GJA1 Expression and Left Atrial Remodeling in the Incidence of Atrial Fibrillation in Patients with Obstructive Sleep Apnea Syndrome
Abstract
:1. Introduction
2. Materials and Methods
2.1. Patient Enrollment and Sample Management
2.2. PSG Study and Definition of SDB Metrics
2.3. Definition of AF and Echocardiography Measurement
2.4. HL-1 Cell Culture, Exosome Purification, and Treatment of HL-1 Cells
2.4.1. Exosome Isolation, Purification, and Quantification
2.4.2. HL-1 Cell Culture and Treatment with Exosomes
2.5. Real-Time Quantitative Reverse Transcriptase-Polymerase Chain Reaction Analysis (qRT-PCR) of mRNA Expression in HL-1 Cells
2.6. Statistical Analysis
3. Results
3.1. Baseline Characteristics of OSAS Patients with and without AF
3.2. Predictors of AF Occurrence in Patients with OSAS
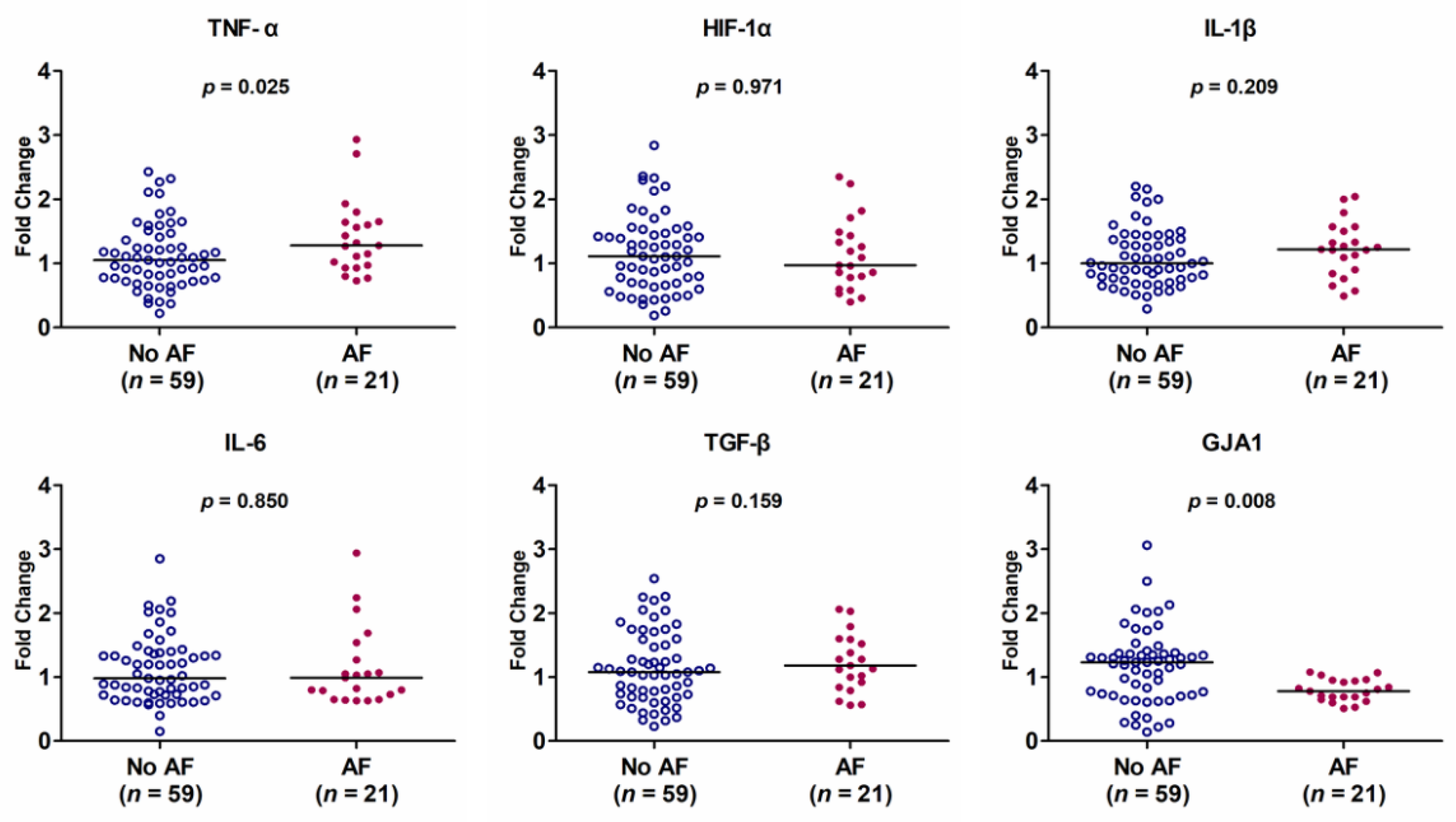
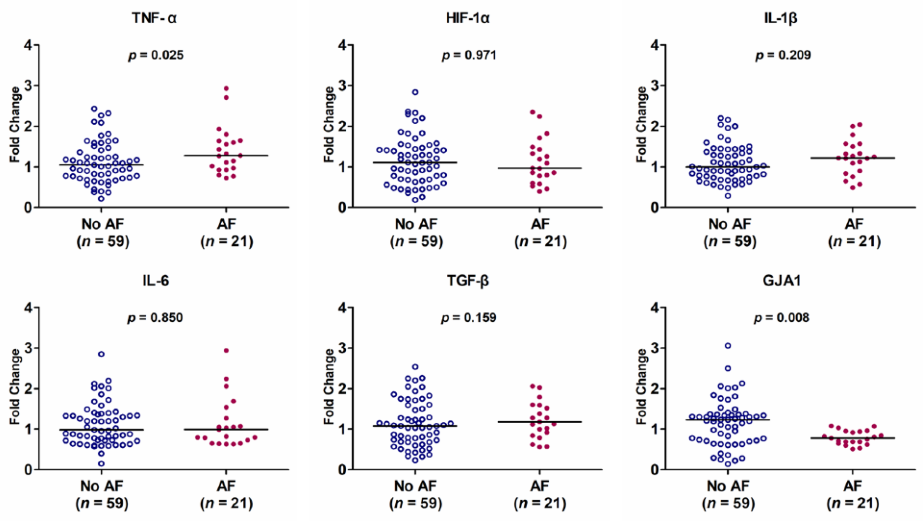
3.3. mRNA Gene Expression in HL-1 Cells Incubated with Exosomes Derived from OSAS Patients with and without AF
3.4. Correlation between GJA1 Gene Expression in HL-1 Cells and PSG Metrics in OSAS Patients with AF
4. Discussion
Limitations
5. Conclusions
Supplementary Materials
Author Contributions
Funding
Institutional Review Board Statement
Informed Consent Statement
Data Availability Statement
Acknowledgments
Conflicts of Interest
References
- Ahmad, Y.; Lip, G.Y.; Lane, D.A. Recent developments in understanding epidemiology and risk determinants of atrial fibrillation as a cause of stroke. Can. J. Cardiol. 2013, 29, S4–S13. [Google Scholar] [CrossRef] [PubMed]
- Wolf, P.A.; Dawber, T.R.; Thomas, H.E., Jr.; Kannel, W.B. Epidemiologic assessment of chronic atrial fibrillation and risk of stroke: The Framingham study. Neurology 1978, 28, 973–977. [Google Scholar] [CrossRef] [PubMed] [Green Version]
- Peppard, P.E.; Young, T.; Barnet, J.H.; Palta, M.; Hagen, E.W.; Hla, K.M. Increased prevalence of sleep-disordered breathing in adults. Am. J. Epidemiol. 2013, 177, 1006–1014. [Google Scholar] [CrossRef] [PubMed] [Green Version]
- Somers, V.K.; White, D.P.; Amin, R.; Abraham, W.T.; Costa, F.; Culebras, A.; Daniels, S.; Floras, J.S.; Hunt, C.E.; Olson, L.J.; et al. Sleep apnea and cardiovascular disease: An American Heart Association/American College of Cardiology Foundation Scientific Statement from the American Heart Association Council for High Blood Pressure Research Professional Education Committee, Council on Clinical Cardiology, Stroke Council, and Council on Cardiovascular Nursing. In collaboration with the National Heart, Lung, and Blood Institute National Center on Sleep Disorders Research (National Institutes of Health). Circulation 2008, 118, 1080–1111. [Google Scholar] [CrossRef] [PubMed]
