Trajectory of Irisin as a Predictor of Kidney-Related Outcomes in Patients with Asymptomatic Heart Failure
Abstract
1. Introduction
2. Materials and Methods
2.1. Patient Population and Study Design
2.2. Collection of Relevant Medical Data and Background Information
2.3. Echocardiography Examination
2.4. Determination of Composite Kidney Outcomes
2.5. Blood Sampling
2.6. Biomarker Analysis
2.7. Glomerular Filtration Rate and Insulin Resistance Determination
2.8. Statistics
3. Results
3.1. General Characteristics of the Patients
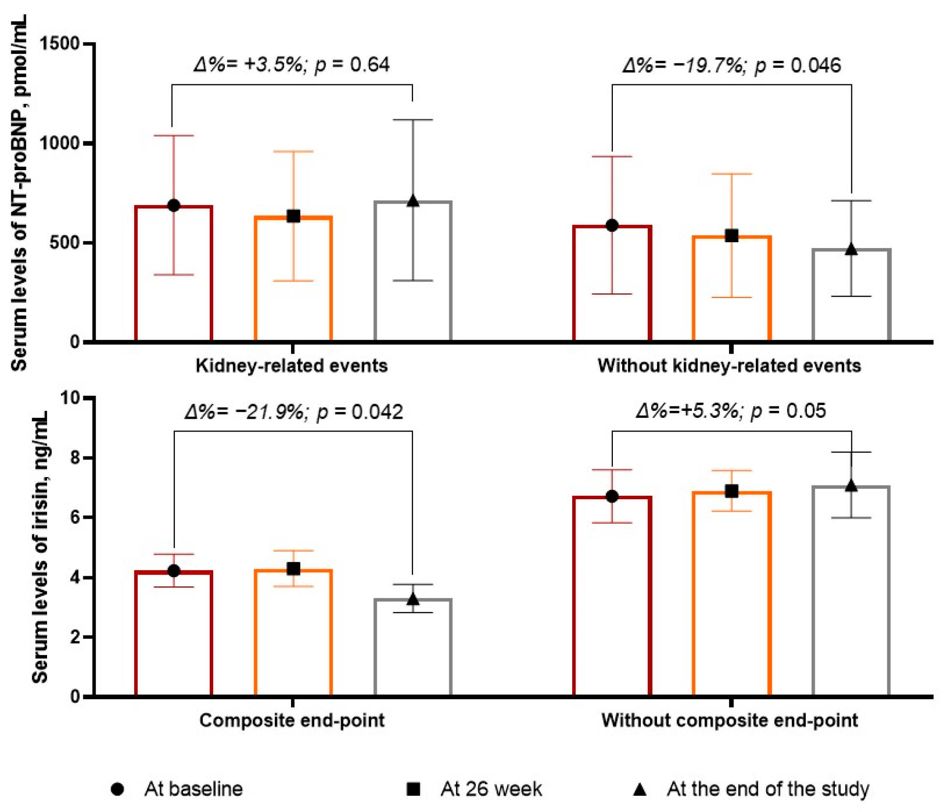
3.2. Dynamic Changes of Irisin in the Patients Included in the Study
3.3. Spearman’s Correlation between the Levels of Biomarkers at Baseline and Other Parameters
3.4. Predictive Values of Serum Irisin at Baseline and the Trajectory of Irisin: The Results of the ROC Curve Analysis
3.5. Predictors for Kidney-Related Events in T2DM Patients with Asymptomatic HFpEF: Univariate and Multivariate Logistic Regression Analysis
3.6. Comparison of the Predictive Models
3.7. Reproducibility of Biomarker Trajectory
4. Discussion
Study Limitations
5. Conclusions
Author Contributions
Funding
Institutional Review Board Statement
Informed Consent Statement
Data Availability Statement
Acknowledgments
Conflicts of Interest
References
- Khan, M.A.B.; Hashim, M.J.; King, J.K.; Govender, R.D.; Mustafa, H.; Al Kaabi, J. Epidemiology of Type 2 Diabetes—Global Burden of Disease and Forecasted Trends. J. Epidemiol. Glob. Health 2020, 10, 107–111. [Google Scholar] [CrossRef] [PubMed]
- Tinajero, M.G.; Malik, V.S. An Update on the Epidemiology of Type 2 Diabetes: A Global Perspective. Endocrinol. Metab. Clin. N. Am. 2021, 50, 337–355. [Google Scholar] [CrossRef] [PubMed]
- Einarson, T.R.; Acs, A.; Ludwig, C.; Panton, U.H. Prevalence of cardiovascular disease in type 2 diabetes: A systematic literature review of scientific evidence from across the world in 2007–2017. Cardiovasc. Diabetol. 2018, 17, 83. [Google Scholar] [CrossRef]
- Ritchie, R.H.; Abel, E.D. Basic Mechanisms of Diabetic Heart Disease. Circ. Res. 2020, 126, 1501–1525. [Google Scholar] [CrossRef] [PubMed]
- Peng, M.L.; Fu, Y.; Wu, C.W.; Zhang, Y.; Ren, H.; Zhou, S.S. Signaling Pathways Related to Oxidative Stress in Diabetic Cardiomyopathy. Front. Endocrinol. 2022, 13, 907757. [Google Scholar] [CrossRef] [PubMed]
- Jia, G.; Hill, M.A.; Sowers, J.R. Diabetic Cardiomyopathy: An Update of Mechanisms Contributing to This Clinical Entity. Circ. Res. 2018, 122, 624–638. [Google Scholar] [CrossRef] [PubMed]
- Kato, M.; Natarajan, R. Epigenetics and epigenomics in diabetic kidney disease and metabolic memory. Nat. Rev. Nephrol. 2019, 15, 327–345. [Google Scholar] [CrossRef] [PubMed]
