Preliminary Evidence of Biological and Cognitive Efficacy of Prismatic Adaptation Combined with Cognitive Training on Patients with Mild Cognitive Impairment
Abstract
1. Introduction
2. Materials and Methods
2.1. Participants
2.2. Cognitive and Clinical Assessment
2.3. Intervention
2.4. Blood Samples Collection and Serum Isolation
2.5. Brian-Derived Neurotrophic Factor (BDNF) Assay
2.6. Statistical Analysis
3. Results
3.1. Sociodemographic and Baseline Characteristics of the Sample
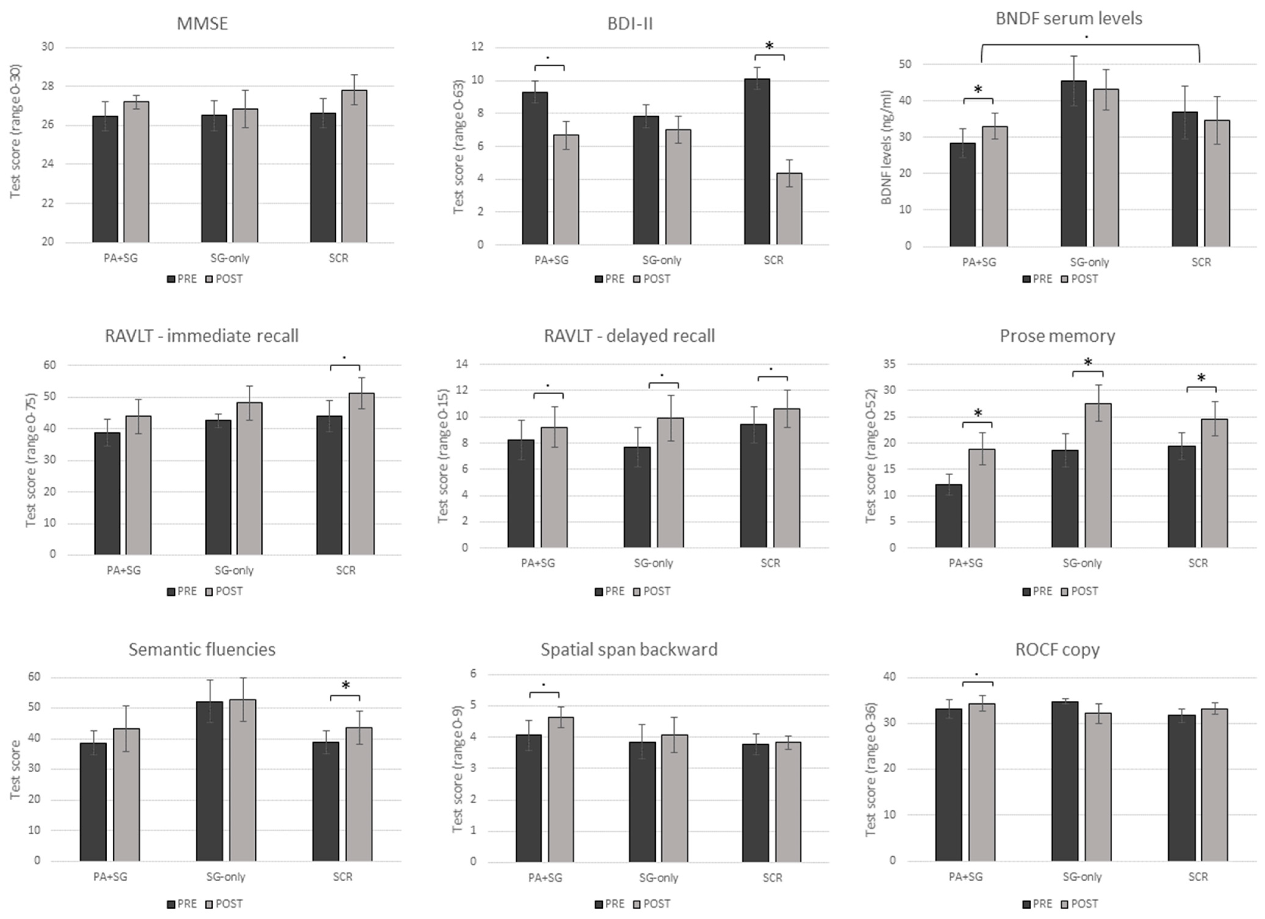
3.2. Post-Treatment Cognitive Changes
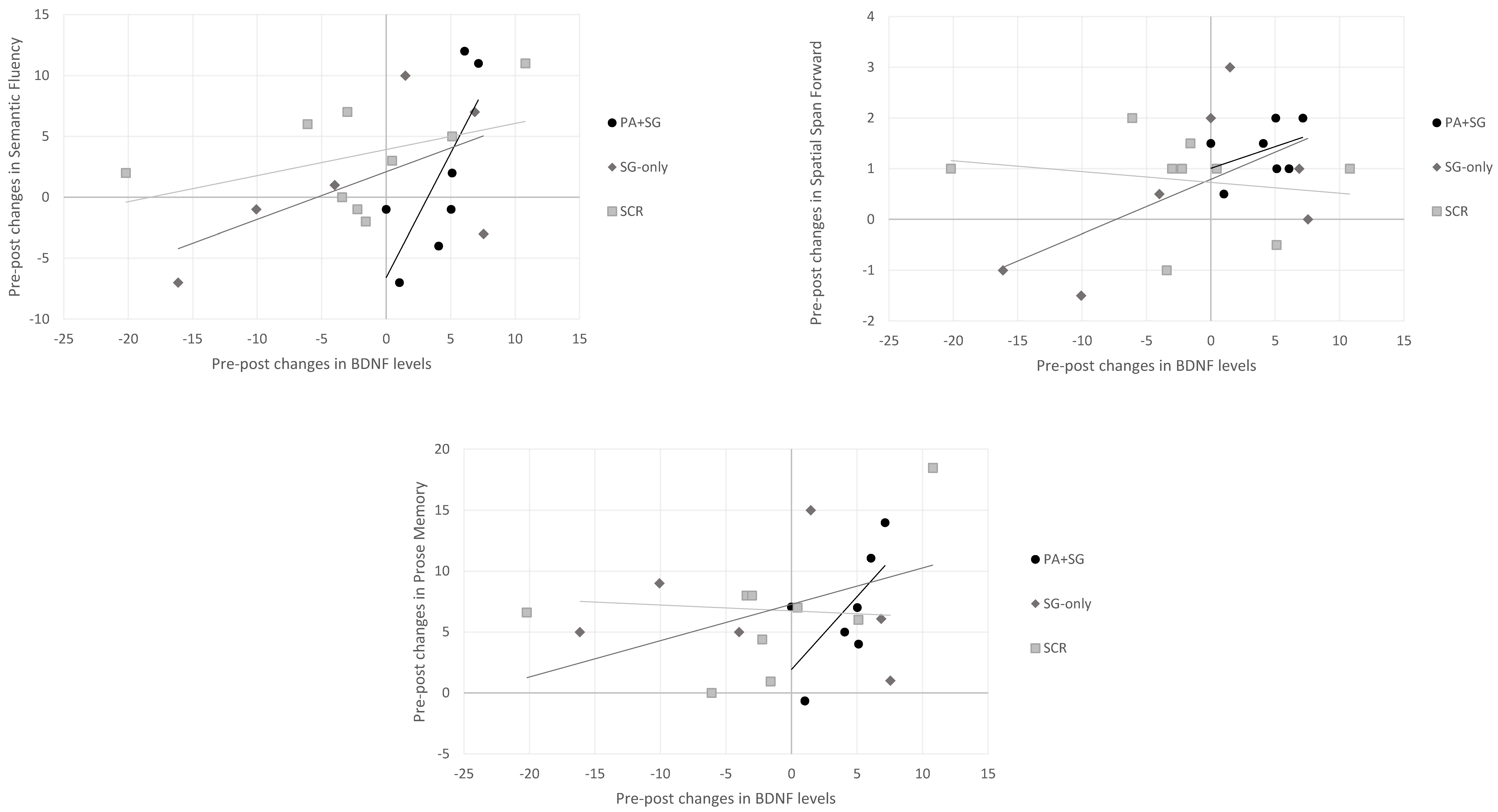
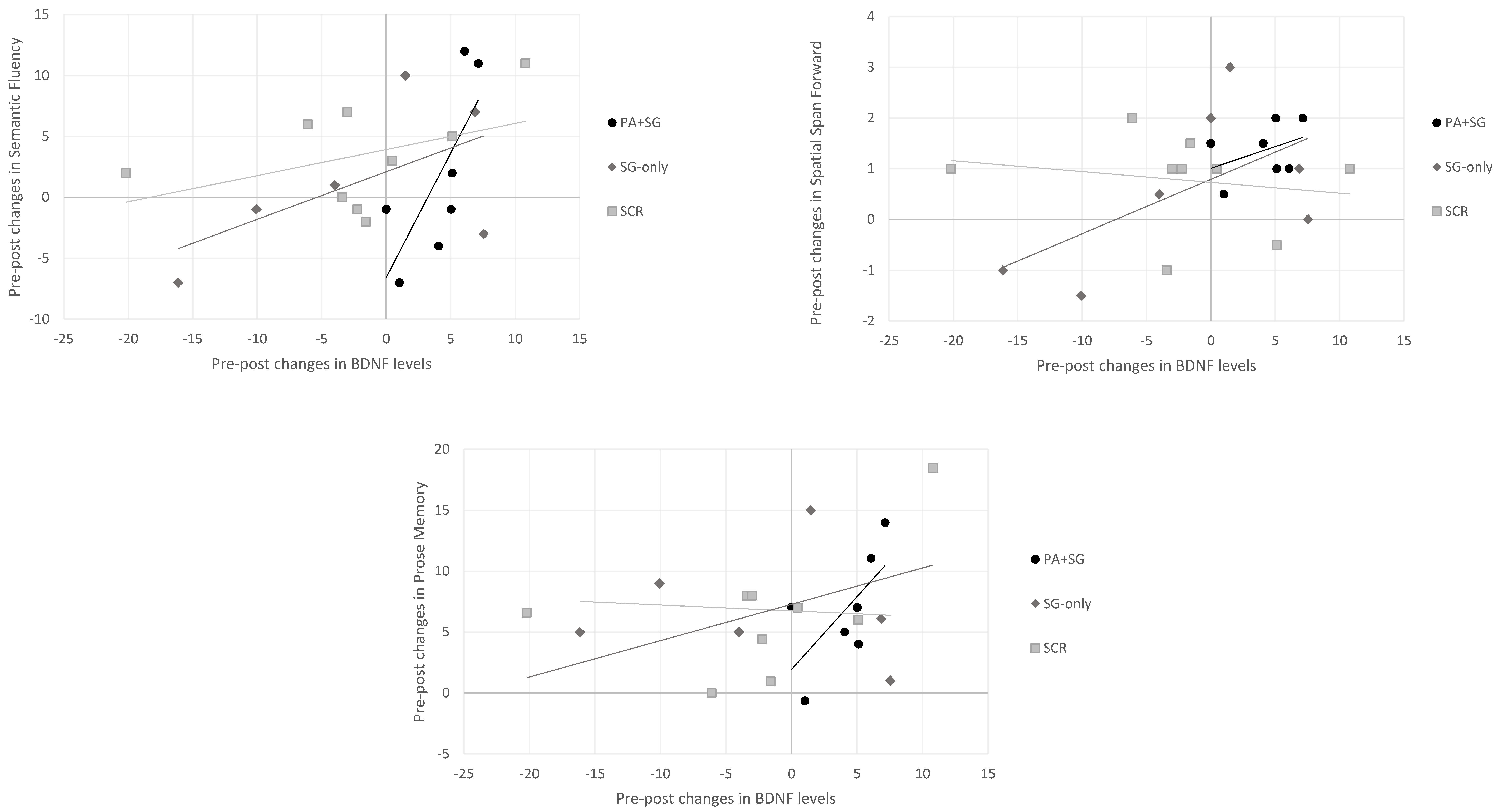
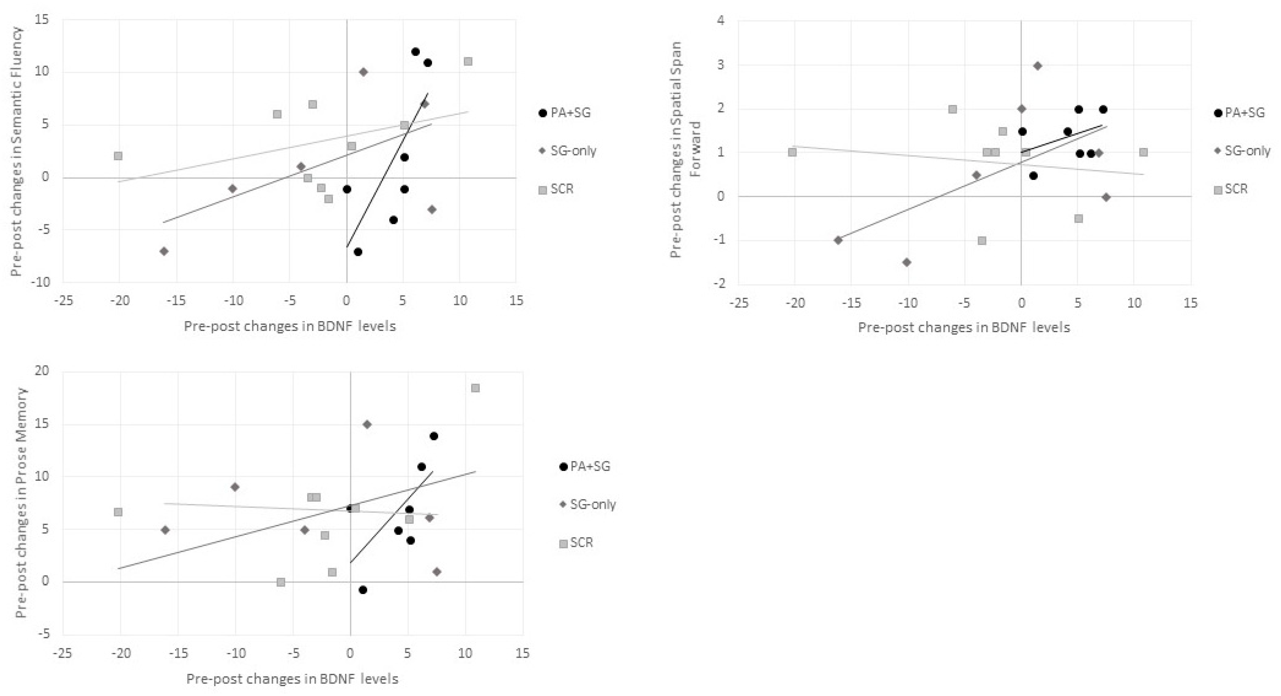
3.3. Association Between Changes in BDNF Serum Levels, Demographic Characteristics, and Cognitive Performances
4. Discussion
5. Conclusions
Supplementary Materials
Author Contributions
Funding
Institutional Review Board Statement
Informed Consent Statement
Data Availability Statement
Acknowledgments
Conflicts of Interest
Abbreviations
| PA | Prismatic Adaptation |
| SGs | Serious Games |
| MCI | Mild Cognitive Impairment |
| BDNF | Brain-Derived Neurotrophic Factor |
| SCR | Standard Cognitive Rehabilitation |
| AD | Alzheimer’s Disease |
| PD | Parkinson’s Disease |
| NIBS | Non-Invasive Brain Stimulation |
| TMS | Transcranial Magnetic Stimulation |
| tDCS | Transcranial Direct Current Stimulation |
| MMSE | Mini-Mental State Examination |
| TMT | Trail Making Test |
| CDT | Clock Drawing Test |
| RAVLT | Rey Auditory Verbal Learning Test |
| ROCF | Rey–Osterrieth Complex Figure |
| STAI-Y | State-Trait Anxiety Inventory |
| BDI-II | Beck Depression Inventory |
References
- Gauthier, S.; Reisberg, B.; Zaudig, M.; Petersen, R.C.; Ritchie, K.; Broich, K.; Belleville, S.; Brodaty, H.; Bennett, D.; Chertkow, H.; et al. Mild cognitive impairment. Lancet 2006, 367, 1262–1270. [Google Scholar] [CrossRef]
- Petersen, R.C. Mild cognitive impairment as a diagnostic entity. J. Intern. Med. 2004, 256, 183–194. [Google Scholar] [CrossRef]
- Overton, M.; Pihlsgård, M.; Elmståhl, S. Prevalence and incidence of mild cognitive impairment across subtypes, age, and sex. Dement. Geriatr. Cogn. Disord. 2019, 47, 219–232. [Google Scholar] [CrossRef] [PubMed]
- Ravaglia, G.; Forti, P.; Montesi, F.; Lucicesare, A.; Pisacane, N.; Rietti, E.; Dalmonte, E.; Bianchin, M.; Mecocci, P. Mild cognitive impairment: Epidemiology and Dementia risk in an elderly Italian population. J. Am. Geriatr. Soc. 2007, 56, 51–58. [Google Scholar] [CrossRef] [PubMed]
- Petersen, R.C. Mild cognitive impairment. Contin. lifelong Learn. Neurol. 2016, 22, 404–418. [Google Scholar] [CrossRef] [PubMed]
