Associations of rs55829688 and rs145204276 Promoter Variants with lncRNA GAS5 Expression in AML: Prognostic Significance and Functional Analysis
Abstract
1. Introduction
2. Materials and Methods
2.1. Cohort Clinical Information and Therapy Protocol
2.2. GAS5 Promoter Region Genotyping
2.3. Functional In Vitro Study
2.4. In Silico Analysis of GAS5 rs55829688 and rs145204276 Promoter Variants
2.5. Statistical Analysis
3. Results
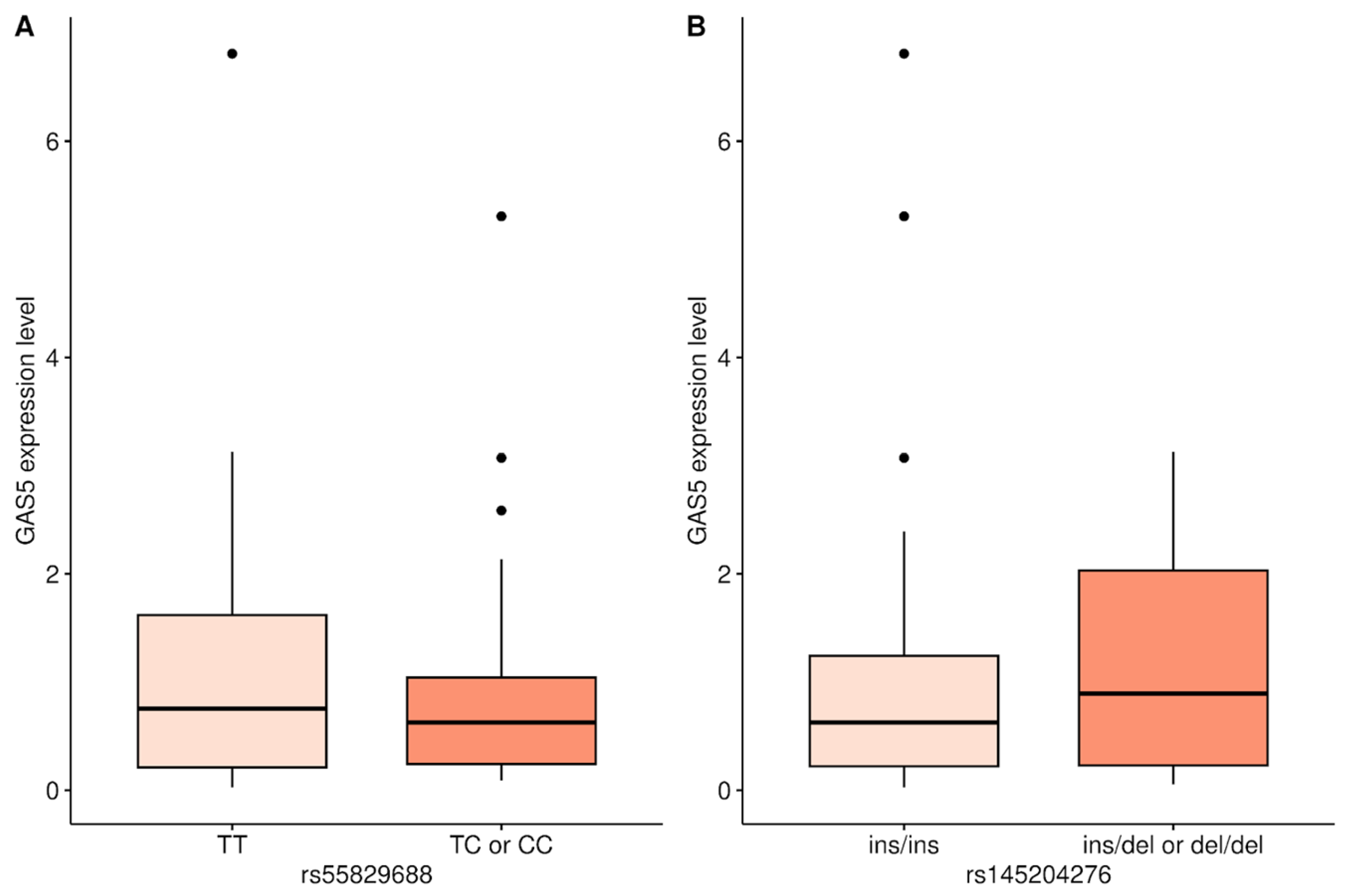
3.1. Associations of GAS5 Promoter Variants and Expression Levels in AML Patients
3.2. Association of GAS5 Promoter Variants with the Clinical Features and Prognosis of AML
3.3. The Roles of GAS5 Promoter Variants in the Prognosis of Intermediate-Risk Patients
3.4. Functional Analysis of GAS5 Promoter Variant Constructs in K562 Cells
4. Discussion
5. Conclusions
Author Contributions
Funding
Institutional Review Board Statement
Informed Consent Statement
Data Availability Statement
Conflicts of Interest
Abbreviations
| AML | Acute myeloid leukemia |
| ELN | European LeukemiaNet |
| lncRNA | long non-coding RNA |
| TFBS | Transcription factor binding site |
References
- Sasaki, K.; Ravandi, F.; Kadia, T.M.; DiNardo, C.D.; Short, N.J.; Borthakur, G.; Jabbour, E.; Kantarjian, H.M. De Novo Acute Myeloid Leukemia: A Population-based Study of Outcome in the United States Based on the Surveillance, Epidemiology, and End Results (SEER) Database, 1980 to 2017. Cancer 2021, 127, 2049–2061. [Google Scholar] [CrossRef]
- Patel, D.; Gupta, M.; Suppala, P.; Singh Hara, M.; Singh Daid, S.P.; Munnangi, P.; Hirpara, I.; Sharma, A.; Saleh, A.; Patel, V.; et al. AML-750 Global Burden and Trends in Acute Myeloid Leukemia in the European Union From 1990 to 2021: Insights from the Global Burden of Disease Study, 2021. Clin. Lymphoma Myeloma Leuk. 2024, 24, S337. [Google Scholar] [CrossRef]
- Döhner, H.; Wei, A.H.; Appelbaum, F.R.; Craddock, C.; DiNardo, C.D.; Dombret, H.; Ebert, B.L.; Fenaux, P.; Godley, L.A.; Hasserjian, R.P.; et al. Diagnosis and Management of AML in Adults: 2022 Recommendations from an International Expert Panel on Behalf of the ELN. Blood 2022, 140, 1345–1377. [Google Scholar] [CrossRef]
- Kantarjian, H.M.; DiNardo, C.D.; Kadia, T.M.; Daver, N.G.; Altman, J.K.; Stein, E.M.; Jabbour, E.; Schiffer, C.A.; Lang, A.; Ravandi, F. Acute Myeloid Leukemia Management and Research in 2025. CA Cancer J. Clin. 2025, 75, 46–67. [Google Scholar] [CrossRef]