- Pepperell, J.C.; Ramdassingh-Dow, S.; Crosthwaite, N.; Mullins, R.; Jenkinson, C.; Stradling, J.R.; Davies, R.J. Ambulatory blood pressure after therapeutic and subtherapeutic nasal continuous positive airway pressure for obstructive sleep apnoea: A randomised parallel trial. Lancet 2002, 359, 204–210. [Google Scholar] [CrossRef]
- Gami, A.S.; Pressman, G.; Caples, S.M.; Kanagala, R.; Gard, J.J.; Davison, D.E.; Malouf, J.F.; Ammash, N.M.; Friedman, P.A.; Somers, V.K. Association of atrial fibrillation and obstructive sleep apnea. Circulation 2004, 110, 364–367. [Google Scholar] [CrossRef] [PubMed]
- Gami, A.S.; Hodge, D.O.; Herges, R.M.; Olson, E.J.; Nykodym, J.; Kara, T.; Somers, V.K. Obstructive sleep apnea, obesity, and the risk of incident atrial fibrillation. J. Am. Coll. Cardiol. 2007, 49, 565–571. [Google Scholar] [CrossRef] [Green Version]
- Yaggi, H.K.; Concato, J.; Kernan, W.N.; Lichtman, J.H.; Brass, L.M.; Mohsenin, V. Obstructive sleep apnea as a risk factor for stroke and death. N. Engl. J. Med. 2005, 353, 2034–2041. [Google Scholar] [CrossRef] [Green Version]
- Yeung, C.; Crinion, D.; Hammond, S.; Chacko, S.; Enriquez, A.; Redfearn, D.; Simpson, C.; Abdollah, H.; Baranchuk, A. Ambulatory ECG predictors of atrial fibrillation are ineffective in severe sleep apnea. J. Electrocardiol. 2019, 55, 120–122. [Google Scholar] [CrossRef]
- Hendrikx, T.; Sundqvist, M.; Sandstrom, H.; Sahlin, C.; Rohani, M.; Al-Khalili, F.; Hornsten, R.; Blomberg, A.; Wester, P.; Rosenqvist, M.; et al. Atrial fibrillation among patients under investigation for suspected obstructive sleep apnea. PLoS ONE 2017, 12, e0171575. [Google Scholar] [CrossRef] [Green Version]
- Deng, F.; Raza, A.; Guo, J. Treating obstructive sleep apnea with continuous positive airway pressure reduces risk of recurrent atrial fibrillation after catheter ablation: A meta-analysis. Sleep Med. 2018, 46, 5–11. [Google Scholar] [CrossRef] [PubMed]
- Burstein, B.; Nattel, S. Atrial fibrosis: Mechanisms and clinical relevance in atrial fibrillation. J. Am. Coll. Cardiol. 2008, 51, 802–809. [Google Scholar] [CrossRef] [Green Version]
- Hindricks, G.; Potpara, T.; Dagres, N.; Arbelo, E.; Bax, J.J.; Blomstrom-Lundqvist, C.; Boriani, G.; Castella, M.; Dan, G.A.; Dilaveris, P.E.; et al. 2020 ESC Guidelines for the diagnosis and management of atrial fibrillation developed in collaboration with the European Association for Cardio-Thoracic Surgery (EACTS): The Task Force for the diagnosis and management of atrial fibrillation of the European Society of Cardiology (ESC) Developed with the special contribution of the European Heart Rhythm Association (EHRA) of the ESC. Eur. Heart J. 2021, 42, 373–498. [Google Scholar] [CrossRef] [PubMed]
