Low Radioactivity Levels in Blood Samples After Targeted Radionuclide Therapy: Minimal Radiation Exposure of Healthcare Staff
Abstract
1. Introduction
2. Materials and Methods
2.1. Study Design, Ethics, and Patients
2.2. Collected Data Variables and Patient Preparation
2.3. Determination of Radioactivity Levels in Blood Samples
2.4. Data Analysis and Statistics
log(radioactivity concentration) = β0 + β1 × “time” + β2 × log(applied radioactivity/1 Gbq) + ε.
log(radioactivity concentration) − β2 × log(applied radioactivity/1 Gbq) = β0 + β1 × “time”.
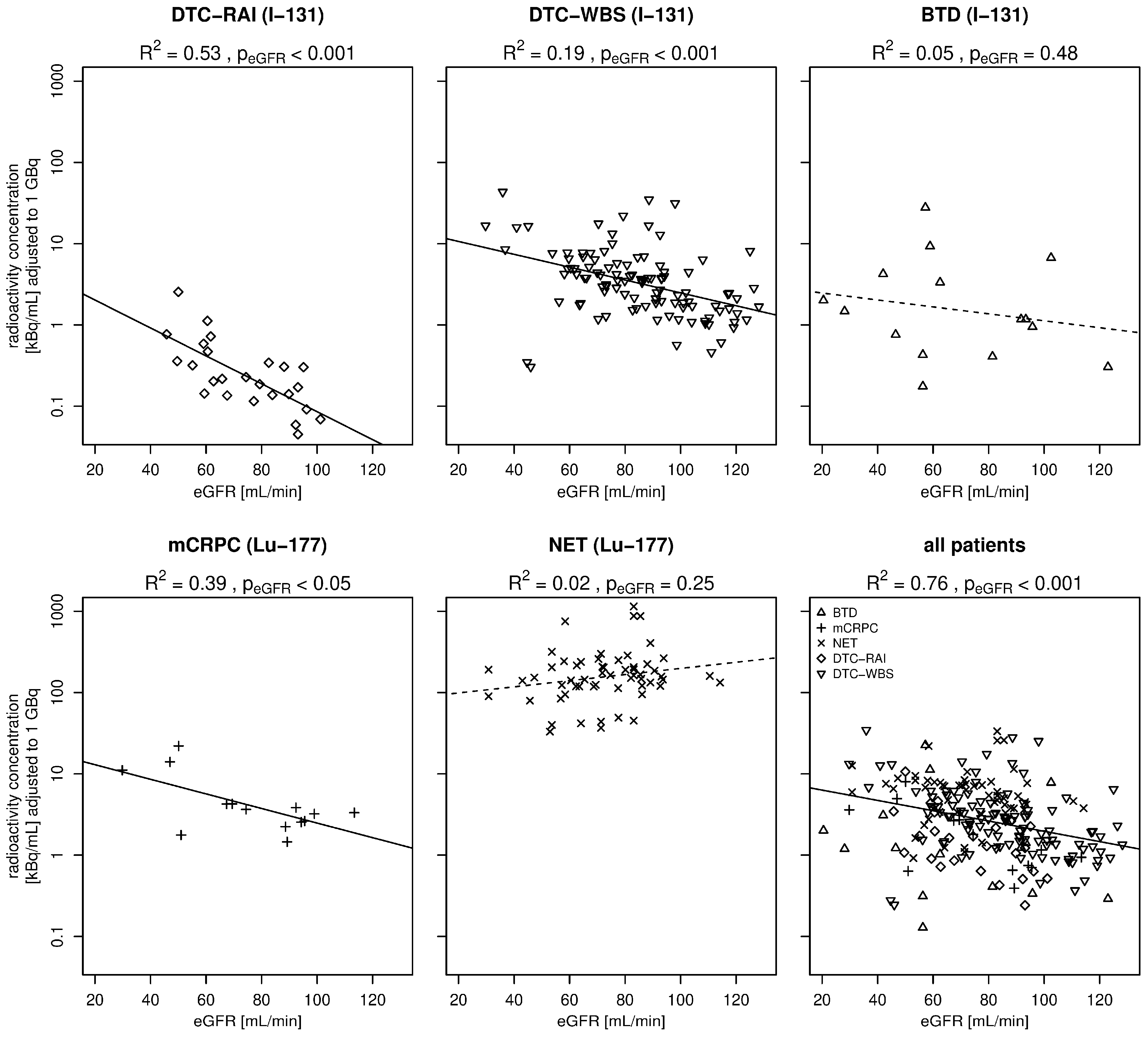
3. Results
4. Discussion
5. Conclusions
Supplementary Materials
Author Contributions
Funding
Institutional Review Board Statement
Informed Consent Statement
Data Availability Statement
Acknowledgments
Conflicts of Interest
Abbreviations
| BTD | benign thyroid diseases |
| CKD-EPI | Chronic Kidney Disease Epidemiology Collaboration |
| DTC | differentiated thyroid cancer |
| DTC-RAI | differentiated thyroid cancer after radioactive iodine therapy |
| DTC-WBS | differentiated thyroid cancer after diagnostic whole-body scintigraphy |
| eGFR | estimated glomerular filtration rate |
| EU | European Union |
| GBq | gigabecquerel |
| I-131 | iodine-131 |
| kBq | kilobecquerel |
| keV | kiloelectronvolt |
| Lu-177 | lutetium-177 |
| MBq | megabecquerel |
| mCi | millicurie |
| mCRPC | metastatic castration-resistant prostate cancer |
| mL | milliliter |
| µSv/h | microsievert per hour |
| NET | neuroendocrine tumors |
| PSMA | prostate-specific membrane antigen |
| RAI | radioactive iodine therapy |
| TRT | targeted radionuclide therapy |
| TSH | thyroid-stimulating hormone |
References
- Luster, M.; Clarke, S.E.; Dietlein, M.; Lassmann, M.; Lind, P.; Oyen, W.J.; Tennvall, J.; Bombardieri, E. Guidelines for radioiodine therapy of differentiated thyroid cancer. Eur. J. Nucl. Med. Mol. Imaging 2008, 35, 1941–1959. [Google Scholar] [CrossRef]
