Lupus Nephritis During the COVID-19 Pandemic: Challenges and Implications Before, During, and After
Abstract
1. Introduction
2. Materials and Methods
2.1. Study Design
2.2. Clinical Assessment of Lupus Nephritis
2.3. Laboratory Measurements
2.4. Statistical Analysis
3. Results
3.1. Characteristics of the Study Groups
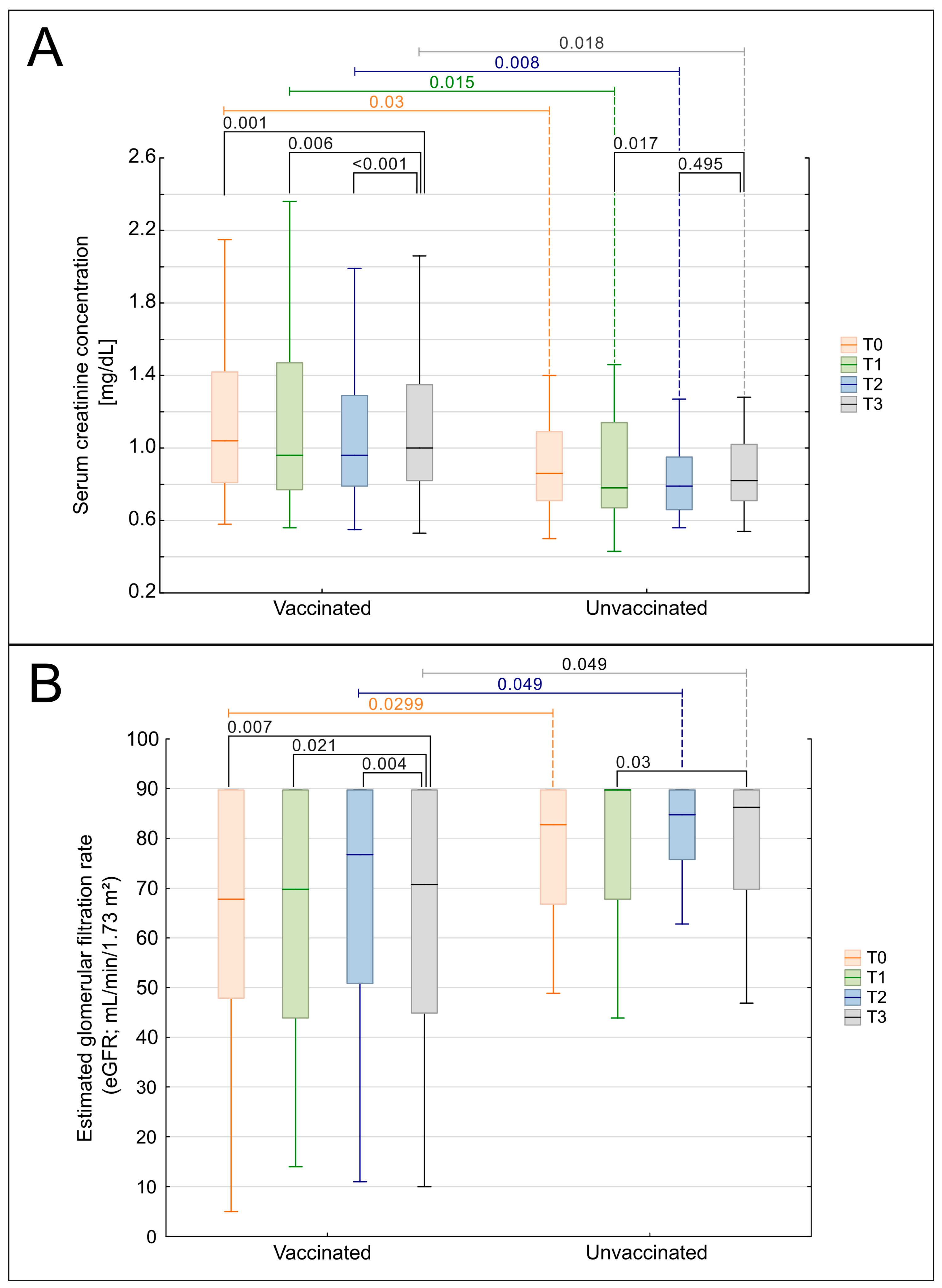
3.2. Serum Creatinine, eGFR, and Clinically Significant Renal Function Decline
3.3. Lupus Nephritis Activity
3.4. C-Reactive Protein
3.5. Peripheral Complete Blood Counts
3.6. Modifications to Treatment Recommendations
3.6.1. Use of Glucocorticoids
3.6.2. Immunosuppressive Therapy
3.6.3. Use of Antimalarial Drugs
3.6.4. Use of Renin–Angiotensin–Aldosterone System Blockade
3.6.5. Use of Vitamin D
3.7. Vaccinations
Adjusted Mixed-Effects Model Analysis
4. Discussion
4.1. Role of Immunosuppression
4.2. Clinical Surveillance and Quality of Care
4.3. Pathophysiological Context: Cytokine Storm, Autoimmunity, and NETs
4.4. COVID-19 Vaccination and Renal Function
4.5. Therapeutic Evolution During the Pandemic
4.6. Vitamin D Recommendations During the Pandemic
4.7. Antimalarials During the Pandemic
4.8. RAAS Inhibitors During the Pandemic
4.9. Healthcare Delivery and Clinical Oversight
4.10. Study Limitations
5. Conclusions
Supplementary Materials
Author Contributions
Funding
Institutional Review Board Statement
Informed Consent Statement
Data Availability Statement
Acknowledgments
Conflicts of Interest
Abbreviations
| ACE-Is | Angiotensin-Converting Enzyme Inhibitors |
| ARBs | Angiotensin Receptor Blockers |
| AZA | Azathioprine |
| CBC | Complete Blood Counts |
| CKD-EPI | Chronic Kidney Disease Epidemiology Collaboration |
| COVID-19 | Coronavirus Disease 2019 |
| CRP | C-Reactive Protein |
| CsA | Cyclosporine A |
| eGFR | Estimated Glomerular Filtration Rate |
| GCS | Glucocorticoids |
| HCQ | Hydroxychloroquine |
| HPF | High Power Field |
| IFN | Interferon |
| IL | Interleukin |
| IQR | Interquartile Range |
| LDH | Lactate Dehydrogenase |
| LN | Lupus Nephritis |
| LN-CT | Lupus Nephritis Conservatively Treated |
| LN-RTX | Lupus Nephritis in Renal Transplant Recipients |
| MMF | Mycophenolate Mofetil |
| mTOR | Mammalian Target of Rapamycin |
| NETs | Neutrophil Extracellular Traps |
| NS | Not Significant |
| PLT | Platelet Counts |
| RAAS | Renin–Angiotensin–Aldosterone System |
| RRT | Renal Replacement Therapy |
| RTX | Renal Transplant Recipients |
| SARS-CoV-2 | Severe Acute Respiratory Syndrome Coronavirus 2 |
| SLE | Systemic Lupus Erythematosus |
| sCr | Serum Creatinine |
| SD | Standard Deviation |
| TAC | Tacrolimus |
| T0–T3 | Time Points (T0: pre-pandemic; T1: first pandemic year; T2: second pandemic year; T3: post-pandemic) |
| UPCR | Urine Protein-to-Creatinine Ratio |
| WBC | White Blood Cell Count |
References
- World Health Organization. COVID-19 Weekly Epidemiological Update Global Overview. Available online: https://www.who.int/publications/m/item/weekly-epidemiological-update-on-covid-19---17-august-2023 (accessed on 21 June 2025).
- Guan, W.; Ni, Z.; Hu, Y.; Liang, W.; Ou, C.; He, J.; Liu, L.; Shan, H.; Lei, C.; Hui, D.S.C.; et al. Clinical Characteristics of Coronavirus Disease 2019 in China. N. Engl. J. Med. 2020, 382, 1708–1720. [Google Scholar] [CrossRef] [PubMed]
- Wu, Z.; McGoogan, J.M. Characteristics of and Important Lessons from the Coronavirus Disease 2019 (COVID-19) Outbreak in China. JAMA 2020, 323, 1239. [Google Scholar] [CrossRef]
