Next Article in Journal / Special Issue
Distribution of Helicobacter pylori and Periodontopathic Bacterial Species in the Oral Cavity
Previous Article in Journal
Leucine Potentiates Glucose-mediated 18F-FDG Uptake in Brown Adipose Tissue via β-Adrenergic Activation
 
 
Due to scheduled maintenance work on our servers, there may be short service disruptions on this website between 11:00 and 12:00 CEST on March 28th.
Font Type:
Arial Georgia Verdana
Font Size:
Aa Aa Aa
Line Spacing:
Column Width:
Background:
Article

New Pyrimidinone-Fused 1,4-Naphthoquinone Derivatives Inhibit the Growth of Drug Resistant Oral Bacteria

1
Department of Applied Chemistry, Global Center for Pharmaceutical Ingredient Materials, Kyung Hee University, Gyeonggi-do 1732, Korea
2
Graduate School of Biotechnology, Kyung Hee University, Gyeonggi-do 1732, Korea
*
Authors to whom correspondence should be addressed.
Biomedicines 2020, 8(6), 160; https://doi.org/10.3390/biomedicines8060160
Submission received: 10 May 2020 / Revised: 10 June 2020 / Accepted: 12 June 2020 / Published: 15 June 2020
(This article belongs to the Special Issue Models for Oral Biology Research)

Abstract

Background: Dental caries is considered to be a preventable disease, and various antimicrobial agents have been developed for the prevention of dental disease. However, many bacteria show resistance to existing agents. Methods/Principal Findings: In this study, four known 1,4-naphthoquinones and newly synthesized 10 pyrimidinone-fused 1,4-naphthoquinones, i.e. KHQ 701, 702, 711, 712, 713, 714, 715, 716, 717 and 718, were evaluated for antimicrobial activity against Enterococcus faecalis, Enterococcus faecium, Staphylococcus aureus, Staphylococcus epidermidis, Streptococcus mutans, Streptococcus sobrinus, Porphyromonas gingivalis, Actinomyces viscosus and Fusobacterium nucleatum. Pyrimidinone-fused 1,4-naphthoquinones were synthesized in good yields through a series of chemical reactions from a commercially available 1,4-dihydroxynaphthoic acid. MIC values of KHQ 711, 712, 713, 714, 715, 716, 717 and 718 were 6.25–50 μg/mL against E. faecalis (CCARM 5511), 6.25–25 μg/mL against E. faecium (KACC11954) and S. aureus (CCARM 3506), 1.56–25 μg/mL against S. epidermidis (KACC 13234), 3.125–100 μg/mL against S. mutans (KACC16833), 1.56–100 μg/mL against S. sobrinus (KCTC5809) and P. gingivalis (KCTC 5352), 3.125–50 μg/mL against A. viscosus (KCTC 9146) and 3.125–12.5 μg/mL against F. nucleatum (KCTC 2640) with a broth microdilution assay. A disk diffusion assay with KHQ derivatives also exhibited strong susceptibility with inhibition zones of 0.96 to 1.2 cm in size against P. gingivalis. Among the 10 compounds evaluated, KHQ 711, 712, 713, 715, 716 and 717 demonstrated strong antimicrobial activities against the 9 types of pathogenic oral bacteria. A pyrimidin-4-one moiety comprising a phenyl group at the C2 position and a benzyl group at the N3 position appears to be essential for physiological activity. Conclusion/Significance: Pyrimidinone-fused 1,4-naphthoquinones synthesized from simple starting compounds and four known 1,4-naphthoquinones were synthesized and showed strong antibacterial activity to the 9 common oral bacteria. These results suggest that these derivatives should be prospective for the treatment of dental diseases caused by oral bacteria, including drug-resistant strains.

1. Introduction

Two major dental diseases in the world are dental caries and periodontal disease, both of which are caused by various bacteria in the oral cavity [1]. Dental caries is a common oral disease that usually develops the formation of plaque biofilms on tooth surfaces, and the causative agents are Gram-positive bacteria such as Streptococcus mutans and Streptococcus sobrinus, as well as some non-mutans streptococci [2,3,4]. Specific bacterial species such as Actinomyces spp. and Enterococcus faecalis contribute to tooth root caries and periodontal infection [4,5].
Although dental disease is only slowly progressive, oral bacteria can also cause infections of the head and neck in locations such as periapical abscesses, the jaw bones and fascia [6,7,8]. Therefore, the control of oral bacteria is the key to the prevention and the treatment of these oral diseases. Various antibiotics including ampicillin, chlorhexidine, erythromycin, spiramycin and vancomycin have been used to prevent dental caries, but these agents can cause unexpected side effects such as microorganism resistance, vomiting and diarrhea [6,9]. Furthermore, the use of antibiotics can promote the development of multidrug-resistant (MDR) strains of bacteria [10]. These problems have led to a search for new antibacterial substances specific to oral pathogens [11].
1,4-Naphthoquinone (1,4-NQ) is the central chemical structure of biologically active compounds such as menadione as a coagulant, juglone as a herbicide, and dichlone as a fungicide. As such, the 1,4-NQ moiety is known as an important pharmacophore that exhibits various pharmacological properties such as antibacterial, antifungal, antiviral, pesticide and anti-inflammatory activities, thus playing an important role in the development of new drugs. Among the 1,4-naphthoquinone derivatives, heterocycle-fused naphthoquinones in particular have been demonstrated to exhibit a variety of biological activities [12,13,14,15,16].
Pyrimidine derivatives, such as pyrimidin-4-one and pyrimidine-2,4-dione, have also various biological activities such as antimicrobial, antiviral and antifungal activities, and thus are considered to be a new, major component for drug discovery [17,18].
The conjugation of pyrimidinone, which exhibits antimicrobial activity, to 1,4-naphthoquinone, which exhibits antimicrobial, antifungal and antiviral activity, could lead to the development of synthetic antimicrobial drugs having better activity [19].
With the above considerations, a series of novel pyrimidinone or pyrimidindione-fused 1,4-naphthoquinones were synthesized via a pharmacophore hybridization strategy [20].

2. Materials and Methods

2.1. General Experimental Details for Synthesis of Compounds

All chemical reagents were purchased from Sigma-Aldrich, Tokyo Chemical Industry, Alfa Aesar and Acros Organics, and were used without further purification. All glassware was thoroughly dried in a convection oven. Reactions were monitored using thin-layer chromatography (TLC). Commercial TLC plates (silica gel 60 F254, Merck Co.) were developed and the spots were visualized under UV light at 254 or 365 nm. Silica gel column chromatography was performed with silica gel 60 (particle size 0.040−0.063 mm, Merck Co.). Extra pure-grade solvents for column chromatography were purchased through Samchun Chemicals and Duksan Chemicals. 1H and 13C NMR spectra were collected with a JEOL ECX-400 spectrometer (at 300 MHz for 1H NMR and 75 MHz for 13C NMR), and the chemical shifts were recorded with respect to tetramethylsilane, Si(CH3)4, as an internal reference or were referenced to the residual proton peaks of the deuterated solvent. Mass spectrometry (MS) spectra were recorded using a Bruker compact ESI quadrupole-TOF ultra-high-resolution liquid chromatograph/mass spectrometer.

2.1.1. Preparation of 3-bromo-1, 4-dimethoxy-2-naphthoic acid (4)

Methyl 3-bromo-1, 4-dimethoxy-2-naphthoate (3). To a solution of methyl 1,4-dimethoxy-2-naphthoate (2, 7.7 g, 31.3 mmol) in 78 mL of N,N-dimethylformamide (DMF), N-bromosuccinimide (NBS, 34.4 mmol, 6.1 g) was slowly added at room temperature and it was stirred overnight. After completion of the reaction, it was concentrated in vacuo and treated with ethyl acetate and water. The organic layer was separated, washed with brine and dried over Na2SO4. After filtration, the crude residue was purified by a silica gel flash column chromatography (17% ethyl acetate/hexane) to give compound 3 as a white solid (10.0 g, 98%): 1H NMR (DMSO-d6, 300 MHz) δ ppm 8.13–8.09 (m, 2H), 7.74–7.71 (m, 2H), 3.93 (s, 3H), 3.91 (s, 3H), 3.91 (s, 3H); 13C NMR (CDCl3, 75 MHz) δ ppm 166.60, 150.28, 150.23, 129.55, 128.10, 127.77, 127.13, 126.42, 123.06, 122.63, 108.57, 63.73, 61.59, 52.86.
3-Bromo-1,4-dimethoxy-2-naphthoic acid (4). Methyl 3-bromo-1,4-dimethoxy-2-naphthoate (3, 15.7 g, 48.4 mmol) was dissolved in 50 mL of tetrahydrofuran (THF), 50 mL of methanol and 100 mL of water. Potassium hydroxide (241.7 mmol, 13.6 g) was added at room temperature and the reaction mixture was refluxed for 48 h or until all the starting material was consumed. After completion of the reaction, the mixture was cooled to room temperature. The reaction mixture was washed with a saturated aqueous solution of K2CO3 and brine. After filtration, the residue was washed with a hexane and dissolved in water. The mixture was acidified with concentrated HCl. After filtration, the residue was washed with water and hexane. Compound 4 was obtained as a white solid (12.1 g, 84%): 1H NMR (DMSO-d6, 300 MHz) δ ppm 13.75 (s, 1H), 8.13–8.06 (m, 2H), 7.73–7.67 (m, 2H), 3.92 (s, 3H), 3.90 (s, 3H); 13C NMR (CDCl3, 75 MHz) δ ppm 171.19, 150.56, 150.43, 129.78, 128.37, 127.75, 127.27, 125.58, 123.19, 122.70, 108.15, 64.08, 61.65.

