Genes Common in Primary Immunodeficiencies and Cancer Display Overrepresentation of Codon CTG and Dominant Role of Selection Pressure in Shaping Codon Usage
Abstract
1. Introduction
2. Materials and Methods
2.1. Data Collection
2.2. Compositional Analysis
2.3. Dinucleotide Abundance
2.4. Relative Synonymous Codon Usage (RSCU) Analysis
2.5. Codon Adaptation Index (CAI59 and CAI18)
2.6. ENc Determination
2.7. Quantitation of Selection and Mutational Forces
2.8. Principal Component Analysis (PCA Analysis)
2.9. Protein Indices Calculation
2.10. Statistical Analysis
3. Results
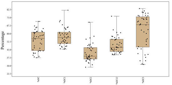
3.1. Compositional Analysis
3.2. Relation of Protein Length on GC12 and GC3 Content
3.3. Relationship between GC Component and Gene Expression and CUB
3.4. Relationship between the CUB and Nucleotide Composition with Respect to Codon Position
3.5. Dinucleotide Analysis
3.6. RSCU Analysis
3.7. Relationship between Gene Expression and Relative Frequency of Codon Usage
3.8. Principal Component Analysis (PCA)
3.9. Assessment of Compositional Constraints, Selection Pressure, and Mutational Force
3.10. Selection Force Is Dominant over Mutational Force
3.11. Role of Mutational Force on CUB
3.12. Parity Plot Analysis
3.13. Relation of Protein Indices with CAI-18
4. Discussion
5. Conclusions
Supplementary Materials
Author Contributions
Funding
Data Availability Statement
Conflicts of Interest
References
- Arkwright, P.D.; Gennery, A.R. Ten warning signs of primary immunodeficiency: A new paradigm is needed for the 21st century. Ann. N. Y. Acad. Sci. 2011, 1238, 7–14. [Google Scholar] [CrossRef]
- Derpoorter, C.; Bordon, V.; Laureys, G.; Haerynck, F.; Lammens, T. Genes at the Crossroad of Primary Immunodeficiencies and Cancer. Front. Immunol. 2018, 9, 2544. [Google Scholar] [CrossRef]
- Page, A.R.; Hansen, A.E.; Good, R.A. Occurrence of Leukemia and Lymphoma in Patients with Agammaglobulinemia. Blood 1963, 21, 197–206. [Google Scholar] [CrossRef]
- Boder, E.; Sedgwick, R.P. Ataxia-telangiectasia; a familial syndrome of progressive cerebellar ataxia, oculocutaneous telangiectasia and frequent pulmonary infection. Pediatrics 1958, 21, 526–554. [Google Scholar]
- Picard, C.; Bobby Gaspar, H.; Al-Herz, W.; Bousfiha, A.; Casanova, J.L.; Chatila, T.; Crow, Y.J.; Cunningham-Rundles, C.; Etzioni, A.; Luis Franco, J.; et al. International Union of Immunological Societies: 2017 Primary Immunodeficiency Diseases Committee Report on Inborn Errors of Immunity. J. Clin. Immunol. 2018, 38, 96–128. [Google Scholar] [CrossRef]
- Vajdic, C.M.; Mao, L.; van Leeuwen, M.T.; Kirkpatrick, P.; Grulich, A.E.; Riminton, S. Are antibody deficiency disorders associated with a narrower range of cancers than other forms of immunodeficiency? Blood 2010, 116, 1228–1234. [Google Scholar] [CrossRef]
- Mayor, P.C.; Eng, K.H.; Singel, K.L.; Abrams, S.I.; Odunsi, K.; Moysich, K.B.; Fuleihan, R.; Garabedian, E.; Lugar, P.; Ochs, H.D.; et al. Cancer in primary immunodeficiency diseases: Cancer incidence in the United States Immune Deficiency Network Registry. J. Allergy Clin. Immunol. 2018, 141, 1028–1035. [Google Scholar] [CrossRef]
- Jonkman-Berk, B.M.; van den Berg, J.M.; Ten Berge, I.J.; Bredius, R.G.; Driessen, G.J.; Dalm, V.A.; van Dissel, J.T.; van Deuren, M.; Ellerbroek, P.M.; van der Flier, M.; et al. Primary immunodeficiencies in the Netherlands: National patient data demonstrate the increased risk of malignancy. Clin. Immunol. 2015, 156, 154–162. [Google Scholar] [CrossRef] [PubMed]