- Haberman, R.; Axelrad, J.; Chen, A.; Castillo, R.; Yan, D.; Izmirly, P.; Neimann, A.; Adhikari, S.; Hudesman, D.; Scher, J.U. COVID-19 in Immune-Mediated Inflammatory Diseases—Case Series from New York. N. Engl. J. Med. 2020, 383, 85–88. [Google Scholar] [CrossRef]
- Cordtz, R.; Lindhardsen, J.; Soussi, B.G.; Vela, J.; Uhrenholt, L.; Westermann, R.; Kristensen, S.; Nielsen, H.; Torp-Pedersen, C.; Dreyer, L. Incidence and Severeness of COVID-19 Hospitalization in Patients with Inflammatory Rheumatic Disease: A Nationwide Cohort Study from Denmark. Rheumatology 2021, 60, SI59–SI67. [Google Scholar] [CrossRef]
- Fredi, M.; Cavazzana, I.; Moschetti, L.; Andreoli, L.; Franceschini, F.; Airò, P.; Bazzani, C.; Crisafulli, F.; Filippini, M.; Frassi, M.; et al. COVID-19 in Patients with Rheumatic Diseases in Northern Italy: A Single-Centre Observational and Case–Control Study. Lancet Rheumatol. 2020, 2, e549–e556. [Google Scholar] [CrossRef]
- Santos, C.S.; Morales, C.M.; Álvarez, E.D.; Castro, C.Á.; Robles, A.L.; Sandoval, T.P. Determinants of COVID-19 Disease Severity in Patients with Underlying Rheumatic Disease. Clin. Rheumatol. 2020, 39, 2789–2796. [Google Scholar] [CrossRef]
- Biedunkiewicz, B.; Dębska-Ślizień, A.; Tylicki, L. COVID-19 in Renal Replacement Therapy Patients: An Overview of Current Data and Future Challenges. Pol. Arch. Intern. Med. 2022, 132, 16336. [Google Scholar] [CrossRef]
- Goffin, E.; Candellier, A.; Vart, P.; Noordzij, M.; Arnol, M.; Covic, A.; Lentini, P.; Malik, S.; Reichert, L.J.; Sever, M.S.; et al. COVID-19-Related Mortality in Kidney Transplant and Haemodialysis Patients: A Comparative, Prospective Registry-Based Study. Nephrol. Dial. Transplant. 2021, 36, 2094–2105. [Google Scholar] [CrossRef]
- Tylicki, L.; Puchalska-Reglińska, E.; Tylicki, P.; Och, A.; Polewska, K.; Biedunkiewicz, B.; Parczewska, A.; Szabat, K.; Wolf, J.; Dębska-Ślizień, A. Predictors of Mortality in Hemodialyzed Patients after SARS-CoV-2 Infection. J. Clin. Med. 2022, 11, 285. [Google Scholar] [CrossRef] [PubMed]
- Puchalska-Reglińska, E.; Dębska-Ślizień, A.; Biedunkiewicz, B.; Tylicki, P.; Polewska, K.; Jagodziński, P.; Rutkowski, B.; Gellert, R.; Tylicki, L. Extremely High Mortality in COVID-19 Hemodialyzed Patients in before Anty-SARS-CoV-2 Vaccination Era. The First Large Database from Poland. Pol. Arch. Intern. Med. 2021, 131, 643–648. [Google Scholar] [CrossRef] [PubMed]
- Almaani, S.; Meara, A.; Rovin, B.H. Update on Lupus Nephritis. Clin. J. Am. Soc. Nephrol. 2017, 12, 825–835. [Google Scholar] [CrossRef]
- Ameer, M.A.; Chaudhry, H.; Mushtaq, J.; Khan, O.S.; Babar, M.; Hashim, T.; Zeb, S.; Tariq, M.A.; Patlolla, S.R.; Ali, J.; et al. An Overview of Systemic Lupus Erythematosus (SLE) Pathogenesis, Classification, and Management. Cureus 2022, 14, e30330. [Google Scholar] [CrossRef] [PubMed]
- Petri, M. Epidemiology of Systemic Lupus Erythematosus. Best Pract. Res. Clin. Rheumatol. 2002, 16, 847–858. [Google Scholar] [CrossRef] [PubMed]
- Naik, A.; Sharma, S.; Quigg, R.J. Complement Regulation in Renal Disease Models. Semin. Nephrol. 2013, 33, 575–585. [Google Scholar] [CrossRef] [PubMed][Green Version]
- Anders, H.-J.; Saxena, R.; Zhao, M.; Parodis, I.; Salmon, J.E.; Mohan, C. Lupus Nephritis. Nat. Rev. Dis. Primers 2020, 6, 7. [Google Scholar] [CrossRef] [PubMed]
- Aringer, M.; Smolen, J.S. Cytokine Expression in Lupus Kidneys. Lupus 2005, 14, 13–18. [Google Scholar] [CrossRef]
- Weening, J.J.; D’agati, V.D.; Schwartz, M.M.; Seshan, S.V.; Alpers, C.E.; Appel, G.B.; Balow, J.E.; Bruijn, J.A.N.A.; Cook, T.; Ferrario, F.; et al. The Classification of Glomerulonephritis in Systemic Lupus Erythematosus Revisited. Kidney Int. 2004, 65, 521–530. [Google Scholar] [CrossRef]
