Serum Resolvin D1 and Maresin 1 Levels During Migraine Attacks and the Interictal Period: A Paired Analysis in Emergency Department Patients
Abstract
1. Introduction
2. Materials and Methods
2.1. Study Design and Ethical Approval
2.2. Study Population and Groups
- 1.
- Migraine Attack Group (n = 55)
- 2.
- Interictal Migraine Group (n = 55)
- 3.
- Healthy Control Group (n = 53)
2.3. Power Analysis and Sample Size
2.4. Blood Sample Collection and Processing
2.5. Biochemical Analyses
2.5.1. ELISA Methodology
2.5.2. Detection Limits and Quality Control
| Measuring Range | Sensitivity (LOD) | |
| RvD1 | 0.15–30 ng/mL | 0.114 ng/mL |
| MaR1 | 7.5–2000 pg/mL | 7.247 pg/mL |
2.6. Statistical Analysis
- Normality: Shapiro–Wilk
- Continuous variables: mean ± SD or median (IQR)
- Categorical variables: n (%)
- Paired comparisons: Paired t-test or Wilcoxon signed-rank test
- Independent comparisons: Independent t-test or Mann–Whitney U test
3. Results
3.1. Participant Characteristics
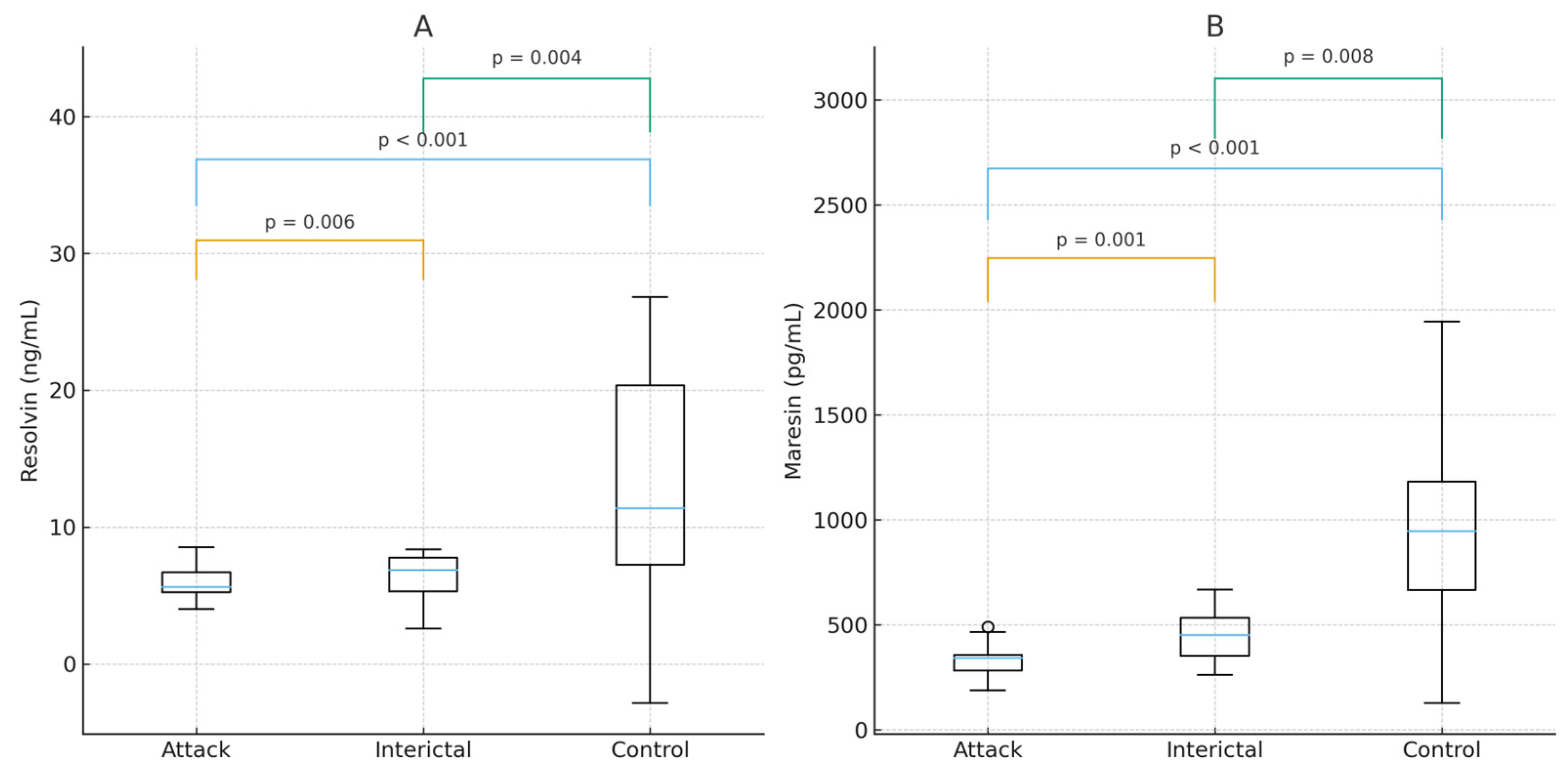
3.2. Serum Levels of Resolvin D1 and Maresin 1
- RvD1:
- Attack: 5.84 ng/mL (IQR: 4.59–8.17)
- Interictal: 6.40 ng/mL (IQR: 5.69–10.84)
- Controls: 12.01 ng/mL (IQR: 6.59–26.25)
- MaR1:
- Attack: 339.20 pg/mL (IQR: 273.26–593.32)
- Interictal: 417.03 pg/mL (IQR: 358.56–745.10)
- Controls: 751.34 pg/mL (IQR: 391.95–1837.40)
3.3. Diagnostic Performance of RvD1 and MaR1
3.4. Acute Attack Phase
- RvD1: AUC = 0.719 (95% CI: 0.624–0.801; p< 0.001)Cut-off ≤ 8.51 ng/mL → Sensitivity 78.2%, Specificity 66.0%, PPV 70.5%, NPV 74.5%
- MaR1: AUC = 0.730 (95% CI: 0.636–0.811; p< 0.001)Cut-off ≤ 460.02 pg/mL → Sensitivity 72.7%, Specificity 71.7%, PPV 72.7%, NPV 71.7%
3.5. Interictal Phase
- RvD1: AUC = 0.662 (95% CI: 0.550–0.750; p = 0.004)Sensitivity 65.5%, Specificity 71.7%
- MaR1: AUC = 0.648 (95% CI: 0.631–0.737; p = 0.009)Sensitivity 70.9%, Specificity 67.9%
4. Discussion
Limitations
5. Conclusions
Author Contributions
Funding
Institutional Review Board Statement
Informed Consent Statement
Data Availability Statement
Conflicts of Interest
Abbreviations
| RvD1 | Resolvin D1 |
| MaR1 | Maresin 1 |
| ROC | Receiver Operating Characteristic |
| AUC | Area Under the Curve |
| PPV | Positive Predictive Value |
| NPV | Negative Predictive Value |
| CI | Confidence Interval |
| IQR | Interquartile Range |
| ELISA | Enzyme-Linked Immunosorbent Assay |
| PUFAs | Polyunsaturated Fatty Acids |
| BMI | Body Mass Index |
| SD | Standard Deviation |
References
- Hernandez, J.; Molina, E.; Rodriguez, A.; Woodford, S.; Nguyen, A.; Parker, G.; Lucke-Wold, B. Headache Disorders: Differentiating Primary and Secondary Etiologies. J. Integr. Neurosci. 2024, 23, 43. [Google Scholar] [CrossRef]
