Elevated Macrophage Migration Inhibitory Factor 1 Is Associated with Left and Right Ventricular Systolic Dysfunction in Heart Failure with Reduced Ejection Fraction
Abstract
1. Introduction
2. Materials and Methods
2.1. Research Design and Method
2.2. Heart and Lung Ultrasound
2.3. MIF-1 and IL-6 ELISA
2.4. Laboratory Analyses
2.5. Statistical Analysis
3. Results
3.1. Study Group Characteristics
3.2. Principal Component Analysis on the Overall Study Group
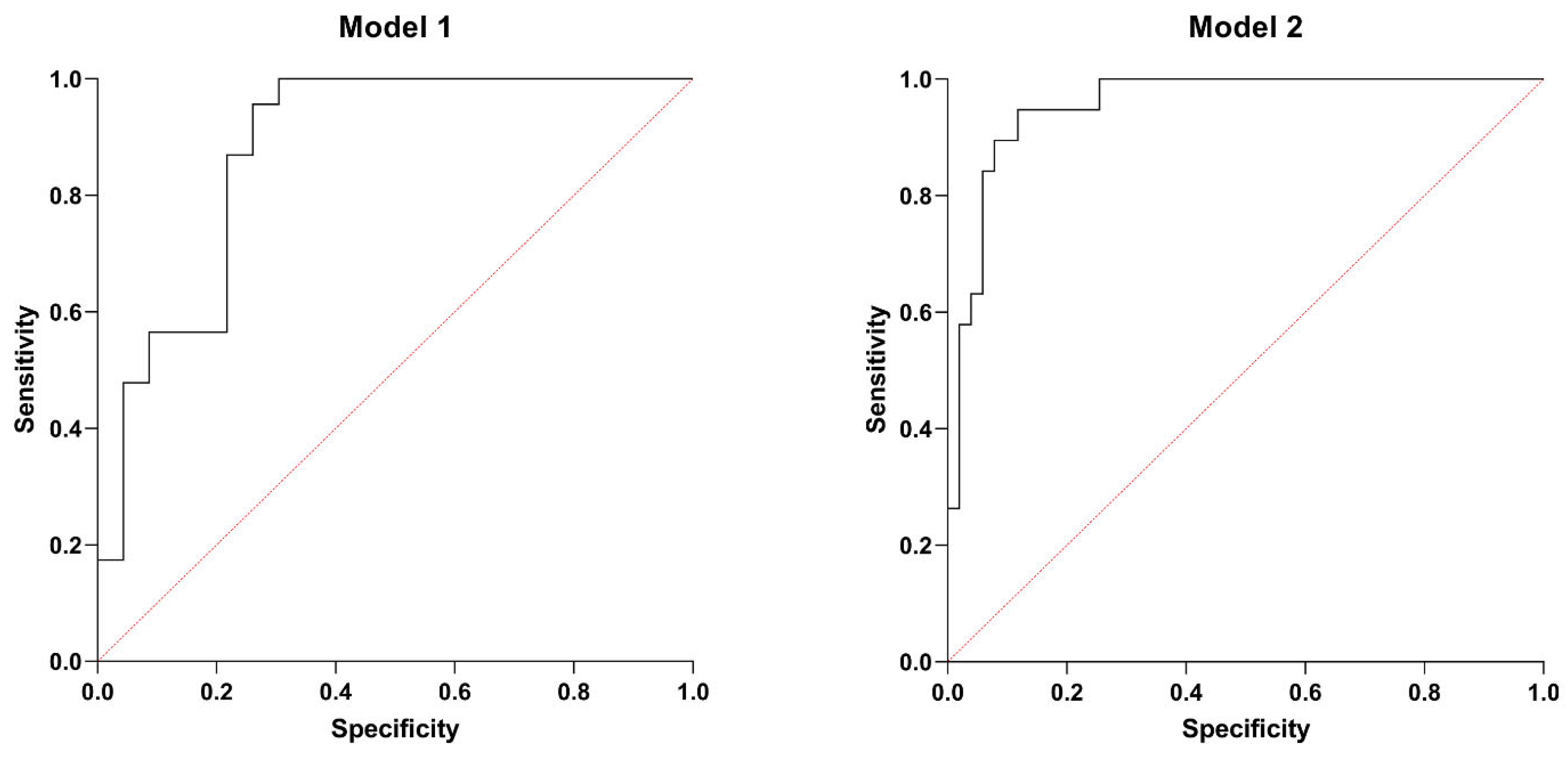
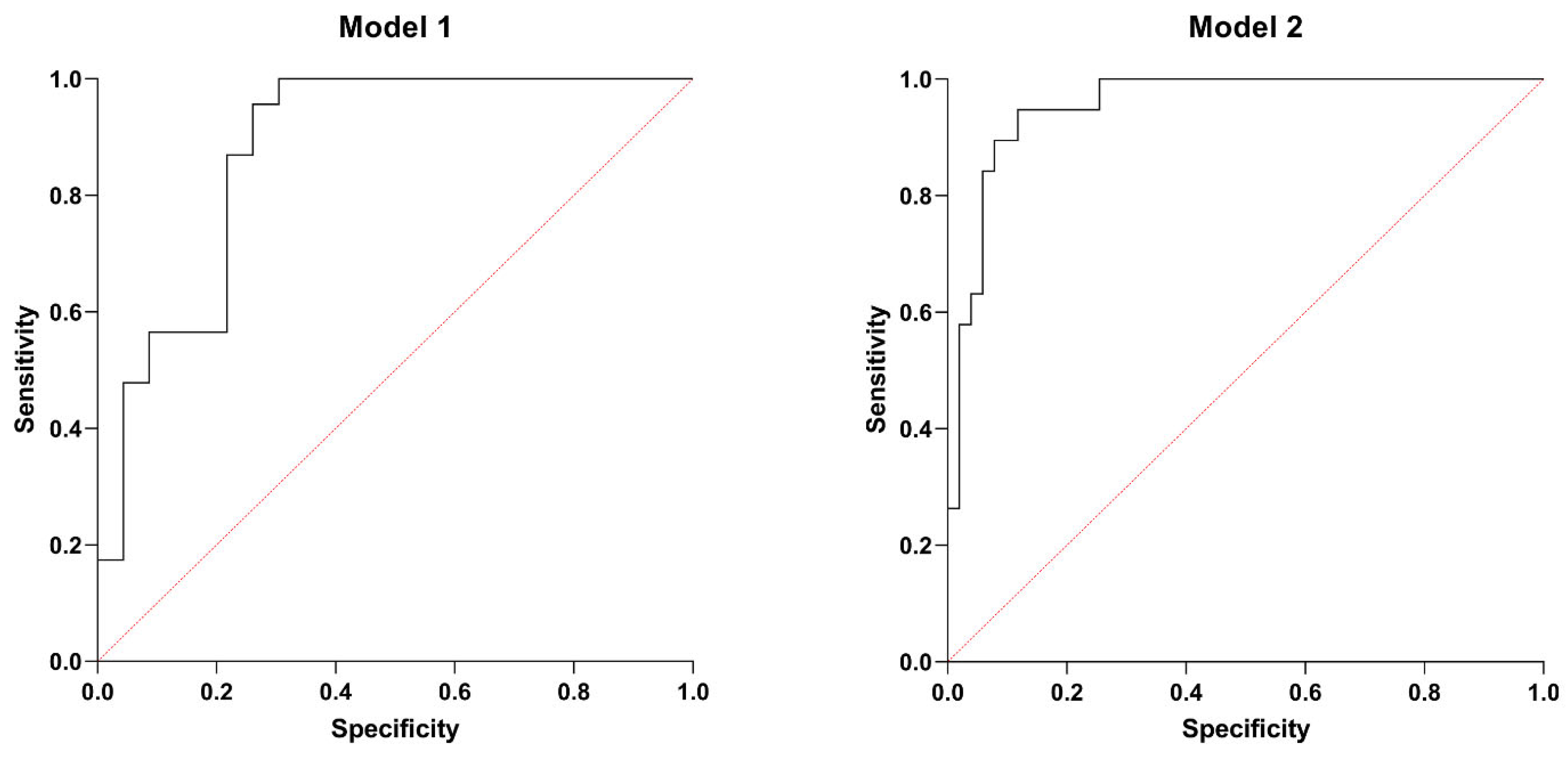
3.3. Multiple Logistic Regression Analysis
4. Discussion
5. Conclusions
Limitations
Author Contributions
Funding
Institutional Review Board Statement
Informed Consent Statement
Data Availability Statement
Conflicts of Interest
Abbreviations
| 25(OH)D | 25-hydroxyvitamin D |
| 6MWT | Six-minute walk test distance |
| ABI | Ankle-brachial index |
| AF | Atrial fibrillation |
| AFL | Atrial flutter |
| AISI | Aggregate index of systemic inflammation |
| AUC | Area under the curve |
| BMI | Body mass index |
| CAD | Coronary artery disease |
| CKD | Chronic kidney disease |
| COPD | Chronic obstructive pulmonary disease |
| CRP | C-reactive protein |
| DBP | Diastolic blood pressure |
| D-DT | D-dopachrome tautomerase |
| DM | Diabetes mellitus |
| eGFR | Estimated glomerular filtration rate |
| ESR | Erythrocyte sedimentation rate |
| GGT | Gamma-glutamyl transferase |
| HDL | High-density lipoprotein |
| HF | Heart failure |
| HFmrEF | Heart failure with mildly reduced ejection fraction |
| HFpEF | Heart failure with preserved ejection fraction |
| HFrEF | Heart failure with reduced ejection fraction |
| HR | Heart rate |
| I/R | Ischemia/reperfusion |
| ICM | Ischemic cardiomyopathy |
| IL | Interleukin |
| LAVI | Left atrial volume indexed |
| LDH | Lactate dehydrogenase |
| LDL | Low-density lipoprotein |
| LUS | Lung ultrasound |
| LVEDVI | Left ventricular end-diastolic volume index |
| LVEF | Left ventricular ejection fraction |
| LVESVI | Left ventricular end-systolic volume index |
| LVGLS | Left ventricular global longitudinal strain |
| MACEs | Major adverse cardiovascular events |
| MIF | Macrophage migration inhibitory factor |
| MLHFQ | Minnesota Living with Heart Failure Questionnaire |
| MPV | Mean platelet volume |
| mRNA | Messenger ribonucleic acid |
| NICM | Non-ischemic cardiomyopathy |
| NLR | Neutrophil-to-lymphocyte ratio |
| NT-proBNP | N-terminal pro-B-type natriuretic peptide |
| NYHA | New York Heart Association |
| PAD | Peripheral arterial disease |
| PCA | Principal component analysis |
| PDW | Platelet distribution width |
| PH | Pulmonary hypertension |
| ROC | Receiver operating curve |
| RV | Right ventricle/ventricular |
| RV-PA | Right ventricular-pulmonary artery |
| SBP | Systolic blood pressure |
| SIRI | Systemic inflammatory response index |
| sPAP | Systolic pulmonary artery pressure |
| SVI | Stroke volume indexed |
| TAPSE | Tricuspid annular plane systolic excursion |
| TNF-α | Tumor necrosis factor α |
| TSH | Thyroid-stimulating hormone |
| WBC | White blood cells |
References
- Mosoiu, D.; Rogozea, L.; Landon, A.; Bisoc, A.; Tint, D. Palliative Care in Heart Failure: A Public Health Emergency. Am. J. Ther. 2020, 27, E204–E223. [Google Scholar] [CrossRef]