- Unlu, M.T.; Kostek, M.; Aygun, N.; Isgor, A.; Uludag, M. Non-Toxic Multinodular Goiter: From Etiopathogenesis to Treatment. Med. Bull. Sisli Etfal Hosp. 2022, 56, 21–40. [Google Scholar] [CrossRef]
- Weetman, A.P. Radioiodine treatment for benign thyroid diseases. Clin. Endocrinol. 2007, 66, 757–764. [Google Scholar] [CrossRef]
- Burkinshaw, L. The half-life of iodine 131. Phys. Med. Biol. 1958, 2, 255–257. [Google Scholar] [CrossRef]
- Krajewska, G.; Pachocki, K.A. Assessment of exposure of workers to ionizing radiation from radioiodine and technetium in nuclear medicine departmental facilities. Med. Pr. 2013, 64, 625–630. [Google Scholar] [CrossRef]
- Strosberg, J.; El-Haddad, G.; Wolin, E.; Hendifar, A.; Yao, J.; Chasen, B.; Mittra, E.; Kunz, P.L.; Kulke, M.H.; Jacene, H.; et al. Phase 3 Trial of 177Lu-Dotatate for Midgut Neuroendocrine Tumors. N. Engl. J. Med. 2017, 376, 125–135. [Google Scholar] [CrossRef] [PubMed]
- Sartor, O.; de Bono, J.; Chi, K.N.; Fizazi, K.; Herrmann, K.; Rahbar, K.; Tagawa, S.T.; Nordquist, L.T.; Vaishampayan, N.; El-Haddad, G.; et al. Lutetium-177-PSMA-617 for Metastatic Castration-Resistant Prostate Cancer. N. Engl. J. Med. 2021, 385, 1091–1103. [Google Scholar] [CrossRef] [PubMed]
- Schutze, C.; Borowski, M.; Freesmeyer, M.; Freudenberg, R.; Hanscheid, H.; Kurth, J.; Linde, M.R.; Militzer, L.C.; Sattler, B.; Schmidt, T.N.; et al. 177Lu-based radioligand therapy: A retrospective multicenter analysis to calculate the effective half-life and follow-up dose for the public. Nuklearmedizin-NuclearMedicine 2026, 65, 4–47. [Google Scholar] [CrossRef]
- World Nuclear Association. Radioisotopes in Medicine. Available online: https://world-nuclear.org/information-library/non-power-nuclear-applications/radioisotopes-research/radioisotopes-in-medicine (accessed on 24 February 2025).