- Rottura, M.; Drago, S.F.A.; Gianguzzo, V.M.; Molonia, A.; Pallio, G.; Scoglio, R.; Marino, S.; Alibrandi, A.; Imbalzano, E.; Squadrito, F.; et al. Chronic kidney disease progression in diabetic patients: Real world data in general practice. Heliyon 2024, 10, e30787. [Google Scholar] [CrossRef] [PubMed]
- Jepson, C.; Hsu, J.Y.; Fischer, M.J.; Kusek, J.W.; Lash, J.P.; Ricardo, A.C.; Schelling, J.R.; Feldman, H.I.; Chronic Renal Insufficiency Cohort (CRIC) Study Investigators. Incident Type 2 Diabetes Among Individuals with CKD: Findings From the Chronic Renal Insufficiency Cohort (CRIC) Study. Am. J. Kidney Dis. 2019, 73, 72–81. [Google Scholar] [CrossRef] [PubMed]
- Vijay, K.; Neuen, B.L.; Lerma, E.V. Heart Failure in Patients with Diabetes and Chronic Kidney Disease: Challenges and Opportunities. Cardiorenal Med. 2022, 12, 1–10. [Google Scholar] [CrossRef] [PubMed]
- House, A.A.; Wanner, C.; Sarnak, M.J.; Piña, I.L.; McIntyre, C.W.; Komenda, P.; Kasiske, B.L.; Deswal, A.; deFilippi, C.R.; Cleland, J.G.F.; et al. Heart failure in chronic kidney disease: Conclusions from a Kidney Disease: Improving Global Outcomes (KDIGO) Controversies Conference. Kidney Int. 2019, 95, 1304–1317. [Google Scholar] [CrossRef] [PubMed]
- Löfman, I.; Szummer, K.; Dahlström, U.; Jernberg, T.; Lund, L.H. Associations with and prognostic impact of chronic kidney disease in heart failure with preserved, mid-range, and reduced ejection fraction. Eur. J. Heart Fail. 2017, 19, 1606–1614. [Google Scholar] [CrossRef] [PubMed]
- Ostermann, M.; Zarbock, A.; Goldstein, S.; Kashani, K.; Macedo, E.; Murugan, R.; Bell, M.; Forni, L.; Guzzi, L.; Joannidis, M.; et al. Recommendations on Acute Kidney Injury Biomarkers From the Acute Disease Quality Initiative Consensus Conference: A Consensus Statement. JAMA Netw. Open 2020, 3, e2019209, Erratum in JAMA Netw. Open 2020, 3, e2029182. [Google Scholar] [CrossRef] [PubMed]
- Folkerts, K.; Kelly, A.M.B.; Petruski-Ivleva, N.; Fried, L.; Blankenburg, M.; Gay, A.; Velentgas, P.; Kovesdy, C.P. Cardiovascular and Renal Outcomes in Patients with Type-2 Diabetes and Chronic Kidney Disease Identified in a United States Administrative Claims Database: A Population Cohort Study. Nephron 2021, 145, 342–352. [Google Scholar] [CrossRef] [PubMed]
- Okamoto, C.; Tsukamoto, O.; Hasegawa, T.; Matsuoka, K.; Amaki, M.; Kanzaki, H.; Izumi, C.; Takashima, S.; Ito, S.; Kitakaze, M. Relative B-Type Natriuretic Peptide Deficiency May Exist in Diastolic Dysfunction in Subclinical Population. Circ. Rep. 2024, 6, 151–160. [Google Scholar] [CrossRef] [PubMed]
- Bachmann, K.N.; Gupta, D.K.; Xu, M.; Brittain, E.; Farber-Eger, E.; Arora, P.; Collins, S.; Wells, Q.S.; Wang, T.J. Unexpectedly Low Natriuretic Peptide Levels in Patients with Heart Failure. JACC Heart Fail. 2021, 9, 192–200. [Google Scholar] [CrossRef] [PubMed]
- Ho, M.Y.; Wang, C.Y. Role of Irisin in Myocardial Infarction, Heart Failure, and Cardiac Hypertrophy. Cells 2021, 10, 2103. [Google Scholar] [CrossRef] [PubMed]