- McDonagh, T.; Metra, M.; Adamo, M.; Gardner, R.; Baumbach, A.; Böhm, M.; Burri, H.; Butler, J.; Celutkiene, J.; Chioncel, O.; et al. 2021 ESC Guidelines for the diagnosis and treatment of acute and chronic heart failure. Eur. Heart J. 2021, 42, 3599–3726. [Google Scholar] [CrossRef] [PubMed]
- Murphy, S.; Kakkar, R.; McCarthy, C.; Januzzi, J. Inflammation in Heart Failure JACC State-of-the-Art Review. J. Am. Coll. Cardiol. 2020, 75, 1324–1340. [Google Scholar] [CrossRef] [PubMed]
- Levine, B.; Kalman, J.; Mayer, L.; Fillit, H.; Packer, M. Elevated circulating levels of tumor-necrosis-factor in severe chronic heart-failure. N. Engl. J. Med. 1990, 323, 236–241. [Google Scholar] [CrossRef]
- Szabo, T.; Nagy, E.; Kirchmaier, A.; Heidenhoffer, E.; Gábor-Kelemen, H.; Frasineanu, M.; Cseke, J.; Germán-Salló, M.; Frigy, A. Total 25-Hydroxyvitamin D Is an Independent Marker of Left Ventricular Ejection Fraction in Heart Failure with Reduced and Mildly Reduced Ejection Fraction. Biomolecules 2023, 13, 1578. [Google Scholar] [CrossRef] [PubMed]
- Sun, H.; Swope, M.; Cinquina, C.; Bedarkar, S.; Bernhagen, J.; Bucala, R.; Lolis, E. The subunit structure of human macrophage migration inhibitory factor: Evidence for a trimer. Protein Eng. 1996, 9, 631–635. [Google Scholar] [CrossRef]
- Calandra, T.; Roger, T. Macrophage migration inhibitory factor: A regulator of innate immunity. Nat. Rev. Immunol. 2003, 3, 791–800. [Google Scholar] [CrossRef]
- Sumaiya, K.; Langford, D.; Natarajaseenivasan, K.; Shanmughapriya, S. Macrophage migration inhibitory factor (MIF): A multifaceted cytokine regulated by genetic and physiological strategies. Pharmacol. Ther. 2022, 233, 108024. [Google Scholar] [CrossRef]
- Jankauskas, S.; Wong, D.; Bucala, R.; Djudjaj, S.; Boor, P. Evolving complexity of MIF signaling. Cell. Signal. 2019, 57, 76–88. [Google Scholar] [CrossRef]
- Bloom, B.R.; Bennett, B. Mechanism of a reaction in vitro associated with delayed-type hypersensitivity. Science 1966, 153, 80–82. [Google Scholar] [CrossRef]
- Miller, E.; Li, J.; Leng, L.; McDonald, C.; Atsumi, T.; Bucala, R.; Young, L. Macrophage migration inhibitory factor stimulates AMP-activated protein kinase in the ischaemic heart. Nature 2008, 451, 578–579. [Google Scholar] [CrossRef] [PubMed]
- Rassaf, T.; Weber, C.; Bernhagen, J. Macrophage migration inhibitory factor in myocardial ischaemia/reperfusion injury. Cardiovasc. Res. 2014, 102, 321–328. [Google Scholar] [CrossRef] [PubMed]
- Bernhagen, J. Protective cardiac conditioning by an atypical cytokine. Clin. Sci. 2019, 133, 933–937. [Google Scholar] [CrossRef]
- Wang, H.; Slotabec, L.; Didik, S.; Li, Z.; Leng, L.; Zhao, B.; Bucala, R.; Li, J. A small molecule macrophage migration inhibitory factor agonist ameliorates age-related myocardial intolerance to ischemia-reperfusion insults via metabolic regulation. Metab. Clin. Exp. 2024, 153, 155792. [Google Scholar] [CrossRef] [PubMed]
- Pohl, J.; Rammos, C.; Totzeck, M.; Stock, P.; Kelm, M.; Rassaf, T.; Luedike, P. MIF reflects tissue damage rather than inflammation in post-cardiac arrest syndrome in a real life cohort. Resuscitation 2016, 100, 32–37. [Google Scholar] [CrossRef]