- Glynn, K.; O’CAllaghan, M.; Hannigan, O.; Bruce, I.; Gibb, M.; Coen, R.; Green, E.; A Lawlor, B.; Robinson, D. Clinical utility of mild cognitive impairment subtypes and number of impaired cognitive domains at predicting progression to dementia: A 20-year retrospective study. Int. J. Geriatr. Psychiatry 2021, 36, 31–37. [Google Scholar] [CrossRef]
- Consortium for the Early Identification of Alzheimer’s disease-Quebec; Belleville, S.; Fouquet, C.; Hudon, C.; Zomahoun, H.T.V.; Croteau, J. Neuropsychological measures that predict progression from mild cognitive impairment to Alzheimer’s type dementia in older adults: A systematic review and meta-analysis. Neuropsychol. Rev. 2017, 27, 328–353. [Google Scholar] [CrossRef]
- Benavides-Varela, S.; Burgio, F.; Meneghello, F.; De Marco, M.; Arcara, G.; Rigon, J.; Pilosio, C.; Butterworth, B.; Venneri, A.; Semenza, C. Anatomical substrates and neurocognitive predictors of daily numerical abilities in mild cognitive impairment. Cortex 2015, 71, 58–67. [Google Scholar] [CrossRef]
- Burgio, F.; Filippini, N.; Weis, L.; Danesin, L.; Ferrazzi, G.; Garon, M.; Biundo, R.; Facchini, S.; Antonini, A.; Benavides-Varela, S.; et al. Neurocognitive correlates of numerical abilities in Parkinson’s disease. Neurol. Sci. 2022, 43, 5313–5322. [Google Scholar] [CrossRef]
- Corbo, I.; Casagrande, M. Higher-level executive functions in healthy elderly and mild cognitive impairment: A systematic review. J. Clin. Med. 2022, 11, 1204. [Google Scholar] [CrossRef]
- World Health Organization. Global Strategy and Action Plan on Ageing and Health (2016–2020); World Health Organization: Geneva, Switzerland, 2016.
- Huckans, M.; Hutson, L.; Twamley, E.; Jak, A.; Kaye, J.; Storzbach, D. Efficacy of cognitive rehabilitation therapies for mild cognitive impairment (MCI) in older adults: Working toward a theoretical model and evidence-based interventions. Neuropsychol. Rev. 2013, 23, 63–80. [Google Scholar] [CrossRef]
- Giustiniani, A.; Maistrello, L.; Danesin, L.; Rigon, E.; Burgio, F. Effects of cognitive rehabilitation in Parkinson disease: A meta-analysis. Neurol. Sci. 2022, 43, 2323–2337. [Google Scholar] [CrossRef]
- Reijnders, J.; van Heugten, C.; van Boxtel, M. Cognitive interventions in healthy older adults and people with mild cognitive impairment: A systematic review. Ageing Res. Rev. 2013, 12, 263–275. [Google Scholar] [CrossRef]
- Hill, N.T.M.; Mowszowski, L.; Naismith, S.L.; Chadwick, V.L.; Valenzuela, M.; Lampit, A. computerized cognitive training in older adults with mild cognitive impairment or dementia: A systematic review and meta-analysis. Am. J. Psychiatry 2017, 174, 329–340. [Google Scholar] [CrossRef] [PubMed]
- Dörner, R.; Göbel, S.; Effelsberg, W.; Wiemeyer, J. Serious Games; Springer: Berlin/Heidelberg, Germany, 2016. [Google Scholar]
- van der Kuil, M.; Evers, A.; Visser-Meily, A.; van der Ham, I. Serious games in cognitive rehabilitation of spatial navigation impairment. Ann. Phys. Rehabilitation Med. 2018, 61, e91. [Google Scholar] [CrossRef]