- Thomas, S.A.; Schuessler, R.B.; Berul, C.I.; Beardslee, M.A.; Beyer, E.C.; Mendelsohn, M.E.; Saffitz, J.E. Disparate effects of deficient expression of connexin43 on atrial and ventricular conduction: Evidence for chamber-specific molecular determinants of conduction. Circulation 1998, 97, 686–691. [Google Scholar] [CrossRef] [Green Version]
- Pfenniger, A.; Chanson, M.; Kwak, B.R. Connexins in atherosclerosis. Biochim. Biophys. Acta 2013, 1828, 157–166. [Google Scholar] [CrossRef]
- van Rijen, H.V.; Eckardt, D.; Degen, J.; Theis, M.; Ott, T.; Willecke, K.; Jongsma, H.J.; Opthof, T.; de Bakker, J.M. Slow conduction and enhanced anisotropy increase the propensity for ventricular tachyarrhythmias in adult mice with induced deletion of connexin43. Circulation 2004, 109, 1048–1055. [Google Scholar] [CrossRef] [Green Version]
- Liao, J.; Liu, R.; Yin, L.; Pu, Y. Expression profiling of exosomal miRNAs derived from human esophageal cancer cells by Solexa high-throughput sequencing. Int. J. Mol. Sci. 2014, 15, 15530–15551. [Google Scholar] [CrossRef] [Green Version]
- Gross, J.C.; Chaudhary, V.; Bartscherer, K.; Boutros, M. Active Wnt proteins are secreted on exosomes. Nat. Cell Biol. 2012, 14, 1036–1045. [Google Scholar] [CrossRef]
- Mathivanan, S.; Ji, H.; Simpson, R.J. Exosomes: Extracellular organelles important in intercellular communication. J. Proteom. 2010, 73, 1907–1920. [Google Scholar] [CrossRef]
- Claycomb, W.C.; Lanson, N.A., Jr.; Stallworth, B.S.; Egeland, D.B.; Delcarpio, J.B.; Bahinski, A.; Izzo, N.J., Jr. HL-1 cells: A cardiac muscle cell line that contracts and retains phenotypic characteristics of the adult cardiomyocyte. Proc. Natl. Acad. Sci. USA 1998, 95, 2979–2984. [Google Scholar] [CrossRef] [PubMed] [Green Version]
- Chen, Y.L.; Su, M.C.; Liu, W.H.; Wang, C.C.; Lin, M.C.; Chen, M.C. Influence and predicting variables of obstructive sleep apnea on cardiac function and remodeling in patients without congestive heart failure. J. Clin. Sleep Med. 2014, 10, 57–64. [Google Scholar] [CrossRef] [PubMed] [Green Version]
- Redline, S.; Budhiraja, R.; Kapur, V.; Marcus, C.L.; Mateika, J.H.; Mehra, R.; Parthasarthy, S.; Somers, V.K.; Strohl, K.P.; Sulit, L.G.; et al. The scoring of respiratory events in sleep: Reliability and validity. J. Clin. Sleep Med. 2007, 3, 169–200. [Google Scholar] [CrossRef]