- Kayser, S.; Levis, M.J. The Clinical Impact of the Molecular Landscape of Acute Myeloid Leukemia. Haematologica 2023, 108, 308–320. [Google Scholar] [CrossRef]
- Jaiswal, S.; Ebert, B.L. Clonal Hematopoiesis in Human Aging and Disease. Science 2019, 366, eaan4673. [Google Scholar] [CrossRef]
- Shimony, S.; Stahl, M.; Stone, R.M. Acute Myeloid Leukemia: 2023 Update on Diagnosis, Risk-stratification, and Management. Am. J. Hematol. 2023, 98, 502–526. [Google Scholar] [CrossRef] [PubMed]
- Bhansali, R.S.; Pratz, K.W.; Lai, C. Recent Advances in Targeted Therapies in Acute Myeloid Leukemia. J. Hematol. Oncol. 2023, 16, 29. [Google Scholar] [CrossRef] [PubMed]
- Bhan, A.; Soleimani, M.; Mandal, S.S. Long Noncoding RNA and Cancer: A New Paradigm. Cancer Res. 2017, 77, 3965–3981. [Google Scholar] [CrossRef] [PubMed]
- Pickard, M.; Williams, G. Molecular and Cellular Mechanisms of Action of Tumour Suppressor GAS5 LncRNA. Genes 2015, 6, 484–499. [Google Scholar] [CrossRef]
- Fleming, V.J.; Hay, M.S.; Harries, D.N.; Rees, D.W. Effects of Nutrient Deprivation and Differentiation on the Expression of Growth-Arrest Genes (Gas and Gadd) in F9 Embryonal Carcinoma Cells. Biochem. J. 1998, 330, 573–579. [Google Scholar] [CrossRef] [PubMed]
- Kaur, J.; Salehen, N.; Norazit, A.; Rahman, A.A.; Murad, N.A.A.; Rahman, N.M.A.N.A.; Ibrahim, K. Tumor Suppressive Effects of GAS5 in Cancer Cells. Non-Coding RNA 2022, 8, 39. [Google Scholar] [CrossRef]
- Pavlovic, D.; Tosic, N.; Zukic, B.; Pravdic, Z.; Vukovic, N.S.; Pavlovic, S.; Gasic, V. Expression Profiles of Long Non-Coding RNA GAS5 and MicroRNA-222 in Younger AML Patients. Diagnostics 2021, 12, 86. [Google Scholar] [CrossRef]
- Fantini, S.; Rontauroli, S.; Sartini, S.; Mirabile, M.; Bianchi, E.; Badii, F.; Maccaferri, M.; Guglielmelli, P.; Ottone, T.; Palmieri, R.; et al. Increased Plasma Levels of lncRNAs LINC01268, GAS5 and MALAT1 Correlate with Negative Prognostic Factors in Myelofibrosis. Cancers 2021, 13, 4744. [Google Scholar] [CrossRef]
- Xagorari, M.; Marmarinos, A.; Kossiva, L.; Baka, M.; Doganis, D.; Servitzoglou, M.; Tsolia, M.; Scorilas, A.; Avgeris, M.; Gourgiotis, D. Overexpression of the GR Riborepressor LncRNA GAS5 Results in Poor Treatment Response and Early Relapse in Childhood B-ALL. Cancers 2021, 13, 6064. [Google Scholar] [CrossRef]
- Senousy, M.A.; El-Abd, A.M.; Abdel-Malek, R.R.; Rizk, S.M. Circulating Long Non-Coding RNAs HOTAIR, Linc-P21, GAS5 and XIST Expression Profiles in Diffuse Large B-Cell Lymphoma: Association with R-CHOP Responsiveness. Sci. Rep. 2021, 11, 2095. [Google Scholar] [CrossRef]
