, 671–674. [Google Scholar] [CrossRef]
- Eftekhari, A.; Li, L.; Yang, Y. Polyaniline supercapacitors. J. Power Sources 2017, 347, 86–107. [Google Scholar] [CrossRef]
- Erdogan, P.Y.; Zengin, H.; Yavuz, A. Growth and cycling of polyaniline electrode in a deep eutectic solvent: A new electrolyte for supercapacitor applications. Solid State Ion. 2020, 352, 115362. [Google Scholar] [CrossRef]
- Elancheziyan, M.; Eswaran, M.; Shuck, C.E.; Senthilkumar, S.; Elumalai, S.; Dhanusuraman, R.; Ponnusamy, V.K. Facile synthesis of polyaniline/titanium carbide (MXene) nanosheets/palladium nanocomposite for efficient electrocatalytic oxidation of methanol for fuel cell application. Fuel 2021, 303, 121329. [Google Scholar] [CrossRef]
- Simotwo, S.K.; Kalra, V. Polyaniline-based electrodes: Recent application in supercapacitors and next generation rechargeable batteries. Curr. Opin. Chem. Eng. 2016, 13, 150–160. [Google Scholar] [CrossRef] [Green Version]
- Madaswamy, S.L.; Alothman, A.A.; AL-Anazy, M.M.; Ifseisi, A.A.; Alqahtani, K.N.; Natarajan, S.K.; Angaiah, S.; Ragupathy, D. Polyaniline-based nanocomposites for direct methanol fuel cells (DMFCs)—A Recent Review. J. Ind. Eng. Chem. 2021, 97, 79–94. [Google Scholar] [CrossRef]
- Jangid, N.K.; Jadoun, S.; Kaur, N. A review on high-throughput synthesis, deposition of thin films and properties of polyaniline. Eur. Polym. J. 2020, 125, 109485. [Google Scholar]
- Sonkawade, R.G.; Waikar, M.R.; Shaikh, A.A.; Shirsat, M.D.; Ali, Y.; Chakarvarti, S.K. Effect of low energy Li-negative ions irradiation on electrochemically synthesized Copper nanoflakes/Polyaniline nanofibers composite thin film. Thin Solid Films 2021, 730, 138710. [Google Scholar] [CrossRef]
- Zhang, T.; Zhang, P.; Liao, Z.; Wang, F.; Wang, J.; Wang, M.; Zschech, E.; Zhuang, X.; Schmidt, O.G.; Feng, X. Interfacial synthesis of crystalline quasi-two-dimensional polyaniline thin films for high-performance flexible on-chip micro-supercapacitors. Chin. Chem. Lett. 2021, in press. [Google Scholar] [CrossRef]
- Talooki, E.F.; Ghorbani, M.; Rahimnejad, M.; Lashkenari, M.S. Investigating the effects of in-situ fabrication of a binder-free Co3O4-polyaniline cathode towards enhanced oxygen reduction reaction and power generation of microbial fuel cells. Synth. Metals 2019, 258, 116225. [Google Scholar] [CrossRef]
- Cho, K.; Shin, C.-Y.; Leem, Y.J.; Sung, M.M.; Chang, J.; Han, S.-H. Copper-1, 3, 5-benzenetricarboxylate framework nanocrystals on polyaniline: Fabrication, characteristics, and electrochemical application for oxygen reduction reaction. J. Electroanal. Chem. 2018, 823, 176–183. [Google Scholar] [CrossRef]
- Xing, S.; Yu, X.; Wang, G.; Yu, Y.; Wang, Y.; Xing, Y. Confined polyaniline derived mesoporous carbon for oxygen reduction reaction. Eur. Polym. J. 2017, 88, 1–8. [Google Scholar] [CrossRef]
- Deng, H.; Li, Q.; Liu, J.; Wang, F. Active sites for oxygen reduction reaction on nitrogen-doped carbon nanotubes derived from polyaniline. Carbon 2017, 112, 219–229. [Google Scholar] [CrossRef]
