Assessing the Suitability of CHA2DS2-VASc for Predicting Adverse Limb Events and Cardiovascular Outcomes in Peripheral Artery Disease Patients with Percutaneous Transluminal Angioplasty: A Retrospective Cohort Study
Abstract
1. Introduction
2. Methods
2.1. Data Description
2.2. Endpoints and Events
2.3. Statistical Analysis
2.3.1. Modified CHA2DS2-VASc Risk (MCR) Score
2.3.2. Statistical Analysis Using CHA2DS2-VASc Risk Score as Predictor
2.3.3. Model Evaluation
3. Results
3.1. Baseline Demographic and Clinico-Pathological Variable Analysis
3.2. Modified CHA2DS2-VASc Risk (MCR) Score and Its Association with the Three Endpoints: MALEs, MACEs, and MALEs + MACEs
3.3. Survival Analysis with the Modified CHA2DS2-VASc Risk (MCR) Score as a Predictor
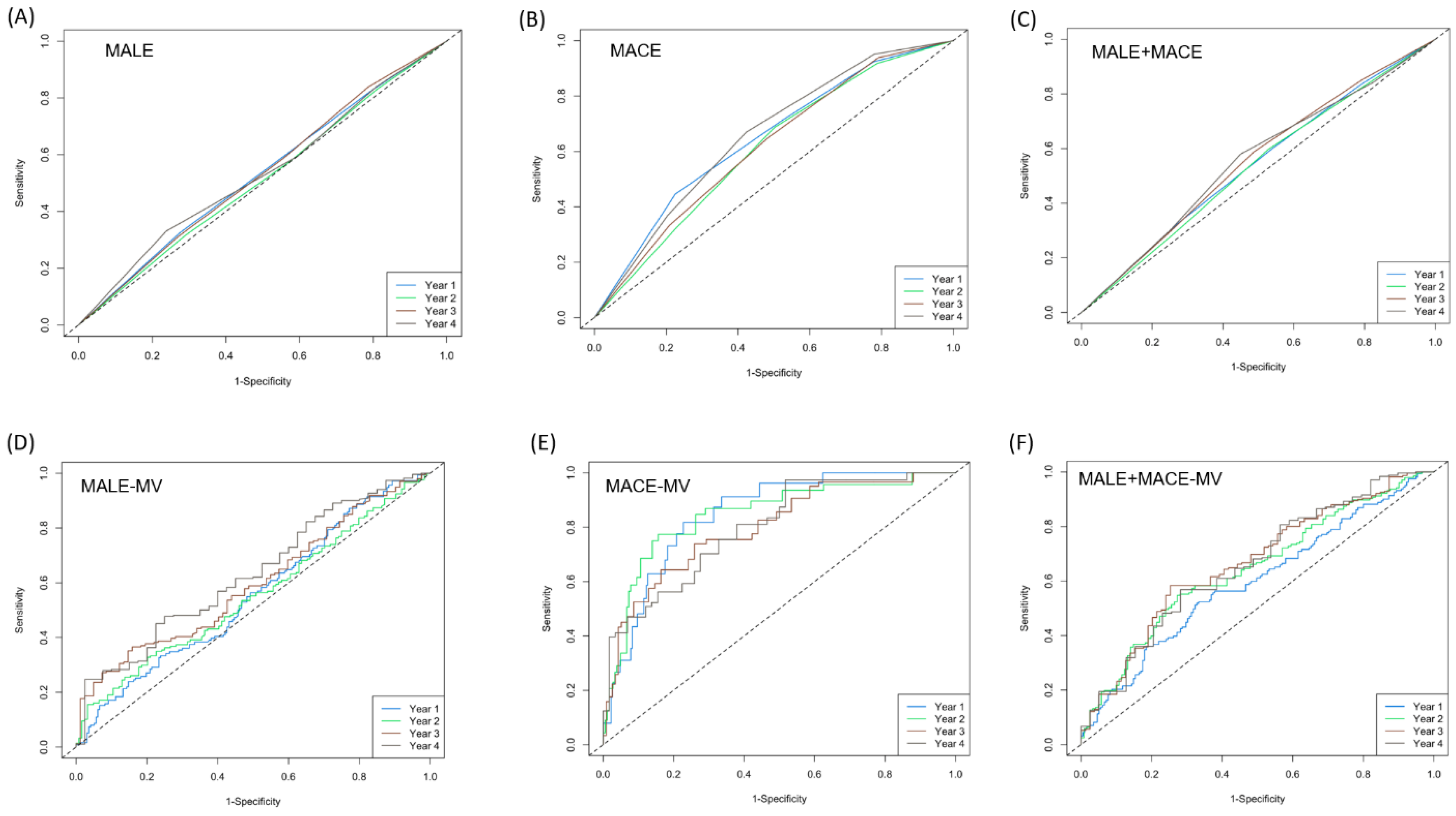
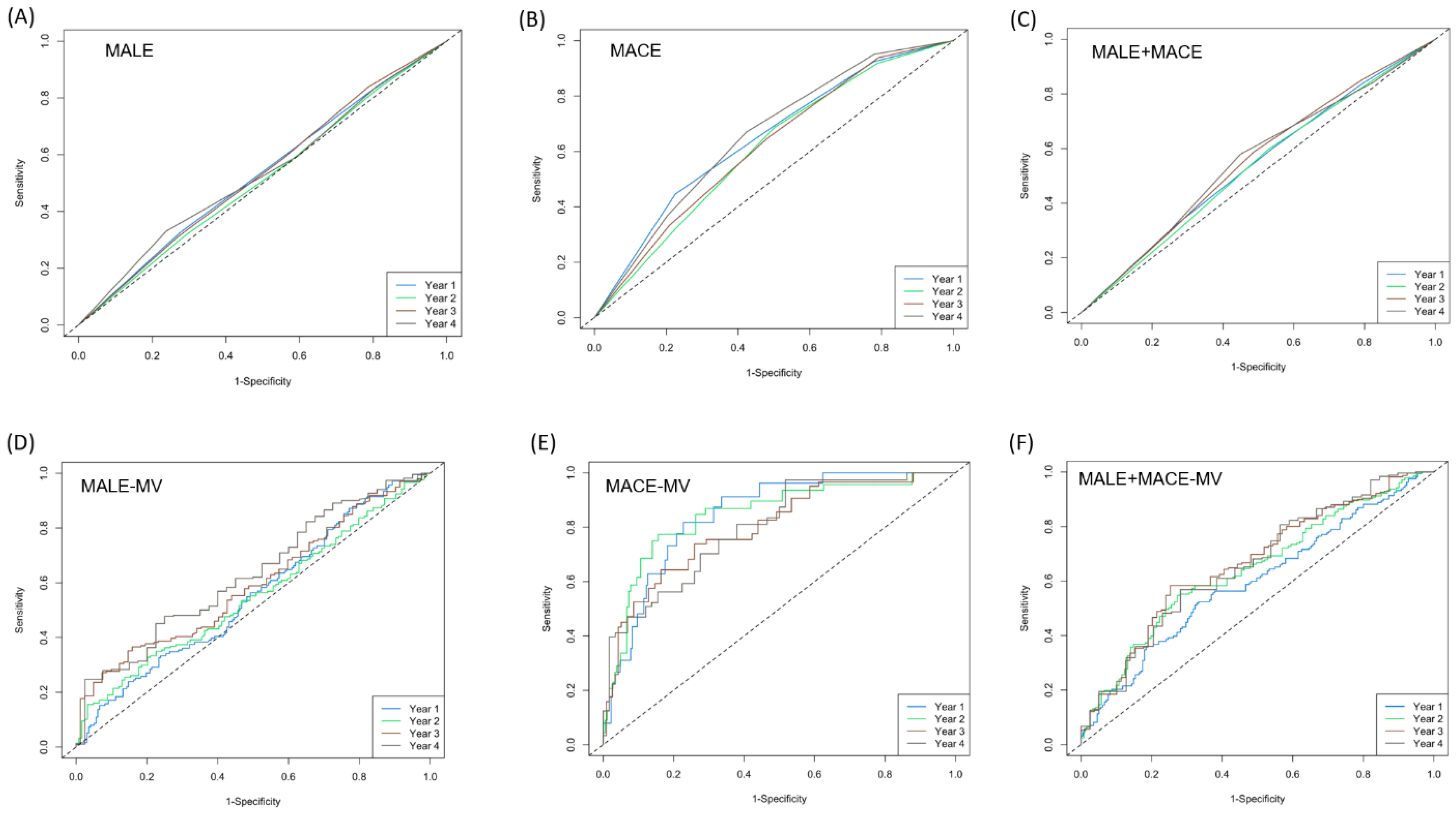
3.4. Evaluation of MCR as a Predictor for MALEs, MACEs, and MALEs + MACEs
4. Discussion
5. Conclusions
Supplementary Materials
Author Contributions
Funding
Institutional Review Board Statement
Informed Consent Statement
Data Availability Statement
Conflicts of Interest
List of Abbreviations
| PAD | peripheral artery disease |
| MACEs | major adverse cardiovascular events |
| MALEs | major adverse limb events |
| ALI | acute limb ischemia |
| PCI | percutaneous coronary intervention |
| CHF | congestive heart failure |
| HTN | Hypertension |
| DM | diabetes mellitus |
| AF | atrial fibrillation |
| ABI | ankle brachial index |
| HPL | hyperlipidemia |
| LDL | low-density lipoprotein |
| CAD | coronary artery disease |
| CABG | coronary artery bypass graft |
| MI | myocardial infarction |
| COPD | chronic obstructive pulmonary disease |
| CKD | chronic kidney disease |
| CCr | creatinine clearance test |
| HD | Hemodialysis |
| PD | peritoneal dialysis |
| HDL | high-density lipoprotein |
| TG | triglyceride |
| ASA | aspirin |
| DOAC | direct oral anticoagulant |
| ACEI | angiotensin-converting enzyme inhibitor |
| ARB | angiotensin receptor blocker |
| CCB | calcium channel blocker |
| CLI | critical limb ischemia |
| BTK | below-the-knee |
| DAPT | dual antiplatelet therapy |
References
- Polonsky, T.S.; McDermott, M.M. Lower extremity peripheral artery disease without chronic limb-threatening ischemia: A review. JAMA 2021, 325, 2188–2198. [Google Scholar] [CrossRef]
- Aday, A.W.; Matsushita, K. Epidemiology of peripheral artery disease and polyvascular disease. Circ. Res. 2021, 128, 1818–1832. [Google Scholar] [CrossRef]
- Shu, J.; Santulli, G. Update on peripheral artery disease: Epidemiology and evidence-based facts. Atherosclerosis 2018, 275, 379–381. [Google Scholar] [CrossRef]
