Fixed-Time Tracking Control for Nonlinear Cascade Systems with Unknown High Powers
Abstract
1. Introduction
- A state feedback fixed-time tracking controller is designed for a class of nonlinear cascade systems with time-varying high powers. Using Lyapunov stability analysis method and fixed-time stability theory, it is verified that the output tracking error can be regulated to a disc region of the origin within a fixed-time by the proposed method, and the settling time is regardless of initial conditions.
- In comparison with most existing results for high-order nonlinear systems, system high powers in this work are relaxed to positive time-varying functions, which makes the considered systems more generally. A upper bound and a lower bound of high powers are introduced in the proposed controller, which are powerful to compensate the time-varying powers.
2. Problem Formulation and Preliminaries
3. Main Results
3.1. Control Design
3.2. Stablity Analysis
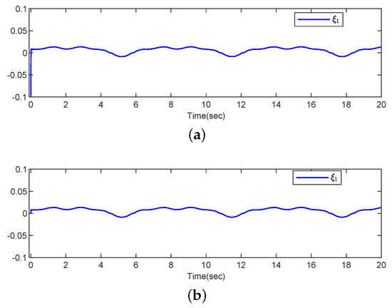
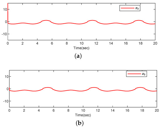
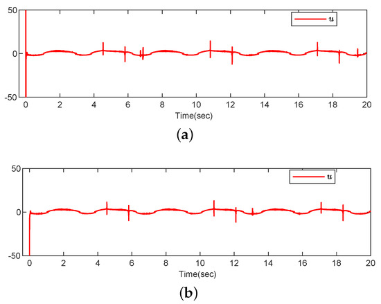
4. Simulation Results
5. Conclusions
Author Contributions
Funding
Institutional Review Board Statement
Informed Consent Statement
Data Availability Statement
Conflicts of Interest
References
- Lin, W.; Qian, C.J. Adding one power integrator: A tool for global stabilization of high-order lower-triangular systems. Syst. Control Lett. 2000, 39, 339–351. [Google Scholar] [CrossRef]
- Lin, W.; Qian, C.J. Adaptive control of nonlinearly parameterized systems: The smooth feedback Case. IEEE Trans. Autom. Control 2002, 47, 1249–1266. [Google Scholar] [CrossRef]
- Qian, C.J.; Lin, W. Practical output tracking of nonlinear systems with uncontrollable unstable linearization. IEEE Trans. Autom. Control 2002, 47, 21–36. [Google Scholar] [CrossRef]
- Lin, W.; Pongvuthithum, R. Adaptive output tracking of inherently nonlinear systems with nonlinear parameterization. IEEE Trans. Autom. Control 2003, 48, 1737–1749. [Google Scholar] [CrossRef]
- Yan, X.H.; Liu, Y.G. Global practical tracking for high-order uncertain nonlinear systems with unknown control directions. SIAM J. Control Optim. 2010, 48, 4453–4473. [Google Scholar] [CrossRef]
- Zhao, X.; Shi, P.; Zheng, X.; Zhang, J. Intelligent tracking control for a class of uncertain high-order nonlinear Systems. IEEE Trans. Neural Netw. Learn. Syst. 2016, 27, 1976–1982. [Google Scholar] [CrossRef]
- Yu, J.B.; Zhao, Y.; Wu, Y.Q. Global robust output tracking control for a class of uncertain cascaded nonlinear systems. Automatica 2018, 93, 274–281. [Google Scholar] [CrossRef]
- Wu, Y.; Xie, X.J. Adaptive fuzzy control for high-order nonlinear time-delay systems with full-state constraints and input saturation. IEEE Trans. Fuzzy Syst. 2020, 28, 1652–1663. [Google Scholar] [CrossRef]
- Xie, X.J.; Wu, Y.; Hou, Z.G. Further results on adaptive practical tracking for high-order nonlinear systems with full-state constraints. IEEE Trans. Cybern. 2022, 52, 9978–9985. [Google Scholar] [CrossRef]
- Sun, W.; Su, S.F.; Wu, Y.Q.; Xia, J.W. Adaptive fuzzy event-triggered control for high-order nonlinear systems with prescribed performance. IEEE Trans. Cybern. 2022, 52, 2885–2895. [Google Scholar] [CrossRef]