- Oliva-Pascual-Vaca, A.; Kiper, P.; Rodríguez-Blanco, C.; Agostini, M.; Turolla, A.; Luque-Moreno, C. Virtual reality to assess and treat lower extremity disorders in post-stroke patients. Methods Inf. Med. 2016, 55, 89–92. [Google Scholar] [CrossRef] [PubMed]
- Cirillo, G.; Di Pino, G.; Capone, F.; Ranieri, F.; Florio, L.; Todisco, V.; Tedeschi, G.; Funke, K.; Di Lazzaro, V. Neurobiological after-effects of non-invasive brain stimulation. Brain Stimul. 2017, 10, 1–18. [Google Scholar] [CrossRef]
- Miniussi, C.; Vallar, G. Brain stimulation and behavioural cognitive rehabilitation: A new tool for neurorehabilitation? Neuropsychol. Rehabilitation 2011, 21, 553–559. [Google Scholar] [CrossRef]
- Giustiniani, A.; Maistrello, L.; Mologni, V.; Danesin, L.; Burgio, F. TMS and tDCS as potential tools for the treatment of cognitive deficits in Parkinson’s disease: A meta-analysis. Neurol. Sci. 2024, 46, 579–592. [Google Scholar] [CrossRef]
- Miniussi, C.; Rossini, P.M. Transcranial magnetic stimulation in cognitive rehabilitation. Neuropsychol. Rehabilitation 2011, 21, 579–601. [Google Scholar] [CrossRef]
- Cheng, T.-C.; Huang, S.-F.; Wu, S.-Y.; Lin, F.-G.; Lin, W.-S.; Tsai, P.-Y. Integration of virtual reality into transcranial magnetic stimulation improves cognitive function in patients with Parkinson’s disease with cognitive impairment: A proof-of-concept study. J. Park. Dis. 2022, 12, 723–736. [Google Scholar] [CrossRef] [PubMed]
- Yang, T.; Liu, W.; He, J.; Gui, C.; Meng, L.; Xu, L.; Jia, C. The cognitive effect of non-invasive brain stimulation combined with cognitive training in Alzheimer’s disease and mild cognitive impairment: A systematic review and meta-analysis. Alzheimer’s Res. Ther. 2024, 16, 140. [Google Scholar] [CrossRef] [PubMed]
- Magnani, B.; Caltagirone, C.; Oliveri, M. Prismatic adaptation as a novel tool to directionally modulate motor cortex excitability: Evidence from paired-pulse TMS. Brain Stimul. 2014, 7, 573–579. [Google Scholar] [CrossRef] [PubMed]
- Bracco, M.; Mangano, G.R.; Turriziani, P.; Smirni, D.; Oliveri, M. Combining tDCS with prismatic adaptation for non-invasive neuromodulation of the motor cortex. Neuropsychologia 2017, 101, 30–38. [Google Scholar] [CrossRef]
- Prablanc, C.; Panico, F.; Fleury, L.; Pisella, L.; Nijboer, T.; Kitazawa, S.; Rossetti, Y. Adapting terminology: Clarifying prism adaptation vocabulary, concepts, and methods. Neurosci. Res. 2020, 153, 8–21. [Google Scholar] [CrossRef]
- Redding, G.M.; Wallace, B. Prism adaptation and unilateral neglect: Review and analysis. Neuropsychologia 2006, 44, 1–20. [Google Scholar] [CrossRef]
- Li, J.; Li, L.; Yang, Y.; Chen, S. Effect of prism adaptation for unilateral spatial neglect after stroke: A systematic review and meta-analysis. Am. J. Phys. Med. Rehabil. 2021, 100, 584–591. [Google Scholar] [CrossRef]