- Contractor, A.Q.; Juvekar, V.A. Estimation of equilibrium capacitance of polyaniline films using step voltammetry. J. Electrochem. Soc. 2015, 162, A1175–A1181. [Google Scholar] [CrossRef] [Green Version]
- Zhang, A.; Cui, C.; Lee, J.; Loh, F. Interactions between polyaniline and silver cations. J. Electrochem. Soc. 1995, 142, 1097–1104. [Google Scholar] [CrossRef]
- Khomenko, V.G.; Barsukov, V.Z.; Katashinskii, A.S. The catalytic activity of conducting polymers toward oxygen reduction. Electrochim. Acta 2005, 50, 1675–1683. [Google Scholar] [CrossRef]
- Jeffery, G.H.; Bassett, J.; Mendham, J.; Denney, R.C. Vogel’s Textbook of Quantitative Chemical Analysis, 5th ed.; Longman Scientific & Technical; John Wiley & Sons, Inc.: New York, NY, USA, 1989; pp. 384–387. [Google Scholar]
- Nie, Y.; Li, L.; Wei, Z. Recent advancements in Pt and Pt-free catalysts for oxygen reduction reaction. Chem. Soc. Rev. 2015, 44, 2168–2201. [Google Scholar] [CrossRef]
- Orata, D.; Buttry, D.A. Determination of Ion Populations and Solvent Content as Functions of Redox State and pH in Polyaniline. J. Am. Chem. Soc. 1987, 109, 3574–3581. [Google Scholar] [CrossRef]
- Manning, G.S. Limiting laws and counterion condensation in polyelectrolyte solutions. 7. Electrophoretic mobility and conductance. J. Phys. Chem. 1981, 85, 1506–1515. [Google Scholar] [CrossRef]
- Mažeikiene, R.; Niaura, G.; Malinauskas, A. Poly(N-methylaniline) vs. polyaniline: An extended pH range of polaron stability as revealed by Raman spectroelectrochemistry. Spectrochim. Acta Part A Mol. Biomol. Spectrosc. 2021, 262, 120140. [Google Scholar] [CrossRef]
- Bandeira, R.M.; Amorim, D.R.B.; Vega, M.L.; Elias de Matos, J.M.; Ribiero dos Santos Junior, J.; Nunes da Cunha, H. Charge transport in benzoic acid-doped polyaniline films. Mater. Chem. Phys. 2021, 260, 124083. [Google Scholar] [CrossRef]












Publisher’s Note: MDPI stays neutral with regard to jurisdictional claims in published maps and institutional affiliations. |
© 2022 by the authors. Licensee MDPI, Basel, Switzerland. This article is an open access article distributed under the terms and conditions of the Creative Commons Attribution (CC BY) license (https://creativecommons.org/licenses/by/4.0/).
Share and Cite
Singh, A.; Kale, R.; Sarkar, A.; Juvekar, V.; Contractor, A. Autogenous Oxidation/Reduction of Polyaniline in Aqueous Sulfuric Acid. Processes 2022, 10, 443. https://doi.org/10.3390/pr10030443
Singh A, Kale R, Sarkar A, Juvekar V, Contractor A. Autogenous Oxidation/Reduction of Polyaniline in Aqueous Sulfuric Acid. Processes. 2022; 10(3):443. https://doi.org/10.3390/pr10030443
Chicago/Turabian StyleSingh, Amrita, Ravindra Kale, Arindam Sarkar, Vinay Juvekar, and Asfiya Contractor. 2022. "Autogenous Oxidation/Reduction of Polyaniline in Aqueous Sulfuric Acid" Processes 10, no. 3: 443. https://doi.org/10.3390/pr10030443
APA StyleSingh, A., Kale, R., Sarkar, A., Juvekar, V., & Contractor, A. (2022). Autogenous Oxidation/Reduction of Polyaniline in Aqueous Sulfuric Acid. Processes, 10(3), 443. https://doi.org/10.3390/pr10030443