- Luedike, P.; Alatzides, G.; Papathanasiou, M.; Heisler, M.; Pohl, J.; Lehmann, N.; Rassaf, T. Circulating macrophage migration inhibitory factor (MIF) in patients with heart failure. Cytokine 2018, 110, 104–109. [Google Scholar] [CrossRef]
- Barthelmess, R.; Stijlemans, B.; Van Ginderachter, J. Hallmarks of Cancer Affected by the MIF Cytokine Family. Cancers 2023, 15, 395. [Google Scholar] [CrossRef]
- Rajasekaran, D.; Zierow, S.; Syed, M.; Bucala, R.; Bhandari, V.; Lolis, E. Targeting distinct tautomerase sites of D-DT and MIF with a single molecule for inhibition of neutrophil lung recruitment. FASEB J. 2014, 28, 4961–4971. [Google Scholar] [CrossRef]
- Fingerle-Rowson, G.; Kaleswarapu, D.; Schlander, C.; Kabgani, N.; Brocks, T.; Reinart, N.; Busch, R.; Schütz, A.; Lue, H.; Du, X.; et al. A Tautomerase-Null Macrophage Migration-Inhibitory Factor (MIF) Gene Knock-In Mouse Model Reveals That Protein Interactions and Not Enzymatic Activity Mediate MIF-Dependent Growth Regulation. Mol. Cell. Biol. 2009, 29, 1922–1932. [Google Scholar] [CrossRef]
- Figueiredo, C.; Azevedo, R.; Mousdell, S.; Resende-Lara, P.; Ireland, L.; Santos, A.; Girola, N.; Cunha, R.; Schmid, M.; Polonelli, L.; et al. Blockade of MIF-CD74 Signalling on Macrophages and Dendritic Cells Restores the Antitumour Immune Response Against Metastatic Melanoma. Front. Immunol. 2018, 9, 1132. [Google Scholar] [CrossRef]
- Zheng, Y.; Yang, M.; Rong, T.; Yuan, X.; Ma, Y.; Wang, Z.; Shen, L.; Cui, L. CD74 and macrophage migration inhibitory factor as therapeutic targets in gastric cancer. World J. Gastroenterol. 2012, 18, 2253–2261. [Google Scholar] [CrossRef] [PubMed]
- Sparkes, A.; De Baetselier, P.; Brys, L.; Cabrito, I.; Sterckx, Y.; Schoonooghe, S.; Muyldermans, S.; Raes, G.; Bucala, R.; Vanlandschoot, P.; et al. Novel half-life extended anti-MIF nanobodies protect against endotoxic shock. FASEB J. 2018, 32, 3411–3422. [Google Scholar] [CrossRef]
- Mahalingam, D.; Patel, M.; Sachdev, J.; Hart, L.; Halama, N.; Ramanathan, R.; Sarantopoulos, J.; Völkel, D.; Youssef, A.; de Jong, F.; et al. Phase I study of imalumab (BAX69), a fully human recombinant antioxidized macrophage migration inhibitory factor antibody in advanced solid tumours. Br. J. Clin. Pharmacol. 2020, 86, 1836–1848. [Google Scholar] [CrossRef]
- Kaufman, J.; Niesvizky, R.; Stadtmauer, E.; Chanan-Khan, A.; Siegel, D.; Horne, H.; Wegener, W.; Goldenberg, D. Phase I, multicentre, dose-escalation trial of monotherapy with milatuzumab (humanized anti-CD74 monoclonal antibody) in relapsed or refractory multiple myeloma. Br. J. Haematol. 2013, 163, 478–486. [Google Scholar] [CrossRef]
- Meza-Romero, R.; Benedek, G.; Leng, L.; Bucala, R.; Vandenbark, A. Predicted structure of MIF/CD74 and RTL1000/CD74 complexes. Metab. Brain Dis. 2016, 31, 249–255. [Google Scholar] [CrossRef]
- Antunes, A.; Scheyltjens, I.; Lodi, F.; Messiaen, J.; Antoranz, A.; Duerinck, J.; Kancheva, D.; Martens, L.; De Vlaminck, K.; Van Hove, H.; et al. Single-cell profiling of myeloid cells in glioblastoma across species and disease stage reveals macrophage competition and specialization. Nat. Neurosci. 2021, 24, 595–610. [Google Scholar] [CrossRef] [PubMed]