- Mourtada-Maarabouni, M.; Hasan, A.M.; Farzaneh, F.; Williams, G.T. Inhibition of Human T-Cell Proliferation by Mammalian Target of Rapamycin (mTOR) Antagonists Requires Noncoding RNA Growth-Arrest-Specific Transcript 5 (GAS5). Mol. Pharmacol. 2010, 78, 19–28. [Google Scholar] [CrossRef] [PubMed]
- Wang, Y.; Wu, S.; Yang, X.; Li, X.; Chen, R. Association between Polymorphism in the Promoter Region of lncRNA GAS5 and the Risk of Colorectal Cancer. Biosci. Rep. 2019, 39, BSR20190091. [Google Scholar] [CrossRef]
- Yan, H.; Zhang, D.-Y.; Li, X.; Yuan, X.-Q.; Yang, Y.-L.; Zhu, K.-W.; Zeng, H.; Li, X.-L.; Cao, S.; Zhou, H.-H.; et al. Long Non-Coding RNA GAS5 Polymorphism Predicts a Poor Prognosis of Acute Myeloid Leukemia in Chinese Patients via Affecting Hematopoietic Reconstitution. Leuk. Lymphoma 2017, 58, 1948–1957. [Google Scholar] [CrossRef]
- Weng, W.-C.; Chen, C.-J.; Chen, P.-N.; Wang, S.-S.; Hsieh, M.-J.; Yang, S.-F. Impact of Gene Polymorphisms in GAS5 on Urothelial Cell Carcinoma Development and Clinical Characteristics. Diagnostics 2020, 10, 260. [Google Scholar] [CrossRef]
- Tao, R.; Hu, S.; Wang, S.; Zhou, X.; Zhang, Q.; Wang, C.; Zhao, X.; Zhou, W.; Zhang, S.; Li, C.; et al. Association between Indel Polymorphism in the Promoter Region of lncRNA GAS5 and the Risk of Hepatocellular Carcinoma. Carcinogenesis 2015, 36, 1136–1143. [Google Scholar] [CrossRef]
- Hsieh, M.-H.; Lu, H.-J.; Lin, C.-W.; Lee, C.-Y.; Yang, S.-J.; Wu, P.-H.; Chen, M.-K.; Yang, S.-F. Genetic Variants of lncRNA GAS5 Are Associated with the Clinicopathologic Development of Oral Cancer. J. Pers. Med. 2021, 11, 348. [Google Scholar] [CrossRef] [PubMed]
- Xiang, X.; Chen, L.; He, J.; Ma, G.; Li, Y. LncRNA GAS5 Rs145204276 Polymorphism Reduces Renal Cell Carcinoma Susceptibility in Southern Chinese Population. J. Inflamm. Res. 2022, 15, 1147–1158. [Google Scholar] [CrossRef] [PubMed]
- Boshart, M.; Klüppel, M.; Schmidt, A.; Schütz, G.; Luckow, B. Reporter Constructs with Low Background Activity Utilizing the Cat Gene. Gene 1992, 110, 129–130. [Google Scholar] [CrossRef][Green Version]
- Steinhaus, R.; Robinson, P.N.; Seelow, D. FABIAN-Variant: Predicting the Effects of DNA Variants on Transcription Factor Binding. Nucleic Acids Res. 2022, 50, W322–W329. [Google Scholar] [CrossRef]