- Haas, O.A. Primary Immunodeficiency and Cancer Predisposition Revisited: Embedding Two Closely Related Concepts Into an Integrative Conceptual Framework. Front. Immunol. 2019, 9, 3136. [Google Scholar] [CrossRef] [PubMed]
- Neven, B.; Mamessier, E.; Bruneau, J.; Kaltenbach, S.; Kotlarz, D.; Suarez, F.; Masliah-Planchon, J.; Billot, K.; Canioni, D.; Frange, P.; et al. A Mendelian predisposition to B-cell lymphoma caused by IL-10R deficiency. Blood 2013, 122, 3713–3722. [Google Scholar] [CrossRef] [PubMed]
- Rahman, N. Realizing the promise of cancer predisposition genes. Nature 2014, 505, 302–308. [Google Scholar] [CrossRef]
- Kunec, D.; Osterrieder, N. Codon Pair Bias Is a Direct Consequence of Dinucleotide Bias. Cell Rep. 2016, 14, 55–67. [Google Scholar] [CrossRef] [PubMed]
- Belalov, I.S.; Lukashev, A.N. Causes and Implications of Codon Usage Bias in RNA Viruses. PLoS ONE 2013, 8, 56642. [Google Scholar] [CrossRef] [PubMed]
- Kumar, U.; Khandia, R.; Singhal, S.; Puranik, N.; Tripathi, M.; Pateriya, A.K.; Khan, R.; Emran, T.B.; Dhama, K.; Munjal, A.; et al. Insight into Codon Utilization Pattern of Tumor Suppressor Gene EPB41L3 from Different Mammalian Species Indicates Dominant Role of Selection Force. Cancers 2021, 13, 2739. [Google Scholar] [CrossRef] [PubMed]
- Bourret, J.; Alizon, S.; Bravo, I.G. COUSIN (COdon Usage Similarity INdex): A Normalized Measure of Codon Usage Preferences. Genome Biol. Evol. 2019, 11, 3523–3528. [Google Scholar] [CrossRef] [PubMed]
- Sharp, P.; Li, W. The codon Adaptation Index—A measure of directional synonymous codon usage bias, and its potential applications. Nucleic Acids Res. 1987, 15, 1281–1295. [Google Scholar] [CrossRef] [PubMed]
- Khandia, R.; Singhal, S.; Kumar, U.; Ansari, A.; Tiwari, R.; Dhama, K.; Das, J.; Munjal, A.; Singh, R.K. Analysis of Nipah Virus Codon Usage and Adaptation to Hosts. Front. Microbiol. 2019, 886. [Google Scholar] [CrossRef]
- Kyte, J.; Doolittle, R.F. A simple method for displaying the hydropathic character of a protein. J. Mol. Biol. 1982, 157, 105–132. [Google Scholar] [CrossRef]
- Lobry, J.R.; Gautier, C. Hydrophobicity, expressivity and aromaticity are the major trends of amino-acid usage in 999 Escherichia coli chromosome-encoded genes. Nucleic Acids Res. 1994, 22, 3174–3180. [Google Scholar] [CrossRef]
- Uddin, A.; Mazumder, T.H.; Choudhury, M.N.; Chakraborty, S. Codon bias and gene expression of mitochondrial ND2 gene in chordates. Bioinformation 2015, 11, 407. [Google Scholar] [CrossRef]
- Young, L.; Jernigan, R.L.; Covell, D.G. A role for surface hydrophobicity in protein-protein recognition. Protein Sci. 1994, 3, 717–729. [Google Scholar] [CrossRef] [PubMed]
- Kall, L.; Krogh, A.; Sonnhammer, E.L.L. A combined transmembrane topology and signal peptide prediction method. J. Mol. Biol. 2004, 338, 1027–1036. [Google Scholar] [CrossRef]
- Kaur, A.; Pati, P.K.; Pati, A.M.; Nagpal, A.K. Physico-chemical characterization and topological analysis of pathogenesis-related proteins from Arabidopsis thaliana and Oryza sativa using in-silico approaches. PLoS ONE 2020, 15, e0239836. [Google Scholar] [CrossRef]