- Szarek, M.; Hess, C.; Patel, M.R.; Jones, W.S.; Berger, J.S.; Baumgartner, I.; Katona, B.; Mahaffey, K.W.; Norgren, L.; Blomster, J.; et al. Total Cardiovascular and Limb Events and the Impact of Polyvascular Disease in Chronic Symptomatic Peripheral Artery Disease. J. Am. Heart Assoc. 2022, 11, e025504. [Google Scholar] [CrossRef]
- Tsai, I.; Wang, C.-P.; Lu, Y.-C.; Hung, W.-C.; Wu, C.-C.; Lu, L.-F.; Chung, F.-M.; Hsu, C.-C.; Lee, Y.-J.; Yu, T.-H. The burden of major adverse cardiac events in patients with coronary artery disease. BMC Cardiovasc. Disord. 2017, 17, 1. [Google Scholar] [CrossRef]
- Mahoney, E.M.; Wang, K.; Keo, H.H.; Duval, S.; Smolderen, K.G.; Cohen, D.J.; Steg, G.; Bhatt, D.L.; Hirsch, A.T.; Reduction of Atherothrombosis for Continued Health (REACH) Registry Investigators. Vascular hospitalization rates and costs in patients with peripheral artery disease in the United States. Circ. Cardiovasc. Qual. Outcomes 2010, 3, 642–651. [Google Scholar] [CrossRef]
- Anand, S.S.; Caron, F.; Eikelboom, J.W.; Bosch, J.; Dyal, L.; Aboyans, V.; Abola, M.T.; Branch, K.R.; Keltai, K.; Bhatt, D.L. Major adverse limb events and mortality in patients with peripheral artery disease: The COMPASS trial. J. Am. Coll. Cardiol. 2018, 71, 2306–2315. [Google Scholar] [CrossRef]
- Lip, G.Y.; Nieuwlaat, R.; Pisters, R.; Lane, D.A.; Crijns, H.J. Refining clinical risk stratification for predicting stroke and thromboembolism in atrial fibrillation using a novel risk factor-based approach: The euro heart survey on atrial fibrillation. Chest 2010, 137, 263–272. [Google Scholar] [CrossRef]
- Olesen, J.B.; Torp-Pedersen, C.; Hansen, M.L.; Lip, G.Y. The value of the CHA2DS2-VASc score for refining stroke risk stratification in patients with atrial fibrillation with a CHADS2 score 0–1: A nationwide cohort study. Thromb. Haemost. 2012, 107, 1172–1179. [Google Scholar] [CrossRef]
- Harb, S.C.; Wang, T.K.M.; Nemer, D.; Wu, Y.; Cho, L.; Menon, V.; Wazni, O.; Cremer, P.C.; Jaber, W. CHA2DS2-VASc score stratifies mortality risk in patients with and without atrial fibrillation. Open Heart 2021, 8, e001794. [Google Scholar] [CrossRef]
- Chen, P.-S.; Lee, M.; Tang, S.-C.; Huang, P.-H.; Yeh, H.-I.; Hou, C.J.-Y.; Hsieh, I.-C.; Lee, J.-T.; Jeng, J.-S.; Li, Y.-H. 2022 focused update of the 2017 Taiwan lipid guidelines for high risk patients: Coronary artery disease, peripheral artery disease and ischemic stroke. J. Formos. Med. Assoc. 2022, 121, 1363–1370. [Google Scholar] [CrossRef]
- Yalim, Z.; Aldemir, M.; Yalim, S.A. Assessment of the relationship between death and CHA2DS2-VASc score in peripheral artery disease. Int. Angiol. 2020, 39, 509–516. [Google Scholar] [CrossRef]
- Kumar, D.; Klefsjö, B. Proportional hazards model: A review. Reliab. Eng. Syst. Saf. 1994, 44, 177–188. [Google Scholar] [CrossRef]