- Colaianni, G.; Cinti, S.; Colucci, S.; Grano, M. Irisin and musculoskeletal health. Ann. N. Y Acad. Sci. 2017, 1402, 5–9. [Google Scholar] [CrossRef] [PubMed]
- Li, J.; Xie, S.; Guo, L.; Jiang, J.; Chen, H. Irisin: Linking metabolism with heart failure. Am. J. Transl. Res. 2020, 12, 6003–6014. [Google Scholar] [PubMed]
- Guo, M.; Yao, J.; Li, J.; Zhang, J.; Wang, D.; Zuo, H.; Zhang, Y.; Xu, B.; Zhong, Y.; Shen, F.; et al. Irisin ameliorates age-associated sarcopenia and metabolic dysfunction. J. Cachexia Sarcopenia Muscle 2023, 14, 391–405. [Google Scholar] [CrossRef] [PubMed]
- Qiongyue, Z.; Xin, Y.; Meng, P.; Sulin, M.; Yanlin, W.; Xinyi, L.; Xuemin, S. Post-treatment with Irisin Attenuates Acute Kidney Injury in Sepsis Mice Through Anti-Ferroptosis via the SIRT1/Nrf2 Pathway. Front. Pharmacol. 2022, 13, 857067. [Google Scholar] [CrossRef] [PubMed] [PubMed Central]
- Wang, P.W.; Pang, Q.; Zhou, T.; Song, X.Y.; Pan, Y.J.; Jia, L.P.; Zhang, A.H. Irisin alleviates vascular calcification by inhibiting VSMC osteoblastic transformation and mitochondria dysfunction via AMPK/Drp1 signaling pathway in chronic kidney disease. Atherosclerosis 2022, 346, 36–45. [Google Scholar] [CrossRef] [PubMed]
- Pinho-Jr, J.D.S.; Camacho, F.A.; Cavararo, C.D.S.; Baião, P.F.; Medeiros, R.F.; Barroso, S.G.; de Matos, A.C. Irisin and Cardiometabolic Disorders in Obesity: A Systematic Review. Int. J. Inflamm. 2023, 2023, 5810157. [Google Scholar] [CrossRef] [PubMed]
- Berezin, A.A.; Lichtenauer, M.; Boxhammer, E.; Fushtey, I.M.; Berezin, A.E. Serum Levels of Irisin Predict Cumulative Clinical Outcomes in Heart Failure Patients with Type 2 Diabetes Mellitus. Front. Physiol. 2022, 13, 922775. [Google Scholar] [CrossRef] [PubMed]
- Berezin, A.A.; Lichtenauer, M.; Boxhammer, E.; Stöhr, E.; Berezin, A.E. Discriminative Value of Serum Irisin in Prediction of Heart Failure with Different Phenotypes among Patients with Type 2 Diabetes Mellitus. Cells 2022, 11, 2794. [Google Scholar] [CrossRef] [PubMed]
- McDonagh, T.A.; Metra, M.; Adamo, M.; Gardner, R.S.; Baumbach, A.; Böhm, M.; Burri, H.; Butler, J.; Čelutkienė, J.; Chioncel, O.; et al. 2021 ESC Guidelines for the diagnosis and treatment of acute and chronic heart failure. Eur. Heart J. 2021, 42, 3599–3726. [Google Scholar] [CrossRef] [PubMed]
- Mitchell, C.; Rahko, P.S.; Blauwet, L.A.; Canaday, B.; Finstuen, J.A.; Foster, M.C.; Horton, K.; Ogunyankin, K.O.; Palma, R.A.; Velazquez, E.J. Guidelines for Performing a Comprehensive Transthoracic Echocardiographic Examination in Adults: Recommendations from the American Society of Echocardiography. J. Am. Soc. Echocardiogr. 2019, 32, 1–64. [Google Scholar] [CrossRef] [PubMed]