- Fauvel, C.; Dillinger, J.; Vasram, R.; Bouleti, C.; Logeart, D.; Roubille, F.; Meune, C.; Ohlmann, P.; Bonnefoy-Coudraz, E.; Albert, F.; et al. In-hospital prognostic value of TAPSE/sPAP in patients hospitalized for acute heart failure. Eur. Heart J. Cardiovasc. Imaging 2024, 25, 1099–1108. [Google Scholar] [CrossRef]
- Volpicelli, G.; Mussa, A.; Garofalo, G.; Cardinale, L.; Casoli, G.; Perotto, F.; Fava, C.; Frascisco, M. Bedside lung ultrasound in the assessment of alveolar-interstitial syndrome. Am. J. Emerg. Med. 2006, 24, 689–696. [Google Scholar] [CrossRef] [PubMed]
- Gargani, L.; Girerd, N.; Platz, E.; Pellicori, P.; Stankovic, I.; Palazzuoli, A.; Pivetta, E.; Miglioranza, M.; Soliman-Aboumarie, H.; Agricola, E.; et al. Lung ultrasound in acute and chronic heart failure: A clinical consensus statement of the European Association of Cardiovascular Imaging (EACVI). Eur. Heart J. Cardiovasc. Imaging 2023, 24, 1569–1582. [Google Scholar] [CrossRef]
- Zinellu, A.; Collu, C.; Nasser, M.; Paliogiannis, P.; Mellino, S.; Zinellu, E.; Traclet, J.; Ahmad, K.; Mangoni, A.; Carru, C.; et al. The Aggregate Index of Systemic Inflammation (AISI): A Novel Prognostic Biomarker in Idiopathic Pulmonary Fibrosis. J. Clin. Med. 2021, 10, 4134. [Google Scholar] [CrossRef]
- Szabo, T.; Frigy, A.; Nagy, E. Targeting Mediators of Inflammation in Heart Failure: A Short Synthesis of Experimental and Clinical Results. Int. J. Mol. Sci. 2021, 22, 13053. [Google Scholar] [CrossRef]
- Tilstam, P.; Qi, D.; Leng, L.; Young, L.; Bucala, R. MIF family cytokines in cardiovascular diseases and prospects for precision-based therapeutics. Expert Opin. Ther. Targets 2017, 21, 671–683. [Google Scholar] [CrossRef] [PubMed]
- Sinitski, D.; Kontos, C.; Krammer, C.; Asare, Y.; Kapurniotu, A.; Bernhagen, J. Macrophage Migration Inhibitory Factor (MIF)-Based Therapeutic Concepts in Atherosclerosis and Inflammation. Thromb. Haemost. 2019, 119, 553–566. [Google Scholar] [CrossRef]
- Zernecke, A.; Bernhagen, J.; Weber, C. Macrophage migration inhibitory factor in cardiovascular disease. Circulation 2008, 117, 1594–1602. [Google Scholar] [CrossRef] [PubMed]
- Pohl, J.; Hendgen-Cotta, U.; Stock, P.; Luedike, P.; Baba, H.; Kamler, M.; Rassaf, T. Myocardial Expression of Macrophage Migration Inhibitory Factor in Patients with Heart Failure. J. Clin. Med. 2017, 6, 95. [Google Scholar] [CrossRef] [PubMed]
- Mueller, K.; Schwille, J.; Vollmer, S.; Ehinger, E.; Kandolf, R.; Klingel, K.; Kramer, U.; Gawaz, M.; Geisler, T.; Mueller, I. Prognostic impact of macrophage migration inhibitory factor in patients with non-ischemic heart failure undergoing endomyocardial biopsy. Int. J. Cardiol. 2016, 203, 656–659. [Google Scholar] [CrossRef]
- Cohn, J.; Ferrari, R.; Sharpe, N.; Remodeling, I.F.C. Cardiac remodeling-concepts and clinical implications: A consensus paper from an international forum on cardiac remodeling. J. Am. Coll. Cardiol. 2000, 35, 569–582. [Google Scholar] [CrossRef]
- El-Mandy, R.; Saleem, T.; Essam, O.; Algowhary, M. Functional variants in the promoter region of macrophage migration inhibitory factor rs755622 gene (MIF G173C) among patients with heart failure: Association with echocardiographic indices and disease severity. Heart Lung 2021, 50, 92–100. [Google Scholar] [CrossRef]