- Therneau, T.; Lumley, T. R Survival Package; R Core Team: Vienna, Austria, 2013. [Google Scholar]
- Dudley, W.N.; Wickham, R.; Coombs, N. An introduction to survival statistics: Kaplan-Meier analysis. J. Adv. Pract. Oncol. 2016, 7, 91–100. [Google Scholar]
- Krstajic, D.; Buturovic, L.J.; Leahy, D.E.; Thomas, S. Cross-validation pitfalls when selecting and assessing regression and classification models. J. Cheminform. 2014, 6, 10. [Google Scholar] [CrossRef]
- Pencina, M.J.; D’Agostino, R.B. Overall C as a measure of discrimination in survival analysis: Model specific population value and confidence interval estimation. Stat. Med. 2004, 23, 2109–2123. [Google Scholar] [CrossRef]
- D’Agostino, R.B.; Nam, B.-H. Evaluation of the performance of survival analysis models: Discrimination and calibration measures. Handb. Stat. 2003, 23, 1–25. [Google Scholar]
- Hardman, R.L.; Jazaeri, O.; Yi, J.; Smith, M.; Gupta, R. Overview of classification systems in peripheral artery disease. In Proceedings of the Seminars in Interventional Radiology; Thieme Medical Publishers: New York, NY, USA, 2014; pp. 378–388. [Google Scholar]
- Dopheide, J.F.; Ramadani, H.; Adam, L.; Gahl, B.; Papac, L.; Veit, J.; Kaspar, M.; Schindewolf, M.; Baumgartner, I.; Drexel, H. Development of a 3-Dimensional Prognostic Score for Patients With Symptomatic Peripheral Artery Disease: PAD3D Score. Angiology 2020, 71, 658–665. [Google Scholar] [CrossRef]
- Lin, T.-C.; Su, H.-M.; Lee, W.-H.; Chiu, C.-A.; Chi, N.-Y.; Tsai, W.-C.; Lin, T.-H.; Voon, W.-C.; Lai, W.-T.; Sheu, S.-H.; et al. CHA2DS2-VASc Score and Risk of New-Onset Peripheral Arterial Occlusive Disease in Patients without Atrial Fibrillation. Acta Cardiol. Sin. 2021, 37, 261–268. [Google Scholar]
- Chen, J.-Y.; Zhang, A.-D.; Lu, H.-Y.; Guo, J.; Wang, F.-F.; Li, Z.-C. CHADS2 versus CHA2DS2-VASc score in assessing the stroke and thromboembolism risk stratification in patients with atrial fibrillation: A systematic review and meta-analysis. J. Geriatr. Cardiol. JGC 2013, 10, 258–266. [Google Scholar]
- Moltó-Balado, P.; Reverté-Villarroya, S.; Monclús-Arasa, C.; Balado-Albiol, M.; Baset-Martínez, S.; Carot-Domenech, J.; Clua-Espuny, J. Heart Failure and Major Adverse Cardiovascular Events in Atrial Fibrillation Patients: A Retrospective Primary Care Cohort Study. Biomedicines 2023, 11, 1825. [Google Scholar] [CrossRef]
- Miao, B.; Hernandez, A.V.; Roman, Y.M.; Alberts, M.J.; Coleman, C.I.; Baker, W.L. Four-year incidence of major adverse cardiovascular events in patients with atherosclerosis and atrial fibrillation. Clin. Cardiol. 2020, 43, 524–531. [Google Scholar] [CrossRef]