- Levey, A.S.; Stevens, L.A.; Schmid, C.H.; Zhang, Y.L.; Castro, A.F., 3rd; Feldman, H.I.; Kusek, J.W.; Eggers, P.; Van Lente, F.; Greene, T.; et al. A new equation to estimate glomerular filtration rate. Ann. Intern. Med. 2009, 150, 604–612. [Google Scholar] [CrossRef] [PubMed]
- Matthews, D.R.; Hosker, J.P.; Rudenski, A.S.; Naylor, B.A.; Treacher, D.F.; Turner, R.C. Homeostasis model assessment: Insulin resistance and beta-cell function from fasting plasma glucose and insulin concentrations in man. Diabetologia 1985, 28, 412–419. [Google Scholar] [CrossRef] [PubMed]
- Berezina, T.A.; Fushtey, I.M.; Berezin, A.A.; Pavlov, S.V.; Berezin, A.E. Predictors of Kidney Function Outcomes and Their Relation to SGLT2 Inhibitor Dapagliflozin in Patients with Type 2 Diabetes Mellitus Who Had Chronic Heart Failure. Adv. Ther. 2024, 41, 292–314. [Google Scholar] [CrossRef] [PubMed]
- Liu, S.; Cui, F.; Ning, K.; Wang, Z.; Fu, P.; Wang, D.; Xu, H. Role of irisin in physiology and pathology. Front. Endocrinol. 2022, 13, 962968. [Google Scholar] [CrossRef] [PubMed]
- Chhor, M.; Law, W.; Pavlovic, M.; Aksentijevic, D.; McGrath, K.; McClements, L. Diagnostic and prognostic biomarkers reflective of cardiac remodelling in diabetes mellitus: A scoping review. Diabet. Med. 2023, 40, e15064. [Google Scholar] [CrossRef] [PubMed]
- Maak, S.; Norheim, F.; Drevon, C.A.; Erickson, H.P. Progress and Challenges in the Biology of FNDC5 and Irisin. Endocr. Rev. 2021, 42, 436–456. [Google Scholar] [CrossRef] [PubMed]
- Vaduganathan, M.; Sattar, N.; Xu, J.; Butler, J.; Mahaffey, K.W.; Neal, B.; Shaw, W.; Rosenthal, N.; Pfeifer, M.; Hansen, M.K.; et al. Stress Cardiac Biomarkers, Cardiovascular and Renal Outcomes, and Response to Canagliflozin. J. Am. Coll. Cardiol. 2022, 79, 432–444. [Google Scholar] [CrossRef] [PubMed]
- Shen, S.; Gao, R.; Bei, Y.; Li, J.; Zhang, H.; Zhou, Y.; Yao, W.; Xu, D.; Zhou, F.; Jin, M.; et al. Serum Irisin Predicts Mortality Risk in Acute Heart Failure Patients. Cell Physiol. Biochem. 2017, 42, 615–622. [Google Scholar] [CrossRef] [PubMed]
- Abd El-Mottaleb, N.A.; Galal, H.M.; El Maghraby, K.M.; Gadallah, A.I. Serum irisin level in myocardial infarction patients with or without heart failure. Can. J. Physiol. Pharmacol. 2019, 97, 932–938. [Google Scholar] [CrossRef] [PubMed]
- Castiglione, V.; Aimo, A.; Vergaro, G.; Saccaro, L.; Passino, C.; Emdin, M. Biomarkers for the diagnosis and management of heart failure. Heart Fail. Rev. 2022, 27, 625–643. [Google Scholar] [CrossRef] [PubMed]
- Silvestrini, A.; Bruno, C.; Vergani, E.; Venuti, A.; Favuzzi, A.M.R.; Guidi, F.; Nicolotti, N.; Meucci, E.; Mordente, A.; Mancini, A. Circulating irisin levels in heart failure with preserved or reduced ejection fraction: A pilot study. PLoS ONE 2019, 14, e0210320. [Google Scholar] [CrossRef] [PubMed]