2.1.2. Synthesis of 5a−5i from Naphthoic Acid

3-Bromo-1,4-dimethoxy-N-phenyl-2-naphthamide (5a). 3-Bromo-1,4-dimethoxy-2-naphthoic acid (4, 0.50 g, 1.6 mmol) was dissolved in 8 mL of anhydrous dichloromethane (DMC) and catalytic amount of anhydrous DMF under argon. Oxalyl chloride (0.23 mL, 2.7 mmol) was added dropwise at room temperature and the reaction was left to stir for 3 h. The solution was evaporated under reduced pressure and the oily residue was dried under high vacuum for 1 hour to ensure all the oxalyl chloride was removed. Without further purification, the oily residue was dissolved in 13 mL of anhydrous DMC and 0.32 mL anhydrous pyridine under argon. Aniline (0.18 mL, 1.9 mmol) was added dropwise and the reaction mixture was stirred at room temperature overnight. After completion of the reaction, the mixture was quenched with 3 M HCl at 0 °C and extracted with DMC. The organic layer was separated, washed with brine and dried over Na2SO4. After filtration, the crude residue was purified by a silica gel flash column chromatography (20% ethyl acetate/hexane) to give compound 5a as a white solid (0.601 g, 97% yield over two steps): 1H NMR (DMSO-d6, 300 MHz) δ ppm 10.60 (s, 1H), 8.14–8.11 (m, 2H), 7.73–7.70 (m, 4H), 7.36 (t, 2H, J = 7.9 Hz), 7.14–7.09 (m, 1H), 3.93 (s, 6H); 13C NMR (DMSO-d6, 75 MHz) δ ppm 163.34, 149.41, 149.17, 138.92, 129.75, 128.85, 128.46, 128.24, 127.54, 127.41, 123.82, 122.92, 122.34, 119.46, 109.74, 63.43, 61.40.
N-Benzyl-3-bromo-1,4-dimethoxy-2-naphthamide (5b). Following the procedure described above for the preparation of 5a, compound 5b was obtained from benzylamine (0.42 mL, 3.9 mmol) as a white solid (1.2 g, 96% yield over two steps): 1H NMR (DMSO-d6, 300 MHz) δ ppm 9.06 (t, 1H, J = 5.8 Hz), 8.10–8.08 (m, 2H), 7.69–7.66 (m, 2H), 7.46–7.34 (m, 4H), 7.26 (t, 1H, J = 7.1 Hz), 4.51 (d, 2H, J = 5.7 Hz), 3.90 (s, 3H), 3.85 (s, 3H); 13C NMR (CDCl3, 75 MHz) δ ppm 165.75, 150.28, 150.05, 137.65, 129.32, 128.93, 128.69, 128.05, 127.99, 127.94, 127.63, 127.10, 122.91, 122.54, 109.71, 63.92, 61.51, 44.12.
3-Bromo-N-cinnamyl-1,4-dimethoxy-2-naphthamide (5h). Following the procedure described above for the preparation of 5a, compound 5h was obtained from cinnamylamine (0.36 g, 2.7 mmol) as a white solid (0.871 g, 90% yield over two steps): 1H NMR (DMSO-d6, 300 MHz) δ ppm 8.82 (t, 1H, J = 5.7 Hz), 8.11–8.09 (m, 2H), 7.70–7.67 (m, 2H), 7.43 (d, 2H, J = 7.9 Hz), 7.34 (t, 2H, J = 7.5 Hz), 7.27–7.22 (m, 1H), 6.70 (d, 1H, J = 15.9 Hz), 6.39–6.32 (m, 1H), 4.08 (t, 2H, J = 5.3 Hz), 3.92 (s, 3H), 3.90 (s, 3H); 13C NMR (CDCl3, 75 MHz) δ ppm 165.77, 150.29, 150.05, 136.55, 132.39, 129.33, 128.96, 128.60, 127.97, 127.93, 127.74, 127.13, 126.39, 124.90, 122.94, 122.56, 109.69, 63.96, 61.53, 41.95.
3-Bromo-1,4-dimethoxy-N-(4-methoxybenzyl)-2-naphthamide (5i). Following the procedure described above for the preparation of 5a, compound 5i was obtained from 4-methoxybenzylamine (1.0 mL, 7.7 mmol) as a white solid (2.2 g, 80% yield over two steps): 1H NMR (DMSO-d6, 300 MHz) δ ppm 8.98 (t, 1H, J = 5.9 Hz) 8.10–8.06 (m, 2H), 7.70–7.67 (m, 2H), 7.35 (d, 2H, J = 8.4 Hz), 6.92 (d, 2H, J = 8.6 Hz), 4.43 (d, 2H, J = 5.7 Hz), 3.89 (s, 3H), 3.85 (s, 3H), 3.74 (s, 3H); 13C NMR (CDCl3, 75 MHz) δ ppm 165.64, 159.08, 150.24, 150.02, 129.73, 129.39, 129.28, 128.95, 127.93, 127.88, 127.08, 122.90, 122.52, 114.04, 109.74, 63.91, 61.50, 55.28, 43.61.

2.1.3. Synthesis of 6a-6i from 5a−5i

3-Amino-1,4-dimethoxy-N-phenyl-2-naphthamide (6a). 3-Bromo-1,4-dimethoxy-N-phenyl-2-naphthamide (0.54 g, 1.4 mmol), copper iodide (0.27 g, 1.4 mmol), L-proline (0.21 g, 1.8 mmol), and sodium azide (0.18 g, 2.8 mmol) were dissolved in 2.8 mL of anhydrous dimethyl sulfoxide (DMSO) under argon. The reaction mixture was stirred at 100 °C for 3 h. After completion of the reaction, the solution was cooled to room temperature and quenched by the addition of saturated aqueous NH4Cl and ethyl acetate. This biphasic mixture was stirred at room temperature for 1 hour. The resulting solution was filtered through a pad of celite which was subsequently washed with ethyl acetate and water. The filtrate was transferred to a separatory funnel, the aqueous phase was removed and the organic phase was washed with a saturated NaHCO3 solution and brine. The aqueous phases were combined and extracted with ethyl acetate. This washing/extraction procedure was repeated two additional times. Finally, the organic phases were combined, dried over Na2SO4, concentrated under reduced pressure, and purified by the silica gel flash column chromatography with 14% ethyl acetate/hexane. Compound 6a was obtained as a yellow solid (0.254 g, 57%): 1H NMR (DMSO-d6, 300 MHz) δ ppm 10.47 (s, 1H), 7.93 (d, 1H, J = 8.3 Hz) 7.81–7.76 (m, 3H) 7.48 (t, 1H, J = 7.5 Hz), 7.35 (t, 2H, J = 7.8 Hz), 7.26 (t, 1H, J = 7.5 Hz), 7.11 (t, 1H, J = 7.4 Hz), 5.08 (d, 2H, J = 5.1 Hz), 3.84 (s, 3H), 3.75 (s, 3H); 13C NMR (CDCl3, 75 MHz) δ ppm 165.14, 152.06, 137.95, 137.71, 136.51, 129.89, 129.10, 128.35, 124.60, 123.10, 122.77, 120.45, 120.37, 120.05, 113.13, 63.53, 59.68.
3-Amino-N-benzyl-1,4-dimethoxy-2-naphthamide (6b). Following the procedure described above for the preparation of 6a, compound 6b was obtained from 5b (0.71 g, 1.8 mmol) as a yellowish brown solid (0.418 g, 70%): 1H NMR (DMSO-d6, 300 MHz) δ ppm 8.99 (t, 1H, J = 7.8 Hz), 7.89 (d, 1H, J = 8.4 Hz), 7.76 (d, 1H, J = 8.4 Hz), 7.47–7.33 (m, 5H), 7.28–7.21 (m, 2H), 5.11 (d, 2H, J = 5.5 Hz), 4.50 (d, 2H, J = 6.0 Hz), 3.73 (s, 3H), 3.72 (s, 3H); 13C NMR (CDCl3, 75 MHz) δ ppm 166.84, 152.14, 138.11, 137.53, 136.32, 129.71, 128.76, 128.07, 128.02, 127.56, 123.05, 122.56, 120.52, 120.00, 113.13, 63.23, 59.65, 43.81.
3-Amino-N-cinnamyl-1,4-dimethoxy-2-naphthamide (6h). Following the procedure described above for the preparation of 6a, compound 6h was obtained from 5h (0.65 g, 1.5 mmol) as a bright yellow solid (0.31 g, 55%): 1H NMR (DMSO-d6, 300 MHz) δ ppm 8.74 (t, 1H, J = 5.6 Hz), 7.91 (d, 1H, J = 8.4 Hz), 7.76 (d, 1H, J = 8.4 Hz), 7.48–7.43 (m, 3H), 7.34 (t, 2H, J = 7.4 Hz), 7.26–7.22 (m, 2H), 6.65 (d, 1H, J = 16.1 Hz), 6.43–6.34 (m, 1H), 5.13 (d, 2H, J = 5.7 Hz), 4.10 (t, 2H, J = 5.5 Hz), 3.83 (s, 3H), 3.73 (s, 3H); 13C NMR (CDCl3, 75 MHz) δ ppm 166.86, 152.11, 137.46, 136.53, 136.33, 132.48, 129.71, 128.60, 128.08, 127.75, 126.38, 125.13, 123.08, 122.60, 120.56, 120.01, 113.22, 63.24, 59.67, 41.66.
3-Amino-1,4-dimethoxy-N-(4-methoxybenzyl)-2-naphthamide (6i). Following the procedure described above for the preparation of 6a, compound 6i was obtained from 5i (0.65 g, 1.5 mmol) as a yellowish brown solid (0.33 g, 59%): 1H NMR (DMSO-d6, 300 MHz) δ ppm 8.92 (t, 1H, J = 5.9 Hz), 7.88 (d, 1H, J = 8.4 Hz), 7.75 (d, 1H, J = 8.4 Hz), 7.47–7.42 (m, 1H), 7.34 (d, 2H, J = 8.3 Hz), 7.23 (t, 1H, J = 7.6 Hz), 6.92 (d, 2H, J = 8.4 Hz), 5.11 (d, 2H, J = 5.7 Hz), 4.43 (d, 2H, J = 5.9 Hz), 3.74 (s, 3H), 3.72 (s, 3H), 3.70 (s, 3H); 13C NMR (CDCl3, 75 MHz) δ ppm 166.71, 159.02, 152.08, 137.49, 136.28, 130.22, 129.66, 129.37, 128.03, 123.00, 122.52, 120.53, 119.98, 114.09, 113.20, 63.20, 59.63, 55.27, 43.25.