- Chao, T.-F.; Liu, C.-J.; Tuan, T.-C.; Chen, S.-J.; Wang, K.-L.; Lin, Y.-J.; Chang, S.-L.; Lo, L.-W.; Hu, Y.-F.; Chen, T.-J.; et al. Comparisons of CHADS2 and CHA2DS2-VASc scores for stroke risk stratification in atrial fibrillation: Which scoring system should be used for Asians? Heart Rhythm 2016, 13, 46–53. [Google Scholar] [CrossRef]
- Lee, Y.; Kim, B.-S.; Shin, J.-H.; Kim, W.; Kook, H.; Park, H.-C.; Park, M.; Park, S.; Lim, Y.-H. Influence of concomitant percutaneous transluminal angioplasty with percutaneous coronary intervention on clinical outcomes of stable lower extremity artery diseases. Sci. Rep. 2022, 12, 12996. [Google Scholar] [CrossRef]
- Svendsen, J.H.; Nielsen, J.C.; Darkner, S.; Jensen, G.V.H.; Mortensen, L.S.; Andersen, H.R.; Investigators, D. CHADS2 and CHA2DS2-VASc score to assess risk of stroke and death in patients paced for sick sinus syndrome. Heart 2013, 99, 843–848. [Google Scholar] [CrossRef]
- Gary, T.; Belaj, K.; Hafner, F.; Hackl, G.; Froehlich, H.; Pilger, E.; Brodmann, M. A high CHA2DS2-VASc score is associated with a high risk for critical limb ischemia in peripheral arterial occlusive disease patients. Atherosclerosis 2012, 225, 517–520. [Google Scholar] [CrossRef]
- Norgren, L.; Hiatt, W.R.; Dormandy, J.A.; Nehler, M.R.; Harris, K.A.; Fowkes, F.G.R.; Group, T.I.W. Inter-society consensus for the management of peripheral arterial disease (TASC II). J. Vasc. Surg. 2007, 45, S5–S67. [Google Scholar] [CrossRef]
- Narula, N.; Dannenberg, A.J.; Olin, J.W.; Bhatt, D.L.; Johnson, K.W.; Nadkarni, G.; Min, J.; Torii, S.; Poojary, P.; Anand, S.S.; et al. Pathology of peripheral artery disease in patients with critical limb ischemia. J. Am. Coll. Cardiol. 2018, 72, 2152–2163. [Google Scholar] [CrossRef]
- Miceli, G.; Basso, M.G.; Rizzo, G.; Pintus, C.; Tuttolomondo, A. The role of the coagulation system in peripheral arterial disease: Interactions with the Arterial Wall and its vascular microenvironment and implications for rational therapies. Int. J. Mol. Sci. 2022, 23, 14914. [Google Scholar] [CrossRef]
- Chan, Y.-H.; Wu, L.-S.; Chang, S.-H.; Lee, H.-F.; Liu, J.-R.; See, L.-C.; Yeh, Y.-H.; Kuo, C.-T. Young male patients with atrial fibrillation and CHA2DS2-VASc score of 1 may not need anticoagulants: A nationwide population-based study. PLoS ONE 2016, 11, e0151485. [Google Scholar] [CrossRef]
- Capell, W.H.; Bonaca, M.P.; Nehler, M.R.; Chen, E.; Kittelson, J.M.; Anand, S.S.; Berkowitz, S.D.; Debus, E.S.; Fanelli, F.; Haskell, L.; et al. Rationale and design for the Vascular Outcomes study of ASA along with rivaroxaban in endovascular or surgical limb revascularization for peripheral artery disease (VOYAGER PAD). Am. Heart J. 2018, 199, 83–91. [Google Scholar] [CrossRef]
- Evans, G.W.; Li, D.; Whipple, S.S. Cumulative risk and child development. Psychol. Bull. 2013, 139, 1342–1396. [Google Scholar] [CrossRef]