- Robblee, J.; Zhao, X.R.; Minen, M.T.; Friedman, B.W.; Cortel-LeBlanc, M.A.; Cortel-LeBlanc, A.; Orr, S.L. The 2023 protocol for update to acute treatment of adults with migraine in the emergency department: The American Headache Society evidence assessment of parenteral pharmacotherapies. Headache 2024, 64, 869–872. [Google Scholar] [CrossRef] [PubMed]
- Subalakshmi, S.; Rushendran, R.; Vellapandian, C. Revisiting Migraine Pathophysiology: From Neurons to Immune Cells Through Lens of Immune Regulatory Pathways. J. Neuroimmune Pharmacol. 2025, 20, 30. [Google Scholar] [CrossRef] [PubMed]
- Edvinsson, L.; Haanes, K.A.; Warfvinge, K. Does inflammation have a role in migraine? Nat. Rev. Neurol. 2019, 15, 483–490. [Google Scholar] [CrossRef]
- Grodzka, O.; Łagowski, W.; Eyileten, C.; Domitrz, I. Biomarkers in headaches as a potential solution to simplify differential diagnosis of primary headache disorders: A systematic review. J. Headache Pain 2025, 26, 73. [Google Scholar] [CrossRef] [PubMed]
- Bertotti, G.; Fernández-Ruiz, V.; Roldán-Ruiz, A.; López-Moreno, M. Cluster Headache and Migraine Shared and Unique Insights: Neurophysiological Implications, Neuroimaging, and Biomarkers: A Comprehensive Review. J. Clin. Med. 2025, 14, 2160. [Google Scholar] [CrossRef]
- Ma, Y.M.; Li, C.D.; Zhu, Y.B.; Xu, X.; Li, J.; Cao, H. The mechanism of RvD1 alleviates type 2 diabetic neuropathic pain by influencing microglia polarization in rats. Zhongguo Ying Yong Sheng Li Xue Za Zhi 2017, 33, 277–281. (In Chinese) [Google Scholar]
- Dalli, J.; Zhu, M.; Vlasenko, N.A.; Deng, B.; Haeggström, J.Z.; Petasis, N.A.; Serhan, C.N. The novel 13S,14S-epoxy-maresin is converted by human macrophages to maresin 1 (MaR1), inhibits leukotriene A4 hydrolase (LTA4H), and shifts macrophage phenotype. FASEB J. 2013, 27, 2573–2583. [Google Scholar] [CrossRef]
- Deng, Y.; Wang, F.; Wang, T.; Zhang, X.; Chen, D.; Wang, Y.; Chen, C.; Pan, G. Research progress in the mechanisms and functions of specialized pro-resolving mediators in neurological diseases. Prostaglandins Other Lipid Mediat. 2024, 175, 106905. [Google Scholar] [CrossRef]
- Chen, T.B.; Yang, C.C.; Tsai, I.J.; Yang, H.W.; Hsu, Y.C.; Chang, C.M.; Yang, C.P. Neuroimmunological effects of omega-3 fatty acids on migraine: A review. Front. Neurol. 2024, 15, 1366372. [Google Scholar] [CrossRef]
- Tu, Y.H.; Chang, C.M.; Yang, C.C.; Tsai, I.J.; Chou, Y.C.; Yang, C.P. Dietary Patterns and Migraine: Insights and Impact. Nutrients 2025, 17, 669. [Google Scholar] [CrossRef] [PubMed]
- Tseng, P.T.; Zeng, B.Y.; Chen, J.J.; Kuo, C.H.; Zeng, B.S.; Kuo, J.S.; Cheng, Y.-S.; Sun, C.-K.; Wu, Y.-C.; Tu, Y.-K.; et al. High Dosage Omega-3 Fatty Acids Outperform Existing Pharmacological Options for Migraine Prophylaxis: A Network Meta-Analysis. Adv. Nutr. 2024, 15, 100163. [Google Scholar] [CrossRef]