- Berezin, A.A.; Obradovic, A.B.; Fushtey, I.M.; Berezina, T.A.; Lichtenauer, M.; Berezin, A.E. Low Plasma Levels of Irisin Predict Acutely Decompensated Heart Failure in Type 2 Diabetes Mellitus Patients with Chronic Heart Failure. J. Cardiovasc. Dev. Dis. 2023, 10, 136. [Google Scholar] [CrossRef] [PubMed]
- Huerta-Delgado, A.S.; Roffe-Vazquez, D.N.; Luna-Ceron, E.; Gonzalez-Gil, A.M.; Casillas-Fikentscher, A.; Villarreal-Calderon, J.R.; Enriquez, C.; de la Peña-Almaguer, E.; Castillo, E.C.; Silva-Platas, C.; et al. Association of irisin levels with cardiac magnetic resonance, inflammatory, and biochemical parameters in patients with chronic heart failure versus controls. Magn. Reson. Imaging 2022, 93, 62–72. [Google Scholar] [CrossRef] [PubMed]
- Wu, Y.; Luo, J.; Song, X.; Gu, W.; Wang, S.; Hao, S.; Dong, Z.; Ning, Z. Irisin attenuates angiotensin II-induced atrial fibrillation and atrial fibrosis via LOXL2 and TGFβ1/Smad2/3 signaling pathways. Iran. J. Basic. Med. Sci. 2023, 26, 717–724. [Google Scholar] [CrossRef] [PubMed]
- Flori, L.; Benedetti, G.; Calderone, V.; Testai, L. Hydrogen Sulfide and Irisin, Potential Allies in Ensuring Cardiovascular Health. Antioxidants 2024, 13, 543. [Google Scholar] [CrossRef] [PubMed]
- Sobieszek, G.; Powrózek, T.; Mazurek, M.; Skwarek-Dziekanowska, A.; Małecka-Massalska, T. Electrical and Hormonal Biomarkers in Cachectic Elderly Women with Chronic Heart Failure. J. Clin. Med. 2020, 9, 1021. [Google Scholar] [CrossRef] [PubMed]
- Li, R.L.; Wu, S.S.; Wu, Y.; Wang, X.X.; Chen, H.Y.; Xin, J.J.; Li, H.; Lan, J.; Xue, K.Y.; Li, X.; et al. Irisin alleviates pressure overload-induced cardiac hypertrophy by inducing protective autophagy via mTOR-independent activation of the AMPK-ULK1 pathway. J. Mol. Cell Cardiol. 2018, 121, 242–255. [Google Scholar] [CrossRef] [PubMed]
- Peng, Q.; Wang, X.; Wu, K.; Liu, K.; Wang, S.; Chen, X. Irisin attenuates H2O2-induced apoptosis in cardiomyocytes via microRNA-19b/AKT/mTOR signaling pathway. Int. J. Clin. Exp. Pathol. 2017, 10, 7707–7717. [Google Scholar] [PubMed] [PubMed Central]
- Berezin, A.A.; Obradovic, Z.; Novikov, E.V.; Boxhammer, E.; Lichtenauer, M.; Berezin, A.E. Interplay between Myokine Profile and Glycemic Control in Type 2 Diabetes Mellitus Patients with Heart Failure. Diagnostics 2022, 12, 2940. [Google Scholar] [CrossRef] [PubMed] [PubMed Central]
- Matsuo, Y.; Gleitsmann, K.; Mangner, N.; Werner, S.; Fischer, T.; Bowen, T.S.; Kricke, A.; Matsumoto, Y.; Kurabayashi, M.; Schuler, G.; et al. Fibronectin type III domain containing 5 expression in skeletal muscle in chronic heart failure-relevance of inflammatory cytokines. J. Cachexia Sarcopenia Muscle 2015, 6, 62–72. [Google Scholar] [CrossRef] [PubMed]
- Zhang, X.; Hu, C.; Wu, H.M.; Ma, Z.G.; Tang, Q.Z. Fibronectin type III domain-containing 5 in cardiovascular and metabolic diseases: A promising biomarker and therapeutic target. Acta Pharmacol. Sin. 2021, 42, 1390–1400. [Google Scholar] [CrossRef]