- Flouri, E.; Tzavidis, N.; Kallis, C. Area and family effects on the psychopathology of the Millennium Cohort Study children and their older siblings. J. Child Psychol. Psychiatry 2010, 51, 152–161. [Google Scholar] [CrossRef]
- Smolderen, K.; Wang, K.; De Pouvourville, G.; Brüggenjürgen, B.; Röther, J.; Zeymer, U.; Parhofer, K.; Steg, P.; Bhatt, D.; Magnuson, E. Two-year vascular hospitalisation rates and associated costs in patients at risk of atherothrombosis in France and Germany: Highest burden for peripheral arterial disease. Eur. J. Vasc. Endovasc. Surg. 2012, 43, 198–207. [Google Scholar] [CrossRef]
- Berkowitz, S.D.; Bauersachs, R.M.; Szarek, M.; Nehler, M.R.; Debus, E.S.; Patel, M.R.; Anand, S.S.; Capell, W.H.; Hess, C.N.; Hsia, J.; et al. Prevention of arterial and venous thrombotic events in symptomatic peripheral arterial disease patients after lower extremity revascularization in the VOYAGER PAD trial: Dual anticoagulant/antiplatelet regimen vs antiplatelet therapy alone. J. Thromb. Haemost. 2022, 20, 1193–1205. [Google Scholar] [CrossRef]
- Coppens, M.; Weitz, J.I.; Eikelboom, J.W. Synergy of dual pathway inhibition in chronic cardiovascular disease: Lessons from the COMPASS trial. Circ. Res. 2019, 124, 416–425. [Google Scholar] [CrossRef]
- Aboyans, V.; Desormais, I.; Lacroix, P.; Salazar, J.; Criqui, M.H.; Laskar, M. The general prognosis of patients with peripheral arterial disease differs according to the disease localization. J. Am. Coll. Cardiol. 2010, 55, 898–903. [Google Scholar] [CrossRef]






| Characteristic (Units) | Measurement N = 503 |
|---|---|
| Age (years) | 70.77 ± 12.39 |
| Sex male | 326 (64.81) |
| female | 177 (35.19) |
| BMI (kg/m2) | 23.97 ± 3.91 |
| CHF (C) | 238 (47.32) |
| HTN | 403 (86.68) |
| DM | 376 (74.75) |
| Stroke/TIA | 91 (18.09) |
| Vascular disease | 503 (100) |
| HPL | 241 (47.91) |
| SMK | 195 (38.77) |
| CAD | 263 (52.29) |
| CABG | 53 (10.54) |
| PCI | 239 (47.51) |
| Old MI | 79 (15.71) |
| COPD | 21 (4.17) |
| CKD | 319 (63.42) |
| HD/PD | 181 (35.98) |
| Cr (mg/dL) | 3.26 ± 3.04 |
| Af | 120 (23.86) |
| Imd | 21 (4.03) |
| HbA1C (%) | 7.32 ± 1.86 |
| Cholesterol (mg/dL) | 149.65 ± 39.42 |
| LDL (mg/dL) | 83.37 ± 33.35 |
| HDL (mg/dL) | 42.94 ± 15.21 |
| TG (mg/dL) | 130.87 ± 83.79 |
| Glu (mg/dL) | 145.60 ± 69.49 |
| TG/HDL | 3.69 ± 3.86 |
| ASA | 385 (76.54) |
| Clopidgrel | 427 (84.89) |
| Cilostazol | 301 (59.84) |
| Pentoxyphilline | 19 (0.19) |
| Direct oral anticoagulant (DOAC) | 73 (14.51) |
| ACEIARB | 220 (43.74) |
| Statin | 283 (56.26) |
| Betablocker | 189 (37.57) |
| CCB | 201 (39.96) |
| Insulin | 106 (21.07) |
| Rutherford = 1 | 0 (0) |
| Rutherford = 2 | 0 (0) |
| Rutherford = 3 | 0 (0) |
| Rutherford = 4 | 130 (25.84) |
| Rutherford = 5 | 316 (62.82) |