- Bajema, I.M.; Wilhelmus, S.; Alpers, C.E.; Bruijn, J.A.; Colvin, R.B.; Cook, H.T.; D’Agati, V.D.; Ferrario, F.; Haas, M.; Jennette, J.C.; et al. Revision of the International Society of Nephrology/Renal Pathology Society Classification for Lupus Nephritis: Clarification of Definitions, and Modified National Institutes of Health Activity and Chronicity Indices. Kidney Int. 2018, 93, 789–796. [Google Scholar] [CrossRef]
- Jakiela, B.; Kosałka, J.; Plutecka, H.; Bazan-Socha, S.; Sanak, M.; Musiał, J. Facilitated Expansion of Th17 Cells in Lupus Nephritis Patients. Clin. Exp. Immunol. 2018, 194, 283–294. [Google Scholar] [CrossRef]
- Katsuyama, T.; Tsokos, G.C.; Moulton, V.R. Aberrant T Cell Signaling and Subsets in Systemic Lupus Erythematosus. Front. Immunol. 2018, 9, 1088. [Google Scholar] [CrossRef]
- Bastard, P.; Rosen, L.B.; Zhang, Q.; Michailidis, E.; Hoffmann, H.-H.; Zhang, Y.; Dorgham, K.; Philippot, Q.; Rosain, J.; Béziat, V.; et al. Autoantibodies against Type I IFNs in Patients with Life-Threatening COVID-19. Science 2020, 370, eabd4585. [Google Scholar] [CrossRef] [PubMed]
- Magro, C.; Mulvey, J.J.; Berlin, D.; Nuovo, G.; Salvatore, S.; Harp, J.; Baxter-Stoltzfus, A.; Laurence, J. Complement Associated Microvascular Injury and Thrombosis in the Pathogenesis of Severe COVID-19 Infection: A Report of Five Cases. Transl. Res. 2020, 220, 1–13. [Google Scholar] [CrossRef] [PubMed]
- Alberti, P.; Beretta, S.; Piatti, M.; Karantzoulis, A.; Piatti, M.L.; Santoro, P.; Viganò, M.; Giovannelli, G.; Pirro, F.; Montisano, D.A.; et al. Guillain-Barré Syndrome Related to COVID-19 Infection. Neurol. Neuroimmunol. Neuroinflamm. 2020, 7, e741. [Google Scholar] [CrossRef]
- Toscano, G.; Palmerini, F.; Ravaglia, S.; Ruiz, L.; Invernizzi, P.; Cuzzoni, M.G.; Franciotta, D.; Baldanti, F.; Daturi, R.; Postorino, P.; et al. Guillain–Barré Syndrome Associated with SARS-CoV-2. N. Engl. J. Med. 2020, 382, 2574–2576. [Google Scholar] [CrossRef]
- Virani, A.; Rabold, E.; Hanson, T.; Haag, A.; Elrufay, R.; Cheema, T.; Balaan, M.; Bhanot, N. Guillain-Barré Syndrome Associated with SARS-CoV-2 Infection. IDCases 2020, 20, e00771. [Google Scholar] [CrossRef] [PubMed]
- Ottaviani, D.; Boso, F.; Tranquillini, E.; Gapeni, I.; Pedrotti, G.; Cozzio, S.; Guarrera, G.M.; Giometto, B. Early Guillain-Barré Syndrome in Coronavirus Disease 2019 (COVID-19): A Case Report from an Italian COVID-Hospital. Neurol. Sci. 2020, 41, 1351–1354. [Google Scholar] [CrossRef]
- Dinkin, M.; Gao, V.; Kahan, J.; Bobker, S.; Simonetto, M.; Wechsler, P.; Harpe, J.; Greer, C.; Mints, G.; Salama, G.; et al. COVID-19 Presenting with Ophthalmoparesis from Cranial Nerve Palsy. Neurology 2020, 95, 221–223. [Google Scholar] [CrossRef]
- Nathan, N.; Prevost, B.; Corvol, H. Atypical Presentation of COVID-19 in Young Infants. Lancet 2020, 395, 1481. [Google Scholar] [CrossRef]
- Toubiana, J.; Poirault, C.; Corsia, A.; Bajolle, F.; Fourgeaud, J.; Angoulvant, F.; Debray, A.; Basmaci, R.; Salvador, E.; Biscardi, S.; et al. Kawasaki-like Multisystem Inflammatory Syndrome in Children during the COVID-19 Pandemic in Paris, France: Prospective Observational Study. BMJ 2020, 369, m2094. [Google Scholar] [CrossRef]
- Jones, V.G.; Mills, M.; Suarez, D.; Hogan, C.A.; Yeh, D.; Segal, J.B.; Nguyen, E.L.; Barsh, G.R.; Maskatia, S.; Mathew, R. COVID-19 and Kawasaki Disease: Novel Virus and Novel Case. Hosp. Pediatr. 2020, 10, 537–540. [Google Scholar] [CrossRef]