- Panico, F.; Arini, A.; Cantone, P.; Crisci, C.; Trojano, L. Integrating visual search, eye movement training and reversing prism exposure in the treatment of Balint-Holmes syndrome: A single case report. Top. Stroke Rehabilitation 2021, 29, 280–285. [Google Scholar] [CrossRef]
- Bonnet, C.; Poulin-Charronnat, B.; Vinot, C.; Bard, P.; Michel, C. Cross-modal aftereffects of visuo-manual prism adaptation: Transfer to auditory divided attention in healthy subjects. Neuropsychology 2022, 36, 64–74. [Google Scholar] [CrossRef]
- Turriziani, P.; Campo, F.F.; Bonaventura, R.E.; Mangano, G.R.; Oliveri, M. Modulation of memory by prism adaptation in healthy subjects. Sci. Rep. 2024, 14, 25358. [Google Scholar] [CrossRef]
- Martín-Arévalo, E.; Schintu, S.; Farnè, A.; Pisella, L.; Reilly, K.T. Adaptation to leftward shifting prisms alters motor interhemispheric inhibition. Cereb. Cortex 2018, 28, 528–537. [Google Scholar] [CrossRef]
- Turriziani, P.; Chiaramonte, G.; Mangano, G.R.; Bonaventura, R.E.; Smirni, D.; Oliveri, M. Improvement of phonemic fluency following leftward prism adaptation. Sci. Rep. 2021, 11, 7313. [Google Scholar] [CrossRef]
- Oliveri, M.; Bagnato, S.; Rizzo, S.; Imbornone, E.; Giustiniani, A.; Catania, A.; Turriziani, P. A novel digital approach for post-stroke cognitive deficits: A pilot study. Restor. Neurol. Neurosci. 2023, 41, 103–113. [Google Scholar] [CrossRef]
- Wilf, M.; Serino, A.; Clarke, S.; Crottaz-Herbette, S. Prism adaptation enhances decoupling between the default mode network and the attentional networks. NeuroImage 2019, 200, 210–220. [Google Scholar] [CrossRef] [PubMed]
- Boukrina, O.; Chen, P. Neural mechanisms of prism adaptation in healthy adults and individuals with spatial neglect after unilateral stroke: A review of fMRI studies. Brain Sci. 2021, 11, 1468. [Google Scholar] [CrossRef] [PubMed]
- Schintu, S.; Freedberg, M.; Gotts, S.J.; Cunningham, C.A.; Alam, Z.M.; Shomstein, S.; Wassermann, E.M. Prism adaptation modulates connectivity of the intraparietal sulcus with multiple brain networks. Cereb. Cortex 2020, 30, 4747–4758. [Google Scholar] [CrossRef]
- Paulsen, J.S.; Butters, N.; Salmon, D.P.; Heindel, W.C.; Swenson, M.R. Prism adaptation in Alzheimer’s and Huntington’s disease. Neuropsychology 1993, 7, 73. [Google Scholar] [CrossRef]
- Swainson, A.; Woodward, K.M.; Boca, M.; Rolinski, M.; Collard, P.; Cerminara, N.L.; Apps, R.; Whone, A.L.; Gilchrist, I.D. Slower rates of prism adaptation but intact aftereffects in patients with early to mid-stage Parkinson’s disease. Neuropsychologia 2023, 189, 108681. [Google Scholar] [CrossRef]