- Rosenkranz, S.; Hoeper, M.; Maron, B. Pulmonary hypertension in heart failure: The good, the bad, and the ugly. Eur. Heart J. 2024, 45, 3289–3291. [Google Scholar] [CrossRef]
- Jalce, G.; Guignabert, C. Multiple roles of macrophage migration inhibitory factor in pulmonary hypertension. Am. J. Physiol.-Lung Cell. Mol. Physiol. 2020, 318, L1–L9. [Google Scholar] [CrossRef]
- Zhang, Y.; Talwar, A.; Tsang, D.; Bruchfeld, A.; Sadoughi, A.; Hu, M.; Omonuwa, K.; Cheng, K.; Al-Abed, Y.; Miller, E. Macrophage Migration Inhibitory Factor Mediates Hypoxia-Induced Pulmonary Hypertension. Mol. Med. 2012, 18, 215–223. [Google Scholar] [CrossRef] [PubMed]
- Luedike, P.; Alatzides, G.; Papathanasiou, M.; Heisler, M.; Pohl, J.; Lehmann, N.; Rassaf, T. Predictive potential of macrophage migration inhibitory factor (MIF) in patients with heart failure with preserved ejection fraction (HFpEF). Eur. J. Med. Res. 2018, 23, 22. [Google Scholar] [CrossRef] [PubMed]
- Luedike, P.; Rammos, C.; Pohl, J.; Heisler, M.; Totzeck, M.; Kleophas, W.; Hetzel, G.; Kelm, M.; Hendgen-Cotta, U.; Rassaf, T. Filtration of Macrophage Migration Inhibitory Factor (MIF) in Patients with End Stage Renal Disease Undergoing Hemodialysis. PLoS ONE 2015, 10, e0140215. [Google Scholar] [CrossRef]
- Ross, R.; Dagnone, D.; Jones, P.; Smith, H.; Paddags, A.; Hudson, R.; Janssen, I. Reduction in obesity and related comorbid conditions after diet-induced weight loss or exercise-induced weight loss in men—A randomized, controlled trial. Ann. Intern. Med. 2000, 133, 92–103. [Google Scholar] [CrossRef] [PubMed]
- Trayhurn, P.; Wood, I. Adipokines: Inflammation and the pleiotropic role of white adipose tissue. Br. J. Nutr. 2004, 92, 347–355. [Google Scholar] [CrossRef]
- Kawanishi, N.; Yano, H.; Yokogawa, Y.; Suzuki, K. Exercise training inhibits inflammation in adipose tissue via both suppression of macrophage infiltration and acceleration of phenotypic switching from M1 to M2 macrophages in high-fat-diet-induced obese mice. Exerc. Immunol. Rev. 2010, 16, 105–118. [Google Scholar]
- Arvidsson, E.; Viguerie, N.; Andersson, I.; Verdich, C.; Langin, D.; Arner, P. Effects of different hypocaloric diets on protein secretion from adipose tissue of obese women. Diabetes 2004, 53, 1966–1971. [Google Scholar] [CrossRef]
- Panagiotakos, D.; Pitsavos, C.; Yannakoulia, M.; Chrysohoou, C.; Stefanadis, C. The implication of obesity and central fat on markers of chronic inflammation: The ATTICA study. Atherosclerosis 2005, 183, 308–315. [Google Scholar] [CrossRef]
- Hanberg, J.; Rao, V.; Ahmad, T.; Chunara, Z.; Mahoney, D.; Jackson, K.; Jacoby, D.; Chen, M.; Wilson, F.; Tang, W.; et al. Inflammation and cardio-renal interactions in heart failure: A potential role for interleukin-6. Eur. J. Heart Fail. 2018, 20, 933–934. [Google Scholar] [CrossRef]
- Hanna, A.; Frangogiannis, N. Inflammatory Cytokines and Chemokines as Therapeutic Targets in Heart Failure. Cardiovasc. Drugs Ther. 2020, 34, 849–863. [Google Scholar] [CrossRef]
- Sallam, N.; Laher, I. Exercise Modulates Oxidative Stress and Inflammation in Aging and Cardiovascular Diseases. Oxid. Med. Cell. Longev. 2016, 2016, 7239639. [Google Scholar] [CrossRef] [PubMed]



| Characteristics | All Patients, n = 70 | MIF-1lo, n = 35 | MIF-1hi, n = 35 | p |
|---|---|---|---|---|