- Riphagen, S.; Gomez, X.; Gonzalez-Martinez, C.; Wilkinson, N.; Theocharis, P. Hyperinflammatory Shock in Children during COVID-19 Pandemic. Lancet 2020, 395, 1607–1608. [Google Scholar] [CrossRef]
- Verdoni, L.; Mazza, A.; Gervasoni, A.; Martelli, L.; Ruggeri, M.; Ciuffreda, M.; Bonanomi, E.; D’Antiga, L. An Outbreak of Severe Kawasaki-like Disease at the Italian Epicentre of the SARS-CoV-2 Epidemic: An Observational Cohort Study. Lancet 2020, 395, 1771–1778. [Google Scholar] [CrossRef]
- Zamani, B.; Moeini Taba, S.-M.; Shayestehpour, M. Systemic Lupus Erythematosus Manifestation Following COVID-19: A Case Report. J. Med. Case Rep. 2021, 15, 29. [Google Scholar] [CrossRef] [PubMed]
- Lazarian, G.; Quinquenel, A.; Bellal, M.; Siavellis, J.; Jacquy, C.; Re, D.; Merabet, F.; Mekinian, A.; Braun, T.; Damaj, G.; et al. Autoimmune Haemolytic Anaemia Associated with COVID-19 Infection. Br. J. Haematol. 2020, 190, 29–31. [Google Scholar] [CrossRef] [PubMed]
- Jacobs, J.; Eichbaum, Q. COVID-19 Associated with Severe Autoimmune Hemolytic Anemia. Transfusion 2021, 61, 635–640. [Google Scholar] [CrossRef] [PubMed]
- AbouYabis, A.N.; Bell, G.T. Hemolytic Anemia Complicating COVID-19 Infection. J. Hematol. 2021, 10, 221–227. [Google Scholar] [CrossRef]
- Moradiya, P.; Khandelwal, P.; Raina, R.; Mahajan, R.G. Systematic Review of Individual Patient Data COVID-19 Infection and Vaccination-Associated Thrombotic Microangiopathy. Kidney Int. Rep. 2024, 9, 3134–3144. [Google Scholar] [CrossRef]
- Aigner, C.; Gaggl, M.; Schmidt, S.; Kain, R.; Kozakowski, N.; Oszwald, A.; Prohászka, Z.; Sunder-Plassmann, R.; Schmidt, A.; Sunder-Plassmann, G. New-Onset Complement-Mediated Thrombotic Microangiopathy during the COVID-19 Pandemic. Kidney Blood Press. Res. 2024, 49, 970–977. [Google Scholar] [CrossRef]
- Campos, M.A.G.; Ataídes, R.J.C.; Ferreira, M.C.; Alves, A.S.; Silva, G.E.B. Atypical Hemolytic-uremic Syndrome after COVID-19 Vaccine: A Case Report. Immun. Inflamm. Dis. 2024, 12, e1270. [Google Scholar] [CrossRef]
- Zulfiqar, A.-A.; Lorenzo-Villalba, N.; Hassler, P.; Andrès, E. Immune Thrombocytopenic Purpura in a Patient with COVID-19. N. Engl. J. Med. 2020, 382, e43. [Google Scholar] [CrossRef]
- Kuter, D.J. Exacerbation of Immune Thrombocytopenia Following COVID-19 Vaccination. Br. J. Haematol. 2021, 195, 365–370. [Google Scholar] [CrossRef]
- Tarasewicz, A.; Perkowska-Ptasińska, A.; Dębska-Ślizień, A. Thrombotic Microangiopathy in a Kidney Transplant Patient after COVID-19. Pol. Arch. Intern. Med. 2021, 131, 16125. [Google Scholar] [CrossRef]
- Ali, S.; Almas, T.; Zaidi, U.; Ahmed, F.; Shaikh, S.; Shaikh, F.; Tafveez, R.; Arsalan, M.; Antony, I.; Antony, M.; et al. A Novel Case of Lupus Nephritis and Mixed Connective Tissue Disorder in a COVID-19 Patient. Ann. Med. Surg. 2022, 78, 103653. [Google Scholar] [CrossRef]
- Mok, C.C.; Chu, C.S.; Tse, S.M. De Novo Lupus Nephritis after SARS-CoV-2 Infection. Lupus 2023, 32, 893–899. [Google Scholar] [CrossRef]
- Gayathri, C.; Monica, K.; Lakshmi, P.A.; Mathini, S.; Kumar, N.P.; Ram; Kumar, V.S. Systemic Lupus Erythematosus Nephritis and COVID-19 Disease. Clin. Rheumatol. 2023, 42, 2335–2340. [Google Scholar] [CrossRef] [PubMed]
- Ugarte-Gil, M.F.; Alarcón, G.S.; Izadi, Z.; Duarte-García, A.; Reátegui-Sokolova, C.; Clarke, A.E.; Wise, L.; Pons-Estel, G.J.; Santos, M.J.; Bernatsky, S.; et al. Characteristics Associated with Poor COVID-19 Outcomes in Individuals with Systemic Lupus Erythematosus: Data from the COVID-19 Global Rheumatology Alliance. Ann. Rheum. Dis. 2022, 81, 970–978. [Google Scholar] [CrossRef]