2.1.4. Synthesis of 7a or 7b from 6a or 6b

5,10-Dimethoxy-3-phenylbenzo[g]quinazoline-2,4(1H,3H)-dione (7a). 3-Amino-1,4-dimethoxy-N-phenyl-2-naphthamide (150 mg, 0.47 mmol) and triphosgene (69 mg, 0.23 mmol) were dissolved in 9.3 mL THF. The reaction mixture was refluxed for 3 h. After completion of the reaction, the mixture was cooled to room temperature and treated with ethyl acetate and water. The organic layer was separated, washed with a brine and dried over Na2SO4. After filtration, the crude residue was purified by a silica gel flash column chromatography (33% ethyl acetate/hexane) to give compound 7a as a bright yellow solid (0.139 g, 86%): 1H NMR (DMSO-d6, 300 MHz) δ ppm 11.02 (s, 1H), 8.21 (d, 1H, J = 8.4 Hz), 8.02 (d, 1H, J = 9.0 Hz), 7.74–7.69 (m, 1H), 7.55–7.42 (m, 4H), 7.34 (d, 2H, J = 7.9 Hz), 3.90 (s, 3H), 3.87 (s, 3H); 13C NMR (CDCl3, 75 MHz) δ ppm 160.56, 156.69, 150.35, 135.55, 134.96, 131.02, 130.03, 129.43, 128.82, 128.80, 126.66, 125.55, 125.35, 124.74, 120.94, 106.93, 63.61, 62.03.
3-Benzyl-5,10-dimethoxybenzo[g]quinazoline-2,4(1H,3H)-dione (7b). Following the procedure described above for the preparation of 7a, compound 7b was obtained from 6b (160 mg, 0.48 mmol) as a white yellow solid (0.142 g, 82%): 1H NMR (DMSO-d6, 300 MHz) δ ppm 11.02 (s, 1H), 8.21 (d, 1H, J = 8.4 Hz), 8.01 (d, 1H, J = 8.4 Hz), 7.72–7.67 (m, 1H), 7.54–7.49 (m, 1H), 7.36–7.23 (m, 5H), 5.12 (s, 2H), 3.92 (s, 3H), 3.84 (s, 3H); 13C NMR (CDCl3, 75 MHz) δ ppm 160.21, 156.26, 150.50, 137.09, 135.37, 130.81, 129.84, 128.96, 128.39, 127.50, 126.57, 125.35, 125.19, 124.58, 120.80, 106.76, 63.48, 61.96, 43.88.

2.1.5. Synthesis of KHQ 701 or KHQ 702 from 7a or 7b

3-Phenylbenzo[g]quinazoline-2,4,5,10(1H,3H)-tetraone (KHQ 701). To a solution of 5,10-dimethoxy-3-phenylbenzo[g]quinazoline-2,4(1H,3H)-dione (80 mg, 0.23 mmol) in 2.0 mL acetonitrile and 2.0 mL DMF, CAN (567 mg, 1.03 mmol) in 2.0 mL of distilled water was slowly added at 0 °C for 10 min. After the addition was complete, the mixture was stirred for an additional 1 hour at room temperature. The resulting mixture was treated with ethyl acetate and water. The organic layer was separated, washed with a brine and dried over Na2SO4. After filtration, the crude residue was purified by a silica gel flash column chromatography (50% ethyl acetate/hexane, 100% ethyl acetate, 100% dichloromethane and then 20% methanol/dichloromethane) to give compound KHQ 701 as a yellow solid (0.073 g, quantitative): mp 285 °C (decomposed); 1H NMR (DMSO-d6, 300 MHz) δ ppm 12.23 (s, 1H), 8.06 (d, 2H, J = 7.9 Hz), 7.94–7.83 (m, 2H), 7.50–7.40 (m, 3H), 7.21 (d, 2H, J = 7.1 Hz); HRMS (ESI+) for C18H10N2O4Na (M+ •Na) calcd, 341.0533; found, 341.0535.
3-Benzylbenzo[g]quinazoline-2,4,5,10(1H,3H)-tetraone (KHQ 702). Following the procedure described above for the preparation of KHQ 701, compound KHQ 702 was obtained from 7b (0.168 g, 0.46 mmol) as a yellow solid (0.154 g, quantitative).: mp 293 °C (decomposed); 1H NMR (DMSO-d6, 300 MHz) δ ppm 12.18 (s, 1H), 8.05–8.02 (m, 2H), 7.99–7.76 (m, 2H), 7.28–7.21 (m, 5H), 5.01 (s, 2H); HRMS (ESI+) for C19H12N2O4Na (M+•Na) calcd, 355.0689; found, 355.0691.