- Nassif, M.E.; Windsor, S.L.; Tang, F.; Khariton, Y.; Husain, M.; Inzucchi, S.E.; McGuire, D.K.; Pitt, B.; Scirica, B.M.; Austin, B.; et al. Dapagliflozin Effects on Biomarkers, Symptoms, and Functional Status in Patients with Heart Failure with Reduced Ejection Fraction: The DEFINE-HF Trial. Circulation 2019, 140, 1463–1476. [Google Scholar] [CrossRef] [PubMed]
- Tanaka, H.; Soga, F.; Tatsumi, K.; Mochizuki, Y.; Sano, H.; Toki, H.; Matsumoto, K.; Shite, J.; Takaoka, H.; Doi, T.; et al. Positive effect of dapagliflozin on left ventricular longitudinal function for type 2 diabetic mellitus patients with chronic heart failure. Cardiovasc. Diabetol. 2020, 19, 6. [Google Scholar] [CrossRef] [PubMed]
- Li, X.; Lindholm, B. The role of irisin in kidney diseases. Clin. Chim. Acta 2024, 554, 117756. [Google Scholar] [CrossRef] [PubMed]
- Rossing, P.; Anker, S.D.; Filippatos, G.; Pitt, B.; Ruilope, L.M.; Birkenfeld, A.L.; McGill, J.B.; Rosas, S.E.; Joseph, A.; Gebel, M.; et al. Finerenone in Patients with Chronic Kidney Disease and Type 2 Diabetes by Sodium-Glucose Cotransporter 2 Inhibitor Treatment: The FIDELITY Analysis. Diabetes Care 2022, 45, 2991–2998. [Google Scholar] [CrossRef] [PubMed]
- Mark, P.B.; Sarafidis, P.; Ekart, R.; Ferro, C.J.; Balafa, O.; Fernandez-Fernandez, B.; Herrington, W.G.; Rossignol, P.; Del Vecchio, L.; Valdivielso, J.M.; et al. SGLT2i for evidence-based cardiorenal protection in diabetic and non-diabetic chronic kidney disease: A comprehensive review by EURECA-m and ERBP working groups of ERA. Nephrol. Dial. Transpl. 2023, 38, 2444–2455. [Google Scholar] [CrossRef] [PubMed]



| Variables | Entire Group (n = 146) | Kidney-Related Event Group (n = 38) | Kidney-Related Event Free Group (n = 108) | p Value |
|---|---|---|---|---|
| Age, years | 56 (46–66) | 61 (52–68) | 54 (44–67) | 0.048 |
| Male/female n (%) | 84 (51.7)/62 (49.3) | 21 (55.2)/17 (44.8) | 63 (58.3)/45 (41.6) | 0.758 |
| BMI, kg/m2 | 25.8 ± 2.90 | 26.1 ± 2.60 | 25.2 ± 2.80 | 0.680 |
| Waist circumference, cm | 96.6 ± 3.70 | 99.4 ± 3.80 | 94.7 ± 3.77 | 0.660 |
| WHR, units | 0.88 ± 0.07 | 0.90 ± 0.09 | 0.85 ± 0.06 | 0.840 |
| Dyslipidemia, n (%) | 115 (78.8) | 30 (78.9) | 85 (78.7) | 0.744 |
| Hypertension, n (%) | 108 (74.0) | 29 (76.3) | 79 (73.1) | 0.680 |
| Stable CAD, n (%) | 46 (31.5) | 15 (39.5) | 31 (28.7) | 0.042 |
| Atrial fibrillation, n (%) | 25 (17.1) | 7 (18.4) | 18 (16.7) | 0.261 |
| Smoking, n (%) | 61 (41.7) | 17 (44.7) | 44 (40.7) | 0.652 |
| Abdominal obesity, n (%) | 54 (37.0) | 14 (36.8) | 40 (37.0) | 0.840 |
| LVH *, n (%) | 132 (90.4) | 35 (92.1) | 97 (89.8) | 0.050 |
| CKD 1–3 grades, n (%) | 38 (26.0) | 11 (28.9) | 27 (25.0) | 0.064 |
| Systolic BP, mm Hg | 138 ± 9 | 140 ± 8 | 137 ± 7 | 0.612 |
| Diastolic BP, mm Hg | 82 ± 8 | 87 ± 6 | 79 ± 9 | 0.712 |