| Inpatient/outpatient, no. (%) | 39 (55.7)/31 (44.3) | 23 (65.7)/12 (34.3) | 8 (22.8)/27 (77.2) | 0.0006 |
| Male/female, no. (%) | 51 (72.9)/19 (27.1) | 25 (71.4)/10 (28.6) | 26 (74.3)/9 (25.7) | 1.000 |
| Age, mean ± SD (min; max), years | 66.0 ± 10.9 (40.0; 88.0) | 64.6 ± 10.8 (41.0; 81.0) | 67.3 ± 11.0 (40.0; 88.0) | 0.309 |
| BMI, mean ± SD, kg/m2 | 28.6 ± 5.5 | 27.2 ± 4.5 | 29.9 ± 6.1 | 0.041 |
| History of heart disease, median (IQR), years | 8.0 (4.0–15.0) | 8.0 (4–10) | 12.0 (4–20) | 0.028 |
| HF, median (IQR), years | 2.0 (1.0–8.0) | 2 (1–7) | 3 (1–10) | 0.423 |
| NYHA class I/II/III, no. (%) | 7 (10.0)/43 (61.4)/20 (28.6) | 5 (14.3)/22 (62.8)/8 (22.9) | 2 (5.7)/21 (60)/12 (34.3) | 0.348 |
| Dyspnea (yes/no) | 60 (85.7)/10 (14.3) | 27 (77.1)/8 (22.9) | 33 (94.3)/2 (5.7) | 0.084 |
| Edema (yes/no) | 18 (25.7)/52 (74.3) | 5 (14.3)/30 (85.7) | 13 (37.1)/22 (62.9) | 0.053 |
| 6MWT, mean ± SD, m | 365.5 ± 131.1 | 404.0 ± 127.4 | 324.8 ± 124.1 | 0.010 |
| MLHFQ score, median (IQR) | 20.0 (10.0–40.0) | 16.0 (8–31) | 23.0 (12–48) | 0.103 |
| Smoking, yes/no | 17 (24.3)/53 (75.7) | 12 (34.3)/23 (65.7) | 5 (14.3)/30 (85.7) | 0.093 |
| Hypertension, yes/no | 38 (54.3)/32 (45.7) | 19 (50)/19 (50) | 19 (50)/19 (50) | 1.000 |
| ICM/NICM | 30 (42.9)/40 (57.1) | 10 (28.6)/25 (71.4) | 20 (57.1)/15 (42.9) | 0.029 |
| Mitral valve regurgitation medium/severe, yes/no | 28 (40.0)/42 (60.0) | 14 (40)/21 (60) | 14 (40)/21 (60) | 1.000 |
| Aortic stenosis medium/severe, yes/no | 9 (12.9)/61 (87.1) | 4 (11.4)/31 (88.8) | 5 (14.3)/30 (85.7) | 1.000 |
| Tricuspid regurgitation medium/severe, no. (%) | 20 (28.6)/50 (71.4) | 9 (25.7)/26 (74.3) | 11 (31.4)/24 (68.6) | 0.792 |
| AF/AFL, yes/no | 32 (45.7)/38 (54.3) | 14 (40)/21 (60) | 18 (51.4)/17 (48.6) | 0.472 |
| Type 2 DM, yes/no | 21 (30.0)/49 (70.0) | 10 (28.6)/25 (71.4) | 11 (31.4)/24 (68.6) | 1.000 |
| Symptomatic PAD, yes/no | 9 (12.9)/61 (77.1) | 5 (14.3)/30 (85.7) | 4 (11.4)/31 (88.8) | 1.000 |
| COPD, yes/no | 12 (17.1)/58 (82.9) | 6 (20.7)/29 (79.3) | 6 (20.7)/29 (79.3) | 1.000 |
| Characteristics | All Patients, n = 70 | MIF-1lo, n = 35 | MIF-1hi, n = 35 | p |
|---|---|---|---|---|
| LUS profile 0/1, no. (%) | 53 (75.7)/17 (24.3) | 29 (82.9)/6 (17.1) | 24 (68.6)/11 (31.4) | 0.265 |
| LAVI, median (IQR), mL/m2 | 47.0 (37.1–65.1) | 45.4 (33.8–55.1) | 47.8 (38.9–79.4) | 0.120 |
| E/e’, median (IQR) | 10.1 (8.1–12.8) | 9.7 (7.9–11.8) | 11.2 (8.1–13.3) | <0.0001 |
| LVEF, mean ± SD, % | 36.0 ± 8.8 | 38.3 ± 8.4 | 33.7 ± 8.8 | <0.0001 |
| LVGLS, mean ± SD, % | −11 ± 3.5 | −12.4 ± 3.3 | −9.6 ± 3.2 | <0.0001 |
| SVI, mean ± SD, mL/m2 | 32.8 ± 11.1 | 35.1 ± 11.4 | 30.5 ± 1.8 | <0.0001 |
| TAPSE, median (IQR), mm | 21.0 (16.0–23.0) | 22.0 (20.0–24.0) | 17.0 (15.0–22.0) | 0.002 |
| sPAP, mean ± SD, mmHg | 33.8 ± 12.4 | 32.2 ± 10.1 | 35.4 ± 14.4 | 0.285 |
| TAPSE/sPAP, mean ± SD, mm/mmHg | 0.7 ± 0.3 | 0.7 ± 0.3 | 0.6 ± 0.3 | 0.094 |
| Characteristics | All Patients, n = 70 | MIF-1lo, n = 35 | MIF-1hi, n = 35 | p |
|---|---|---|---|---|
| WBC, mean ± SD, ×1000/µL | 7.3 ± 2.1 | 7.6 ± 1.9 | 7.0 ± 2.2 | 0.205 |
| Monocyte count, mean ± SD, ×1000/µL | 0.6 ± 0.0 | 0.56 ± 0.03 | 0.57 ± 0.03 | 0.648 |
| NLR, mean ± SD | 2.7 ± 0.1 | 2.83 ± 0.27 | 2.55 ± 0.21 | 0.879 |