| Rutherford = 6 | 57 (11.33) |
| Target vessel CIA | 41 (8.15) |
| Target vessel EIA | 45 (8.95) |
| Target vessel CFA | 27 (5.37) |
| Target vessel SFA | 285 (56.66) |
| Target vessel ATA | 248 (49.30) |
| Target vessel popliteal | 107 (21.27) |
| Target vessel peroneal artery | 96 (19.09) |
| Target vessel tibiofibular TP trunk | 64 (12.72) |
| Target vessel PTA | 196 (38.97) |
| Target vessel DPA | 15 (2.98) |
| Target vessel plantar artery | 23 (4.57) |
| Variable | Score = 3 (N = 100) | Score = 4 (N = 115) | Score = 5 (N = 140) | Score = 6 (N = 148) | p Value |
|---|---|---|---|---|---|
| Age | 59.14 ± 12.07 | 67.76 ± 11.06 | 72.2 ± 10.54 | 79.60 ± 6.800 | <0.0001 * |
| Sex (Male) | 86 (86) | 93 (80.87) | 84 (60) | 63 (42.57) | <0.0001 * |
| BMI | 23.96 ± 3.85 | 24.48 ± 4.414 | 23.59 ± 3.503 | 23.93 ± 3.881 | 0.341 |
| CHF (C) | 13 (13) | 50 (43.48) | 67 (47.86) | 108 (72.97) | <0.0001 * |
| HTN | 52 (52) | 101 (87.82) | 136 (97.14) | 147 (99.32) | <0.0001 * |
| DM | 44 (44) | 89 (77.39) | 107 (76.43) | 136 (91.89) | <0.0001 * |
| Stroke (S)/TIA | 3 (3) | 7 (6.09) | 28 (20) | 53 (35.81) | <0.0001 * |
| Vascular disease | 100 (100) | 115 (100) | 140 (100) | 148 (100) | 1 |
| Hyperlipidemia | 36 (36) | 51 (44.53) | 69 (49.28) | 85 (57.43) | 0.008 * |
| SMK (smoking) | 63 (63) | 60 (52.17) | 44 (31.43) | 28 (18.92) | <0.0001 * |
| CR disease | 28 (28) | 60 (52.17) | 85 (60.71) | 90 (60.81) | <0.0001 * |
| Coronary artery bypass graft (CABG) | 3 (3) | 15 (13.04) | 15 (10.71) | 20 (13.51) | 0.022 * |
| Percutaneous coronary intervention (PCI) | 22 (22) | 57 (49.57) | 77 (55) | 83 (56.08) | <0.0001 * |
| Old myocardial infarction (MI) | 5 (5) | 19 (16.52) | 26 (18.57) | 29 (19.59) | 0.004 * |
| COPD | 2 (2) | 2 (1.74) | 9 (6.43) | 8 (5.4) | 0.168 |
| CKD | 35 (35) | 70 (60.87) | 109 (77.86) | 105 (70.95) | <0.0001 * |
| HD/PD | 25 (25) | 42 (36.52) | 55 (39.29) | 59 (39.86) | 0.069 |
| Cardiac rehabilitation (Cr) score | 2.65 ± 3.24 | 3.493 ± 3.569 | 3.536 ± 2.898 | 3.226 ± 2.553 | 0.136 |
| Atrial fibrillation (Af) | 10 (10) | 19 (16.52) | 40 (28.47) | 51 (34.46) | <0.0001 * |
| Immune-related disease (Imd) | 10 (10) | 3 (2.61) | 4 (2.86) | 4 (2.70) | 0.033 * |
| HbA1C | 7.013 ± 1.928 | 7.675 ± 2.129 | 7.285 ± 1.600 | 7.298 ± 1.799 | 0.072 |
| Cholesterol | 163.65 ± 40.72 | 149.50 ± 42.07 | 147.81 ± 40.29 | 142.05 ± 32.99 | 0.0003 * |
| LDL | 93 ± 34.675 | 82.03 ± 32.08 | 83.22 ± 36.68 | 78.01 ± 28.69 | 0.006 * |
| HDL | 43.76 ± 18.288 | 43.02 ± 16.36 | 41.53 ± 12.31 | 43.770 ± 14.486 | 0.542 |
| TG | 147.31 ± 99.34 | 131.71 ± 93.15 | 129.2 ± 72.41 | 120.67 ± 73.13 | 0.106 |
| Glu | 135.29 ± 65.37 | 154.71 ± 80.44 | 147.75 ± 68.83 | 143.44 ± 63.002 | 0.216 |
| Medications | |||||
| ASA | 79 (79) | 88 (76.52) | 111 (79.29) | 107 (72.30) | 0.504 |