- Huizing, D.M.V.; Sinaasappel, M.; Dekker, M.C.; Stokkel, M.P.M.; de Wit-van der Veen, B.J. 177Lutetium SPECT/CT: Evaluation of collimator, photopeak and scatter correction. J. Appl. Clin. Med. Phys. 2020, 21, 272–277. [Google Scholar] [CrossRef]
- Pillai, A.M.; Knapp, F.F., Jr. Evolving Important Role of Lutetium-177 for Therapeutic Nuclear Medicine. Curr. Radiopharm. 2015, 8, 78–85. [Google Scholar] [CrossRef] [PubMed]
- Regulation on Protection Against the Harmful Effects of Ionizing Radiation (Radiation Protection Regulation) (BGBl I 41/2018). Available online: https://www.verwaltungsvorschriften-im-internet.de/bsvwvbund_17102011_RSII4114321.htm (accessed on 24 February 2025).
- Sunny, S.S.; Hephzibah, J.; Mathew, D.; Bondu, J.D.; Shanthly, N.; Oommen, R. Stimulated Serum Thyroglobulin Levels versus Unstimulated Serum Thyroglobulin in the Follow-up of Patients with Papillary Thyroid Carcinoma. World J. Nucl. Med. 2018, 17, 41–45. [Google Scholar] [CrossRef]
- Lapa, C.; Werner, R.A.; Bluemel, C.; Luckerath, K.; Schirbel, A.; Strate, A.; Buck, A.K.; Herrmann, K. Influence of the amount of co-infused amino acids on post-therapeutic potassium levels in peptide receptor radionuclide therapy. EJNMMI Res. 2014, 4, 46. [Google Scholar] [CrossRef]
- Council of the European Union. Council Directive 2013/59/Euratom of 5 December 2013 Laying Down Basic Safety Standards for Protection Against the Dangers Arising from Exposure to Ionising Radiation, and Repealing Directives 89/618/Euratom, 90/641/Euratom, 96/29/Euratom, 97/43/Euratom and 2003/122/Euratom; Council of the European Union: Luxembourg, 2014. [Google Scholar]
- Schwartz, J.G.; Phillips, W.T.; Shriver, C.A.; Okorodudu, A.O. The Risk of Radiation Exposure to Laboratory Personnel. Lab. Med. 1991, 22, 114–119. [Google Scholar] [CrossRef][Green Version]
- Alkhorayef, M.; Sulieman, A.; Mohamed-Ahmed, M.; Al-Mohammed, H.I.; Alkhomashi, N.; Sam, A.K.; Bradley, D.A. Staff and ambient radiation dose resulting from therapeutic nuclear medicine procedures. Appl. Radiat. Isot. 2018, 141, 270–274. [Google Scholar] [CrossRef]
- Piwowarska-Bilska, H.; Birkenfeld, B.; Gwardys, A.; Supinska, A.; Listewnik, M.H.; Elbl, B.; Cichon-Bankowska, K. Occupational exposure at the Department of Nuclear Medicine as a work environment: A 19-year follow-up. Pol. J. Radiol. 2011, 76, 18–21. [Google Scholar]
- Suciu, C.G.; Amurao, M.; Luechtefeld, D.; Marko, A.; Ashby, L.; Gronowski, A.M. Evaluation of Radioactivity in Patient Specimens Received in the Core Laboratory at a National Cancer Institute (NCI) Designated Cancer Center. Clin. Chem. 2021, 67, 1415–1425. [Google Scholar] [CrossRef] [PubMed]