- Ovek Baydar, D.; Rauluseviciute, I.; Aronsen, D.R.; Blanc-Mathieu, R.; Bonthuis, I.; de Beukelaer, H.; Ferenc, K.; Jegou, A.; Kumar, V.; Lemma, R.B.; et al. JASPAR 2026: Expansion of Transcription Factor Binding Profiles and Integration of Deep Learning Models. Nucleic Acids Res. 2025, 54, gkaf1209. [Google Scholar] [CrossRef]
- Gasic, V.; Stankovic, B.; Zukic, B.; Janic, D.; Dokmanovic, L.; Krstovski, N.; Lazic, J.; Milosevic, G.; Lucafò, M.; Stocco, G.; et al. Expression Pattern of Long Non-Coding RNA Growth Arrest-Specific 5 in the Remission Induction Therapy in Childhood Acute Lymphoblastic Leukemia. J. Med. Biochem. 2019, 38, 292–298. [Google Scholar] [CrossRef]
- Rodriguez, P.D.; Paculova, H.; Kogut, S.; Heath, J.; Schjerven, H.; Frietze, S. Non-Coding RNA Signatures of B-Cell Acute Lymphoblastic Leukemia. Int. J. Mol. Sci. 2021, 22, 2683. [Google Scholar] [CrossRef]
- Gao, G.; Liu, C.; Li, X.; Guan, X.; Yang, X.; Qin, P. Growth Arrest-Specific 5 (GAS5) Insertion/Deletion Polymorphism and Cancer Susceptibility in Asian Populations: A Meta-Analysis. Medicine 2021, 100, e27415. [Google Scholar] [CrossRef]
- Yang, P.-J.; Ting, K.-H.; Tsai, P.-Y.; Su, S.-C.; Yang, S.-F. Association of Long Noncoding RNA GAS5 Gene Polymorphism with Progression of Diabetic Kidney Disease. Int. J. Med. Sci. 2024, 21, 2201–2207. [Google Scholar] [CrossRef]
- Liu, Y.-L.; Hu, X.-L.; Song, P.-Y.; Li, H.; Li, M.-P.; Du, Y.-X.; Li, M.-Y.; Ma, Q.-L.; Peng, L.-M.; Song, M.-Y.; et al. Influence of GAS5/MicroRNA-223-3p/P2Y12 Axis on Clopidogrel Response in Coronary Artery Disease. J. Am. Heart Assoc. 2021, 10, e021129. [Google Scholar] [CrossRef]
- Lu, Y.; Lan, Y.; Huang, H.; Huang, Y.; Wei, Y.; Wang, C.; Liu, C. Study of the association of lncRNA-GAS5 gene polymorphisms with systemic lupus erythematosus in Guangxi population. J. Med. Genet. 2023, 40, 114–120. [Google Scholar] [CrossRef]
- DiNardo, C.D.; Garcia-Manero, G.; Pierce, S.; Nazha, A.; Bueso-Ramos, C.; Jabbour, E.; Ravandi, F.; Cortes, J.; Kantarjian, H. Interactions and Relevance of Blast Percentage and Treatment Strategy among Younger and Older Patients with Acute Myeloid Leukemia (AML) and Myelodysplastic Syndrome (MDS). Am. J. Hematol. 2016, 91, 227–232. [Google Scholar] [CrossRef]
- Nguyen, L.N.T.; Pyburn, J.S.; Nguyen, N.L.; Schank, M.B.; Zhao, J.; Wang, L.; Leshaodo, T.O.; El Gazzar, M.; Moorman, J.P.; Yao, Z.Q. Epigenetic Regulation by lncRNA GAS5/miRNA/mRNA Network in Human Diseases. Int. J. Mol. Sci. 2025, 26, 1377. [Google Scholar] [CrossRef]