- Gasteiger, E.; Hoogland, C.; Gattiker, A.; Duvaud, S.; Wilkins, M.R.; Appel, R.D.; Bairoch, A. Protein Identification and Analysis Tools on the ExPASy Server. Proteom. Protoc. Handb. 2005, 571–607. [Google Scholar] [CrossRef]
- Hammer, D.A.T.; Ryan, P.D.; Hammer, Ø.; Harper, D.A.T. Past: Paleontological Statistics Software Package for Education and Data Analysis. Palaeontol. Electron. 2001, 4, 178. [Google Scholar]
- Munjal, A.; Khandia, R.; Shende, K.K.; Das, J. Mycobacterium lepromatosis genome exhibits unusually high CpG dinucleotide content and selection is key force in shaping codon usage. Infect. Genet. Evol. 2020, 84, 104399. [Google Scholar] [CrossRef]
- Chen, Y.; Shi, Y.; Deng, H.; Gu, T.; Xu, J.; Ou, J.; Jiang, Z.; Jiao, Y.; Zou, T.; Wang, C. Characterization of the porcine epidemic diarrhea virus codon usage bias. Infect. Genet. Evol. 2014, 28, 95–100. [Google Scholar] [CrossRef]
- Pan, Y.; Li, X.; Yang, G.; Fan, J.; Tang, Y.; Zhao, J.; Long, X.; Guo, S.; Zhao, Z.; Liu, Y.; et al. Serological immunochromatographic approach in diagnosis with SARS-CoV-2 infected COVID-19 patients. J. Infect. 2020, 81, e28–e32. [Google Scholar] [CrossRef]
- Deb, B.; Uddin, A.; Chakraborty, S. Composition, codon usage pattern, protein properties, and influencing factors in the genomes of members of the family Anelloviridae. Arch. Virol. 2021, 166, 461–474. [Google Scholar] [CrossRef]
- Barbhuiya, P.A.; Uddin, A.; Chakraborty, S. Genome-wide comparison of codon usage dynamics in mitochondrial genes across different species of amphibian genus Bombina. J. Exp. Zool. Part B Mol. Dev. Evol. 2019, 332, 99–112. [Google Scholar] [CrossRef]
- Deb, B.; Uddin, A.; Chakraborty, S. Genome-wide analysis of codon usage pattern in herpesviruses and its relation to evolution. Virus Res. 2021, 292, 198248. [Google Scholar] [CrossRef]
- Sueoka, N. Translation-coupled violation of Parity Rule 2 in human genes is not the cause of heterogeneity of the DNA G+C content of third codon position. Gene 1999, 238, 53–58. [Google Scholar] [CrossRef]
- Robertson, A.D.; Murphy, K.P. Protein Structure and the Energetics of Protein Stability. Chem. Rev. 1997, 97, 1251–1267. [Google Scholar] [CrossRef]
- Fagerberg, E.; Månsson, L.K.; Lenton, S.; Skepö, M. The Effects of Chain Length on the Structural Properties of Intrinsically Disordered Proteins in Concentrated Solutions. J. Phys. Chem. B 2020, 124, 11843–11853. [Google Scholar] [CrossRef] [PubMed]
- Ghosh, K.; Dill, K.A. Computing protein stabilities from their chain lengths. Proc. Natl. Acad. Sci. USA 2009, 106, 10649–10654. [Google Scholar] [CrossRef] [PubMed]
- O’Connell, M.J.; Doyle, A.M.; Juenger, T.E.; Donoghue, M.T.; Keshavaiah, C.; Tuteja, R.; Spillane, C. In Arabidopsis thaliana codon volatility scores reflect GC3 composition rather than selective pressure. BMC Res. Notes 2012, 5, 359. [Google Scholar] [CrossRef]
- Sau, K.; Gupta, S.K.; Sau, S.; Mandal, S.C.; Ghosh, T.C. Factors influencing synonymous codon and amino acid usage biases in Mimivirus. Biosystems 2006, 85, 107–113. [Google Scholar] [CrossRef] [PubMed]
- Warringer, J.; Blomberg, A. Evolutionary constraints on yeast protein size. BMC Evol. Biol. 2006, 6, 61. [Google Scholar] [CrossRef]
- Moriyama, E.N.; Powell, J.R. Gene length and codon usage bias in Drosophila melanogaster, Saccharomyces cerevisiae and Escherichia coli. Nucleic Acids Res. 1998, 26, 3188–3193. [Google Scholar] [CrossRef]