- Sabet, H.; Abbas, A.; Ramadan, S.; Abouelmagd, M.E.; Abdul-Hamid, E.S.; Elbataa, A.; Elsakka, M.M.; Mansour, A.; El Din Moawad, M.H.; Ozge, A. Omega-3 Supplementation in Migraine Prophylaxis: An Updated Systematic Review and Meta-Analysis. PharmaNutrition 2025, 31, 100431. [Google Scholar] [CrossRef]
- García-Pérez-de-Sevilla, G.; González-de-la-Flor, Á. Impact of Fatty Acid Supplementation on Migraine Outcomes: A Systematic Review and Meta-analysis. Nutr. Rev. 2025, 83, 1621–1630. [Google Scholar] [CrossRef]
- Hajhashemy, Z.; Golpour-Hamedani, S.; Eshaghian, N.; Sadeghi, O.; Khorvash, F.; Askari, G. Practical supplements for prevention and management of migraine attacks: A narrative review. Front. Nutr. 2024, 11, 1433390. [Google Scholar] [CrossRef] [PubMed]
- Talandashti, M.K.; Shahinfar, H.; Delgarm, P.; Jazayeri, S. Effects of selected dietary supplements on migraine prophylaxis: A systematic review and dose-response meta-analysis of randomized controlled trials. Neurol. Sci. 2025, 46, 651–670. [Google Scholar] [CrossRef]
- Samaie, A.; Asghari, N.; Ghorbani, R.; Arda, J. Blood Magnesium levels in migraineurs within and between the headache attacks: A case control study. Pan Afr. Med. J. 2012, 11, 46. [Google Scholar]
- Soares, A.A.; Louçana, P.M.C.; Nasi, E.P.; Sousa, K.M.H.; Sá, O.M.S.; Silva-Néto, R.P. A double-blind, randomized, and placebo-controlled clinical trial with omega-3 polyunsaturated fatty acids (OPFA ω-3) for the prevention of migraine in chronic migraine patients using amitriptyline. Nutr. Neurosci. 2018, 21, 219–223. [Google Scholar] [CrossRef]
- Ceylan, M.; Bayraktutan, O.F.; Yücel, M.; Yücel, N.; Erdoğan, S.; Ulvi, H. Serum Pentraxin-3 Levels in Migraine. Acta Neurol. Belg. 2016, 116, 287–292. [Google Scholar]
- Yamanaka, G.; Suzuki, S.; Morishita, N.; Takeshita, M.; Kanou, K.; Takamatsu, T.; Suzuki, S.; Morichi, S.; Watanabe, Y.; Ishida, Y.; et al. Role of Neuroinflammation and Blood-Brain Barrier Permeability on Migraine. Int. J. Mol. Sci. 2021, 22, 8929. [Google Scholar] [CrossRef] [PubMed]
- Biscetti, L.; Cresta, E.; Cupini, L.M.; Calabresi, P.; Sarchielli, P. The putative role of neuroinflammation in the complex pathophysiology of migraine: From bench to bedside. Neurobiol. Dis. 2023, 180, 106072. [Google Scholar] [CrossRef]
- Liu, G.J.; Tao, T.; Zhang, X.S.; Lu, Y.; Wu, L.Y.; Gao, Y.Y.; Wang, H.; Dai, H.-B.; Zhou, Y.; Zhuang, Z.; et al. Resolvin D1 Attenuates Innate Immune Reactions in Experimental Subarachnoid Hemorrhage Rat Model. Mol. Neurobiol. 2021, 58, 1963–1977. [Google Scholar] [CrossRef]