- Bonnet, M.H.; Carley, D.W.; Carskadon, M.A.; Easton, P.A.; Guilleminault, C.; Harper, R.M.; Hayes, B.; Hirshkowitz, M.; Ktonas, P.Y.; Keenan, S.; et al. EEG arousals: Scoring rules and examples: A preliminary report from the Sleep Disorders Atlas Task Force of the American Sleep Disorders Association. Sleep 1992, 15, 173–184. [Google Scholar]
- Kwon, Y.; Gharib, S.A.; Biggs, M.L.; Jacobs, D.R., Jr.; Alonso, A.; Duprez, D.; Lima, J.; Lin, G.M.; Soliman, E.Z.; Mehra, R.; et al. Association of sleep characteristics with atrial fibrillation: The Multi-Ethnic Study of Atherosclerosis. Thorax 2015, 70, 873–879. [Google Scholar] [CrossRef] [Green Version]
- Liu, W.H.; Guo, B.F.; Chen, Y.L.; Tsai, T.H.; Fu, M.; Chua, S.; Chen, M.C. Right ventricular outflow tract pacing causes intraventricular dyssynchrony in patients with sick sinus syndrome: A real-time three-dimensional echocardiographic study. J. Am. Soc. Echocardiogr. 2010, 23, 599–607. [Google Scholar] [CrossRef]
- Lang, R.M.; Badano, L.P.; Mor-Avi, V.; Afilalo, J.; Armstrong, A.; Ernande, L.; Flachskampf, F.A.; Foster, E.; Goldstein, S.A.; Kuznetsova, T.; et al. Recommendations for cardiac chamber quantification by echocardiography in adults: An update from the American Society of Echocardiography and the European Association of Cardiovascular Imaging. Eur. Heart J. Echocardiogr. Imaging 2015, 16, 233–271. [Google Scholar] [CrossRef]
- Chen, Y.L.; Wang, H.T.; Chen, H.C.; Chai, H.T.; Lee, Y.W.; Liu, W.H. Localization of right ventricular non-apical lead position: Comparison of three-dimensional echocardiography, computed tomography, and fluoroscopic imaging. J. Int. Med. Res. 2021, 49, 300060521996159. [Google Scholar] [CrossRef]
- Tauro, B.J.; Greening, D.W.; Mathias, R.A.; Ji, H.; Mathivanan, S.; Scott, A.M.; Simpson, R.J. Comparison of ultracentrifugation, density gradient separation, and immunoaffinity capture methods for isolating human colon cancer cell line LIM1863-derived exosomes. Methods 2012, 56, 293–304. [Google Scholar] [CrossRef] [PubMed]
- Lydic, T.A.; Townsend, S.; Adda, C.G.; Collins, C.; Mathivanan, S.; Reid, G.E. Rapid and comprehensive ‘shotgun’ lipidome profiling of colorectal cancer cell derived exosomes. Methods 2015, 87, 83–95. [Google Scholar] [CrossRef] [Green Version]
- Huang, C.; Fisher, K.P.; Hammer, S.S.; Navitskaya, S.; Blanchard, G.J.; Busik, J.V. Plasma Exosomes Contribute to Microvascular Damage in Diabetic Retinopathy by Activating the Classical Complement Pathway. Diabetes 2018, 67, 1639–1649. [Google Scholar] [CrossRef] [PubMed] [Green Version]
- Kuznetsov, A.V.; Javadov, S.; Sickinger, S.; Frotschnig, S.; Grimm, M. H9c2 and HL-1 cells demonstrate distinct features of energy metabolism, mitochondrial function and sensitivity to hypoxia-reoxygenation. Biochim. Biophys. Acta 2015, 1853, 276–284. [Google Scholar] [CrossRef] [PubMed] [Green Version]