- Pandit, A.; Vadlamudi, J.; Sinha, S. Analysis of dinucleotide signatures in HIV-1 subtype B genomes. J. Genet. 2013, 92, 403–412. [Google Scholar] [CrossRef]
- Gao, F.; Li, Y.; Decker, J.M.; Peyerl, F.W.; Bibollet-Ruche, F.; Rodenburg, C.M.; Chen, Y.; Shaw, D.R.; Allen, S.; Musonda, R.; et al. Codon usage optimization of HIV type 1 subtype C gag, pol, env, and nef genes: In vitro expression and immune responses in DNA-vaccinated mice. AIDS Res. Hum. Retroviruses 2003, 19, 817–823. [Google Scholar] [CrossRef] [PubMed]
- Bestor, T.H. The DNA methyltransferases of mammals. Hum. Mol. Genet. 2000, 9, 2395–2402. [Google Scholar] [CrossRef] [PubMed]
- Caiafa, P.; Zampieri, M. DNA methylation and chromatin structure: The puzzling CpG islands. J. Cell Biochem. 2005, 94, 257–265. [Google Scholar] [CrossRef]
- Bauer, A.P.; Leikam, D.; Krinner, S.; Notka, F.; Ludwig, C.; Längst, G.; Wagner, R. The impact of intragenic CpG content on gene expression. Nucleic Acids Res. 2010, 38, 3891. [Google Scholar] [CrossRef]
- Chakraborty, S.; Nath, D.; Paul, S.; Choudhury, Y.; Ahn, Y.; Cho, Y.S.; Uddin, A. A Crosstalk on Codon Usage in Genes Associated with Leukemia. Biochem. Genet. 2020, 59, 235–255. [Google Scholar] [CrossRef]
- Uddin, A.; Chakraborty, S. Codon Usage Pattern of Genes Involved in Central Nervous System. Mol. Neurobiol. 2018, 56, 1737–1748. [Google Scholar] [CrossRef]
- Nath Choudhury, M.; Uddin, A.; Chakraborty, S. Codon usage bias and its influencing factors for Y-linked genes in human. Comput. Biol. Chem. 2017, 69, 77–86. [Google Scholar] [CrossRef]
- Doyle, F.; Leonardi, A.; Endres, L.; Tenenbaum, S.A.; Dedon, P.C.; Begley, T.J. Gene- and genome-based analysis of significant codon patterns in yeast, rat and mice genomes with the CUT Codon UTilization tool. Methods 2016, 107, 98–109. [Google Scholar] [CrossRef]
- Uddin, A. Compositional Features and Codon Usage Pattern of Genes Associated with Anxiety in Human. Mol. Neurobiol. 2020, 57, 4911–4920. [Google Scholar] [CrossRef]
- Yu, X.; Liu, J.; Li, H.; Liu, B.; Zhao, B.; Ning, Z. Comprehensive analysis of synonymous codon usage patterns and influencing factors of porcine epidemic diarrhea virus. Arch. Virol. 2021, 166, 157–165. [Google Scholar] [CrossRef]
- Guruprasad, K.; Reddy, B.V.B.; Pandit, M.W. Correlation between stability of a protein and its dipeptide composition: A novel approach for predicting in vivo stability of a protein from its primary sequence. Protein Eng. Des. Sel 1990, 4, 155–161. [Google Scholar] [CrossRef] [PubMed]
- Biro, J. Amino acid size, charge, hydropathy indices and matrices for protein structure analysis. Theor. Biol. Med. Model. 2006, 3, 1–12. [Google Scholar] [CrossRef]
- Matheson, R.R., Jr.; Scheraga, H.A. A Method for Predicting Nucleation Sites for Protein Folding Based on Hydrophobic Contacts. Macromolecules 2002, 11, 819–829. [Google Scholar] [CrossRef]














| Gene Name | |||||||||||
|---|---|---|---|---|---|---|---|---|---|---|---|
| 1 | NBN | 8 | PRF1 | 15 | JAK3 | 22 | STAT5B | 29 | CD79A | 36 | ATM |
| 2 | CARD11 | 9 | STAT3 | 16 | LCK | 23 | CDKN2A | 30 | CD79B | 37 | BLM |
| 3 | CASP8 | 10 | PIK3R1 | 17 | MALT1 | 24 | CSF3R | 31 | NFKB2 | 38 | FCGR2B |
| 4 | FAS | 11 | CIITA | 18 | MSN | 25 | WAS | 32 | PMS2 | 39 | IKZF1 |
| 5 | ITK | 12 | IKBKB | 19 | PTPRC | 26 | GATA2 | 33 | TCF3 | 40 | POLE |
| 6 | KRAS | 13 | IL21R | 20 | RECQL4 | 27 | SBDS | 34 | CXCR4 | 41 | TERT |