- Wei, C.; Guo, S.; Liu, W.; Jin, F.; Wei, B.; Fan, H.; Su, H.; Liu, J.; Zhang, N.; Fang, D.; et al. Resolvin D1 ameliorates Inflammation-Mediated Blood-Brain Barrier Disruption After Subarachnoid Hemorrhage in rats by Modulating A20 and NLRP3 Inflammasome. Front. Pharmacol. 2021, 11, 610734. [Google Scholar] [CrossRef]
- Francos-Quijorna, I.; Santos-Nogueira, E.; Gronert, K.; Sullivan, A.B.; Kopp, M.A.; Brommer, B.; David, S.; Schwab, J.M.; López-Vales, R. Maresin 1 Promotes Inflammatory Resolution, Neuroprotection, and Functional Neurological Recovery After Spinal Cord Injury. J. Neurosci. 2017, 37, 11731–11743. [Google Scholar] [CrossRef] [PubMed]
- Xian, W.; Li, T.; Li, L.; Hu, L.; Cao, J. Maresin 1 attenuates the inflammatory response and mitochondrial damage in mice with cerebral ischemia/reperfusion in a SIRT1-dependent manner. Brain Res. 2019, 1711, 83–90. [Google Scholar] [CrossRef] [PubMed]
- Sandoval, C.; Nahuelqueo, K.; Mella, L.; Recabarren, B.; Souza-Mello, V.; Farías, J. Role of long-chain polyunsaturated fatty acids, eicosapentaenoic and docosahexaenoic, in the regulation of gene expression during the development of obesity: A systematic review. Front. Nutr. 2023, 10, 1288804. [Google Scholar] [CrossRef] [PubMed]
- Kotlyarov, S. Genetic and Epigenetic Regulation of Lipoxygenase Pathways and Reverse Cholesterol Transport in Atherogenesis. Genes 2022, 13, 1474. [Google Scholar] [CrossRef]
- Wang, H.F.; Liu, W.C.; Zailani, H.; Yang, C.C.; Chen, T.B.; Chang, C.M.; Tsai, I.J.; Yang, C.P.; Su, K.P. A 12-week randomized double-blind clinical trial of eicosapentaenoic acid intervention in episodic migraine. Brain Behav. Immun. 2024, 118, 459–467. [Google Scholar] [CrossRef]
- Xu, Z.Z.; Zhang, L.; Liu, T.; Park, J.Y.; Berta, T.; Yang, R.; Serhan, C.N.; Ji, R.-R. Resolvins RvE1 and RvD1 attenuate inflammatory pain via central and peripheral actions. Nat. Med. 2010, 16, 592–597. [Google Scholar] [CrossRef]
- Serhan, C.N.; Dalli, J.; Karamnov, S.; Choi, A.; Park, C.K.; Xu, Z.Z.; Ji, R.R.; Zhu, M.; Petasis, N.A. Macrophage proresolving mediator maresin 1 stimulates tissue regeneration and controls pain. FASEB J. 2012, 26, 1755–1765. [Google Scholar] [CrossRef]


| Variables | Migraine Group (n = 55) | Control Group (n = 53) | p-Value |
|---|---|---|---|
| Age | 38 (32–44) | 38 (31–45) | 0.540 |
| Gender | 0.437 | ||
| Male | 12 (21.8%) | 15 (28.3%) | |
| Female | 43 (78.2%) | 38 (71.7%) |
| Biomarker | Migraine Attack Group (n = 55) Median (IQR) | Migraine Interictal Group (n = 55) Median (IQR) | Control Group (n = 53) Median (IQR) | p-Value |
|---|---|---|---|---|
| RvD1 (ng/mL) | 5.84 (4.59–8.17) | — | 12.01 (6.59–26.25) | <0.001 |
| RvD1 (Interictal vs. Control) | — | 6.40 (5.69–10.84) | 12.01 (6.59–26.25) | 0.004 |
| RvD1 (Attack vs. Interictal) | 5.84 (4.59–8.17) | 6.40 (5.69–10.84) | — | 0.006 |