| LVEDV, mL | 154 (134–163) | 156 (139–166) | 153 (132–163) | 0.434 |
| LVESV, mL | 82 (61–93) | 86 (82–103) | 81 (67–97) | 0.667 |
| LVEF, % | 47 (41–51) | 45 (41–49) | 47 (42–52) | 0.854 |
| LVMMI, g/m2 | 138 ± 11 | 146 ± 15 | 133 ± 13 | 0.162 |
| LAVI, mL/m2 | 41 (35–50) | 42 (38–52) | 41 (35–49) | 0.064 |
| E/e′, unit | 16 ± 5 | 17 ± 4 | 16 ± 4 | 0.448 |
| GLS, % | −14.6 (−12.6; −15.9) | −12.4 (−10.2; −14.3) | −14.3 (−11.4; −15.8) | 0.024 |
| eGFR, mL/min/1.73 m2 | 78 ± 18 | 66 ± 12 | 87 ± 12 | 0.045 |
| UACR (mg/g Cr) | 19.8 (5.6–32.9) | 23.3 (6.3–34.1) | 14.1 (4.9–23.9) | 0.046 |
| HOMA-IR, units | 7.10 ± 2.5 | 7.36 ± 2.9 | 7.05± 2.3 | 0.721 |
| Fasting glucose, mmol/L | 6.45 ± 1.8 | 6.58 ± 1.5 | 6.31 ± 1.7 | 0.882 |
| HbA1c, % | 6.42 ± 0.16 | 6.61 ± 0.14 | 6.21 ± 0.15 | 0.445 |
| Creatinine, µmol/L | 101.2 ± 19.8 | 146.6 ± 34.3 | 98.7 ± 28.5 | 0.040 |
| SUA, mcmol/L | 318 ± 112 | 387 ± 105 | 306 ± 88 | 0.052 |
| Total cholesterol, mmol/L | 5.98 ± 1.22 | 6.03 ± 1.33 | 5.90 ± 1.18 | 0.546 |
| HDL-C, mmol/L | 0.97 ± 0.21 | 0.95 ± 0.23 | 0.99 ± 0.20 | 0.548 |
| LDL-C, mmol/L | 3.30± 0.25 | 3.32± 0.25 | 3.21 ± 0.22 | 0.460 |
| Triglycerides, mmol/L | 1.38 ± 0.23 | 1.41 ± 0.24 | 1.43 ± 0.19 | 0.424 |
| hs-CRP, mg/L | 4.32 (2.43–6.80) | 4.56 (2.65–7.10) | 4.15 (2.17–6.32) | 0.070 |
| TNF-alpha, pg/mL | 2.66 (1.80–3.70) | 2.92 (1.85–3.80) | 2.54 (1.75–3.61) | 0.726 |
| NT-proBNP, pmol/mL | 615 (168–1145) | 690 (240–1270) | 589 (190–994) | 0.480 |
| Irisin, ng/mL | 5.45 (3.30–7.75) | 4.23 (3.22–5.98) | 6.72 (5.17–8.10) | 0.012 |
| ACE inhibitors, n (%) | 56 (38.4) | 13 (34.2) | 43 (39.8) | 0.672 |
| Angiotensin-II receptor blockers, n (%) | 52 (35.6) | 16 (42.1) | 36 (33.3) | 0.054 |
| Beta-blockers, n (%) | 46 (31.5) | 15 (39.5) | 31 (28.7) | 0.042 |
| Ivabradine, n (%) | 32 (21.9) | 9 (23.7) | 23 (21.3) | 0.722 |
| Calcium channel blockers, n (%) | 41 (28.1) | 11 (28.9) | 30 (27.8) | 0.728 |
| Thiazide-like diuretics, n (%) | 43 (29.4) | 10 (26.3) | 33 (30.6) | 0.464 |
| Antiplatelet, n (%) | 121 (81.8) | 32 (84.2) | 89 (82.4) | 0.880 |
| Anticoagulants, n (%) | 25 (17.1) | 7 (18.4) | 18 (16.7) | 0.261 |
| Metformin, n (%) | 146 (100.0) | 38 (100.0) | 108 (100.0) | 1.000 |
| DPP4 inhibitor, n (%) | 21 (14.4) | 5 (13.3) | 16 (14.8) | 0.846 |
| GLP-1 receptor agonist, n (%) | 26 (17.8) | 7 (18.4) | 19 (17.6) | 0.723 |
| SGLT2 inhibitors, n (%) | 119 (81.5) | 29 (76.3) | 90 (83.3) | 0.048 |
| Statins, n (%) | 133 (91.1) | 33 (86.8) | 100 (92.6) | 0.070 |
| Variables | Dependent Variable: Kidney-Related Events | |||||
|---|---|---|---|---|---|---|
| Univariate Log Regression | Multivariate Log Regression | |||||
| OR | 95% CI | p Value | OR | 95% CI | p Value | |
| Age ≥61 vs. <61 years | 1.03 | 1.00–1.06 | 0.464 | - | ||
| NT-proBNP at baseline ≥690 pmol/mL vs. < 690 pmol/mL | 1.06 | 0.93–1.88 | 0.834 | - | ||