- Fu, J.; Ma, R.C.; Chai, T.Y. Adaptive finite-time stabilization of a class of uncertain nonlinear systems via logic-based switchings. IEEE Trans. Autom. Control 2017, 62, 5998–6003. [Google Scholar] [CrossRef]
- Chen, C.C.; Sun, Z.Y. A unified approach to finite-time stabilization of high-order nonlinear systems with an asymmetric output constraint. Automatica 2020, 111, 108581. [Google Scholar] [CrossRef]
- Sun, W.J.; Zhao, J.S.; Sun, W.; Xia, J.W.; Sun, Z.Y. Adaptive event-triggered global fast finite-time control for a class of uncertain nonlinear systems. Int. J. Robust Nonlin. Control 2020, 30, 3773–3785. [Google Scholar] [CrossRef]
- Sun, Z.Y.; Yun, M.M.; Li, T. A new approach to fast global finite-time stabilization of high-order nonlinear system. Automatica 2017, 81, 455–463. [Google Scholar] [CrossRef]
- Sun, Z.Y.; Shao, Y.; Chen, C.C. Fast finite-time stability and its application in adaptive control of high-order nonlinear system. Automatica 2019, 106, 339–348. [Google Scholar] [CrossRef]
- Sun, Z.Y.; Peng, Y.R.; Wen, C.Y.; Chen, C.C. Fast finite-time adaptive stabilization of high-order uncertain nonlinear system with an asymmetric output constraint. Automatica 2020, 121, 109170. [Google Scholar] [CrossRef]
- Wang, H.Q.; Song, L.; Liu, P.X.; Li, Y.X. Control of high-order nonlinear systems under error-to-actuator based event-triggered framework. Int. J. Control 2021. [Google Scholar] [CrossRef]
- Liu, C.Y.; Liu, Y.G. Finite-time stabilization with arbitrarily prescribed settling-time for uncertain nonlinear systems. Syst. Control Lett. 2022, 159, 105088. [Google Scholar] [CrossRef]
- Ding, J.L.; Zhang, W.H. Finite-time adaptive control for nonlinear systems with uncertain parameters based on the command filters. Int. J. Adapt. Control Signal Process. 2021, 35, 1754–1767. [Google Scholar] [CrossRef]
- Andrieu, V.; Praly, L.; Astolfi, A. Homogeneous approximation, recursive observer design, and output feedback. SIAM J. Control Optim. 2008, 47, 1814–1850. [Google Scholar] [CrossRef]
- Polyakov, A. Nonlinear feedback design for fixed-time stabilization of linear control systems. IEEE Trans. Autom. Control 2012, 57, 2106–2110. [Google Scholar] [CrossRef]
- Polyakov, A.; Efimov, D.; Perruquetti, W. Finite-time and fixed-time stabilization: Implicit Lyapunov function approach. Automatica 2015, 51, 332–340. [Google Scholar] [CrossRef]
- Zuo, Z. Non-singular fixed-time consensus tracking for second-order multi-agent networks. Automatica 2015, 54, 305–309. [Google Scholar] [CrossRef]
- Tian, B.L.; Zuo, Z.Y.; Yan, X.M.; Wang, H. A fixed-time output feedback control scheme for double integrator systems. Automatica 2017, 80, 17–24. [Google Scholar] [CrossRef]
- Cao, Y.; Wen, C.Y.; Tan, S.L.; Song, Y.D. Prespecifiable fixed-time control for a class of uncertain nonlinear systems in strict-feedback form. Int. J. Robust Nonlin. Control 2019, 30, 1203–1222. [Google Scholar] [CrossRef]
- Lu, K.X.; Liu, Z.; Wang, Y.N.; Chen, C.L.P. Fixed-time adaptive fuzzy control for uncertain nonlinear. IEEE Trans. Fuzzy Syst. 2021, 29, 3769–3781. [Google Scholar] [CrossRef]
- Sun, W.; Diao, S.Z.; Su, S.F.; Sun, Z.Y. Fixed-time adaptive neural network control for nonlinear systems with input saturation. IEEE Trans. Neural Netw. Learn. Syst. 2021. [Google Scholar] [CrossRef]
