Detailed Analysis of Exergy Destruction of All Basic Types of Heat Exchangers
Abstract
:1. Introduction
2. Mathematical Model
2.1. Local and Total Exergy Destruction of Parallel-Flow and Counter-Flow Recuperators
2.1.1. Parallel-Flow Recuperator
2.1.2. Counter-Flow Recuperator
2.1.3. Solutions for the Case π3 = 0.0
2.2. Total Exergy Destruction of All Basic Types of Heat Exchangers
- Without mixing streamlines of weaker and stronger streams (cr);
- Mixing streamlines only of a weaker stream (cr1);
- Mixing streamlines only of a stronger stream (cr2);
- Mixing streamlines of both streams (cr12).
2.3. The Ratio of Exergy Destruction to Recuperator Effectiveness
3. Results and Discussion
3.1. Presentation of Calculation Results for a Parallel-Flow Recuperator
3.2. Presentation of Calculation Results for a Counter-Flow Recuperator
3.3. Presentation of Calculation Results for a Recuperator for Which π3 = 0.0
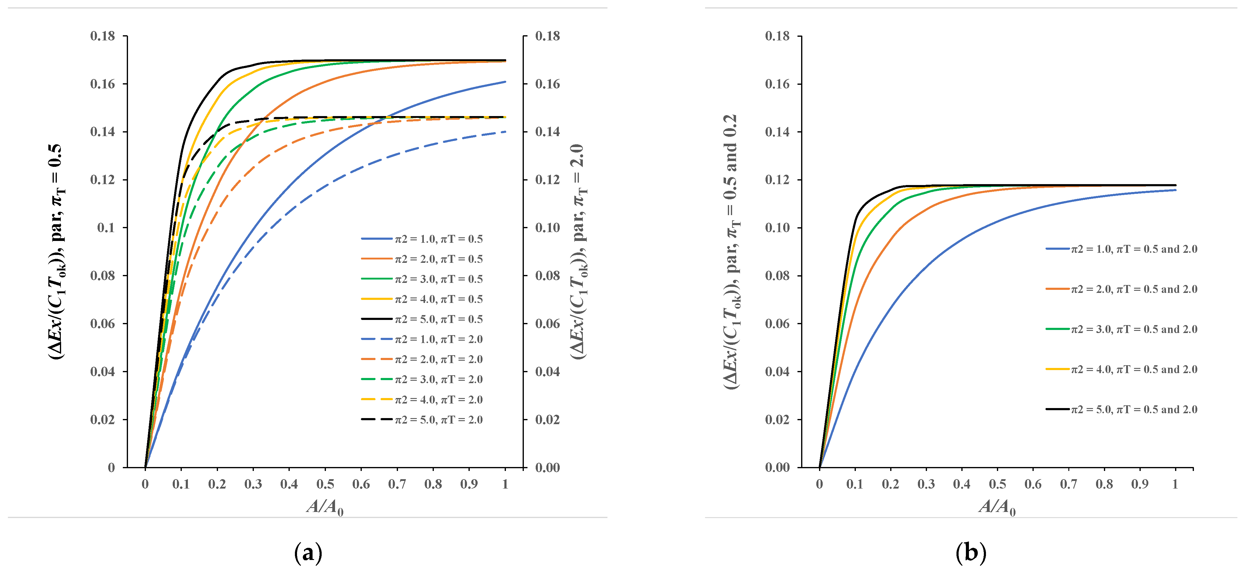
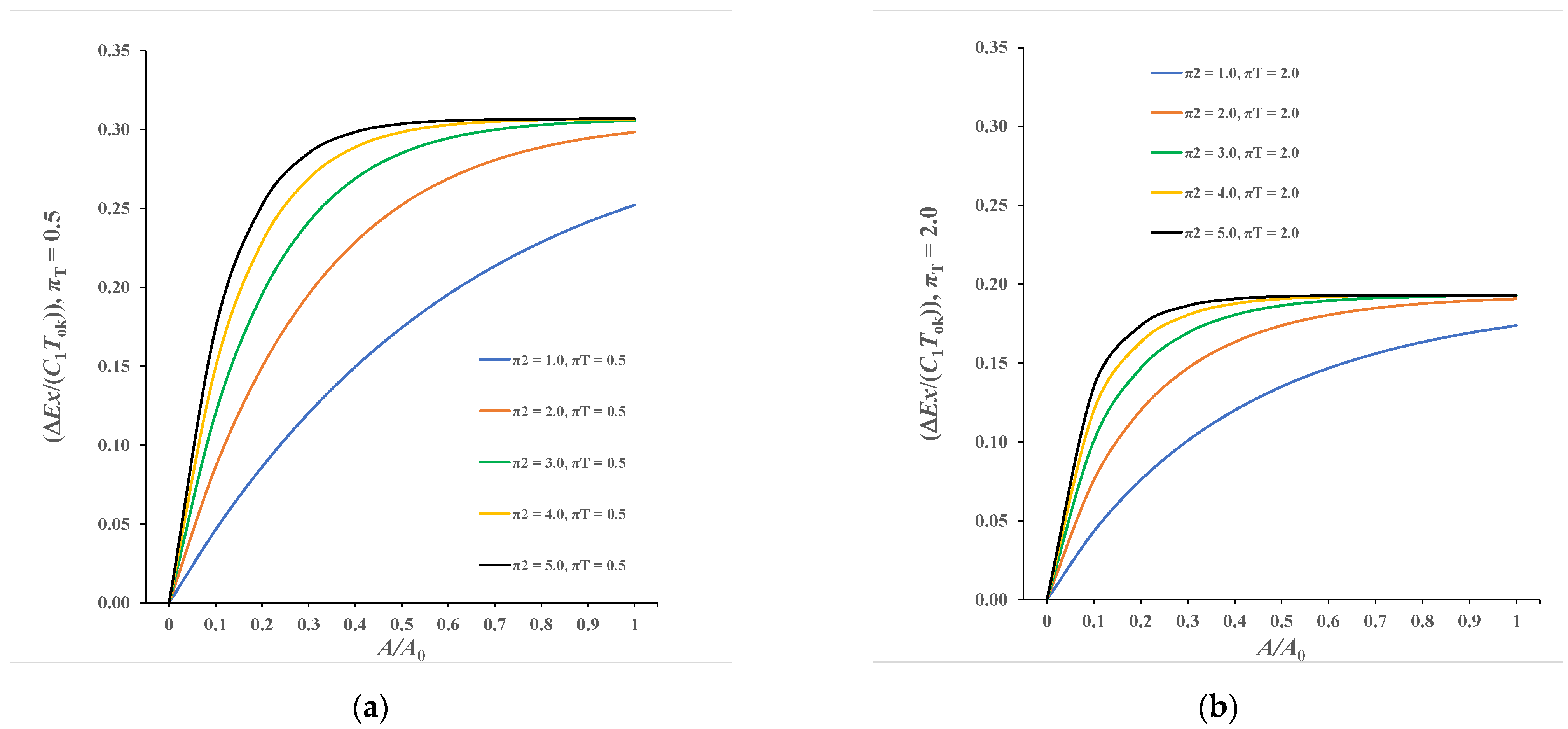
3.4. Presentation of Recuperator Calculation Results by Variable π2
3.4.1. Case π3 = 0.0
3.4.2. Case π3 ≠ 0.0
3.5. Presentation of the Ratio of Exergy Destruction to Effectiveness of the Recuperator
3.5.1. Case π3 = 0.0
3.5.2. Case π3 ≠ 0.0
4. Conclusions
- The obtained expressions enable detailed analysis of the quantitative influence of the dimensionless quantities π1 = ε, π2, π3 and πT both on the amount of exergy destruction and on the amount of the ratio of exergy destruction to effectiveness of the respective recuperator.
- For all recuperators, derived analytical expressions explicitly determine the effectiveness of the recuperator εstac = 1/(1+π3) for which the maximum of exergy destruction occurs as a local extreme.
- With the presented algorithm, it is possible to determine the operating point of the heat exchanger if either the value of dimensionless exergy destruction or the value of the ratio of exergy destruction to effectiveness is given as a criterion. For a given type of recuperator, the parameters of the recuperator operating point should be selected in a way that π2 is greater than π2stac, because in that case the exergy destruction is less than maximum and the value of the effectiveness is greater, which leads to the desired reduction in the ratio of exergy destruction to effectiveness.
- For the parallel-flow and counter-flow recuperators, a local approach to the solution of exergy destruction is presented. This enables other local effects (such as stream pressure drop) to be built into this algorithm, with the optimization of local exergy destruction as a goal, involving more relevant effects. Moreover, it is possible to quantify the exergy destruction and the ratio of exergy destruction to effectiveness in respect to a higher number of streams passing through the heat exchanger [31], which is more often the practical case.