| Irisin at baseline ≤ 4.15 ng/mL vs. >4.15 ng/mL | 1.16 | 1.07–2.40 | 0.001 | 1.14 | 1.02–2.10 | 0.016 |
| Decrease in irisin levels >20% vs. ≤20% | 1.24 | 1.12–2.56 | 0.001 | 1.27 | 1.10–2.55 | 0.001 |
| UACR | 1.07 | 1.02–1.13 | 0.012 | 1.04 | 1.01–1.09 | 0.050 |
| Administration of SGLT2i vs. unused SGLT2i | 0.91 | 0.86–0.98 | 0.044 | 0.94 | 0.88–0.96 | 0.041 |
| Predictive Models | Dependent Variable: Kidney-Related Events | |||||
|---|---|---|---|---|---|---|
| AUC | NRI | IDI | ||||
| M (95% CI) | p Value | M (95% CI) | p Value | M (95% CI) | p Value | |
| Model 1 (Irisin at baseline ≤ 4.15 ng/mL) | 0.811 (0.773–0.857) | - | Reference | - | Reference | - |
| Model 2 (Decrease in irisin levels > 20%) | 0.893 (0.834–0.951) | 0.001 | 0.61 (0.57–0.67) | 0.022 | 0.55 (0.50–0.61) | 0.020 |
| Model 3 (Administration of SGLT2i) | 0.813 (0.791–0.836) | 0.644 | 0.18 (0.15–0.23) | 0.224 | 0.19 (0.15–0.25) | 0.142 |
| Model 1 + Model 2 | 0.922 (0.855–0.973) | 0.050 | 0.32 (0.26–0.38) | 0.020 | 0.34 (0.30–0.39) | 0.022 |
| Model 2 + Model 3 | 0.899 (0.861–0.963) | 0.264 | 0.14 (0.11–0.19) | 0.660 | 0.25 (0.19–0.32) | 0.548 |
Disclaimer/Publisher’s Note: The statements, opinions and data contained in all publications are solely those of the individual author(s) and contributor(s) and not of MDPI and/or the editor(s). MDPI and/or the editor(s) disclaim responsibility for any injury to people or property resulting from any ideas, methods, instructions or products referred to in the content. |
© 2024 by the authors. Licensee MDPI, Basel, Switzerland. This article is an open access article distributed under the terms and conditions of the Creative Commons Attribution (CC BY) license (https://creativecommons.org/licenses/by/4.0/).
Share and Cite
Berezina, T.A.; Berezin, O.O.; Hoppe, U.C.; Lichtenauer, M.; Berezin, A.E. Trajectory of Irisin as a Predictor of Kidney-Related Outcomes in Patients with Asymptomatic Heart Failure. Biomedicines 2024, 12, 1827. https://doi.org/10.3390/biomedicines12081827
Berezina TA, Berezin OO, Hoppe UC, Lichtenauer M, Berezin AE. Trajectory of Irisin as a Predictor of Kidney-Related Outcomes in Patients with Asymptomatic Heart Failure. Biomedicines. 2024; 12(8):1827. https://doi.org/10.3390/biomedicines12081827
Chicago/Turabian StyleBerezina, Tetiana A., Oleksandr O. Berezin, Uta C. Hoppe, Michael Lichtenauer, and Alexander E. Berezin. 2024. "Trajectory of Irisin as a Predictor of Kidney-Related Outcomes in Patients with Asymptomatic Heart Failure" Biomedicines 12, no. 8: 1827. https://doi.org/10.3390/biomedicines12081827
APA StyleBerezina, T. A., Berezin, O. O., Hoppe, U. C., Lichtenauer, M., & Berezin, A. E. (2024). Trajectory of Irisin as a Predictor of Kidney-Related Outcomes in Patients with Asymptomatic Heart Failure. Biomedicines, 12(8), 1827. https://doi.org/10.3390/biomedicines12081827