- Chen, C.C.; Sun, Z.Y. Fixed-time stabilisation for a class of high-order non-linear systems. IET Control. Theory Appl. 2018, 12, 2578–2587. [Google Scholar] [CrossRef]
- Yu, L.Y.; Sun, Z.Y.; Meng, Q.H.; Chen, C.C. A new finite-time stabilizing design for a class of high-order uncertain nonlinear systems and its application in maglev systems. IEEE Trans. Syst. Man Cybern. Syst. 2022. [Google Scholar] [CrossRef]
- Ma, J.W.; Wang, H.Q.; Qiao, J.F. Adaptive neural fixed-time tracking control for high-order nonlinear systems. IEEE Trans. Neural Netw. Learn. Syst. 2022. [Google Scholar] [CrossRef]
- Chen, C.C.; Qian, C.J.; Lin, X.Z.; Sun, Z.Y.; Liang, Y.W. Smooth output feedback stabilization for a class of nonlinear systems with time-varying powers. Int. J. Robust Nonlin. Control 2017, 27, 5113–5128. [Google Scholar] [CrossRef]
- Man, Y.C.; Liu, Y.G. Global adaptive stabilization and practical tracking for nonlinear systems with unknown powers. Automatica 2019, 100, 171–181. [Google Scholar] [CrossRef]
- Wang, M.Q.; Liu, Y.G.; Man, Y.C. Switching adaptive controller for the nonlinear systems with uncertainties from unknown powers. IEEE Trans. Syst. Man Cybern. Syst. 2020, 50, 2375–2385. [Google Scholar] [CrossRef]
- Xie, X.J.; Guo, C.; Cui, R.H. Removing feasibility conditions on tracking control of full-state constrained nonlinear systems with time-varying powers. IEEE Trans. Syst. Man Cybern. Syst. 2021, 51, 6535–6543. [Google Scholar] [CrossRef]
- Jiang, B.Y.; Hu, Q.L.; Friswell, M.I. Fixed-time attitude control for rigid spacecraft with actuator saturation and faults. IEEE Trans. Contr. Syst. Technol. 2016, 24, 1892–1898. [Google Scholar] [CrossRef]
- Yuan, Y.X.; Zhao, J.S.; Sun, Z.Y. Fast finite time stability of stochastic nonlinear systems. J. Franklin. Inst. 2022, 359, 9039–9055. [Google Scholar] [CrossRef]
- Zhang, T.L.; Deng, F.Q.; Sun, Y.; Shi, P. Fault estimation and fault-tolerant control for linear discrete time-varying stochastic systems. Sci. China Inf. Sci. 2021, 64. [Google Scholar] [CrossRef]










Publisher’s Note: MDPI stays neutral with regard to jurisdictional claims in published maps and institutional affiliations. |
© 2022 by the authors. Licensee MDPI, Basel, Switzerland. This article is an open access article distributed under the terms and conditions of the Creative Commons Attribution (CC BY) license (https://creativecommons.org/licenses/by/4.0/).
Share and Cite
Ding, J.; Zhang, W.; Zhao, J.; Ma, L. Fixed-Time Tracking Control for Nonlinear Cascade Systems with Unknown High Powers. Processes 2022, 10, 2559. https://doi.org/10.3390/pr10122559
Ding J, Zhang W, Zhao J, Ma L. Fixed-Time Tracking Control for Nonlinear Cascade Systems with Unknown High Powers. Processes. 2022; 10(12):2559. https://doi.org/10.3390/pr10122559
Chicago/Turabian StyleDing, Jiling, Weihai Zhang, Junsheng Zhao, and Limin Ma. 2022. "Fixed-Time Tracking Control for Nonlinear Cascade Systems with Unknown High Powers" Processes 10, no. 12: 2559. https://doi.org/10.3390/pr10122559
APA StyleDing, J., Zhang, W., Zhao, J., & Ma, L. (2022). Fixed-Time Tracking Control for Nonlinear Cascade Systems with Unknown High Powers. Processes, 10(12), 2559. https://doi.org/10.3390/pr10122559