2.1.6. Synthesis of 7c−7i from 6a-6i

5,10-dimethoxy-2,3-diphenyl-2,3-dihydrobenzo[g]quinazolin-4(1H)-one (7c). 3-Amino-1,4-dimethoxy-N-phenyl-2-naphthamide (150 mg, 0.47 mmol) and p-toluenesulfonic acid monohydrate (8.9 mg, 0.047 mmol) were dissolved in 4.7 mL THF. Benzaldehyde (0.071 mL, 0.70 mmol) was added dropwise at room temperature. After stirring at 40 °C for 6 h, the resulting mixture was treated with ethyl acetate and water. The organic layer was separated, washed with a brine and dried over Na2SO4. After filtration, the mixture was concentrated under reduced pressure, and the crude residue was purified by a silica gel flash column chromatography (10% ethyl acetate/hexane) to give compound 7c as a yellow solid (0.176 g, 92%).: 1H NMR (DMSO-d6, 300 MHz) δ ppm 8.03 (d, 1H, J = 8.3 Hz), 7.72 (d, 1H, J = 8.4 Hz), 7.50–7.47 (m, 4H), 7.43–7.40 (m, 4H), 7.32–7.23 (m, 5H), 6.15 (d, NH, J = 3.1 Hz), 3.93 (s, 3H), 3.66 (s, 3H); 13C NMR (DMSO-d6, 75 MHz) δ ppm 160.07, 155.13, 141.26, 140.69, 135.07, 134.62, 130.37, 128.94, 128.91, 128.78, 128.42, 128.12, 126.23, 125.64, 123.80, 122.91, 122.14, 119.53, 110.19, 72.19, 62.37, 60.40.
3-Benzyl-5,10-dimethoxy-2-phenyl-2,3-dihydrobenzo[g]quinazolin-4(1H)-one (7d). Following the procedure described above for the preparation of 7c, compound 7d was obtained from 6b (80 mg, 0.24 mmol) as a yellow solid (0.093 g, 92%).: 1H NMR (DMSO-d6, 300 MHz) δ ppm 8.01 (d, 1H, J = 7.9 Hz), 7.68 (d, 1H, J = 8.4 Hz), 7.49–7.44 (m, 1H), 7.42–7.33 (m, 6H), 7.30–7.21 (m, 6H), 5.73 (d, NH, J = 3.3 Hz), 5.47 (d, 1H, J = 15.4 Hz), 4.03 (d, 1H, J = 15.2 Hz), 3.94 (s, 3H), 3.58 (s, 3H); 13C NMR (CDCl3, 75 MHz) δ ppm 161.14, 155.59, 139.38, 136.90, 135.16, 134.49, 130.73, 129.03, 128.96, 128.94, 128.63, 128.03, 127.46, 126.11, 124.51, 123.94, 123.26, 119.82, 109.95, 70.38, 63.27, 60.62, 47.35.
3-Benzyl-5,10-dimethoxy-2-p-tolyl-2,3-dihydrobenzo[g]quinazolin-4(1H)-one (7e). Following the procedure described above for the preparation of 7c, compound 7e was obtained from 6b (100 mg, 0.30 mmol) as a bright yellow solid (0.125 g, 96%).: 1H NMR (DMSO-d6, 300 MHz) δ ppm 8.01 (d, 1H, J = 8.3 Hz), 7.67 (d, 1H, J = 8.3 Hz), 7.47 (t, 1H, J = 7.5 Hz), 7.41–7.33 (m, 4H), 7.30–7.21 (m, 4H), 7.16 (d, 1H, J = 3.1 Hz), 7.07 (d, 2H, J = 8.1 Hz), 5.68 (d, NH, J = 2.9 Hz), 5.48 (d, 1H, J = 15.2 Hz), 3.99 (d, 1H, J = 15.4 Hz), 3.94 (s, 3H), 3.58 (s, 3H), 2.17 (s, 3H); 13C NMR (CDCl3, 75 MHz) δ ppm 161.19, 155.55, 138.94, 136.99, 136.39, 135.15, 134.63, 130.72, 129.57, 128.62, 128.59, 128.02, 127.41, 126.08, 124.51, 123.90, 123.21, 119.81, 110.01, 70.19, 63.26, 60.62, 47.27, 21.07.
3-Benzyl-2-(4-fluorophenyl)-5,10-dimethoxy-2,3-dihydrobenzo[g]quinazolin-4(1H)-one (7f). Following the procedure described above for the preparation of 7c, compound 7f was obtained as a bright yellow solid (170 mg, 99%) by reaction with 6b (0.130 g, 0.39 mmol).: 1H NMR (DMSO-d6, 300 MHz) δ ppm 8.02 (d, 1H, J = 8.4 Hz), 7.69 (d, 1H, J = 8.0 Hz), 7.48 (t, 1H, J = 7.4 Hz), 7.42–7.33 (m, 6H), 7.30–7.25 (m, 2H), 7.23–7.20 (m, 1H), 7.11 (t, 2H, J = 8.9 Hz), 5.74 (d, NH, J = 3.8 Hz), 5.43 (d, 1H, J = 15.4 Hz), 4.07 (d, 1H, J = 15.2 Hz), 3.94 (s, 3H), 3.58 (s, 3H); 13C NMR (CDCl3, 75 MHz) δ ppm 164.58, 161.30, 161.04, 155.64, 136.74, 135.28, 135.24, 135.22, 134.26, 130.74, 128.74, 128.65, 128.07, 127.98, 127.97, 127.50, 124.51, 123.98, 123.40, 119.84, 115.99, 115.71, 109.82, 69.85, 63.30, 60.64, 47.32.
3-Benzyl-5,10-dimethoxy-2-(4-methoxyphenyl)-2,3-dihydrobenzo[g]quinazolin-4(1H)-one (7g). Following the procedure described above for the preparation of 7c, compound 7g was obtained as a bright yellow solid (198 mg, 98%) by reaction with 6b (0.150 g, 0.45 mmol).: 1H NMR (DMSO-d6, 300 MHz) δ ppm 8.01 (d, 1H, J = 8.4 Hz), 7.68 (d, 1H, J = 8.4 Hz), 7.47 (t, 1H, J = 7.6 Hz), 7.41–7.33 (m, 4H), 7.29–7.24 (m, 4H), 7.12 (d, 1H, J = 2.8 Hz), 6.83 (d, 2H, J = 8.8 Hz), 5.67 (d, NH, J = 2.9 Hz), 5.46 (d, 1H, J = 15.4 Hz), 3.98 (d, 1H, J = 15.5 Hz), 3.94 (s, 3H), 3.64 (s, 3H), 3.58 (s, 3H); 13C NMR (CDCl3, 75 MHz) δ ppm 161.19, 160.08, 155.55, 137.02, 135.14, 134.69, 131.37, 130.71, 128.61, 128.58, 127.98, 127.57, 127.37, 124.50, 123.89, 123.23, 119.82, 114.17, 109.98, 70.12, 63.27, 60.61, 55.26, 47.17.
3-Cinnamyl-5,10-dimethoxy-2-phenyl-2,3-dihydrobenzo[g]quinazolin-4(1H)-one (7h). Following the procedure described above for the preparation of 7c, compound 7h was obtained as a bright yellow solid (167 mg, 90%) by reaction with 6h (0.150 g, 0.41 mmol).: 1H NMR (DMSO-d6, 300 MHz) δ ppm 8.00 (d, 1H, J = 8.6 Hz), 7.68 (d, 1H, J = 8.3 Hz), 7.49–7.38 (m, 5H), 7.34–7.18 (m, 8H), 6.67 (d, 1H, J = 15.7 Hz), 6.38–6.29 (m, 1H), 5.81 (d, NH, J = 3.0 Hz), 4.98–4.91 (m, 1H), 3.93 (s, 3H), 3.76–3.69 (m, 1H), 3.60 (s, 3H); 13C NMR (CDCl3, 75 MHz) δ ppm 160.90, 139.50, 136.51, 135.20, 134.54, 133.22, 130.70, 129.10, 128.96, 128.63, 128.54, 127.72, 126.47, 126.25, 124.50, 124.23, 123.94, 123.29, 119.84, 119.07, 110.08, 70.57, 63.27, 60.64, 46.36.
5,10-Dimethoxy-3-(4-methoxybenzyl)-2-phenyl-2,3-dihydrobenzo[g]quinazolin-4(1H)-one (7i). Following the procedure described above for the preparation of 7c, compound 7i was obtained as a bright yellow solid (332 mg, 98%) by reaction with 6i (0.273 g, 0.75 mmol).: 1H NMR (DMSO-d6, 300 MHz) δ ppm 8.00 (d, 1H, J = 8.4 Hz), 7.67 (d, 1H, J = 8.4 Hz), 7.46 (t, 1H, J = 7.7 Hz), 7.37–7.17 (m, 9H), 6.92 (d, 2H, J = 8.4 Hz), 5.69 (d, NH, J = 3.1 Hz), 5.42 (d, 1H, J = 15.0 Hz), 3.94 (s, 3H), 3.92 (d, 1H, J = 15.4 Hz), 3.73 (s, 3H), 3.57 (s, 3H); 13C NMR (CDCl3, 75 MHz) δ ppm 161.56, 159.05, 155.53, 139.47, 135.13, 134.45, 130.69, 12951, 128.97, 128.91, 128.90, 128.59, 126.08, 124.49, 123.90, 123.23, 119.79, 114.00, 110.00, 70.06, 63.24, 60.60, 55.27, 46.72.

2.1.7. Synthesis of KHQ 711–713, KHQ 715–718 from 7c-7i

2,3-diphenylbenzo[g]quinazoline-4,5,10(3H)-trione (KHQ 711). To a solution of 5,10-dimethoxy-2,3-diphenyl-2,3-dihydrobenzo[g]quinazolin-4(1H)-one (50 mg, 0.12 mmol) in 1.2 mL CH3CN and 1.2 mL DMF, CAN (0.30 g, 0.55 mmol) in 1.2 mL distilled water was added dropwise at 0 °C for 10 min. The mixture was stirred for an additional hour at room temperature open to the air. After completion of the reaction, it was treated with ethyl acetate and water. The organic layer was separated, washed with a brine and dried over Na2SO4. After filtration, the mixture was concentrated in vacuo and purified by a silica gel flash column chromatography (50% ethyl acetate/hexane) to give compound KHQ 711 as a yellow solid (0.121 g, 45%).: mp 242.1–245.7 °C; 1H NMR (DMSO-d6, 300 MHz) δ ppm 8.15–7.84 (m, 4H), 7.46–7.28 (m, 10H); 13C NMR (CDCl3, 75 MHz) δ ppm 180.62, 158.53, 136.54, 135.11, 133.93, 133.78, 133.22, 132.00, 131.68, 130.92, 129.57, 129.30, 129.26, 128.61, 128.50, 128.19, 127.33, 127.11, 127.01, 117.39; HRMS (ESI+) for C24H14N2O3Na (M + •Na) calcd, 401.0897; found, 401.0899.
3-Benzyl-2-phenylbenzo[g]quinazoline-4,5,10(3H)-trione (KHQ 712). Following the procedure described above for the preparation of KHQ 711, compound KHQ 712 was obtained as a yellow solid (99 mg, 89%) by reaction with 7d (0.120 g, 0.28 mmol).: mp 214.3–216.8 °C; 1H NMR (DMSO-d6, 300 MHz) δ ppm 8.10 (d, 2H, J = 8.3 Hz), 7.94–7.88 (m, 2H), 7.58–7.50 (m, 5H), 7.25–7.23 (m, 3H), 7.02–6.99 (m, 2H), 5.21 (s, 2H); 13C NMR (CDCl3, 75 MHz) δ ppm 181.96, 180.81, 166.04, 158.63, 152.96, 135.10, 133.99, 133.78, 133.18, 131.64, 131.21, 128.83, 128.72, 128.69, 128.16, 128.12, 128.06, 127.52, 127.10, 126.98, 49.85; HRMS (ESI+) for C25H16N2O3Na (M + •Na) calcd, 415.1053; found, 415.1054.
3-Benzyl-2-p-tolylbenzo[g]quinazoline-4,5,10(3H)-trione (KHQ 716). Following the procedure described above for the preparation of KHQ 711, compound KHQ 716 was obtained as a yellow solid (93 mg, 84%) by reaction with 7e (0.120 g, 0.27 mmol).: mp 207.8–209.3 °C; 1H NMR (CDCl3, 300 MHz) δ ppm 8.29–8.22 (m, 2H), 7.84–7.77 (m, 2H), 7.38 (d, 2H, J = 8.2 Hz), 7.28 (d, 2H, J = 7.1 Hz), 7.25–7.23 (m, 3H), 7.03–7.00 (m, 2H), 5.38 (s, 2H), 2.43 (s, 3H); 13C NMR (CDCl3, 75 MHz) δ ppm 181.97, 180.77, 166.22, 158.68, 152.91, 141.80, 135.19, 135.00, 133.68, 133.15, 131.60, 131.16, 129.41, 128.66, 128.27, 127.93, 127.42, 127.01, 126.88, 116.86, 49.98, 21.49; HRMS (ESI+) for C26H18N2O3Na (M + •Na) calcd, 429.1210; found, 429.1213.
3-Benzyl-2-(4-fluorophenyl)benzo[g]quinazoline-4,5,10(3H)-trione (KHQ 717). Following the procedure described above for the preparation of KHQ 711, compound KHQ 717 was obtained as a yellow solid (130 mg, 75%) by reaction with 7f (0.188 g, 0.42 mmol).: mp 224.6–228.3 °C; 1H NMR (DMSO-d6, 300 MHz) δ ppm 8.10 (d, 2H, J = 7.5 Hz), 7.94–7.88 (m, 2H), 7.60–7.55 (m, 2H), 7.35 (t, 2H, J = 8.8 Hz), 7.26–7.24 (m, 3H), 7.01 (d, 2H, J = 7.7 Hz), 5.22 (s, 2H); 13C NMR (CDCl3, 75 MHz) δ ppm 181.81, 180.66, 165.87, 165.09, 162.52, 158.54, 152.80, 135.12, 134.99, 133.79, 133.06, 131.52, 130.66, 130.55, 130.15, 130.10, 128.81, 128.09, 127.22, 127.04, 126.92, 117.09, 116.21, 115.91, 49.91; HRMS (ESI + ) for C25H15FN2O3Na (M + •Na) calcd, 433.0959; found, 433.0960.
3-Benzyl-2-(4-methoxyphenyl)benzo[g]quinazoline-4,5,10(3H)-trione (KHQ 715). Following the procedure described above for the preparation of KHQ 711, compound KHQ715 was obtained as a yellow solid (175 mg, 79%) by reaction with 7g (0.188 g, 0.42 mmol).: mp 168.2–172.6 °C; 1H NMR (DMSO-d6, 300 MHz) δ ppm 8.09 (d, 2H, J = 8.1 Hz), 7.96–7.85 (m, 2H), 7.53 (d, 2H, J = 8.6 Hz), 7.30–7.23 (m, 3H), 7.05 (d, 4H, J = 8.6 Hz), 5.27 (s, 2H), 3.81 (s, 3H); 13C NMR (CDCl3, 75 MHz) δ ppm 182.12, 180.81, 165.94, 162.12, 158.92, 152.97, 135.36, 135.06, 133.70, 133.26, 131.69, 130.50, 128.79, 127.98, 127.32, 127.09, 126.94, 126.34, 116.60, 114.24, 55.57, 50.25; HRMS (ESI+) for C26H18N2O4Na (M + •Na) calcd, 445.1159; found, 445.1161.
3-Cinnamyl-2-phenylbenzo[g]quinazoline-4,5,10(3H)-trione (KHQ 718). Following the procedure described above for the preparation of KHQ 711, compound KHQ 718 was obtained as a yellow solid (101 mg, 79%) by reaction with 7h (0.139 g, 0.31 mmol).: mp 256.7–258.1 °C; 1H NMR (DMSO-d6, 300 MHz) δ ppm 8.11 (d, 2H, J = 7.7 Hz), 7.97–7.88 (m, 2H), 7.68–7.58 (m, 5H), 7.37–7.22 (m, 5H), 6.26 (d, 2H, J = 5.3 Hz), 4.69 (d, 2H, J = 3.1 Hz); 13C NMR (CDCl3, 75 MHz) δ ppm 181.94, 180.89, 165.87, 158.42, 153.00, 135.66, 135.28, 135.09, 133.93, 133.78, 133.17, 131.64, 131.26, 128.83, 128.63, 128.33, 128.14, 127.08, 127.00, 126.57, 121.52, 117.10, 49.59; HRMS (ESI + ) for C27H18N2O3Na (M + •Na) calcd, 441.1210; found, 441.1212.
3-(4-Methoxybenzyl)-2-phenylbenzo[g]quinazoline-4,5,10(3H)-trione (KHQ 713). Following the procedure described above for the preparation of KHQ 711, compound KHQ 713 was obtained as a yellow solid (0.36 g, 86%) by reaction with 7i (0.45 g, 0.98 mmol).: mp 201.7–206.3 °C; 1H NMR (DMSO-d6, 300 MHz) δ ppm 8.09 (d, 2H, J = 7.7 Hz), 7.94–7.87 (m, 2H), 7.60–7.52 (m, 5H), 6.90 (d, 2H, J = 8.6 Hz), 6.79 (d, 2H, J = 8.6 Hz), 5.15 (s, 2H), 3.68 (s, 3H); 13C NMR (CDCl3, 75 MHz) δ ppm 181.92, 180.80, 165.88, 159.33, 158.64, 152.86, 135.04, 134.07, 133.72, 133.13, 131.58, 131.13, 129.36, 128.82, 128.22, 127.11, 127.01, 126.91, 117.16, 113.95, 55.20, 49.23; HRMS (ESI + ) for C26H18N2O4Na (M + •Na) calcd, 445.1159; found, 445.1162.