- Fernandez-Ruiz, R.; Paredes, J.L.; Niewold, T.B. COVID-19 in Patients with Systemic Lupus Erythematosus: Lessons Learned from the Inflammatory Disease. Transl. Res. 2021, 232, 13–36. [Google Scholar] [CrossRef] [PubMed]
- Fu, X.-L.; Qian, Y.; Jin, X.-H.; Yu, H.-R.; Du, L.; Wu, H.; Chen, H.-L.; Shi, Y.-Q. COVID-19 in Patients with Systemic Lupus Erythematosus: A Systematic Review. Lupus 2022, 31, 684–696. [Google Scholar] [CrossRef]
- Hejazian, S.S.; Hejazian, S.M.; Farnood, F.; Abedi Azar, S. Dysregulation of Immunity in COVID-19 and SLE. Inflammopharmacology 2022, 30, 1517–1531. [Google Scholar] [CrossRef]
- Mehta, P.; Gasparyan, A.Y.; Zimba, O.; Kitas, G.D. Systemic Lupus Erythematosus in the Light of the COVID-19 Pandemic: Infection, Vaccination, and Impact on Disease Management. Clin. Rheumatol. 2022, 41, 2893–2910. [Google Scholar] [CrossRef] [PubMed]
- Mason, A.; Rose, E.; Edwards, C.J. Clinical Management of Lupus Patients during the COVID-19 Pandemic. Lupus 2020, 29, 1661–1672. [Google Scholar] [CrossRef] [PubMed]
- Anders, H.J.; Bruchfeld, A.; Fernandez Juarez, G.M.; Floege, J.; Goumenos, D.; Turkmen, K.; Van Kooten, C.; Tesar, V.; Segelmark, M. Recommendations for the Management of Patients with Immune-Mediated Kidney Disease during the Severe Acute Respiratory Syndrome Coronavirus 2 Pandemic. Nephrol. Dial. Transplant. 2020, 35, 920–925. [Google Scholar] [CrossRef]
- Khairallah, P.; Aggarwal, N.; Awan, A.A.; Vangala, C.; Airy, M.; Pan, J.S.; Murthy, B.V.R.; Winkelmayer, W.C.; Ramanathan, V. The Impact of COVID-19 on Kidney Transplantation and the Kidney Transplant Recipient—One Year into the Pandemic. Transpl. Int. 2021, 34, 612–621. [Google Scholar] [CrossRef]
- Ajaimy, M.; Liriano-Ward, L.; Graham, J.A.; Akalin, E. Risks and Benefits of Kidney Transplantation during the COVID-19 Pandemic: Transplant or Not Transplant? Kidney360 2021, 2, 1179–1187. [Google Scholar] [CrossRef]
- Gulick, R.M.; Pau, A.K.; Daar, E.; Evans, L.; Gandhi, R.T.; Tebas, P.; Ridzon, R.; Masur, H.; Lane, H.C.; Adimora, A.A.; et al. National Institutes of Health COVID-19 Treatment Guidelines Panel: Perspectives and Lessons Learned. Ann. Intern. Med. 2024, 177, 1547–1557. [Google Scholar] [CrossRef]
- Devresse, A.; De Greef, J.; Yombi, J.C.; Belkhir, L.; Goffin, E.; Kanaan, N. Immunosuppression and SARS-CoV-2 Infection in Kidney Transplant Recipients. Transpl. Direct 2022, 8, e1292. [Google Scholar] [CrossRef]
- Tylicki, L.; Dębska-ślizień, A.; Muchlado, M.; Ślizień, Z.; Gołębiewska, J.; Dąbrowska, M.; Biedunkiewicz, B. Boosting Humoral Immunity from MRNA COVID-19 Vaccines in Kidney Transplant Recipients. Vaccines 2022, 10, 56. [Google Scholar] [CrossRef] [PubMed]
- Debska-Slizien, A.; Muchlado, M.; Slizien, Z.; Kubanek, A.; Piotrowska, M.; Dabrowska, M.; Bzoma, B.; Konopa, J.; Renke, M.; Biedunkiewicz, B.; et al. Significant Humoral Response to MRNA COVID-19 Vaccine in Kidney Transplant Recipients with Prior Exposure to SARS-CoV-2: The COViNEPH Project. Pol. Arch. Intern. Med. 2022, 132, 16142. [Google Scholar] [CrossRef] [PubMed]
- Duly, K.; Farraye, F.A.; Bhat, S. COVID-19 Vaccine Use in Immunocompromised Patients: A Commentary on Evidence and Recommendations. Am. J. Health-Syst. Pharm. 2022, 79, 63–71. [Google Scholar] [CrossRef]
- Centers for Disease Control and Prevention. Vaccines for Moderately to Severely Immunocompromised People; Centers for Disease Control and Prevention: Antlanta, Georgia, 2025.