| 7 | NRAS | 14 | IL7R | 21 | RHOH | 28 | BTK | 35 | MYD88 | 42 | TNFRSF1A |
| %GC | %GC1 | %GC2 | %GC12 | %GC3 | CAI_59 | ENc | |
|---|---|---|---|---|---|---|---|
| %GC | <0.0001 | <0.0001 | <0.0001 | <0.0001 | <0.0001 | <0.0001 | |
| %GC1 | 0.8757 | <0.0001 | <0.0001 | <0.0001 | <0.05 | <0.001 | |
| %GC2 | 0.7853 | 0.7813 | <0.0001 | <0.01 | NS | <0.001 | |
| %GC12 | 0.8796 | 0.9428 | 0.9447 | <0.0001 | NS | <0.001 | |
| %GC3 | 0.8880 | 0.6109 | 0.4519 | 0.5624 | <0.0001 | 0.0001 | |
| CAI_59 | 0.6586 | 0.3343 | 0.1662 | 0.2644 | 0.8893 | <0.0001 | |
| ENc | −0.7394 | −0.5100 | −0.5382 | −0.5554 | −0.7484 | −0.6530 |
| ENc | %A | %C | %T | %G | %A1 | %C1 |
|---|---|---|---|---|---|---|
| Pearson’s r value | 0.70745 | −0.72116 | 0.6693 | −0.65231 | 0.55162 | −0.52466 |
| p value | <0.0001 | <0.0001 | <0.0001 | <0.0001 | <0.001 | <0.001 |
| ENc | %T1 | %G1 | %A2 | %C2 | %T2 | %G2 |
| Pearson’s r value | 0.25318 | −0.22447 | 0.51862 | −0.46184 | 0.30778 | −0.49723 |
| p value | NS | NS | <0.001 | <0.01 | <0.05 | <0.001 |
| ENc | %A3 | %C3 | %T3 | %G3 | %GC | %GC1 |
| Pearson’s r value | 0.74303 | −0.70233 | 0.7093 | −0.64765 | −0.73937 | −0.50996 |
| p value | <0.0001 | <0.0001 | <0.0001 | <0.0001 | <0.0001 | <0.001 |
| ENc | %GC2 | %GC12 | %GC3 | %GC3 | -- | -- |
| Pearson’s r value | −0.53816 | −0.55542 | −0.74837 | −0.74837 | ||
| p value | <0.001 | <0.001 | <0.001 | <0.0001 |
| %A | %C | %T | %G | %G+C | |
|---|---|---|---|---|---|
| %A3 | 0.859 *** | −0.852 *** | 0.725 *** | −0.745 *** | −0.862 *** |
| %C3 | −0.796 *** | 0.868 *** | −0.702 *** | 0.601 *** | 0.811 *** |
| %T3 | 0.772 *** | −0.823 *** | 0.868 *** | −0.78 *** | −0.862 *** |
| %G3 | −0.719 *** | 0.667 *** | −0.799 *** | 0.874 *** | 0.799 *** |
| %G3+C3 | −0.841 *** | 0.863 *** | −0.818 *** | 0.788 *** | 0.888 *** |
Publisher’s Note: MDPI stays neutral with regard to jurisdictional claims in published maps and institutional affiliations. |
© 2021 by the authors. Licensee MDPI, Basel, Switzerland. This article is an open access article distributed under the terms and conditions of the Creative Commons Attribution (CC BY) license (https://creativecommons.org/licenses/by/4.0/).
Share and Cite
Khandia, R.; Alqahtani, T.; Alqahtani, A.M. Genes Common in Primary Immunodeficiencies and Cancer Display Overrepresentation of Codon CTG and Dominant Role of Selection Pressure in Shaping Codon Usage. Biomedicines 2021, 9, 1001. https://doi.org/10.3390/biomedicines9081001
Khandia R, Alqahtani T, Alqahtani AM. Genes Common in Primary Immunodeficiencies and Cancer Display Overrepresentation of Codon CTG and Dominant Role of Selection Pressure in Shaping Codon Usage. Biomedicines. 2021; 9(8):1001. https://doi.org/10.3390/biomedicines9081001
Chicago/Turabian StyleKhandia, Rekha, Taha Alqahtani, and Ali M. Alqahtani. 2021. "Genes Common in Primary Immunodeficiencies and Cancer Display Overrepresentation of Codon CTG and Dominant Role of Selection Pressure in Shaping Codon Usage" Biomedicines 9, no. 8: 1001. https://doi.org/10.3390/biomedicines9081001
APA StyleKhandia, R., Alqahtani, T., & Alqahtani, A. M. (2021). Genes Common in Primary Immunodeficiencies and Cancer Display Overrepresentation of Codon CTG and Dominant Role of Selection Pressure in Shaping Codon Usage. Biomedicines, 9(8), 1001. https://doi.org/10.3390/biomedicines9081001