2.1.8. Synthesis of KHQ 714 from KHQ 713

2-Phenylbenzo[g]quinazoline-4,5,10(3H)-trione (KHQ 714). To a solution of 3-(4-methoxybenzyl)-2-phenylbenzo[g]quinazoline-4,5,10(3H)-trione (KHQ 713, 175 mg, 0.41 mmol) in 4 mL anhydrous DMC under argon, boron tribromide (1.2 mL, 1.2 mmol) was added at −30 °C for 10 min. After stirring at −20 °C for 1 hour, the mixture was quenched with saturated NaHCO3 solution at −30 °C and extracted with DMC. The organic layer was separated, washed with a brine and dried over Na2SO4. After filtration, the mixture was concentrated under reduced pressure, and purified by a silica gel flash column chromatography (66% ethyl acetate/hexane, 100% dichloromethane and then 10% methanol/dichloromethane) to give compound KHQ 714 as a yellow solid (0.079 g, 63%): mp 244 °C (decomposed); 1H NMR (DMSO-d6, 300 MHz) δ ppm 8.49 (s, 1H), 8.40–8.36 (m, 2H), 8.08–8.04 (m, 2H), 7.90–7.77 (m, 2H), 7.48–7.46 (m, 3H); HRMS (ESI+) for C18H10N2O3Na (M + •Na) calcd, 325.0584; found, 325.0587.

2.1.9. Bacterial Strains

The Enterococcus faecalis (CCARM 5511), Enterococcus faecium (KACC 11954), Porphyromonas gingivalis (KCTC 5352), Streptococcus mutans (KACC16833), Streptococcus sobrinus (KCTC5809), Staphylococcus aureus (CCARM3506), Staphylococcus epidermidis (KACC 13234), Fusobacterium nucleatum (KCTC 2640) and Actinomyces viscosus (KCTC 9146) strains used in this study are listed in Table 1. E. faecalis, E. faecium, S. epidermidis, S. aureus and A. viscosus were maintained in tryptic soy broth (TSB). S. mutans and S. sobrinus were maintained in brain heart infusion broth (BHI). P. gingivalis was maintained in tryptic soy broth supplemented with 10% defibrinated horse blood. F. nucleatum was maintained in reinforced clostridial agar and incubated at 37 °C. A. viscosus, S. sobrinus, F. nucleatum and P. gingivalis bacteria were cultured in brain heart infusion agar plate (BHI), reinforced clostridial agar plate, tryptic soy agar plated (TSB) and blood agar plates (Blood Agar Oxoid No2; Oxoid, Basingstoke, UK), supplemented with 5% (v/v) sterile horse blood (Oxoid) at 37 °C for 24–72 h in anaerobic conditions (10% H2, 10% CO2, and balanced N2) [21,22,23].

2.2. Antibacterial Activity

2.2.1. Broth Dilution Method

Methods for Dilution Antimicrobial Susceptibility testing developed in 2006 is the official method used in many clinical microbiology laboratories for routine antimicrobial susceptibility testing. Nowadays, many accepted and approved standards are published by the Clinical and Laboratory Standards Institute (CLSI) for bacteria and yeast testing.
Although not all fastidious bacteria can be tested accurately by this method, the standardization has been made to test certain fastidious bacterial pathogens like Streptococci, Haemophilus influenzae, Haemophilus parainfluenzae, Neisseria gonorrhoeae and Neisseria meningitidis, using specific culture media, various incubation condition [24,25]. E. faecalis, E. faecium, S. epidermidis and S. aureus were maintained in tryptic soy broth (TSB). S. mutans was maintained in brain heart infusion broth (BHI) and incubated at 37 °C for 24 h. A. viscosus was maintained in tryptic soy broth (TSB), S. sobrinus was maintained brain heart infusion (BHI), F. nucleatum was maintained in reinforced clostridial (RCM), P. gingivalis were cultured in tryptic soy broth (TSB) at 37 °C for 24–72 h in anaerobic conditions (10% H2, 10% CO2, and balanced N2) and then transferred to a 96-well plate of 0.5 McFarland standard. Serial twofold dilutions of compounds were prepared in the TSB, RCM or BHI. The MIC value was defined as the lowest compound concentration required to inhibit bacterial growth visibly after the indicated time. Oxytetracycline was used as a positive control.
The minimum bactericidal concentration was obtained using a microdilution assay according to the standard with little modification. 5 After bacteria were cultured in the same manner as in the MIC test, bacterial cultures were inoculated onto the agar plates and incubated at 37 °C for 24–72 h, and the bacterial colonies were counted. The lowest concentration of compound that inhibited the growth of bacteria was considered to be the minimum bactericidal concentration. The experimental and control groups were assigned to the wells in triplicate.

2.2.2. Disk Diffusion Method

Broth inocula with 0.5 McFarland standard were spread onto the sterile plate by cotton swabs. P. gingivalis was cultured in tryptic soy broth supplemented with 10% defibrinated horse blood and brain heart infusion (BHI) at 37 °C for 24 h in anaerobic conditions (10% H2, 10% CO2, and balanced N2). Then, 8-nm sterile paper discs were impregnated with KHQ 711–718 100 μg/mL was added, and the sizes of the inhibition zones were measured after 24 h [26,27].

2.2.3. Time Kill Assay

The growth curve was obtained using the previously described 96-well microplate. P. gingivalis was cultured in tryptic soy broth (TSB) at 37 °C for 24–72 h in anaerobic conditions (10% H2, 10% CO2, and balanced N2). KHQ 711–718 MIC and ½ MIC concentrations were added, and then the cells were incubated at 37 °C. Growth was evaluated by measuring OD600 using a microplate reader at time zero and after 6, 12, 18, 24, 30, 36, 42, 48, 54, 60, 66 and 72 h of incubation [28].