Author Contributions
Funding
Institutional Review Board Statement
Informed Consent Statement
Data Availability Statement
Conflicts of Interest
References
- Bošnjaković, F. Kampf den nichtumkehrbarkeiten. Arch. Wärmewirtsch. Dampfkesselwes. 1938, 19, 1–2. [Google Scholar]
- Rant, Z. Exergie, ein neues wort für technische arbeitsfähigkeit. Forsch. Geb. Ing. 1956, 22, 36–37. [Google Scholar]
- Gouy, M. Sur l’énergie utilizable. J. Phys. 1889, 8, 501–518. [Google Scholar]
- Stodola, A. Steam and Gas Turbines, 1st ed.; McGraw-Hill: New York, NY, USA, 1910. [Google Scholar]
- Bejan, A. Fundamentals of exergy analysis, entropy generation minimization, and the generation of flow architecture. Int. J. Energy Res. 2006, 26, 545–565. [Google Scholar] [CrossRef]
- Yilmaz, M.; Sara, O.N.; Karsli, S. Performance evaluation criteria for heat exchangers based on second law analysis. Int. J. Exergy 2001, 4, 278–294. [Google Scholar] [CrossRef]
- Manjunath, K.; Kaushik, S.C. Second law thermodynamic study of heat exchangers: A review. Renew. Sustain. Energy Rev. 2014, 40, 348–374. [Google Scholar] [CrossRef]
- Sepehr, M.; Hashemi, S.S.; Rahjoo, M.; Farhangmehr, V.; Alimoradi, A. Prediction of heat transfer, pressure drop and entropy generation in shell and helically coiled finned tube heat exchangers. Chem. Eng. Res. Des. 2018, 134, 277–291. [Google Scholar] [CrossRef]
- Genić, S.; Jaćimović, B.; Petrović, A. A novel method for combined entropy generation and economic optimization of counter-current and co-current heat exchangers. Appl. Therm. Eng. 2018, 136, 327–334. [Google Scholar] [CrossRef]
- Guzmán, J.E.V.; Hernández-Arrieta, I.; Vicente, W.; Salinas-Vazquez, M.; Martínez-Espinosa, E. Non-local entropy evolution in heat exchangers with elliptical and circular tube geometries. Int. J. Therm. Sci. 2018, 134, 601–611. [Google Scholar] [CrossRef]
- Goh, L.H.K.; Hung, Y.M.; Chen, G.M.; Tso, C.P. Entropy generation analysis of turbulent convection in a heat exchanger with self-rotating turbulator inserts. Int. J. Therm. Sci. 2021, 106, 106652. [Google Scholar] [CrossRef]
- Etghani, M.M.; Baboli, S.A.H. Numerical investigation and optimization of heat transfer and exergy loss in shell and helical tube heat exchanger. Appl. Therm. Eng. 2017, 121, 294–301. [Google Scholar] [CrossRef]
- Wang, J.; Hashemi, S.S.; Alahgholi, S.; Mehri, M.; Safarzadeh, M.; Alimoradi, A. Analysis of exergy and energy in shell and helically coiled finned tube heat exchangers and design optimization. Int. J. Refrig. 2018, 94, 11–23. [Google Scholar] [CrossRef]
- Alimoradi, A. Investigation of exergy efficiency in shell and helically coiled tube heat exchangers. Case Stud. Therm. Eng. 2017, 10, 1–8. [Google Scholar] [CrossRef]
- Al-Salem, K.; Hosseini, E.; Nohesara, A.; Mehri, M.; Ali, M.; Almuzaiqer, R.; Alimoradi, A.; Tlili, I. Suggestion of new correlations for the exergy efficiency and coefficient of exergy performance of annulus section of conically coiled tube-in-tube heat exchangers. Chem. Eng. Res. Des. 2019, 152, 309–319. [Google Scholar] [CrossRef]
- Wilhelmsen, Ø.; Berstad, B.; Aasen, A.; Nekså, P.; Skaugen, G. Reducing the exergy destruction in the cryogenic heat exchangers of hydrogen liquefaction processes. Int. J. Hydrogen Energy 2018, 10, 5033–5047. [Google Scholar] [CrossRef] [Green Version]
- Abu-Hamdeh, N.H.; Bantan, R.A.R.; Alimoradi, A. Heat transfer optimization through new form of pin type of finned tube heat exchangers using the exergy and energy analysis. Int. J. Refrig. 2020, 117, 12–22. [Google Scholar] [CrossRef]