- Larkin, A.; Millan, E.; Noz, M.; Wagner, S.; Friedman, K.; Blum, M. Radioactivity of blood samples taken from thyroidectomized thyroid carcinoma patients after therapy with (131)I. Thyroid 2011, 21, 1009–1012. [Google Scholar] [CrossRef]
- Vialard-Miguel, J.; Georges, A.; Mazere, J.; Ducassou, D.; Corcuff, J.B. 131I in blood samples: A danger for professionals? A problem for immunoassays? J. Nucl. Med. Technol. 2005, 33, 172–174. [Google Scholar]
- Sarah, T.B.; Peiling, Y.; Loo, T.P.; Ming, W.Y.; Yien, L.S.; Soon, T.Y.; Loke, K.S.H. Radiation exposure to allied health personnel handling blood specimens from patients receiving radioactive iodine-131 and recombinant human TSH (thyrogen(R)) stimulation. J. Radiol. Prot. 2021, 41, 832. [Google Scholar] [CrossRef] [PubMed]
- Di Leo, G.; Sardanelli, F. Statistical significance: P value, 0.05 threshold, and applications to radiomics-reasons for a conservative approach. Eur. Radiol. Exp. 2020, 4, 18. [Google Scholar] [CrossRef]
- Bonnema, S.J.; Hegedus, L. Radioiodine therapy in benign thyroid diseases: Effects, side effects, and factors affecting therapeutic outcome. Endocr. Rev. 2012, 33, 920–980. [Google Scholar] [CrossRef]
- Bourgois, L.; Menard, S.; Comte, N. Calculation of Skin Dose Due to Beta Contamination Using the New Quantity of the Icrp 116: The ‘Local Skin Dose’. Radiat. Prot. Dosim. 2017, 176, 365–379. [Google Scholar] [CrossRef] [PubMed]
- Peplow, D.E. Specific Gamma-Ray Dose Constants with Current Emission Data. Health Phys. 2020, 118, 402–416. [Google Scholar] [CrossRef]
- International Atomic Energy Agency. Radiation Protection and Safety of Radiation Sources: International Basic Safety Standards (2014); General Safety Requirements Part 3.90; International Atomic Energy Agency: Vienna, Austria, 2014. [Google Scholar]
- Wrixon, A.D. New ICRP recommendations. J. Radiol. Prot. 2008, 28, 161–168. [Google Scholar] [CrossRef] [PubMed]
- Kuhnel, C.; Winkens, T.; Seifert, P.; Drescher, R.; Freesmeyer, M. Radiation Exposure of the Investigator during Navigated Fusion of 124iodine Pet Imaging and Ultrasound. Radiat. Prot. Dosim. 2018, 181, 368–373. [Google Scholar] [CrossRef]
- Vogel, K.; Opfermann, T.; Wiegand, S.; BIermann, J.; Busch, M.; Winkens, T.; Freesmeyer, M. Relationship between estimated glomerular filtration rate and biological half-life of 131I. Nuklearmedizin 2013, 52, 164–169. [Google Scholar] [CrossRef]
- Kurth, J.; Krause, B.J.; Schwarzenbock, S.M.; Stegger, L.; Schafers, M.; Rahbar, K. External radiation exposure, excretion, and effective half-life in 177Lu-PSMA-targeted therapies. EJNMMI Res. 2018, 8, 32. [Google Scholar] [CrossRef]