- Hsu, P.Y.; Hsi, E.; Wang, T.M.; Lin, R.T.; Liao, Y.C.; Juo, S.H. MicroRNA let-7g possesses a therapeutic potential for peripheral artery disease. J. Cell Mol. Med. 2017, 21, 519–529. [Google Scholar] [CrossRef] [Green Version]
- Nguyen, S.V.; Claycomb, W.C. Hypoxia regulates the expression of the adrenomedullin and HIF-1 genes in cultured HL-1 cardiomyocytes. Biochem. Biophys. Res. Commun. 1999, 265, 382–386. [Google Scholar] [CrossRef] [PubMed] [Green Version]
- Malhotra, A.; White, D.P. Obstructive sleep apnoea. Lancet 2002, 360, 237–245. [Google Scholar] [CrossRef]
- Fessler, H.E. Heart-lung interactions: Applications in the critically ill. Eur. Respir. J. 1997, 10, 226–237. [Google Scholar] [CrossRef] [Green Version]
- Vaziri, S.M.; Larson, M.G.; Benjamin, E.J.; Levy, D. Echocardiographic predictors of nonrheumatic atrial fibrillation. The Framingham Heart Study. Circulation 1994, 89, 724–730. [Google Scholar] [CrossRef] [Green Version]
- Kumar, S.; Teh, A.W.; Medi, C.; Kistler, P.M.; Morton, J.B.; Kalman, J.M. Atrial remodeling in varying clinical substrates within beating human hearts: Relevance to atrial fibrillation. Prog. Biophys. Mol. Biol. 2012, 110, 278–294. [Google Scholar] [CrossRef]
- Shukla, A.; Aizer, A.; Holmes, D.; Fowler, S.; Park, D.S.; Bernstein, S.; Bernstein, N.; Chinitz, L. Effect of Obstructive Sleep Apnea Treatment on Atrial Fibrillation Recurrence: A Meta-Analysis. JACC Clin. Electrophysiol. 2015, 1, 41–51. [Google Scholar] [CrossRef]
- Guess, J.; Burch, J.B.; Ogoussan, K.; Armstead, C.A.; Zhang, H.; Wagner, S.; Hebert, J.R.; Wood, P.; Youngstedt, S.D.; Hofseth, L.J.; et al. Circadian disruption, Per3, and human cytokine secretion. Integr. Cancer Ther. 2009, 8, 329–336. [Google Scholar] [CrossRef] [Green Version]
- Wu, N.; Xu, B.; Xiang, Y.; Wu, L.; Zhang, Y.; Ma, X.; Tong, S.; Shu, M.; Song, Z.; Li, Y.; et al. Association of inflammatory factors with occurrence and recurrence of atrial fibrillation: A meta-analysis. Int. J. Cardiol. 2013, 169, 62–72. [Google Scholar] [CrossRef] [PubMed]
- Bruunsgaard, H.; Pedersen, B.K. Age-related inflammatory cytokines and disease. Immunol. Allergy Clin. N. Am. 2003, 23, 15–39. [Google Scholar] [CrossRef]
- Aomatsu, M.; Kato, T.; Kasahara, E.; Kitagawa, S. Gender difference in tumor necrosis factor-alpha production in human neutrophils stimulated by lipopolysaccharide and interferon-gamma. Biochem. Biophys. Res. Commun. 2013, 441, 220–225. [Google Scholar] [CrossRef] [PubMed]