| MaR1 (pg/mL) | 339.20 (273.26–593.32) | — | 751.34 (391.95–1837.40) | <0.001 |
| MaR1 (Interictal vs. Control) | — | 417.03 (358.56–745.10) | 751.34 (391.95–1837.40) | 0.008 |
| MaR1 (Attack vs. Interictal) | 339.20 (273.26–593.32) | 417.03 (358.56–745.10) | — | 0.001 |
| Phase | Biomarker | Cut-off Value | Sensitivity % (95% CI) | Specificity % (95% CI) | PPV (95% CI) | NPV (95% CI) | AUC (95% CI) | p-Value |
|---|---|---|---|---|---|---|---|---|
| Attack Period | RvD1 | ≤8.51 ng/mL | 78.2 (65.0–88.2) | 66.0 (51.7–78.5) | 70.5 (56.8–83.3) | 74.5 (60.2–84.5) | 0.719 (0.624–0.801) | <0.001 |
| Attack Period | MaR1 | ≤460.02 pg/mL | 72.7 (59.0–83.9) | 71.7 (57.7–83.2) | 72.7 (58.9–83.9) | 71.7 (57.8–83.2) | 0.730 (0.636–0.811) | <0.001 |
| Interictal Period | RvD1 | ≤7.26 ng/mL | 65.5 (51.4–77.8) | 71.7 (57.7–83.2) | 70.6 (56.3–81.6) | 66.7 (52.8–79.6) | 0.662 (0.550–0.750) | 0.004 |
| Interictal Period | MaR1 | ≤564.91 pg/mL | 70.9 (57.1–82.4) | 67.9 (53.7–80.1) | 69.6 (55.7–81.5) | 69.2 (55.1–81.0) | 0.648 (0.631–0.737) | 0.009 |
Disclaimer/Publisher’s Note: The statements, opinions and data contained in all publications are solely those of the individual author(s) and contributor(s) and not of MDPI and/or the editor(s). MDPI and/or the editor(s) disclaim responsibility for any injury to people or property resulting from any ideas, methods, instructions or products referred to in the content. |
© 2025 by the authors. Licensee MDPI, Basel, Switzerland. This article is an open access article distributed under the terms and conditions of the Creative Commons Attribution (CC BY) license (https://creativecommons.org/licenses/by/4.0/).
Share and Cite
Koç, M.; Gökmuharremoğlu, Ö.Ö.; Çalışgan, N.C. Serum Resolvin D1 and Maresin 1 Levels During Migraine Attacks and the Interictal Period: A Paired Analysis in Emergency Department Patients. Biomedicines 2025, 13, 2980. https://doi.org/10.3390/biomedicines13122980
Koç M, Gökmuharremoğlu ÖÖ, Çalışgan NC. Serum Resolvin D1 and Maresin 1 Levels During Migraine Attacks and the Interictal Period: A Paired Analysis in Emergency Department Patients. Biomedicines. 2025; 13(12):2980. https://doi.org/10.3390/biomedicines13122980
Chicago/Turabian StyleKoç, Miraç, Özge Özen Gökmuharremoğlu, and Neslihan Cihan Çalışgan. 2025. "Serum Resolvin D1 and Maresin 1 Levels During Migraine Attacks and the Interictal Period: A Paired Analysis in Emergency Department Patients" Biomedicines 13, no. 12: 2980. https://doi.org/10.3390/biomedicines13122980
APA StyleKoç, M., Gökmuharremoğlu, Ö. Ö., & Çalışgan, N. C. (2025). Serum Resolvin D1 and Maresin 1 Levels During Migraine Attacks and the Interictal Period: A Paired Analysis in Emergency Department Patients. Biomedicines, 13(12), 2980. https://doi.org/10.3390/biomedicines13122980