- Bułło-Piontecka, B.; Zdrojewski, Z.; Krol, E.; Rutkowski, B. Severe Lupus Nephritis: Relative Proteinuria and Erythrocyturia Marker (Ecyt) as the Parameters of Monitoring Efficacy of Cyclophosphamide Pulse Therapy. Nefrol. Dializoterapia Pol. 2015, 19, 27–31. [Google Scholar]
- Barocas, D.A.; Boorjian, S.A.; Alvarez, R.D.; Downs, T.M.; Gross, C.P.; Hamilton, B.D.; Kobashi, K.C.; Lipman, R.R.; Lotan, Y.; Ng, C.K.; et al. Microhematuria: AUA/SUFU Guideline. J. Urol. 2020, 204, 778–786. [Google Scholar] [CrossRef]
- Tisoncik, J.R.; Korth, M.J.; Simmons, C.P.; Farrar, J.; Martin, T.R.; Katze, M.G. Into the Eye of the Cytokine Storm. Microbiol. Mol. Biol. Rev. 2012, 76, 16–32. [Google Scholar] [CrossRef]
- Willicombe, M.; Thomas, D.; McAdoo, S. COVID-19 and Calcineurin Inhibitors: Should They Get Left Out in the Storm? J. Am. Soc. Nephrol. 2020, 31, 1145–1146. [Google Scholar] [CrossRef] [PubMed]
- Alby-Laurent, F.; Belaïdouni, N.; Blanchet, B.; Rousseau, C.; Llitjos, J.-F.; Sanquer, S.; Mira, J.-P.; Pène, F.; Toubiana, J.; Chiche, J.-D. Low-Dose Mycophenolate Mofetil Improves Survival in a Murine Model of Staphylococcus Aureus Sepsis by Increasing Bacterial Clearance and Phagocyte Function. Front. Immunol. 2022, 13, 939213. [Google Scholar] [CrossRef] [PubMed]
- Krawczyk, A.; Kravčenia, B.; Maślanka, T. Mycophenolate Mofetil: An Update on Its Mechanism of Action and Effect on Lymphoid Tissue. Front. Immunol. 2025, 15, 1463429. [Google Scholar] [CrossRef] [PubMed]
- Gupta, S.; Coca, S.G.; Chan, L.; Melamed, M.L.; Brenner, S.K.; Hayek, S.S.; Sutherland, A.; Puri, S.; Srivastava, A.; Leonberg-Yoo, A.; et al. AKI Treated with Renal Replacement Therapy in Critically Ill Patients with COVID-19. J. Am. Soc. Nephrol. 2021, 32, 161–176. [Google Scholar] [CrossRef]
- Legrand, M.; Bell, S.; Forni, L.; Joannidis, M.; Koyner, J.L.; Liu, K.; Cantaluppi, V. Pathophysiology of COVID-19-Associated Acute Kidney Injury. Nat. Rev. Nephrol. 2021, 17, 751–764. [Google Scholar] [CrossRef]
- Middleton, E.A.; He, X.-Y.; Denorme, F.; Campbell, R.A.; Ng, D.; Salvatore, S.P.; Mostyka, M.; Baxter-Stoltzfus, A.; Borczuk, A.C.; Loda, M.; et al. Neutrophil Extracellular Traps Contribute to Immunothrombosis in COVID-19 Acute Respiratory Distress Syndrome. Blood 2020, 136, 1169–1179. [Google Scholar] [CrossRef]
- Malinowska, A.; Heleniak, Z.; Muchlado, M.; Ślizień, Z.; Ruszkowski, J.; Biedunkiewicz, B.; Tylicki, L.; Król, E.; Dębska-Ślizień, A. Changes in Kidney Graft Function in COVID-19 Convalescents. Transpl. Proc. 2022, 54, 884–887. [Google Scholar] [CrossRef]
- Lisowska, K.A.; Ciesielska-Figlon, K.; Komorniczak, M.; Bułło-Piontecka, B.; Dębska-Ślizień, A.; Wardowska, A. Peripheral Blood Mononuclear Cells and Serum Cytokines in Patients with Lupus Nephritis after COVID-19. Int. J. Mol. Sci. 2024, 25, 8278. [Google Scholar] [CrossRef]
- Klomjit, N.; Alexander, M.P.; Fervenza, F.C.; Zoghby, Z.; Garg, A.; Hogan, M.C.; Nasr, S.H.; Minshar, M.A.; Zand, L. COVID-19 Vaccination and Glomerulonephritis. Kidney Int. Rep. 2021, 6, 2969–2978. [Google Scholar] [CrossRef] [PubMed]
- de Gier, B.; van Asten, L.; Boere, T.M.; van Roon, A.; van Roekel, C.; Pijpers, J.; van Werkhoven, C.H.H.; van den Ende, C.; Hahné, S.J.M.; de Melker, H.E.; et al. Effect of COVID-19 Vaccination on Mortality by COVID-19 and on Mortality by Other Causes, the Netherlands, January 2021–January 2022. Vaccine 2023, 41, 4488–4496. [Google Scholar] [CrossRef] [PubMed]
- Landewé, R.B.M.; Landewé, R.B.M.; MacHado, P.M.; Kroon, F.; Bijlsma, H.W.J.; Burmester, G.R.; Carmona, L.; Combe, B.; Galli, M.; Gossec, L.; et al. EULAR Provisional Recommendations for the Management of Rheumatic and Musculoskeletal Diseases in the Context of SARS-CoV-2. Ann. Rheum. Dis. 2020, 79, 851–858. [Google Scholar] [CrossRef] [PubMed]
- British Society for Rheumatology; Brilish Orthopaedic Association; British Association of Spine Surgeons; Faculty of Pain Medicine; Royal College of General Practitioners; The British Pain Society; Chartered Society of Physiotherapy; British Society of Skeletal Radiologists. Clinical Guide During the COVID-19 Pandemic for the Management of Patients with Musculoskeletal and Rheumatic Conditions; BSR: London, UK, 2020. [Google Scholar]