- Gabryelska, A.; Szmyd, B.; Szemraj, J.; Stawski, R.; Sochal, M.; Bialasiewicz, P. Patients with obstructive sleep apnea present with chronic upregulation of serum HIF-1alpha protein. J. Clin. Sleep Med. 2020, 16, 1761–1768. [Google Scholar] [CrossRef] [PubMed]
- Lu, D.; Li, N.; Yao, X.; Zhou, L. Potential inflammatory markers in obstructive sleep apnea-hypopnea syndrome. Bosn. J. Basic Med. Sci. 2017, 17, 47–53. [Google Scholar] [CrossRef] [PubMed] [Green Version]
- Gabryelska, A.; Stawski, R.; Sochal, M.; Szmyd, B.; Bialasiewicz, P. Influence of one-night CPAP therapy on the changes of HIF-1alpha protein in OSA patients: A pilot study. J. Sleep Res. 2020, 29, e12995. [Google Scholar] [CrossRef] [PubMed]
- Su, F.; Zhang, W.; Chen, Y.; Ma, L.; Zhang, H.; Wang, F. Significance of hypoxia-inducible factor-1alpha expression with atrial fibrosis in rats induced with isoproterenol. Exp. Ther. Med. 2014, 8, 1677–1682. [Google Scholar] [CrossRef] [Green Version]
- Rodjakovic, D.; Salm, L.; Beldi, G. Function of Connexin-43 in Macrophages. Int. J. Mol. Sci. 2021, 22, 1412. [Google Scholar] [CrossRef]
- Hulsmans, M.; Clauss, S.; Xiao, L.; Aguirre, A.D.; King, K.R.; Hanley, A.; Hucker, W.J.; Wulfers, E.M.; Seemann, G.; Courties, G.; et al. Macrophages Facilitate Electrical Conduction in the Heart. Cell 2017, 169, 510–522e520. [Google Scholar] [CrossRef] [Green Version]



| Variables | No AF (N = 82) | AF (N = 21) | p-Value |
|---|---|---|---|
| Age | 56.5 (46–64) | 68.6 (53–70) | 0.016 |
| Sex (male) | 21 (25.6%) | 4 (19%) | 0.776 |
| Smoking | 15 (18.3%) | 18 (14.3%) | |
| BMI | 26.3 ± 3.5 | 26.9 ± 3.4 | 0.442 |
| Waistline | 86.0 ± 7.8 | 92.0 ± 5.7 | 0.287 |
| DM | 6 (7.3%) | 5 (23.8%) | 0.029 |
| HTN | 31 (37.8%) | 10 (47.6%) | 0.412 |
| HF | 0 (0%) | 3 (14.3%) | 0.008 |
| Stroke | 3 (3.7%) | 2 (9.5%) | 0.273 |
| CAD | 3 (3.7%) | 1 (4.8%) | 0.824 |
| Cancer | 1 (1.2%) | 0 (0%) | 1.000 |
| Thyroid disorder | 1 (1.2%) | 1 (4.8%) | 0.299 |
| Polysomnography | |||
| Epworth sleepiness scale | 8.54 ± 4.7 | 8.04 ± 5.1 | 0.673 |
| AHI (per hour) | 40.1 (22.6–57.0) | 39.5 (26.2–63.5) | 0.852 |
| AHI, REM phase (per hour) | 48.0 (31.7–63.1) | 44.9 (37.7–60.5) | 0.859 |
| AHI, NREM phase (per hour) | 40.5 (21.5–56.8) | 35.8 (23.8–63.7) | 0.890 |
| ODI (per hour) | 24.9 (10.6–42.7) | 30.4 (17.9–53.8) | 0.169 |
| ODI, REM phase (per hour) | 40.0 (17.2–53.2) | 38.0 (22.9–54.6) | 0.907 |
| ODI, NREM phase (per hour) | 22.1 (9.6–40.8) | 31.6 (13.7–56.0) | 0.171 |
| Lowest SpO2 (%) | 80.0 (72.8–85.3) | 78.0 (62.5–88.0) | 0.338 |
| Arousal index (per hour) | 32.8 (19.9–55.0) | 34.3 (14.7–50.1) | 0.437 |
| Sleep efficiency (%) | 83.3 (73.1–88.7) | 79.9 (70.9–85.7) | 0.073 |