- Yordanova, A.; Eppard, E.; Kurpig, S.; Bundschuh, R.A.; Schonberger, S.; Gonzalez-Carmona, M.; Feldmann, G.; Ahmadzadehfar, H.; Essler, M. Theranostics in nuclear medicine practice. Onco Targets Ther. 2017, 10, 4821–4828. [Google Scholar] [CrossRef]
- Kobe, C.; Eschner, W.; Wild, M.; Rahlff, I.; Sudbrock, F.; Schmidt, M.; Dietlein, M.; Schicha, H. Radioiodine therapy of benign thyroid disorders: What are the effective thyroidal half-life and uptake of 131I? Nucl. Med. Commun. 2010, 31, 201–205. [Google Scholar] [CrossRef]


| Patient Data and Treatment Parameters | All I-131 Patients (N = 148) | DTC-RAI (N = 25) | DTC-WBS (N = 108) | BTD (N = 15) |
|---|---|---|---|---|
| Male | 61 (31%) | 17 (68%) | 36 (33%) | 8 (53%) |
| Female | 87 (59%) | 8 (32%) | 72 (67%) | 7 (47%) |
| Age [years] | 58.9 ± 17.3; 61.5 (19.0–90.0) | 67.7 ± 11.9; 68.0 (35.0–84.0) | 55.6 ± 17.3; 58.0 (20.0–91.0) | 67.6 ± 15.7; 73.0 (26.0–83.0) |
| eGFR [mL/min] | 81.4 ± 22.6; 82.7 (20.5–128.2) | 73.8 ± 16.6; 74.4 (45.8–101.2) | 85.1 ± 21.8; 86.1 (29.7–128.2) | 67.7 ± 28.1; 58.9 (20.5–123.0) |
| >90 | 57 (39%) | 6 (24%) | 46 (43%) | 5 (33%) |
| 60–90 | 64 (43%) | 13 (52%) | 49 (45%) | 2 (13%) |
| 30–59 | 24 (16%) | 6 (24%) | 12 (11%) | 6 (41%) |
| <30 | 3 (2%) | 0 | 1 (1%) | 2 (13%) |
| Duration of hospitalization [h] | 84.0 ± 55.2; 72.0 (48.0–312.0) | 118.1 ± 47.0; 96.0 (72.0–288.0) | 62.4 ± 11.7; 72.0 (48.0–72.0) | 193.6 ± 91.7; 192.0 (72.0–312.0) |
| Applied radioactivity [GBq] | 1.9 ± 3.2; 0.4 (0.3–13.0) | 8.6 ± 2.8; 9.0 (3.7–13.0) | 0.4 ± 0.02; 0.4 (0.3–0.5) | 1.4 ± 0.8; 1.1 (0.6–3.5) |
| Time between tracer administration and blood sampling [h] | 52.0 ± 37.0; 43.0 (18.0–283.5) | 65.5 ± 42.8; 46.3 (19.6–233.1) | 42.0 ± 7.2; 42.0 (18.0–78.0) | 101.9 ± 80.9; 66.8 (20.0–283.5) |
| radioactivity concentration [kBq/mL] at the time of blood sampling | 5.7 ± 13.0; 1.1 (0.1–82.4) | 25.1 ± 22.3; 18.7 (2.2–82.4) | 1.4 ± 1.8; 0.9 (0.1–11.5) | 4.2 ± 7.2; 1.3 (0.2–29.5) |
| total amount of radioactivity at the time of blood sampling [kBq], extrapolated to 2.7 mL | 15.6 ± 34.3; 2.9 (0.2–222.4) | 64.9 ± 59.2; 41.9 (5.9–222.4) | 4.8 ± 8.7; 2.4 (0.2–56.4) | 11.1 ± 18.7; 3.3 (0.5–76.7) |
| Patient Data and Treatment Parameters | All Lu-177 Patients (N = 72) | mCRPC (N = 14) | NET (N = 58) |
|---|---|---|---|
| Male | 54 (75%) | 14 (100%) | 40 (69%) |
| Female | 18 (25%) | 0 | 18 (31%) |
| Age [years] | 67.5 ± 8.2; 69 (45.0–81.0) | 68.6 ± 8.5; 68.0 (56.0–81.0) | 67.3 ± 8.1; 69.0 (45.0–80.0) |
| eGFR [mL/min] | 73.3 ± 18.5; 73.4 (29.8–114.2) | 75.8 ± 23.4; 81.5 (29.8–113.4) | 72.7 ± 17.0; 72.1 (30.8–114.2) |
| >90 | 12 (17%) | 5 (36%) | 7 (12%) |