2.3. Statistical Analysis

All experiments were performed at least three times, and data are represented as mean ± S.D.

3. Results

With the pharmacophore hybridization strategy already described, a series of novel pyrimidinone or pyrimidindione-fused 1,4-naphthoquinones were synthesized (Figure 1 and Figure 2).
A key intermediate, N-aryl-2-amino-1,4-dimethoxy naphthalene carboxamides 6, were synthesized from 1,4-dihydroxy-2-naphthoic acid. Esterification of 1 gave a methyl ester 2, followed by bromination of 2 by NBS to give a bromo intermediate 3. Hydrolysis of compound 3 gave an acid intermediate 4. The acid intermediate 4 was converted to various N-substituted amides 5 through the formation of acyl chloride intermediate and the subsequent reaction with amines. Amination of 5 with CuI/proline/sodium azide produced major intermediates 6 in good yields, but the unexpected by-products S1 were synthesized together with 6 in 22–27% yield, resulting in a decrease in the yield of 6.
Next, pyrimidin-2,4-dione-fused 1,4-naphthoquinones (KHQ 701 and KHQ 702) from the carbonylation of 6a or 6b were synthesized by triphosgene and the subsequent oxidation of 7a or 7b by ceric ammonium nitrate (CAN).
Then, pyrimidin-4-one-fused NQs were prepared from 6a-6i. Treatment of 6a-6i with various aldehydes in the presence of acid catalyst (p-TsOH∙H2O) gave the corresponding dihydropyrimidinone intermediates 7c-7i in high yields. The subsequent CAN oxidation of 7c-7i gave pyrimidinone NQs, KHQ 711, 712, 713, 715, 716, 717 and 718 in moderate and high yields. To prepare a N3–4-hydroxybenzyl-substituted intermediate, demethylation of KHQ 713 by BBr3 was attempted, but KHQ 714, a debenzylated one, was obtained instead of a 4-hydroxybenzyl-substituted one.

3.1. Broth Dilution Method

The minimum inhibitory concentration (MIC) values of KHQ 711, 712, 713, 714, 715, 716, 717 and 718 were 6.25–50 µg/mL against E. faecalis (CCARM 5511) and E. faecium (KACC11954), 6.25–12.5 µg/mL against S. aureus (CCARM 3506), 1.56–25 µg/mL against S. epidermidis (KACC 13234), 3.125–12.5 µg/mL against S. mutans (KACC16833), 1.56–12.5 µg/mL against S. sobrinus (KCTC5809) and P. gingivalis (KCTC 5352), 3.125–12.5 µg/mL against A. viscosus (KCTC 9146) and 3.125–12.5 µg/mL against F. nucleatum (KCTC 2640), but the MIC values of the oxytetracycline used as a positive control were 0.195 µg/mL (KCTC 2640 and KCTC 9146), 100 µg/mL (KCTC 5352 and CCARM 5511), 1.56 µg/mL (KCTC 5809 and CCARM 3506) and 0.78 µg/mL (KCTC 5809). The MIC values of KHQ 702 were 12.5 μg/mL (KCTC 2640), 50μg/mL (KCTC 9146), 100 μg/mL (KACC16833, KCTC5809, KACC 13234 and KCTC 5352) and > 100 μg/mL (CCARM 5511, KACC11954 and CCARM 3506), respectively. [27] Oral bacteria strains exhibited resistance against KHQ 701 (MIC value > 100 μg/mL) (Table 2 and Table 3).

3.2. Disk Diffusion Method

The antibacterial activities of KHQ 711 (1.04 cm), 712 (1.12 cm), 713 (1.12 cm), 714 (1.2 cm), 715 (1.12 cm), 716 (1.12 cm), 717 (1.12 cm) and 718 (0.96 cm) were confirmed by measuring the diameters of the zones of growth inhibition, and the highest susceptibilities are shown in Table 4. Interestingly, the positive control, oxytetracycline (0.8 cm), showed less antibacterial activity than the fused compounds, while KHQ 714 showed the strongest activity.

3.3. Time Kill Assay

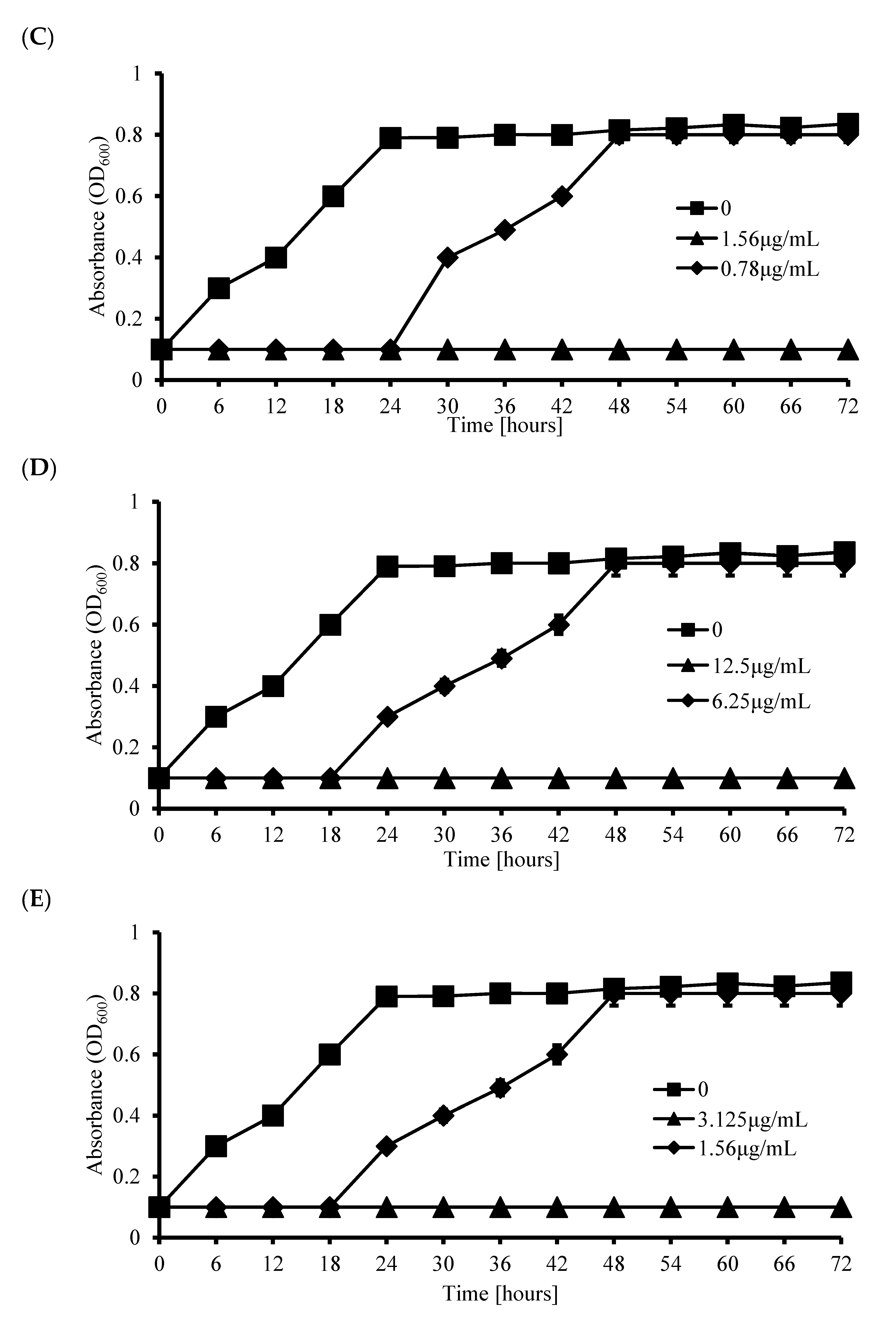
To confirm the antibacterial effects of the fused compounds, we constructed growth curves, and the fused compounds exhibited concentration-dependent inhibitory activities against P. gingivalis. Interestingly, even concentrations between 1.56–12.5 µg/mL of fused compounds completely blocked bacterial growth (Figure 3A–H), and 1.56 µg/mL of KHQ 713 showed the strongest inhibitory activity against bacteria.