- Balogh, P.; Adelman, E.R.; Pluvinage, J.V.; Capaldo, B.J.; Freeman, K.C.; Singh, S.; Elagib, K.E.; Nakamura, Y.; Kurita, R.; Sashida, G.; et al. RUNX3 Levels in Human Hematopoietic Progenitors Are Regulated by Aging and Dictate Erythroid-Myeloid Balance. Haematologica 2020, 105, 905–913. [Google Scholar] [CrossRef] [PubMed]
- Ebihara, T.; Song, C.; Ryu, S.H.; Plougastel-Douglas, B.; Yang, L.; Levanon, D.; Groner, Y.; Bern, M.D.; Stappenbeck, T.S.; Colonna, M.; et al. Runx3 Specifies Lineage Commitment of Innate Lymphoid Cells. Nat. Immunol. 2015, 16, 1124–1133. [Google Scholar] [CrossRef]
- Wang, C.Q.; Motoda, L.; Satake, M.; Ito, Y.; Taniuchi, I.; Tergaonkar, V.; Osato, M. Runx3 Deficiency Results in Myeloproliferative Disorder in Aged Mice. Blood 2013, 122, 562–566. [Google Scholar] [CrossRef][Green Version]
- Chuang, L.S.H.; Ito, Y. RUNX3 Is Multifunctional in Carcinogenesis of Multiple Solid Tumors. Oncogene 2010, 29, 2605–2615. [Google Scholar] [CrossRef]
- Fang, P.; Xiang, L.; Chen, W.; Li, S.; Huang, S.; Li, J.; Zhuge, L.; Jin, L.; Feng, W.; Chen, Y.; et al. LncRNA GAS5 Enhanced the Killing Effect of NK Cell on Liver Cancer through Regulating miR-544/RUNX3. Innate Immun. 2019, 25, 99–109. [Google Scholar] [CrossRef]
- Aminian, K.; Mashayekhi, F.; Mirzanejad, L.; Salehi, Z. A Functional Genetic Variant in GAS5 lncRNA (Rs145204276) Modulates P27Kip1 Expression and Confers Risk for Gastric Cancer. Br. J. Biomed. Sci. 2019, 76, 83–85. [Google Scholar] [CrossRef]
- Zhu, L.; Zhu, Q.; Wen, H.; Huang, X.; Zheng, G. Mutations in GAS5 Affect the Transformation from Benign Prostate Proliferation to Aggressive Prostate Cancer by Affecting the Transcription Efficiency of GAS5. J. Cell. Physiol. 2019, 234, 8928–8940. [Google Scholar] [CrossRef]
- Xu, L.; Xia, C.; Xue, B.; Sheng, F.; Xiong, J.; Wang, S. A Promoter Variant of lncRNA GAS5 Is Functionally Associated with the Development of Osteosarcoma. J. Bone Oncol. 2018, 12, 23–26. [Google Scholar] [CrossRef]
- Hu, L.; Ye, H.; Huang, G.; Luo, F.; Liu, Y.; Liu, Y.; Yang, X.; Shen, J.; Liu, Q.; Zhang, J. Long Noncoding RNA GAS5 Suppresses the Migration and Invasion of Hepatocellular Carcinoma Cells via miR-21. Tumor Biol. 2016, 37, 2691–2702. [Google Scholar] [CrossRef] [PubMed]
- Tu, Z.-Q.; Li, R.-J.; Mei, J.-Z.; Li, X.-H. Down-Regulation of Long Non-Coding RNA GAS5 Is Associated with the Prognosis of Hepatocellular Carcinoma. Int. J. Clin. Exp. Pathol. 2014, 7, 4303–4309. [Google Scholar] [PubMed]
- Zheng, Z.; Liu, S.; Wang, C.; Han, X. A Functional Polymorphism Rs145204276 in the Promoter of Long Noncoding RNA GAS5 Is Associated with an Increased Risk of Ischemic Stroke. J. Stroke Cerebrovasc. Dis. 2018, 27, 3535–3541. [Google Scholar] [CrossRef] [PubMed]