- Komulainen, P.; Pedersen, M.; Hänninen, T.; Bruunsgaard, H.; Lakka, T.A.; Kivipelto, M.; Hassinen, M.; Rauramaa, T.H.; Pedersen, B.K.; Rauramaa, R. BDNF is a novel marker of cognitive function in ageing women: The DR’s EXTRA Study. Neurobiol. Learn. Mem. 2008, 90, 596–603. [Google Scholar] [CrossRef]
- Miranda, M.; Morici, J.F.; Zanoni, M.B.; Bekinschtein, P. Brain-derived neurotrophic factor: A key molecule for memory in the healthy and the pathological brain. Front. Cell. Neurosci. 2019, 13, 363. [Google Scholar] [CrossRef]
- Leal, G.; Afonso, P.M.; Salazar, I.L.; Duarte, C.B. Regulation of hippocampal synaptic plasticity by BDNF. Brain Res. 2015, 1621, 82–101. [Google Scholar] [CrossRef]
- Weinstein, G.; Beiser, A.S.; Choi, S.H.; Preis, S.R.; Chen, T.C.; Vorgas, D.; Au, R.; Pikula, A.; Wolf, P.A.; DeStefano, A.L.; et al. Serum brain-derived neurotrophic factor and the risk for dementia: The Framingham Heart Study. JAMA Neurol. 2014, 71, 55–61. [Google Scholar] [CrossRef] [PubMed]
- Angelucci, F.; Peppe, A.; Carlesimo, G.A.; Serafini, F.; Zabberoni, S.; Barban, F.; Shofany, J.; Caltagirone, C.; Costa, A. A pilot study on the effect of cognitive training on BDNF serum levels in individuals with Parkinson’s disease. Front. Hum. Neurosci. 2015, 9, 130. [Google Scholar] [CrossRef] [PubMed]
- Nicastri, C.M.; McFeeley, B.M.; Simon, S.S.; Ledreux, A.; Håkansson, K.; Granholm, A.; Mohammed, A.H.; Daffner, K.R. BDNF mediates improvement in cognitive performance after computerized cognitive training in healthy older adults. Alzheimer’s Dementia: Transl. Res. Clin. Interv. 2022, 8, e12337. [Google Scholar] [CrossRef] [PubMed]
- Angelucci, F.; Spalletta, G.; Di Iulio, F.; Ciaramella, A.; Salani, F.; Colantoni, L.; Varsi, A.E.; Gianni, W.; Sancesario, G.; Caltagirone, C.; et al. Alzheimers Disease (AD) and Mild Cognitive Impairment (MCI) Patients are Characterized by Increased BDNF Serum Levels. Curr. Alzheimer Res. 2010, 7, 15–20. [Google Scholar] [CrossRef]
- Damirchi, A.; Hosseini, F.; Babaei, P. Mental training enhances cognitive function and BDNF more than either physical or combined training in elderly women with MCI: A small-scale study. Am. J. Alzheimer’s Dis. Other Dementiasr 2017, 33, 20–29. [Google Scholar] [CrossRef]
- Litvan, I.; Aarsland, D.; Adler, C.H.; Goldman, J.G.; Kulisevsky, J.; Mollenhauer, B.; Rodriguez--Oroz, M.C.; Tröster, A.I.; Weintraub, D. MDS task force on mild cognitive impairment in Parkinson’s disease: Critical review of PD-MCI. Mov. Disord. 2011, 26, 1814–1824. [Google Scholar] [CrossRef]
- Rosenthal, R. Effect sizes: Pearson’s correlation, its display via the BESD, and alternative indices. Am. Psychol. 1991, 46, 1086–1087. [Google Scholar] [CrossRef]
- Frassinetti, F.; Angeli, V.; Meneghello, F.; Avanzi, S.; Làdavas, E. Long-lasting amelioration of visuospatial neglect by prism adaptation. Brain 2002, 125, 608–623. [Google Scholar] [CrossRef]