| SIRI, mean ± SD | 1.6 ± 0.1 | 1.64 ± 0.19 | 1.49 ± 0.15 | 0.815 |
| AISI, mean ± SD | 389.2 ± 35.3 | 432.7 ± 54.3 | 345.6 ± 44.7 | 0.256 |
| Platelet count, mean ± SD, ×1000/µL | 238.4 ± 67.0 | 256.3 ± 10.7 | 220.4 ± 11.2 | 0.013 |
| Hemoglobin, mean ± SD, g/dL | 14.5 ± 2.0 | 14.5 ± 0.3 | 14.6 ± 0.3 | 0.851 |
| Ferritin, median (IQR), ng/dL | 119.7 (72.5–202.2) | 157.0 (78–219) | 171.9 (66–183) | 0.447 |
| Iron, median (IQR), μg/dL | 81.5 (56.0–114.0) | 82.0 (59–116) | 81.0 (55–114) | 0.962 |
| Cholesterol, mean ± SD, mg/dL | 171.5 ± 46.8 | 177.2 ± 7.5 | 165.7 ± 8.2 | 0.223 |
| Triglycerides, median (IQR), mg/dL | 111.5 (83.0–138.0) | 127.5 ± 14.2 | 127.9 ± 11.2 | 1.000 |
| CRP, median (IQR), mg/dL | 0.3 (0.1–0.8) | 0.4 (0.1–0.7) | 0.4 (0.1–1.2) | 0.256 |
| Fibrinogen, mean ± SD, mg/dL | 400.0 ± 127.4 | 383.7 ± 21.2 | 416.3 ± 21.8 | 0.337 |
| Albumin, median (IQR), g/L | 44.6 (40.1–46.3) | 45.2 (42.8–46.8) | 42.7 (38.1–46.2) | 0.035 |
| eGFR, mean ± SD, mL/min/m2 | 71.0 ± 21.5 | 77.0 ± 3.7 | 64.9 ± 3.3 | 0.019 |
| Uric acid, mean ± SD, mg/dL | 6.8 ± 2.4 | 6.3 ± 0.4 | 6.8 ± 0.4 | 0.074 |
| NT-proBNP, median (IQR), pg/mL | 967.3 (547.5–1890.5) | 891.8 (366.6–1576.4) | 1274.1 (607.8–3020.8) | 0.143 |
| IL-6, median (IQR), pg/mL | 4.5 (0.2–8.8) | 2.9 (1.1–6.0) | 4.9 (2.7–10.8) | 0.015 |
| PC Summary | PC1 | PC2 | PC3 | PC4 | PC5 | PC6 | PC7 | PC8 | PC9 | PC10 |
|---|---|---|---|---|---|---|---|---|---|---|
| Eigenvalue | 3.56 | 2.69 | 2.09 | 1.59 | 1.38 | 1.21 | 1.09 | 1.02 | 0.83 | 0.78 |
| Proportion of variance | 17.79% | 13.48% | 10.45% | 7.99% | 6.94% | 6.10% | 5.45% | 5.10% | 4.19% | 3.95% |
| Cumulative proportion of variance | 17.79% | 31.28% | 41.73% | 49.72% | 56.66% | 62.75% | 68.20% | 73.30% | 77.50% | 81.44% |
| Characteristics | All Patients, n = 70 | Characteristics | All Patients, n = 70 | ||
|---|---|---|---|---|---|
| r | p | r | p | ||
| Hospitalization, days | 0.51 | <0.0001 | WBC, ×1000/µL | −0.13 | 0.276 |
| Age, years | 0.03 | 0.811 | Neutrophils, ×1000/µL | −0.16 | 0.175 |
| BMI kg/m2 | 0.27 | 0.023 | Lymphocytes, ×1000/µL | 0.03 | 0.810 |
| Heart disease, years | 0.15 | 0.212 | NLR | −0.07 | 0.570 |
| History of HF, years | 0.06 | 0.653 | Monocytes, ×1000/µL | 0.06 | 0.600 |
| SBP, mmHg | −0.28 | 0.021 | Platelets, ×1000/µL | −0.22 | 0.070 |
| DBP, mmHg | −0.22 | 0.064 | MPV, Fl | 0.11 | 0.357 |
| HR, bpm | 0.10 | 0.415 | PDW, % | 0.15 | 0.228 |
| ABI | −0.03 | 0.819 | Hemoglobin, g/dL | 0.06 | 0.597 |
| 6MWT, m | −0.23 | 0.061 | Uric acid, mg/dL | 0.26 | 0.031 |
| LAVI, mL/m2 | 0.15 | 0.210 | Albumin, g/L | −0.23 | 0.061 |
| E/e’ | 0.15 | 0.230 | Cholesterol, mg/dL | −0.18 | 0.133 |
| LVEDVI, mL/m2 | 0.07 | 0.565 | HDL-cholesterol, mg/dL | −0.28 | 0.020 |
| LVESVI, mL/m2 | 0.17 | 0.169 | Glycemia, mg/dL | 0.06 | 0.616 |
| LVEF, % | −0.33 | 0.005 | Triglycerides, mg/dL | 0.08 | 0.496 |
| LVGLS, % | 0.41 | 0.0004 | GGT, UI/L | 0.19 | 0.123 |
| SVI, mL/m2 | −0.17 | 0.157 | LDH, UI/L | 0.24 | 0.049 |
| TAPSE, mm | −0.37 | 0.001 | TSH, µU/mL | 0.30 | 0.012 |
| sPAP, mmHg | 0.11 | 0.351 | Iron, µg/dL | <0.01 | 0.999 |
| TAPSE/sPAP, mm/mmHg | −0.24 | <0.0001 | Ferritin, ng/dL | −0.04 | 0.758 |
| NT-proBNP, pg/mL | 0.14 | 0.263 | Fibrinogen, mg/dL | 0.16 | 0.186 |