- Adel, Y.; Elgamal, M.; Adel Abdelsalam, S. Impact of Vitamin D Level and Supplementation on Systemic Lupus Erythematosus Patients during COVID-19 Pandemic. Arch. Rheumatol. 2022, 37, 288–299. [Google Scholar] [CrossRef]
- Radujkovic, A.; Hippchen, T.; Tiwari-Heckler, S.; Dreher, S.; Boxberger, M.; Merle, U. Vitamin D Deficiency and Outcome of COVID-19 Patients. Nutrients 2020, 12, 2757. [Google Scholar] [CrossRef]
- Hariyanto, T.I.; Intan, D.; Hananto, J.E.; Harapan, H.; Kurniawan, A. Vitamin D Supplementation and COVID-19 Outcomes: A Systematic Review, Meta-analysis and Meta-regression. Rev. Med. Virol. 2022, 32, e2269. [Google Scholar] [CrossRef]
- Abrishami, A.; Dalili, N.; Mohammadi Torbati, P.; Asgari, R.; Arab-Ahmadi, M.; Behnam, B.; Sanei-Taheri, M. Possible Association of Vitamin D Status with Lung Involvement and Outcome in Patients with COVID-19: A Retrospective Study. Eur. J. Nutr. 2021, 60, 2249–2257. [Google Scholar] [CrossRef]
- Rakedzon, S.; Neuberger, A.; Domb, A.J.; Petersiel, N.; Schwartz, E. From Hydroxychloroquine to Ivermectin: What Are the Anti-Viral Properties of Anti-Parasitic Drugs to Combat SARS-CoV-2? J. Travel. Med. 2021, 28, taab005. [Google Scholar] [CrossRef]
- Abisheva, S.; Rutskaya-Moroshan, K.; Nuranova, G.; Batyrkhan, T.; Abisheva, A. Antimalarial Drugs at the Intersection of SARS-CoV-2 and Rheumatic Diseases: What Are the Potential Opportunities? Medicina 2024, 60, 1171. [Google Scholar] [CrossRef]
- Das, R.R.; Jaiswal, N.; Dev, N.; Jaiswal, N.; Naik, S.S.; Sankar, J. Efficacy and Safety of Anti-Malarial Drugs (Chloroquine and Hydroxy-Chloroquine) in Treatment of COVID-19 Infection: A Systematic Review and Meta-Analysis. Front. Med. 2020, 7, 482. [Google Scholar] [CrossRef]
- Iretiola Builders, M.; Oyepata Simeon, J.; Olugbenga Ogundeko, T.; Builders, P. Antimalarial Drugs and COVID-19. Sumerianz J. Med. Healthc. 2020, 3, 111–116. [Google Scholar] [CrossRef]
- Vaduganathan, M.; Vardeny, O.; Michel, T.; McMurray, J.J.V.; Pfeffer, M.A.; Solomon, S.D. Renin–Angiotensin–Aldosterone System Inhibitors in Patients with COVID-19. N. Engl. J. Med. 2020, 382, 1653–1659. [Google Scholar] [CrossRef] [PubMed]
- Cohen, J.B.; Hanff, T.C.; William, P.; Sweitzer, N.; Rosado-Santander, N.R.; Medina, C.; Rodriguez-Mori, J.E.; Renna, N.; Chang, T.I.; Corrales-Medina, V.; et al. Continuation versus Discontinuation of Renin–Angiotensin System Inhibitors in Patients Admitted to Hospital with COVID-19: A Prospective, Randomised, Open-Label Trial. Lancet Respir. Med. 2021, 9, 275–284. [Google Scholar] [CrossRef] [PubMed]
- Lopes, R.D.; Macedo, A.V.S.; de Barros E Silva, P.G.M.; Moll-Bernardes, R.J.; dos Santos, T.M.; Mazza, L.; Feldman, A.; D’Andréa Saba Arruda, G.; de Albuquerque, D.C.; Camiletti, A.S.; et al. Effect of Discontinuing vs Continuing Angiotensin-Converting Enzyme Inhibitors and Angiotensin II Receptor Blockers on Days Alive and Out of the Hospital in Patients Admitted With COVID-19. JAMA 2021, 325, 254. [Google Scholar] [CrossRef] [PubMed]
- Gurwitz, D. Angiotensin Receptor Blockers as Tentative SARS-CoV-2 Therapeutics. Drug Dev. Res. 2020, 81, 537–540. [Google Scholar] [CrossRef]
- South, A.M.; Diz, D.I.; Chappell, M.C. COVID-19, ACE2, and the Cardiovascular Consequences. Am. J. Physiol.-Heart Circ. Physiol. 2020, 318, H1084–H1090. [Google Scholar] [CrossRef]
- Eckardt, K.-U.; Kasiske, B.L.; Zeier, M.G. Special Issue: KDIGO Clinical Practice Guideline for the Care of Kidney Transplant Recipients. Am. J. Transplant. 2009, 9, S1–S155. [Google Scholar] [CrossRef]
- Cheung, A.K.; Chang, T.I.; Cushman, W.C.; Furth, S.L.; Hou, F.F.; Ix, J.H.; Knoll, G.A.; Muntner, P.; Pecoits-Filho, R.; Sarnak, M.J.; et al. KDIGO 2021 Clinical Practice Guideline for the Management of Blood Pressure in Chronic Kidney Disease. Kidney Int. 2021, 99, S1–S87. [Google Scholar] [CrossRef]
- Parodis, I.; Tamirou, F.; Houssiau, F.A. Prediction of Prognosis and Renal Outcome in Lupus Nephritis. Lupus Sci. Med. 2020, 7, e000389. [Google Scholar] [CrossRef]
- Schwartz, M.M.; Bernstein, J.; Hill, G.S.; Holley, K.; Phillips, E.A. Predictive Value of Renal Pathology in Diffuse Proliferative Lupus Glomerulonephritis. Kidney Int. 1989, 36, 891–896. [Google Scholar] [CrossRef]