4. Discussion

Dental disease is one of the most prevalent public health concerns. The problems caused by dental caries affect all age groups, and treatment is both expensive and labor-intensive. [1] Dental caries and periodontal diseases are infectious caused by common oral bacteria including Lactobacillus spp., Streptococcus spp. and Actinomyces spp., which usually form plaque biofilms on the tooth surfaces.
E. faecalis is an opportunistic pathogen that is frequently isolated from asymptomatic and persistent endodontic infections, especially from failed root canals undergoing retreatment [29]. E. faecalis is a better survivor than other root canal microbes being able to resist to many antibacterial agents [30].
Among the bacteria included in the present study, viridians streptococci; S. sobrinus and S. mutans were the most representative human cariogenic bacteria and are also moderately resistant to antibiotics [26]. Therefore, controlling or even reducing the levels of these pathogens is a key step in the prevention and treatment of these diseases [1,4].
Analyzing the structure-activity relationship from the results of the evaluation of the antimicrobial activities of the synthetic compounds, the pharmacophore would be a 1,4-naphthoquinone fused with a pyrimidin-4-one moiety having a phenyl group at the C2 position and a benzyl group at the N3 position.
For all bacteria strains tested, KHQ 711, 712, 713, 714, 715, 716, 717, and 718 showed the highest stable anti-bacterial activity compared with 1,4-naphthoquinone, Menadione, Juglone, Dichlon, KHQ 701 and KHQ 702 (Table 2 and Table 3). A stronger antimicrobial activity was exhibited from a 1,4-naphthoquinone derivative having a pyrimidin-4-one moiety containing both a phenyl group (C2 position) and a benzyl group (N3 position), i.e., KHQ 713 compound. This activity was more pronounced for P. gingivalis than for other species such as E. faecalis and A. viscosus.
Based on the antibacterial activity of synthetic derivatives, disk diffusion method and time kill assay were performed against P. gingivalis because P. gingivalis is one of the strains that exhibited strong susceptibility and is important for causing the dental caries.
The disk diffusion method has been shown that KHQ 711, 712, 713, 714, 715, 716, 717, and 718 were able to inhibit P. gingivalis strain growth compare to oxytetracycline (Table 3). Moreover, as shown in Figure 3A–H, all these derivatives at ½ MIC concentrations, significantly inhibited P. gingivalis until 18 h of incubation.
In conclusion, we synthesized 10 new pyrimidinone-fused 1,4-naphthoquinones and evaluated the antimicrobial activities of synthetic compounds against oral bacteria. Of the tested compounds, KHQ 711, 712, 713, 715, 716 and 717 showed the strongest antimicrobial activity against P. gingivalis. Therefore, these results suggest that these synthetic compounds with proven antimicrobial effects, KHQ 711, 712, 713, 715, 716 and 717 could be useful for the treatment of dental disease.

Author Contributions

K.K.: synthesized the compound, analysis of data; H.L.: synthesized the compound; D.K. performed the antibacterial experiment, wrote the manuscript; T.H.L.: conceived and designed the study, analysis of data; K.-Y.K.: designed the study, analysis of data, manage the manuscript; H.K.: designed the study, analysis of data, wrote the manuscript. All authors have read and agreed to the published version of the manuscript.

Funding

This research was funded by the GRRC Program of Gyeonggi province [GRRC-KyungHee2018(B04)], Korea.

Acknowledgments

We thanks for Gyeonggi province that support the grant for experiment.

Conflicts of Interest

The authors declare no conflicts of interest.