| 2D-ECHO | |||
| AO | 32.5 ± 3.8 | 33.6 ± 4.3 | 0.244 |
| LA | 35.7 ± 4.6 | 40.3 ± 6.4 | <0.001 |
| IVS | 11.7 ± 1.7 | 11.9 ± 2.8 | 0.714 |
| LVPW | 9.3 ± 1.6 | 9.5 ± 2.0 | 0.656 |
| LVEDD | 47.9 ± 4.4 | 47.5 ± 7.0 | 0.780 |
| LVESD | 29.1 ± 4.8 | 31.1 ± 7.1 | 0.225 |
| LVEF | 69.0 ± 9.7 | 64.1 ± 8.5 | 0.041 |
| Variables | Univariate Analysis | Multivariate Analysis | ||||
|---|---|---|---|---|---|---|
| OR | 95% (CI) | p-Value | OR | 95% (CI) | p-Value | |
| Old age (year) | 1.066 | 1.009–1.125 | 0.022 | 1.016 | 0.946–1.090 | 0.666 |
| DM | 3.958 | 1.075–14.576 | 0.039 | 9.972 | 1.463–67.988 | 0.019 |
| Lower sleep efficiency (%) | 1.032 | 0.996–1.068 | 0.079 | 1.059 | 1.007–1.114 | 0.024 |
| Lower LVEF (%) | 1.050 | 0.993–1.111 | 0.086 | 1.062 | 1.005–1.121 | 0.033 |
| Larger LA (mm) | 1.198 | 1.073–1.337 | 0.001 | 1.219 | 1.077–1.381 | 0.005 |
Publisher’s Note: MDPI stays neutral with regard to jurisdictional claims in published maps and institutional affiliations. |
© 2021 by the authors. Licensee MDPI, Basel, Switzerland. This article is an open access article distributed under the terms and conditions of the Creative Commons Attribution (CC BY) license (https://creativecommons.org/licenses/by/4.0/).
Share and Cite
Chen, Y.-L.; Chen, Y.-C.; Chang, Y.-T.; Wang, H.-T.; Liu, W.-H.; Chong, S.-Z.; Lin, P.-T.; Hsu, P.-Y.; Su, M.-C.; Lin, M.-C. GJA1 Expression and Left Atrial Remodeling in the Incidence of Atrial Fibrillation in Patients with Obstructive Sleep Apnea Syndrome. Biomedicines 2021, 9, 1463. https://doi.org/10.3390/biomedicines9101463
Chen Y-L, Chen Y-C, Chang Y-T, Wang H-T, Liu W-H, Chong S-Z, Lin P-T, Hsu P-Y, Su M-C, Lin M-C. GJA1 Expression and Left Atrial Remodeling in the Incidence of Atrial Fibrillation in Patients with Obstructive Sleep Apnea Syndrome. Biomedicines. 2021; 9(10):1463. https://doi.org/10.3390/biomedicines9101463
Chicago/Turabian StyleChen, Yung-Lung, Yung-Che Chen, Ya-Ting Chang, Hui-Ting Wang, Wen-Hao Liu, Shaur-Zheng Chong, Pei-Ting Lin, Po-Yuan Hsu, Mao-Chang Su, and Meng-Chih Lin. 2021. "GJA1 Expression and Left Atrial Remodeling in the Incidence of Atrial Fibrillation in Patients with Obstructive Sleep Apnea Syndrome" Biomedicines 9, no. 10: 1463. https://doi.org/10.3390/biomedicines9101463
APA StyleChen, Y.-L., Chen, Y.-C., Chang, Y.-T., Wang, H.-T., Liu, W.-H., Chong, S.-Z., Lin, P.-T., Hsu, P.-Y., Su, M.-C., & Lin, M.-C. (2021). GJA1 Expression and Left Atrial Remodeling in the Incidence of Atrial Fibrillation in Patients with Obstructive Sleep Apnea Syndrome. Biomedicines, 9(10), 1463. https://doi.org/10.3390/biomedicines9101463

