Effects of Short-, Medium-, and Long-Term Treatment Using Photobiomodulation Therapy Combined with Static Magnetic Field in Aging Rats
Abstract
1. Introduction
2. Materials and Methods
2.1. Animals
2.2. Experimental Groups
- Young-control: eight young animals were not subjected to any procedure or treatment and were euthanized at six weeks old. This group represents the baseline values for all outcome measures
- Placebo-control: 24 animals were treated with placebo PBMT-sMF.
- 1 J: 24 animals were treated with PBMT-sMF with dose of 1 J.
- 3 J: 24 animals were treated with PBMT-sMF with dose of 3 J.
- 10 J: 24 animals were treated with PBMT-sMF with dose of 10 J.
- 30 J: 24 animals were treated with PBMT-sMF with dose of 30 J.
2.3. Treatments
2.3.1. Active PBMT-sMF
2.3.2. Placebo-Control PBMT-sMF
2.4. Collection of Biological Materials
2.5. Outcomes
2.5.1. Histological Analysis of Skin, Muscle, and Bone
2.5.2. Biochemical Analysis—Glutamic Pyruvic Transaminase (GPT), Glutamic Oxaloacetic Transaminase (GOT), Creatinine, and Urea Levels
2.5.3. Analysis of Vascular Endothelial Growth Factor (VEGF) by Enzyme-Linked Immunosorbent Assay (ELISA)
2.6. Statistical Analysis
3. Results
3.1. Histological Analysis
3.1.1. Short-Term Treatment (15 Weeks)
3.1.2. Medium-Term Treatment (30 Weeks)
3.1.3. Long-Term Treatment (60 Weeks)
3.2. Biochemical Analysis: GPT, GOT, Urea, Creatinine, and VEGF
3.2.1. Short-Term Treatment (15 Weeks)
3.2.2. Medium-Term Treatment (30 Weeks)
3.2.3. Long-Term Treatment (60 Weeks)
4. Discussion
5. Conclusions
Author Contributions
Funding
Institutional Review Board Statement
Informed Consent Statement
Data Availability Statement
Acknowledgments
Conflicts of Interest
References
- Anders, J.J.; Lanzafame, R.J.; Arany, P.R. Low-level light/laser therapy versus photobiomodulation therapy. Photomed. Laser Surg. 2015, 33, 183–184. [Google Scholar] [CrossRef] [PubMed]
- Karu, T. Laser biostimulation: A photobiological phenomenon. J. Photochem. Photobiol. B Biol. 1989, 3, 638–640. [Google Scholar] [CrossRef]
- Huang, Y.Y.; Sharma, S.K.; Carroll, J.; Hamblin, M.R. Biphasic dose response in low level light therapy—An update. Dose Response 2011, 9, 602–618. [Google Scholar] [CrossRef] [PubMed]
- Wang, S.; Zheng, M.; Lou, C.; Chen, S.; Guo, H.; Gao, Y.; Lv, H.; Yuan, X.; Zhang, X.; Shang, P. Evaluating the biological safety on mice at 16 T static magnetic field with 700 MHz radio-frequency electromagnetic field. Ecotoxicol. Environ. Saf. 2022, 230, 113125. [Google Scholar] [CrossRef] [PubMed]
- Zhang, B.; Yuan, X.; Lv, H.; Che, J.; Wang, S.; Shang, P. Biophysical mechanisms underlying the effects of static magnetic fields on biological systems. Prog. Biophys. Mol. Biol. 2023, 177, 14–23. [Google Scholar] [CrossRef] [PubMed]
- Albuquerque, W.W.C.; Costa, R.M.P.B.; de Salazar e Fernandes, T.; Porto, A.L.F. Evidences of the static magnetic field influence on cellular systems. Prog. Biophys. Mol. Biol. 2016, 121, 16–28. [Google Scholar] [CrossRef] [PubMed]
- Yang, X.; Li, Z.; Polyakova, T.; Dejneka, A.; Zablotskii, V.; Zhang, X. Effect of static magnetic field on DNA synthesis: The interplay between DNA chirality and magnetic field left-right asymmetry. FASEB Bioadv. 2020, 2, 254–263. [Google Scholar] [CrossRef] [PubMed]