| Parameter | rs55829688 | rs145204276 | |||||
|---|---|---|---|---|---|---|---|
| Total n = 75 | TT n = 42 | TC or CC n = 33 | p | ins/ins n = 53 | ins/del or del/del, n = 22 | p | |
| Sex | 0.646 | 0.265 | |||||
| Male (%) | 42 | 25 (60) | 17 (40) | 27 (36) | 15 (20) | ||
| Female (%) | 33 | 17 (52) | 16 (48) | 26 (35) | 7 (9) | ||
| Age, years median (range) | 50 (18–62) | 49 (18–61) | 0.399 | 50 (18–62) | 49.5 (18–61) | 0.798 | |
| WBC count, ×109/L median (range) | 16.25 (1–258.8) | 19 (1.4–348.8) | 0.509 | 20.9 (1.1–348.8) | 4 (1–183.7) | 0.22 | |
| Hemoglobin (g/L) median (range) | 97.5 (2–166) | 98 (65–153) | 0.517 | 97 (71–153) | 102.5 (2–166) | 0.514 | |
| Platelets (×109/L) median (range) | 53.5 (2–216) | 49 (1–169) | 0.736 | 42 (1–216) | 79 (8–180) | 0.074 | |
| LDH (U/L) median (range) | 212 (175–4169) | 357 (175–2147) | 0.718 | 357 (175–4169) | 175 (175–1314) | 0.097 | |
| Peripheral blood blast (%) median (range) | 16 (0–98) | 22 (0–97) | 0.413 | 20 (0–97) | 15 (0–98) | 0.167 | |
| Bone marrow blasts (%) median (range) | 59.5 (20–97) | 70 (24–94) | 0.083 | 69 (20–97) | 58 (21–87) | 0.229 | |
| FAB (%) | 0.286 | 0.09 | |||||
| M0 | 6 | 4 (67) | 2 (33) | 3 (50) | 3 (50) | ||
| M1 | 9 | 5 (56) | 4 (44) | 4 (44) | 5 (56) | ||
| M2 | 19 | 8 (42) | 11 (58) | 12 (63) | 7 (37) | ||
| M4 | 27 | 19 (70) | 8 (30) | 23 (85) | 4 (15) | ||
| M5 | 14 | 6 (43) | 8 (57) | 11 (78) | 3 (22) | ||
| Karyotype (%) | 0.533 | 1.0 | |||||
| Normal Karyotype (NK) | 36 | 22 (61) | 14 (39) | 25 (69) | 11 (31) | ||
| Other | 39 | 20 (51) | 19 (49) | 28 (61) | 11 (39) | ||
| NPM1 in NK (%) | 0.303 | 0.722 | |||||
| Present | 13 | 6 (46) | 7 (54) | 10 (77) | 3 (23) | ||
| Absent | 23 | 16 (69) | 7 (31) | 15 (55) | 8 (45) | ||
| FLT3 in NK (%) | 0.430 | 0.834 | |||||
| Present | 9 | 4 (44) | 5 (56) | 7 (78) | 2 (22) | ||
| Absent | 27 | 18 (75) | 9 (25) | 18 (75) | 9 (25) | ||
| ELN risk group (%) | 0.018 | 0.521 | |||||
| Favorable | 14 | 8 (57) | 6 (43) | 10 (72) | 4 (28) | ||
| Intermediate | 41 | 28 (68) | 13 (32) | 27 (65) | 14 (35) | ||
| Adverse | 20 | 6 (30) | 14 (70) | 16 (70) | 4 (30) | ||
| Complete remission (%) | 0.608 | 0.906 | |||||
| Success | 40 | 16 (40) | 24 (60) | 29 (72) | 11 (28) | ||
| Failure | 35 | 17 (48) | 18 (52) | 24 (69) | 11 (31) | ||
| Relapse (%) | 0.846 | 0.302 | |||||
| Yes | 22 | 14 (64) | 8 (36) | 14 (64) | 8 (36) | ||