| 25(OH)D, ng/mL | −0.27 | 0.022 | CRP, mg/dL | 0.09 | 0.483 |
| eGFR, mL/min/1.73 m2 | −0.30 | 0.011 | IL-6, pg/mL | 0.25 | 0.049 |
| Odds Ratios | Variable | Estimate | 95% CI (Profile Likelihood) | p |
|---|---|---|---|---|
| β0 | Intercept | 7387 | 75.16 to 4,379,945 | 0.001 |
| β1 | SIRI | 0.382 | 0.145 to 0.839 | 0.028 |
| β2 | Uric acid (T3:T1) | 0.521 | 0.177 to 1.409 | 0.206 |
| β3 | GGT (T3:T1) | 0.209 | 0.056 to 0.590 | 0.007 |
| β4 | MIF-1 (U:L) | 0.169 | 0.028 to 0.793 | 0.033 |
| Odds Ratios | Variable | Estimate | 95% CI (Profile Likelihood) | p |
|---|---|---|---|---|
| β0 | Intercept | 1.68 × 10−8 | 3.036 × 10−15 to 0.0002823 | 0.004 |
| β1 | Gender (male:female) | 0.87 | 0.041 to 21.34 | 0.926 |
| β2 | Smoking (yes:no) | 0.352 | 0.027 to 3.964 | 0.392 |
| β3 | Hypertension (yes:no) | 0.339 | 0.036 to 2.446 | 0.296 |
| β4 | CAD (yes:no) | 0.318 | 0.025 to 2.699 | 0.319 |
| β5 | Type 2 DM (yes:no) | 1.666 | 0.215 to 15.08 | 0.625 |
| β6 | COPD (yes:no) | 2.753 | 0.250 to 37.01 | 0.412 |
| β7 | Monocyte count | 10.700 | 0.045 to 2939 | 0.385 |
| β8 | HDL-cholesterol (T3:T1) | 0.749 | 0.222 to 2.360 | 0.619 |
| β9 | GGT (T3:T1) | 7.896 | 1.903 to 61.73 | 0.015 |
| β10 | NT-proBNP (T3:T1) | 9.924 | 2.558 to 70.35 | 0.005 |
| β11 | TSH (T3:T1) | 3.150 | 0.935 to 14.12 | 0.085 |
| β12 | MIF-1 (U:L) | 17.790 | 1.660 to 540.2 | 0.041 |
Disclaimer/Publisher’s Note: The statements, opinions and data contained in all publications are solely those of the individual author(s) and contributor(s) and not of MDPI and/or the editor(s). MDPI and/or the editor(s) disclaim responsibility for any injury to people or property resulting from any ideas, methods, instructions or products referred to in the content. |
© 2025 by the authors. Licensee MDPI, Basel, Switzerland. This article is an open access article distributed under the terms and conditions of the Creative Commons Attribution (CC BY) license (https://creativecommons.org/licenses/by/4.0/).
Share and Cite
Szabo, T.M.; Vass, M.; Germán-Salló, M.; Frigy, A.; Nagy, E.E. Elevated Macrophage Migration Inhibitory Factor 1 Is Associated with Left and Right Ventricular Systolic Dysfunction in Heart Failure with Reduced Ejection Fraction. Biomedicines 2025, 13, 1087. https://doi.org/10.3390/biomedicines13051087
Szabo TM, Vass M, Germán-Salló M, Frigy A, Nagy EE. Elevated Macrophage Migration Inhibitory Factor 1 Is Associated with Left and Right Ventricular Systolic Dysfunction in Heart Failure with Reduced Ejection Fraction. Biomedicines. 2025; 13(5):1087. https://doi.org/10.3390/biomedicines13051087
Chicago/Turabian StyleSzabo, Timea Magdolna, Mihály Vass, Márta Germán-Salló, Attila Frigy, and Előd Ernő Nagy. 2025. "Elevated Macrophage Migration Inhibitory Factor 1 Is Associated with Left and Right Ventricular Systolic Dysfunction in Heart Failure with Reduced Ejection Fraction" Biomedicines 13, no. 5: 1087. https://doi.org/10.3390/biomedicines13051087
APA StyleSzabo, T. M., Vass, M., Germán-Salló, M., Frigy, A., & Nagy, E. E. (2025). Elevated Macrophage Migration Inhibitory Factor 1 Is Associated with Left and Right Ventricular Systolic Dysfunction in Heart Failure with Reduced Ejection Fraction. Biomedicines, 13(5), 1087. https://doi.org/10.3390/biomedicines13051087