| 60–90 | 42 (58%) | 5 (36%) | 37 (64%) |
| 30–59 | 17 (24) | 3 (21%) | 14 (24%) |
| <30 | 1 (1%) | 1 (7%) | 0 |
| Duration of hospitalization [h] | 48.0 ± 0.0; 48.0 (48.0–48.0) | 49.7 ± 6.2; 48.0 (48.0–72.0) | 49.7 ± 6.1; 48.0 (48.0–72.0) |
| Applied radioactivity [GBq] | 6.7 ± 1.4; 7.4 (2.1–10.2) | 5.4 ± 1.9; 5.2 (2.1–8.0) | 7.0 ± 1.1; 7.5 (4.1–10.2) |
| Time between tracer administration and blood sampling [h] | 13.0 ± 11.4; 6.1 (3.5–44.0) | 31.2 ± 11.0; 35.1 (15.6–44.0) | 8.6 ± 5.8; 5.9 (3.5–22.8) |
| radioactivity concentration [kBq/mL] at the time of blood sampling | 59.8 ± 65.0; 49.2 (4.4–373.8) | 14.4 ± 14.5; 7.9 (4.4–54.8) | 70.8 ± 67.6; 53.9; (10.6–373.8) |
| total amount of radioactivity at the time of blood sampling [kBq], extrapolated to 2.7 mL | 159.4 ± 175.2; 128.9 (11.5–1009.2) | 43.7 ± 51.0; 20.4 (11.5–178.5) | 187.3 ± 183.0; 139.2 (27.6–1009.2) |
Disclaimer/Publisher’s Note: The statements, opinions and data contained in all publications are solely those of the individual author(s) and contributor(s) and not of MDPI and/or the editor(s). MDPI and/or the editor(s) disclaim responsibility for any injury to people or property resulting from any ideas, methods, instructions or products referred to in the content. |
© 2026 by the authors. Licensee MDPI, Basel, Switzerland. This article is an open access article distributed under the terms and conditions of the Creative Commons Attribution (CC BY) license.
Share and Cite
Wehmann, M.; Seifert, P.; Kühnel, C.; Drescher, R.; Gühne, F.; Freesmeyer, M. Low Radioactivity Levels in Blood Samples After Targeted Radionuclide Therapy: Minimal Radiation Exposure of Healthcare Staff. Biomedicines 2026, 14, 529. https://doi.org/10.3390/biomedicines14030529
Wehmann M, Seifert P, Kühnel C, Drescher R, Gühne F, Freesmeyer M. Low Radioactivity Levels in Blood Samples After Targeted Radionuclide Therapy: Minimal Radiation Exposure of Healthcare Staff. Biomedicines. 2026; 14(3):529. https://doi.org/10.3390/biomedicines14030529
Chicago/Turabian StyleWehmann, Marcel, Philipp Seifert, Christian Kühnel, Robert Drescher, Falk Gühne, and Martin Freesmeyer. 2026. "Low Radioactivity Levels in Blood Samples After Targeted Radionuclide Therapy: Minimal Radiation Exposure of Healthcare Staff" Biomedicines 14, no. 3: 529. https://doi.org/10.3390/biomedicines14030529
APA StyleWehmann, M., Seifert, P., Kühnel, C., Drescher, R., Gühne, F., & Freesmeyer, M. (2026). Low Radioactivity Levels in Blood Samples After Targeted Radionuclide Therapy: Minimal Radiation Exposure of Healthcare Staff. Biomedicines, 14(3), 529. https://doi.org/10.3390/biomedicines14030529