| Clopidgrel | 76 (79) | 97 (84.35) | 124 (88.57) | 130 (87.84) | 0.0428 |
| Cilostazol | 62 (62) | 77 (66.96) | 79 (56.43) | 83 (56.08) | 0.242 |
| Pentoxyphilline | 0 (0) | 0 (0) | 0 (0) | 1 (0.67) | 1 |
| Direct oral anticoagulant (DOAC) | 15 (15) | 11 (9.56) | 24 (17.14) | 23 (15.54) | 0.349 |
| ACEIARB | 35 (35) | 54 (46.96) | 67 (47.86) | 64 (43.24) | 0.204 |
| Statin | 57 (57) | 63 (54.78) | 81 (57.86) | 82 (55.41) | 0.958 |
| Betablocker | 22 (22) | 48 (41.74) | 58 (41.43) | 61 (41.22) | 0.003 * |
| CCB | 37 (37) | 43 (37.39) | 66 (47.14) | 55 (37.16) | 0.251 |
| Insulin | 13 (13) | 26 (22.61) | 28 (20) | 39 (26.35) | 0.076 |
| Rutherford classification | |||||
| 1 | 0 (0) | 0 (0) | 0 (0) | 0 (0) | 1 |
| 2 | 0 (0) | 0 (0) | 0 (0) | 0 (0) | 1 |
| 3 | 0 (0) | 0 (0) | 0 (0) | 0 (0) | 1 |
| 4 | 36 (36) | 28 (24.34) | 34 (24.29) | 32 (21.62) | 0.079 |
| 5 | 55 (55) | 72 (62.61) | 86 (61.43) | 103 (69.59) | 0.129 |
| 6 | 9 (9) | 15 (13.04) | 20 (14.29) | 13 (8.78) | 0.394 |
| Target vessel | |||||
| CIA | 8 (8) | 11 (9.56) | 15 (10.71) | 7 (4.73) | 0.249 |
| EIA | 11 (11) | 11 (9.56) | 13 (9.29) | 10 (6.76) | 0.677 |
| CFA | 10 (10) | 4 (3.48) | 8 (5.71) | 5 (3.38) | 0.128 |
| SFA | 42 (42) | 59 (51.30) | 86 (61.43) | 98 (66.22) | 0.0007 * |
| ATA | 49 (49) | 62 (53.91) | 70 (50) | 67 (45.27) | 0.581 |
| Popliteal | 19 (19) | 19 (16.52) | 33 (23.57) | 36 (24.32) | 0.375 |
| Peroneal artery | 12 (12) | 22 (19.13) | 27 (19.29) | 35 (23.65) | 0.147 |
| Tibiofibular TP trunk | 9 (9) | 6 (5.21) | 23 (16.43) | 26 (17.57) | 0.005 * |
| PTA | 44 (44) | 46 (40) | 50 (35.71) | 56 (37.84) | 0.613 |
| DPA | 4 (4) | 4 (3.48) | 3 (2.14) | 4 (2.70) | 0.825 |
| Plantar artery | 2 (2) | 8 (6.96) | 8 (5.71) | 5 (3.38) | 0.269 |
| Events | Low Risk (N = 100) | Moderate Risk (N = 115) | High Risk (N = 140) | Very High Risk (N = 148) |
|---|---|---|---|---|
| Major adverse cardiovascular events (MACEs) | ||||
| #MACEs (%) | 3 (3) | 13 (11.30) | 16 (11.43) | 17 (11.49) |
| Crude HR (95% CI) | 1 | 3.52 (1.00–12.12) | 4.18 (1.22–14.36) | 5.08 (1.49–17.36) |
| p value | 0.048 * | 0.023 * | 0.009 * | |
| Multivariate adjusted HR (95% CI) | 1 | 2.57 (0.55–9.31) | 3.51 (0.78–15.86) | 4.67 (1.03–21.09) |
| p value | 0.231 | 0.102 | 0.045 * | |
| Major adverse limb events (MALEs) | ||||
| # MALEs (%) | 31 (31) | 49 (42.60) | 63 (45) | 50 (33.78) |
| Crude HR (95% CI) | 1 | 1.33 (0.85–2.09) | 1.55 (1.01–2.38) | 1.21 (0.77–1.89) |
| p value | 0.213 | 0.046 * | 0.398 | |
| Multivariate adjusted HR (95% CI) | 1 | 1.29 (0.81–2.33) | 1.66 (1.04–3.2) | 1.34 (0.79–2.94) |
| p value | 0.30 | 0.039 * | 0.249 | |
| Major adverse limb and cardiac events (MALEs + MACEs) | ||||
| #MALEs + MACEs (%) | 34 (34) | 57 (49.57) | 70 (50) | 63 (42.57) |