- Kudose, S.; Batal, I.; Santoriello, D.; Xu, K.; Barasch, J.; Peleg, Y.; Canetta, P.; Ratner, L.E.; Marasa, M.; Gharavi, A.G.; et al. Kidney Biopsy Findings in Patients with COVID-19. J. Am. Soc. Nephrol. 2020, 31, 1959–1968. [Google Scholar] [CrossRef] [PubMed]






| Parameter | LN-CT (n = 100) | LN-RTX (n = 11) | p-Value |
|---|---|---|---|
| Female/Male ratio | 82 (82%)/18 (18%) | 9 (82%)/2 (18%) | NS |
| Age (years) | 47.24 ± 13.4 | 39.6 ± 3.45 | NS |
| Percentage of active nephropathy | 57 (57%) | 3 (27%) | NS |
| Comorbidities | |||
| Arterial hypertension | 79 (79%) | 9 (81.8%) | NS |
| Diabetes mellitus | 8 (8%) | 6 (54.5%) | <0.001 |
| Antiphospholipid syndrome | 30 (30%) | 4 (36.4%) | NS |
| Osteoporosis | 31 (31%) | 3 (27.3%) | NS |
| Treatment | |||
| Glucocorticoids (GCS) | 95 (95%) | 11 (100%) | NS |
| Daily GCS dose, prednisone-equivalent (mg) | 5 (5–10) | 5 (5–13) | NS |
| Immunosuppressive therapy | 60 (60%) | 11 (100%) | 0.007 |
| -Cyclophosphamide (intravenous) | 3 (3%) | 0 (0%) | NS |
| -Calcineurin inhibitors | 13 (13%) | 11 (100%) | <0.001 |
| ● Cyclosporine | 11 (11%) | 3 (27.3%) | 0.007 |
| ● Tacrolimus | 2 (2%) | 8 (72.7%) | <0.001 |
| -Antiproliferative drugs: | 49 (49%) | 9 (81.8%) | NS |
| ● Mycophenolate mofetil (MMF) | 48 (48%) | 9 (81.8%) | NS |
| ● Daily MMF dose (mg/day) | 500 (500–1000) | 1000 (750–1000) | NS |
| ● Azathioprine | 1 (1%) | 0 (0%) | NS |
| Antimalarial drugs | 38 (38%) | 1 (9.1%) | NS |
| ACE-Is/ARBs | 59 (59%) | 5 (45.5%) | NS |
| Statins | 20 (20%) | 3 (27.3%) | NS |
| Vitamin D supplements | 56 (56%) | 3 (27.3%) | NS |
| Laboratory parameters | |||
| Serum creatinine (mg/dL) | 0.905 (0.735–1.175) | 1.28 (1.08–1.8) | 0.006 |
| Estimated glomerular filtration rate (eGFR, mL/min/1.73 m2) | 76.5 (52–90) | 56 (35–71) | 0.0299 |
| Hemoglobin (g/dL) | 13.1 (11.7–14.35) | 12.6 (11.2–13.2) | NS |
| White blood cell count (WBC, ×109/L) | 6.275 (4.975–8.6) | 8.57 (6.54–9.87) | NS |
| -Neutrophil count (×109/L) | 3.7 (2.71–5.57) | 5.17 (4.11–7.12) | NS |
| -Lymphocyte count (×109/L) | 1.535 (1.07–2.185) | 1.7 (1.14–1.74) | NS |
| Platelet count (PLT, ×109/L) | 236 (197–273) | 209 (187–286) | NS |
| C-reactive protein (CRP, mg/L) | 1.485 (0.7–4.61) | 1.28 (1.08–1.8) | 0.0382 |
| Lactate dehydrogenase (LDH, U/L) | 195 (176–240.5) | 197 (63–228) | NS |
Disclaimer/Publisher’s Note: The statements, opinions and data contained in all publications are solely those of the individual author(s) and contributor(s) and not of MDPI and/or the editor(s). MDPI and/or the editor(s) disclaim responsibility for any injury to people or property resulting from any ideas, methods, instructions or products referred to in the content. |
© 2025 by the authors. Licensee MDPI, Basel, Switzerland. This article is an open access article distributed under the terms and conditions of the Creative Commons Attribution (CC BY) license (https://creativecommons.org/licenses/by/4.0/).
Share and Cite
Komorniczak, M.; Stępniewski, P.; Bułło-Piontecka, B.; Lisowska, K.A.; Dębska-Ślizień, A.; Wardowska, A. Lupus Nephritis During the COVID-19 Pandemic: Challenges and Implications Before, During, and After. Biomedicines 2025, 13, 2984. https://doi.org/10.3390/biomedicines13122984
Komorniczak M, Stępniewski P, Bułło-Piontecka B, Lisowska KA, Dębska-Ślizień A, Wardowska A. Lupus Nephritis During the COVID-19 Pandemic: Challenges and Implications Before, During, and After. Biomedicines. 2025; 13(12):2984. https://doi.org/10.3390/biomedicines13122984
Chicago/Turabian StyleKomorniczak, Michał, Piotr Stępniewski, Barbara Bułło-Piontecka, Katarzyna Aleksandra Lisowska, Alicja Dębska-Ślizień, and Anna Wardowska. 2025. "Lupus Nephritis During the COVID-19 Pandemic: Challenges and Implications Before, During, and After" Biomedicines 13, no. 12: 2984. https://doi.org/10.3390/biomedicines13122984
APA StyleKomorniczak, M., Stępniewski, P., Bułło-Piontecka, B., Lisowska, K. A., Dębska-Ślizień, A., & Wardowska, A. (2025). Lupus Nephritis During the COVID-19 Pandemic: Challenges and Implications Before, During, and After. Biomedicines, 13(12), 2984. https://doi.org/10.3390/biomedicines13122984