- Tsujimoto, K.; Mizuno, K.; Nishida, D.; Tahara, M.; Yamada, E.; Shindo, S.; Kasuga, S.; Liu, M. Prism adaptation changes resting-state functional connectivity in the dorsal stream of visual attention networks in healthy adults: A fMRI study. Cortex 2019, 119, 594–605. [Google Scholar] [CrossRef]
- Chun, M.M.; Turk-Browne, N.B. Interactions between attention and memory. Curr. Opin. Neurobiol. 2007, 17, 177–184. [Google Scholar] [CrossRef]
- Cowan, N.; Elliott, E.M.; Saults, J.S.; Morey, C.C.; Mattox, S.; Hismjatullina, A.; Conway, A.R. On the capacity of attention: Its estimation and its role in working memory and cognitive aptitudes. Cogn. Psychol. 2005, 51, 42–100. [Google Scholar] [CrossRef]
- Oliveri, M.; Bagnato, S.; Rizzo, S.; Imbornone, E.; Turriziani, P. Prism adaptation combined with serious games for improving visual-constructive abilities in stroke patients: Randomized clinical trial. Front. Digit. Health 2025, 7, 1425410. [Google Scholar] [CrossRef] [PubMed]
- Hadoush, H.; A Banihani, S.; Khalil, H.; Al-Qaisi, Y.; Al-Sharman, A.; Al-Jarrah, M. Dopamine, BDNF and motor function postbilateral anodal transcranial direct current stimulation in Parkinson’s Disease. Neurodegener. Dis. Manag. 2018, 8, 171–179. [Google Scholar] [CrossRef] [PubMed]
- McDonnell, M.; Dill, L.; Panos, S.; Amano, S.; Brown, W.; Giurgius, S.; Small, G.; Miller, K. Verbal fluency as a screening tool for mild cognitive impairment. Int. Psychogeriatrics 2020, 32, 1055–1062. [Google Scholar] [CrossRef] [PubMed]
- Nucci, M.; Mapelli, D.; Mondini, S. Cognitive Reserve Index questionnaire (CRIq): A new instrument for measuring cognitive reserve. Aging Clin. Exp. Res. 2012, 24, 218–226. [Google Scholar] [CrossRef]
- Stern, Y. Cognitive reserve. Neuropsychologia 2009, 47, 2015–2028. [Google Scholar] [CrossRef]
- Allegri, R.F.; Taragano, F.E.; Krupitzki, H.; Serrano, C.M.; Dillon, C.; Sarasola, D.; Feldman, M.; Tufró, G.; Martelli, M.; Sanchez, V. Role of cognitive reserve in progression from mild cognitive impairment to dementia. Dement. Neuropsychol. 2010, 4, 28–34. [Google Scholar] [CrossRef]
- Poletti, M.; Emre, M.; Bonuccelli, U. Mild cognitive impairment and cognitive reserve in Parkinson’s disease. Park. Relat. Disord. 2011, 17, 579–586. [Google Scholar] [CrossRef]
- Erickson, K.I.; Miller, D.L.; Roecklein, K.A. The aging hippocampus: Interactions between exercise, depression, and BDNF. NeuroSci 2012, 18, 82–97. [Google Scholar] [CrossRef]
- Egan, M.F.; Kojima, M.; Callicott, J.H.; Goldberg, T.E.; Kolachana, B.S.; Bertolino, A.; Zaitsev, E.; Gold, B.; Goldman, D.; Dean, M.; et al. The BDNF val66met polymorphism affects activity-dependent secretion of BDNF and human memory and hippocampal function. Cell 2003, 112, 257–269. [Google Scholar] [CrossRef]