| Crude HR (95% CI) | 1 | 1.37 (0.89–2.09) | 1.58 (1.05–2.37) | 1.41 (0.93–2.14) |
| p value | 0.145 | 0.029 * | 0.107 | |
| Multivariate adjusted HR (95%CI) | 1 | 1.35 (0.85–2.13) | 1.6 (1.01–2.53) | 1.46 (0.92–2.30) |
| p value | 0.204 | 0.045 * | 0.108 |
| MALEs | MACEs | MALEs + MACEs | ||||
|---|---|---|---|---|---|---|
| Avg. C-Index | Std. Dev. C-Index | Avg. C-Index | Std. Dev. C-Index | Avg. C-Index | Std. Dev. C-Index | |
| Crude MCR model | 0.54 | 0.009 | 0.63 | 0.02 | 0.54 | 0.009 |
| Multivariate-adjusted MCR model | 0.57 | 0.009 | 0.81 | 0.014 | 0.56 | 0.009 |
| Traditional model | 0.55 | 0.01 | 0.81 | 0.01 | 0.54 | 0.007 |
Disclaimer/Publisher’s Note: The statements, opinions and data contained in all publications are solely those of the individual author(s) and contributor(s) and not of MDPI and/or the editor(s). MDPI and/or the editor(s) disclaim responsibility for any injury to people or property resulting from any ideas, methods, instructions or products referred to in the content. |
© 2024 by the authors. Licensee MDPI, Basel, Switzerland. This article is an open access article distributed under the terms and conditions of the Creative Commons Attribution (CC BY) license (https://creativecommons.org/licenses/by/4.0/).
Share and Cite
Cheng, Y.-T.; Chang, F.-L.; Li, P.-H.; Lu, W.-C.; Chiu, C.-S. Assessing the Suitability of CHA2DS2-VASc for Predicting Adverse Limb Events and Cardiovascular Outcomes in Peripheral Artery Disease Patients with Percutaneous Transluminal Angioplasty: A Retrospective Cohort Study. Biomedicines 2024, 12, 1374. https://doi.org/10.3390/biomedicines12061374
Cheng Y-T, Chang F-L, Li P-H, Lu W-C, Chiu C-S. Assessing the Suitability of CHA2DS2-VASc for Predicting Adverse Limb Events and Cardiovascular Outcomes in Peripheral Artery Disease Patients with Percutaneous Transluminal Angioplasty: A Retrospective Cohort Study. Biomedicines. 2024; 12(6):1374. https://doi.org/10.3390/biomedicines12061374
Chicago/Turabian StyleCheng, Yu-Tsung, Fu-Lan Chang, Po-Hsien Li, Wen-Chien Lu, and Chien-Shan Chiu. 2024. "Assessing the Suitability of CHA2DS2-VASc for Predicting Adverse Limb Events and Cardiovascular Outcomes in Peripheral Artery Disease Patients with Percutaneous Transluminal Angioplasty: A Retrospective Cohort Study" Biomedicines 12, no. 6: 1374. https://doi.org/10.3390/biomedicines12061374
APA StyleCheng, Y.-T., Chang, F.-L., Li, P.-H., Lu, W.-C., & Chiu, C.-S. (2024). Assessing the Suitability of CHA2DS2-VASc for Predicting Adverse Limb Events and Cardiovascular Outcomes in Peripheral Artery Disease Patients with Percutaneous Transluminal Angioplasty: A Retrospective Cohort Study. Biomedicines, 12(6), 1374. https://doi.org/10.3390/biomedicines12061374