- Guan, B.; Liu, X.; Zhang, T. Exergy analysis on optimal desiccant solution flow rate in heat exchanger for air dehumidification using liquid desiccant. Int. J. Refrig. 2021, 128, 129–138. [Google Scholar] [CrossRef]
- Xie, J.H.; Cui, H.C.; Liu, Z.C.; Liu, W. Optimization design of helical micro fin tubes based on exergy destruction minimization principle. Appl. Therm. Eng. 2022, 200, 117640. [Google Scholar] [CrossRef]
- Sundar, L.S.; Punnaiah, V.; Sharma, K.V.; Chamkhad, A.J.; Sousaa, A.C.M. Thermal entropy and exergy efficiency analyses of nanodiamond/water nanofluid flow in a plate heat exchanger. Diam. Relat. Mater. 2021, 120, 108648. [Google Scholar] [CrossRef]
- Li, Z.; Sheikholeslami, M.; Jafaryar, M.; Shafee, A.; Chamkha, A.J. Investigation of nanofluid entropy generation in a heat exchanger with helical twisted tapes. J. Mol. Liq. 2018, 266, 797–805. [Google Scholar] [CrossRef]
- Bahiraei, M.; Mazaheri, N. A comprehensive analysis for second law attributes of spiral heat exchanger operating with nanofluid using two-phase mixture model: Exergy destruction minimization attitude. Adv. Powder Technol. 2021, 32, 211–224. [Google Scholar] [CrossRef]
- Saleh, B.; Sundar, L.S. Experimental study on heat transfer, friction factor, entropy and exergy efficiency analyses of a corrugated plate heat exchanger using Ni/water nanofluids. Int. J. Therm. Sci. 2021, 165, 106935. [Google Scholar] [CrossRef]
- Bošnjaković, F. Nauka o Toplini, II Dio, 4th ed.; Tehnička knjiga: Zagreb, Croatia, 1976. [Google Scholar]
- Galović, A. Termodinamika II, 7th ed.; FSB: Zagreb, Croatia, 2019. [Google Scholar]
- Sekulić, D.P. Entropy generation in heat exchanger. Heat Transf. Eng. 1986, 2, 83–88. [Google Scholar] [CrossRef]
- Bošnjaković, F. Nauka o Toplini, I Dio, 5th ed.; Tehnička Knjiga: Zagreb, Croatia, 1978. [Google Scholar]
- Galović, A. Termodinamika I, 8th ed.; FSB: Zagreb, Croatia, 2021. [Google Scholar]
- Shah, R.K.; Sekulić, D.P. Fundamentals of Heat Exchanger Design; John Wiley & Sons: Hoboken, NJ, USA, 2003. [Google Scholar]
- Cengel, Y.A. Heat Trasnfer, A Practical Approach, 2nd ed.; McGraw-Hill: Boston, MA, USA, 2003. [Google Scholar]
- Roetzel, W.; Spang, B. C1 Thermal Design of Heat Exchangers. In VDI Heat Atlas, 2nd ed.; Stephen, P., Kabelac, S., Eds.; Springer: Berlin/Heidelberg, Germany, 2010; pp. 33–62. [Google Scholar]















| π3 | π2stac (cr) | π2stac (cr12) |
|---|---|---|
| 0.25 | 1.974 | 2.37 |
| 0.50 | 1.520 | 1.74 |
| 0.75 | 1.290 | 1.44 |
| 1.00 | 1.150 | 1.26 |
Publisher’s Note: MDPI stays neutral with regard to jurisdictional claims in published maps and institutional affiliations. |
© 2022 by the authors. Licensee MDPI, Basel, Switzerland. This article is an open access article distributed under the terms and conditions of the Creative Commons Attribution (CC BY) license (https://creativecommons.org/licenses/by/4.0/).
Share and Cite
Rauch, M.; Mudrinić, S.; Galović, A. Detailed Analysis of Exergy Destruction of All Basic Types of Heat Exchangers. Processes 2022, 10, 249. https://doi.org/10.3390/pr10020249
Rauch M, Mudrinić S, Galović A. Detailed Analysis of Exergy Destruction of All Basic Types of Heat Exchangers. Processes. 2022; 10(2):249. https://doi.org/10.3390/pr10020249
Chicago/Turabian StyleRauch, Martina, Saša Mudrinić, and Antun Galović. 2022. "Detailed Analysis of Exergy Destruction of All Basic Types of Heat Exchangers" Processes 10, no. 2: 249. https://doi.org/10.3390/pr10020249
APA StyleRauch, M., Mudrinić, S., & Galović, A. (2022). Detailed Analysis of Exergy Destruction of All Basic Types of Heat Exchangers. Processes, 10(2), 249. https://doi.org/10.3390/pr10020249