- Glud, M.; Christiansen, T.; Larsen, L.H.; Richelsen, B.; Bruun, J.M. Changes in circulating BDNF in relation to sex, diet, and exercise: A 12-week randomized controlled study in overweight and obese participants. J. Obes. 2019, 2019, 1–7. [Google Scholar] [CrossRef]
- Huang, T.; Larsen, K.T.; Ried--Larsen, M.; Møller, N.C.; Andersen, L. The effects of physical activity and exercise on brain-derived neurotrophic factor in healthy humans: A review. Scand. J. Med. Sci. Sports 2014, 24, 1–10. [Google Scholar] [CrossRef]




| Characteristics | Whole Sample (n = 23) | PA+SG (n = 7) | SG-Only (n = 7) | SCR (n = 9) | H/X2 (p-Value) |
|---|---|---|---|---|---|
| Age, years (SD) | 73.91 (8.00) | 72.43 (11.12) | 72.14 (8.47) | 76.44 (4.19) | 0.795 (0.672) |
| Education, years (SD) | 10.43 (3.09) | 12.71 (0.76) | 9.43 (2.99) | 9.44 (3.54) | 5.253 (0.072) |
| Gender, n. females (%) | 9 (39.1) | 2 (28.6) | 3 (42.9) | 4 (44.4) | 0.475 (0.789) |
| MCI pathology, n. AD (%) | 11 (47.8) | 3 (42.9) | 3 (42.9) | 5 (55.6) | 1.168 (0.558) |
| MCI type, n. single-domain (%) | 8 (34.8) | 2 (28.6) | 3 (42.9) | 3 (33.3) | 0.329 (0.849) |
| Domain | Test/Scale | PA+SG | SG | SCR | |||
|---|---|---|---|---|---|---|---|
| T0 | T1 | T0 | T1 | T0 | T1 | ||
| General cognitive functioning | MMSE | 26.46 (2.01) | 27.20 (0.91) | 26.50 (2.10) | 26.84 (2.56) | 26.64 (2.21) | 27.82 (2.34) |
| Attention | TMT-A | 44.57 (21.95) | 35.29 (38.61) | 37.17 (30.24) | 34.83 (26.81) | 42.78 (34.91) | 37.33 (31.69) |
| TMT-B | 113.0 (73.45) | 134.0 (91.75) | 71.8 (114.03) | 95.6 (78.02) | 92.25 (76.96) | 109.5 (98.59) | |
| Executive function | Phonological Fluency | 33.90 (15.86) | 38.87 (25.30) | 38.13 (8.93) | 37.73 (12.45) | 32.46 (11.53) | 35.56 (9.40) |
| Stroop test-n. errors | 0.57 (1.77) | 0.321 (0.59) | 3.58 (7.01) | 3.21 (5.51) | 0.78 (1.35) | 2.056 (3.48) | |
| Stroop test-time | 27.07 (28.84) | 15.00 (6.64) | 12.08 (10.76) | 18.68 (16.20) | 23.42 (16.16) | 20.89 (15.13) | |
| CDT | 8.14 (2.27) | 8.21 (1.50) | 7.20 (4.09) | 8.33 (3.60) | 8.19 (2.31) | 9.06 (0.77) | |
| Digit span backward | 4.23 (1.11) | 3.79 (0.86) | 4.00 (0.82) | 4.14 (0.90) | 4.00 (0.97) | 3.67 (1.12) | |
| Spatial span backward | 4.07 (1.27) | 4.64 (0.85) | 3.86 (1.46) | 4.07 (1.48) | 3.78 (1.00) | 3.83 (0.66) | |
| Memory | Digit span forward | 5.57 (0.73) | 5.43 (1.54) | 5.93 (1.64) | 5.29 (0.81) | 4.78 (1.28) | 5.17 (1.20) |
| Spatial span forward | 4.29 (0.93) | 4.71 (0.81) | 4.29 (1.41) | 4.86 (1.57) | 3.94 (0.88) | 4.72 (0.51) | |
| RAVLT-immediate recall | 38.73 (11.15) | 43.97 (14.27) | 42.58 (5.79) | 48.20 (14.61) | 44.04 (15.15) | 51.26 (14.73) | |
| RAVLT-delayed recall | 8.27 (3.95) | 9.23 (4.03) | 7.72 (3.97) | 9.89 (4.65) | 9.41 (4.13) | 10.63 (4.25) | |
| ROCF-recall | 14.18 (8.28) | 17.00 (9.40) | 16.04 (7.24) | 17.50 (8.98) | 16.06 (4.85) | 18.46 (7.49) | |
| Prose memory | |||||||