| No | 18 | 10 (55) | 8 (45) | 15 (83) | 3 (17) | ||
| Transcription Factor | Effect on TFBS (Fabian) | Expression Level in Blood (TPM) |
|---|---|---|
| SP4 | −0.4769 | Low (1.304) |
| YY1 | −0.3370 | Low (14.68) |
| RUNX3 | −0.3138 | High (33.07) |
| NR2F1 | −0.1234 | Low (<1) |
| EGR1 | −0.1127 | Low (2.938) |
| NFIC | −0.0727 | Low (5.630) |
| STAT3 | 0.0569 | High (101.6) |
| E2F4 | 0.0876 | High (62.69) |
| ARNT | 0.1155 | Low (17.18) |
| GMEB1 | 0.1798 | Low (3.975) |
Disclaimer/Publisher’s Note: The statements, opinions and data contained in all publications are solely those of the individual author(s) and contributor(s) and not of MDPI and/or the editor(s). MDPI and/or the editor(s) disclaim responsibility for any injury to people or property resulting from any ideas, methods, instructions or products referred to in the content. |
© 2026 by the authors. Licensee MDPI, Basel, Switzerland. This article is an open access article distributed under the terms and conditions of the Creative Commons Attribution (CC BY) license.
Share and Cite
Pavlovic, D.; Tosic, N.; Curic, I.; Ristivojevic, B.; Pravdic, Z.; Suvajdzic Vukovic, N.; Pavlovic, S.; Zukic, B.; Gasic, V. Associations of rs55829688 and rs145204276 Promoter Variants with lncRNA GAS5 Expression in AML: Prognostic Significance and Functional Analysis. Biomedicines 2026, 14, 504. https://doi.org/10.3390/biomedicines14030504
Pavlovic D, Tosic N, Curic I, Ristivojevic B, Pravdic Z, Suvajdzic Vukovic N, Pavlovic S, Zukic B, Gasic V. Associations of rs55829688 and rs145204276 Promoter Variants with lncRNA GAS5 Expression in AML: Prognostic Significance and Functional Analysis. Biomedicines. 2026; 14(3):504. https://doi.org/10.3390/biomedicines14030504
Chicago/Turabian StylePavlovic, Djordje, Natasa Tosic, Isidora Curic, Bojan Ristivojevic, Zlatko Pravdic, Nada Suvajdzic Vukovic, Sonja Pavlovic, Branka Zukic, and Vladimir Gasic. 2026. "Associations of rs55829688 and rs145204276 Promoter Variants with lncRNA GAS5 Expression in AML: Prognostic Significance and Functional Analysis" Biomedicines 14, no. 3: 504. https://doi.org/10.3390/biomedicines14030504
APA StylePavlovic, D., Tosic, N., Curic, I., Ristivojevic, B., Pravdic, Z., Suvajdzic Vukovic, N., Pavlovic, S., Zukic, B., & Gasic, V. (2026). Associations of rs55829688 and rs145204276 Promoter Variants with lncRNA GAS5 Expression in AML: Prognostic Significance and Functional Analysis. Biomedicines, 14(3), 504. https://doi.org/10.3390/biomedicines14030504