References

  1. Selwitz, R.H.; Ismail, A.L.; Pitts, N.B. Dental caries. Lancet 2007, 359, 51–59. [Google Scholar] [CrossRef]
  2. Chen, C.P.; Lin, C.C.; Namba, T. Screening of Taiwanese crude drugs for antibacterial activity against Streptococcus Mutans. J. Ethnopharmacol. 1989, 27, 285–295. [Google Scholar] [CrossRef]
  3. Ruby, J.; Li, Y.; Luo, Y.; Caufield, P. Genetic characterization of the oral Actinomyces. Arch. Oral Boil. 2002, 47, 457–463. [Google Scholar] [CrossRef]
  4. Wang, W.; Tao, R.; Tong, Z.; Ding, Y.; Kuang, R.; Zhai, S.; Liu, J.; Ni, L. Effect of a novel antimicrobial peptide chrysophsin-1 on oral pathogens and Streptococcus mutans biofilms. Peptides 2012, 33, 212–219. [Google Scholar] [CrossRef]
  5. Sarkonen, N.; Könönen, E.; Eerola, E.; Kononen, M.; Jousimies-Somer, H.; Laine, P. Characterization of Actinomyces species isolated from failed dental implant fixtures. Anaerobe 2005, 11, 231–237. [Google Scholar] [CrossRef]
  6. Chan, E.C.; Al-Joburi, W.; Cheng, S.L.; Delorme, F. In vitro susceptibilities of oral bacterial isolates to spiramycin. Antimicrob. Agents Chemother. 1989, 33, 2016–2018. [Google Scholar] [CrossRef]
  7. Venditti, M.; Baiocchi, P.; Santini, C.; Brandimarte, C.; Serra, P.; Gentile, G.; Girmenia, C.; Martino, P. Antimicrobial susceptibilities of Streptococcus species that cause septicemia in neutropenic patients. Antimicrob. Agents Chemother. 1989, 33, 580–582. [Google Scholar] [CrossRef]
  8. Wang, X.Y.; Zhang, Q.; Chen, Z. A possible role of LIM Mineralization protein l in tertiary dentinogenesis of dental caries treatment. Med. Hypotheses 2007, 69, 584–586. [Google Scholar] [CrossRef] [PubMed]
  9. Jarvinen, H.; Tenovuo, J.; Huovien, P. In vitro susceptibility of Streptococcus mutans to chlorhexidine and six other antimicrobial agents. Antimicrob. Agents Chemother. 1993, 37, 1158–1159. [Google Scholar] [CrossRef]
  10. Fani, M.M.; Kohanteb, J.; Dayaghi, M. Inhibitory activity of garlic (Allium sativum) extract on multidrug-resistant Streptococcus Mutans. J. Indian Soc. Pedod. Prev. Dent. 2007, 25, 164–168. [Google Scholar] [CrossRef]
  11. Chung, J.Y.; Choo, J.H.; Lee, M.H.; Hwang, J.K. Anticariogenic activity of macelignon isolated from Myristica fragrans (nutmeg) against Streptococcus mutans. Phytomedicine 2006, 13, 261–266. [Google Scholar] [CrossRef] [PubMed]
  12. Alice, M.C.; Tannis, M.J.; Charles, D.H. Antimicrobial activity of juglon. Phytother. Res. 1990, 4, 11–14. [Google Scholar]
  13. Lee, C.H.; Lee, H.S. Acaricidal activity and function of mite indicator using plumbagin and its derivatives isolated from Diospyros kaki Thunb. roots (Ebenaceae). J. Microbiol. Biotechnol. 2008, 18, 314–321. [Google Scholar] [PubMed]
  14. Tandon, V.K.; Singh, R.V.; Yadav, D.B. Synthesis and evaluation of novel 1,4-naphthoquinone derivatives as antiviral, antifungal and anticancer agents. Bioorg. Med. Chem. Lett. 2004, 14, 2901–2904. [Google Scholar] [CrossRef]
  15. Tandon, V.K.; Maurya, H.K.; Mishra, N.N.; Shukla, P.K. Design, synthesis and biological evaluation of novel nitrogen and sulfur containing hetero-1,4-naphthoquinones as potent antifungal and antibacterial agents. Eur. J. Med. Chem. 2009, 44, 3130–3137. [Google Scholar] [CrossRef] [PubMed]
  16. Tandon, V.K.; Yadav, D.B.; Singh, R.V.; Vaish, M.; Chaturvedi, A.K.; Shukla, P.K. Synthesis and biological evaluation of novel 1,4-naphthoquinone derivatives as antibacterial and antiviral agents. Bioorg. Med. Chem. Lett. 2005, 15, 3463–3466. [Google Scholar] [CrossRef]
  17. Nett, M.; Hertweck, C. Farinamycin, a quinazoline from Streptomyces griseus. J. Nat. Prod. 2011, 74, 2265–2268. [Google Scholar] [CrossRef] [PubMed]
  18. Prashant, T.M.; Nimesh, R.K.; Dhaval, D.H.; Saurabh, K.P. Synthesis, characterization, and In vitro biological studies of some novel pyran fused pyrimidone derivatives. J. Heterocycl. Chem. 2012, 3, 349–357. [Google Scholar]
  19. Zhi, C.; Long, Z.Y.; Manikowski, A.; Brown, N.C.; Tarantino, P.M.; Holm, K.; Dix, E.J.; Wright, G.E.; Foster, K.A.; Butler, M.M.; et al. Synthesis and Antibacterial Activity of 3-Substituted-6-(3-ethyl-4-methylanilino)uracils. J. Med. Chem. 2005, 48, 7063–7074. [Google Scholar] [CrossRef]
  20. Kelmanson, J.E.; Jager, A.K.; van Staden, J. Zulu medicinal plants with antibacterial activity. J. Ethnopharmacol. 2005, 69, 241–246. [Google Scholar] [CrossRef]
  21. Chen, Y.; Liu, T.; Wang, K.; Hou, C.; Cai, S.; Huang, Y.; Du, Z.; Huang, H.; Kong, J.; Chen, Y. Baicalein inhibits Staphylococcus aureus biofilm formation and the quorum sensing system in vitro. PLoS ONE 2016, 11, e0153469. [Google Scholar] [CrossRef] [PubMed]
  22. Ken-ichi, A.M.; Kunitoshi, Y.; Yoshimitsu, M.; Yoshihko, T.; Teru, O.; Shinya, S. Inhibitory effects of Myricetin derivatives on curli-dependent biofilm formation in Escherichia coli. Sci. Rep. 2018, 8, 8452. [Google Scholar]
  23. Ong, T.H.; Chitra, E.; Ramamurthy, S.; Siddalingam, R.P.; Yuen, K.H.; Ambu, S.P.; Davamani, F. Chitosan-propolis nanoparticle formulation demonstrates anti-bacterial activity against Enterococcus faecalis biofilm. PLoS ONE 2017, 12, e0174888. [Google Scholar]
  24. Clinical and Laboratory Standards Institute. Methods for Dilution Antimicrobial Susceptibility Tests for Bacteria that Grow Aerobically; Approved Standards, Document M7-A5; Clinical and Laboratory Standards Institute (CLSI): Wayne, PA, USA, 2006. [Google Scholar]
  25. Tsai, J.C.; Tsai, S.; Chang, W.C. Effect of ethanol extracts of three Chinese medicinal plants with anti-diarrheal properties on ion transport of the rat intestinal epithelia. J. Pharmacol. Sci. 2004, 94, 60–66. [Google Scholar] [CrossRef] [PubMed]
  26. Climo, M.W.; Patron, R.L.; Archer, G.L. Combinations of vancomycin and beta-lactams are synergistic against Staphylococci with reduced susceptibilities to vancomycin. Antimicrob. Agents Chemother. 1990, 43, 1747–1753. [Google Scholar] [CrossRef]
  27. Jorgensen, J.H.; Ferraro, M.J. Antimicrobial susceptibility testing: A review of general principles and contemporary practices. Clin. Infect. Dis. 2009, 49, 1749–1755. [Google Scholar] [CrossRef] [PubMed]
  28. Mumma, J.O.; Chhay, J.S.; Ross, K.L.; Eaton, J.S.; Newell-Litwa, K.A.; Fridovich-Keil, J.L. Distinct roles of galactose-1P in galactose mediated growth arrest of yeast deficient in galactose-1P uridylyltransferase (GALT) and UDP-galactose 4′-epimerase (GALE). Mol. Genet. Metab. 2008, 93, 160–171. [Google Scholar] [CrossRef]
  29. Stuart, C.H.; Schwartz, S.A.; Beeson, T.J.; Owatz, C.B. Enterococcus faecalis: Its role in root canal treatment failure and current concepts in retreatment. J. Endod. 2006, 32, 93–98. [Google Scholar] [CrossRef]
  30. Tong, Z.; Zhou, L.; Li, J.; Jiang, W.; Ma, L.; Ni, L. In vitro evaluation of the antibacterial activities of MTAD in combination with Nisin against Enterococcus faecalis. J. Endod. 2011, 37, 1116–1120. [Google Scholar] [CrossRef]
Figure 1. Design strategy for target compounds.
Figure 1. Design strategy for target compounds.
Biomedicines 08 00160 g001
Figure 2. Synthesis of new pyrimidinone-fused 1,4-naphthoquinones. Reagents and conditions: (i) dimethyl sulfate, K2CO3, acetone, reflux, overnight, 93% (in the literature); (ii) NBS, DMF, rt, overnight, 98%; (iii) KOH, THF/MeOH/H2O (1:1:2), reflux, 2 days, 84%; (iv) oxalyl chloride, DMF, DCM, rt, 3 h; (v) R1-NH2, pyridine, DCM, rt, overnight; (vi) copper iodide, L-proline, sodium azide, DMSO, 100 °C, 3 h; (vii) triphosgene, THF, reflux, 3 h; (viii) CAN, ACN/DMF/H2O (1:1:1), 0 °C to rt, 1 h; (ix) R2-CHO, p-TsOH∙H2O, THF, rt, 6 h; (x) BBr3, DCM, −30 °C, 1 h.
Figure 2. Synthesis of new pyrimidinone-fused 1,4-naphthoquinones. Reagents and conditions: (i) dimethyl sulfate, K2CO3, acetone, reflux, overnight, 93% (in the literature); (ii) NBS, DMF, rt, overnight, 98%; (iii) KOH, THF/MeOH/H2O (1:1:2), reflux, 2 days, 84%; (iv) oxalyl chloride, DMF, DCM, rt, 3 h; (v) R1-NH2, pyridine, DCM, rt, overnight; (vi) copper iodide, L-proline, sodium azide, DMSO, 100 °C, 3 h; (vii) triphosgene, THF, reflux, 3 h; (viii) CAN, ACN/DMF/H2O (1:1:1), 0 °C to rt, 1 h; (ix) R2-CHO, p-TsOH∙H2O, THF, rt, 6 h; (x) BBr3, DCM, −30 °C, 1 h.
Biomedicines 08 00160 g002
Figure 3. The antimicrobial activity of KHQ 711, 712, 713, 714, 715, 716, 717 and 718. P. gingivalis cultures were treated with (A) KHQ 711 (6.25 and 3.125 µg/mL), (B) KHQ 712 (3.125 and 1.56 µg/mL), (C) KHQ 713 (1.56 and 0.78 µg/mL), (D) KHQ 714 (12.5 and 6.25 µg/mL), (E) KHQ 715 (3.125 and 1.56 µg/mL), (F) KHQ 716 (3.125 and 1.56 µg/mL), (G) KHQ 717 (3.125 and 1.56 µg/mL) and (H) KHQ 718 (3.125 and 1.56 µg/mL) at 37 °C for 72 h and check the growth at every 6 h.
Figure 3. The antimicrobial activity of KHQ 711, 712, 713, 714, 715, 716, 717 and 718. P. gingivalis cultures were treated with (A) KHQ 711 (6.25 and 3.125 µg/mL), (B) KHQ 712 (3.125 and 1.56 µg/mL), (C) KHQ 713 (1.56 and 0.78 µg/mL), (D) KHQ 714 (12.5 and 6.25 µg/mL), (E) KHQ 715 (3.125 and 1.56 µg/mL), (F) KHQ 716 (3.125 and 1.56 µg/mL), (G) KHQ 717 (3.125 and 1.56 µg/mL) and (H) KHQ 718 (3.125 and 1.56 µg/mL) at 37 °C for 72 h and check the growth at every 6 h.
Biomedicines 08 00160 g003aBiomedicines 08 00160 g003bBiomedicines 08 00160 g003c
Table 1. Strains used in this study.
Table 1. Strains used in this study.
StrainDescriptionSource
E. faecalisCCARM5511Purchased from the Korean Agricultural Culture Collection (KACC), the Culture Collection of Antimicrobial Resistant Microbes (CCARM) or the Korean Collection for Type Cultures (KCTC)
E. faeciumKACC11954
S. epidermidisKACC13234
S. mutansKACC16833
S. aureusCCARM3506
S. sobrinusKCTC5809
A. viscosusKCTC9146
F. nucleatumKCTC2640
P. gingivalisKCTC5352
Table 2. Minimum inhibitory concentration (MIC) values (µg/mL) against oral bacteria.
Table 2. Minimum inhibitory concentration (MIC) values (µg/mL) against oral bacteria.
CompoundStrains
E. faeciumE. faecalisS. aureusS. epidermidis
Oxytetracycline 0.781001.5650
1,4-naphthoquinone12.51006.2512.5
Menadione25506.256.25
Juglone>100>100>100>100
Dichlon>100>1002525
KHQ 701>100>100>100>100
KHQ 702>100>100>100100
KHQ 7116.256.256.256.25
KHQ 712256.256.253.125
KHQ 7136.256.256.251.56
KHQ 714>100>100>10025
KHQ 7156.2512.512.53.125
KHQ 71612.512.512.51.56
KHQ 71712.512.512.51.56
KHQ 718502512.56.25
Table 3. Minimum inhibitory concentration (MIC) values (µg/mL) against oral bacteria.
Table 3. Minimum inhibitory concentration (MIC) values (µg/mL) against oral bacteria.
CompoundStrains
S. mutansA. viscosusF. nucleatumP. gingivalisS. sobrinus
Oxytetracycline 500.1950.1951001.56
1,4-naphthoquinone6.2512.512.56.2525
Menadione252510012.550
Juglone>100>100>100>100>100
Dichlon>10012.5506.2525
KHQ 701>100>100>100>100>100
KHQ 7021005012.5100100
KHQ 7116.253.1253.1256.256.25
KHQ 7123.1253.1253.1253.1251.56
KHQ 71312.53.1253.1251.563.125
KHQ 7146.2512.56.2512.512.5
KHQ 7156.256.256.253.1256.25
KHQ 71612.53.1253.1253.1253.125
KHQ 7176.253.1253.1253.1253.125
KHQ 71812.56.256.253.12512.5
Table 4. Inhibition zone diameters of KHQ 711, 712, 713, 714, 715, 716, 717 and 718 against P. gingivalis.
Table 4. Inhibition zone diameters of KHQ 711, 712, 713, 714, 715, 716, 717 and 718 against P. gingivalis.
CompoundInhibition Zone (cm) against P. gingivalis
Oxytetracycline0.8
KHQ 7111.04
KHQ 7121.12
KHQ 7131.12
KHQ 7141.2
KHQ 7151.12
KHQ 7161.12
KHQ 7171.12
KHQ 7180.96

Share and Cite

MDPI and ACS Style

Kim, K.; Kim, D.; Lee, H.; Lee, T.H.; Kim, K.-Y.; Kim, H. New Pyrimidinone-Fused 1,4-Naphthoquinone Derivatives Inhibit the Growth of Drug Resistant Oral Bacteria. Biomedicines 2020, 8, 160. https://doi.org/10.3390/biomedicines8060160

AMA Style

Kim K, Kim D, Lee H, Lee TH, Kim K-Y, Kim H. New Pyrimidinone-Fused 1,4-Naphthoquinone Derivatives Inhibit the Growth of Drug Resistant Oral Bacteria. Biomedicines. 2020; 8(6):160. https://doi.org/10.3390/biomedicines8060160

Chicago/Turabian Style

Kim, Kyungmin, Daseul Kim, Hyunjin Lee, Tae Hoon Lee, Ki-Young Kim, and Hakwon Kim. 2020. "New Pyrimidinone-Fused 1,4-Naphthoquinone Derivatives Inhibit the Growth of Drug Resistant Oral Bacteria" Biomedicines 8, no. 6: 160. https://doi.org/10.3390/biomedicines8060160

APA Style

Kim, K., Kim, D., Lee, H., Lee, T. H., Kim, K.-Y., & Kim, H. (2020). New Pyrimidinone-Fused 1,4-Naphthoquinone Derivatives Inhibit the Growth of Drug Resistant Oral Bacteria. Biomedicines, 8(6), 160. https://doi.org/10.3390/biomedicines8060160

Note that from the first issue of 2016, this journal uses article numbers instead of page numbers. See further details here.

Article Metrics

Back to TopTop