| Language | Semantic fluency | 33.86 (17.85) | 35.57 (17.86) | 38.33 (8.76) | 39.50 (14.75) | 36.67 (11.15) | 40.11 (10.88) |
| Visuospatial Abilities | ROCF-copy | 33.07 (5.29) | 34.32 (4.55) | 34.71 (1.50) | 32.12 (5.69) | 31.67 (4.47) | 33.21 (3.86) |
| Clinical scales | STAI-Y2 | 34.86 (8.23) | 38.00 (6.26) | 36.33 (10.46) | 34.00 (5.57) | 40.67 (11.14) | 40.78 (12.03) |
| BDI-II | 9.29 (3.90) | 6.67 (3.88) | 7.83 (4.26) | 7.00 (6.38) | 10.13 (4.52) | 4.38 (4.24) | |
| IADL | 6.71 (1.70) | 7.17 (1.17) | 5.00 (2.16) | 5.80 (1.48) | 5.75 (2.06) | 5.83 (1.60) | |
| Biological variables | BDNF | 28.27 (10.51) | 33.01 (9.30) | 45.54 (18.02) | 43.15 (14.67) | 36.82 (21.98) | 34.57 (19.73) |
Disclaimer/Publisher’s Note: The statements, opinions and data contained in all publications are solely those of the individual author(s) and contributor(s) and not of MDPI and/or the editor(s). MDPI and/or the editor(s) disclaim responsibility for any injury to people or property resulting from any ideas, methods, instructions or products referred to in the content. |
© 2025 by the authors. Licensee MDPI, Basel, Switzerland. This article is an open access article distributed under the terms and conditions of the Creative Commons Attribution (CC BY) license (https://creativecommons.org/licenses/by/4.0/).
Share and Cite
Danesin, L.; D’Este, G.; Barresi, R.; Piazzalunga, E.; Di Garbo, A.; Giustiniani, A.; Semenza, C.; Bottini, G.; Oliveri, M.; Burgio, F. Preliminary Evidence of Biological and Cognitive Efficacy of Prismatic Adaptation Combined with Cognitive Training on Patients with Mild Cognitive Impairment. Biomedicines 2025, 13, 2447. https://doi.org/10.3390/biomedicines13102447
Danesin L, D’Este G, Barresi R, Piazzalunga E, Di Garbo A, Giustiniani A, Semenza C, Bottini G, Oliveri M, Burgio F. Preliminary Evidence of Biological and Cognitive Efficacy of Prismatic Adaptation Combined with Cognitive Training on Patients with Mild Cognitive Impairment. Biomedicines. 2025; 13(10):2447. https://doi.org/10.3390/biomedicines13102447
Chicago/Turabian StyleDanesin, Laura, Giorgia D’Este, Rita Barresi, Elena Piazzalunga, Agnese Di Garbo, Andreina Giustiniani, Carlo Semenza, Gabriella Bottini, Massimiliano Oliveri, and Francesca Burgio. 2025. "Preliminary Evidence of Biological and Cognitive Efficacy of Prismatic Adaptation Combined with Cognitive Training on Patients with Mild Cognitive Impairment" Biomedicines 13, no. 10: 2447. https://doi.org/10.3390/biomedicines13102447
APA StyleDanesin, L., D’Este, G., Barresi, R., Piazzalunga, E., Di Garbo, A., Giustiniani, A., Semenza, C., Bottini, G., Oliveri, M., & Burgio, F. (2025). Preliminary Evidence of Biological and Cognitive Efficacy of Prismatic Adaptation Combined with Cognitive Training on Patients with Mild Cognitive Impairment. Biomedicines, 13(10), 2447. https://doi.org/10.3390/biomedicines13102447