- Wang, D.; Wang, Z.; Zhang, L.; Li, Z.; Tian, X.; Fang, J.; Lu, Q.; Zhang, X. Cellular ATP levels are affected by moderate and strong static magnetic fields. Bioelectromagnetics 2018, 39, 352–360. [Google Scholar] [CrossRef]
- Gurhan, H.; Bruzon, R.; Kandala, S.; Greenebaum, B.; Barnes, F. Effects Induced by a Weak Static Magnetic Field of Different Intensities on HT-1080 Fibrosarcoma Cells. Bioelectromagnetics 2021, 42, 212–223. [Google Scholar] [CrossRef]
- Friedmann, H.; Lipovsky, A.; Nitzan, Y.; Lubart, R. Combined magnetic and pulsed laser fields produce synergistic acceleration of cellular electron transfer. Laser Ther. 2009, 18, 137–141. [Google Scholar] [CrossRef]
- Albuquerque-Pontes, G.M.; Casalechi, H.L.; Tomazoni, S.S.; Serra, A.J.; Ferreira, C.d.S.B.; Brito, R.B.d.O.; de Melo, B.L.; Vanin, A.A.; Monteiro, K.K.D.S.; Dellê, H.; et al. Photobiomodulation therapy protects skeletal muscle and improves muscular function of mdx mice in a dose-dependent manner through modulation of dystrophin. Lasers Med. Sci. 2018, 33, 755–764. [Google Scholar] [CrossRef] [PubMed]
- Casalechi, H.L.; Dumont, A.J.L.; Ferreira, L.A.B.; de Paiva, P.R.V.; Machado, C.d.S.M.; Carvalho, P.d.T.C.d.; Oliveira, C.S.; Leal-Junior, E.C.P. Acute effects of photobiomodulation therapy and magnetic field on functional mobility in stroke survivors: A randomized, sham-controlled, triple-blind, crossover, clinical trial. Lasers Med. Sci. 2020, 35, 1253–1262. [Google Scholar] [CrossRef] [PubMed]
- De Paiva, P.R.V.; Casalechi, H.L.; Tomazoni, S.S.; Machado, C.D.S.M.; Ribeiro, N.F.; Pereira, A.L.; De Oliveira, M.F.D.; Alves, M.N.D.S.; Dos Santos, M.C.; Takara, I.E.T.; et al. Does the combination of photobiomodulation therapy (PBMT) and static magnetic fields (sMF) potentiate the effects of aerobic endurance training and decrease the loss of performance during detraining? A randomised, triple-blinded, placebo-controlled trial. BMC Sports Sci. Med. Rehabil. 2020, 12, 23. [Google Scholar] [CrossRef] [PubMed]
- Herpich, C.M.; Leal-Junior, E.C.P.; Politti, F.; Gomes, C.A.F.d.P.; Glória, I.P.d.S.; Amaral, M.d.F.R.d.S.; Herpich, G.; de Azevedo, L.M.A.; Gonzalez, T.d.O.; Biasotto-Gonzalez, D.A. Intraoral photobiomodulation diminishes pain and improves functioning in women with temporomandibular disorder: A randomized, sham-controlled, double-blind clinical trial: Intraoral photobiomodulation diminishes pain in women with temporomandibular disorder. Lasers Med. Sci. 2020, 35, 439–445. [Google Scholar] [PubMed]
- Tomazoni, S.S.; Costa, L.O.P.; Joensen, J.; Stausholm, M.B.; Naterstad, I.F.; Ernberg, M.; Leal-Junior, E.C.P.; Bjordal, J.M. Photobiomodulation Therapy is Able to Modulate PGE2 Levels in Patients with Chronic Non-Specific Low Back Pain: A Randomized Placebo-Controlled Trial. Lasers Surg. Med. 2021, 53, 236–244. [Google Scholar] [CrossRef] [PubMed]
- Teixeira, A.M.; Leal-Junior, E.C.P.; Casalechi, H.L.; Vanin, A.A.; de Paiva, P.R.V.; Melo, F.H.C.; Johnson, D.S.; Tomazoni, S.S. Photobiomodulation Therapy Combined with Static Magnetic Field Reduces Pain in Patients with Chronic Nonspecific Neck and/or Shoulder Pain: A Randomized, Triple-Blinded, Placebo-Controlled Trial. Life 2022, 12, 656. [Google Scholar] [CrossRef] [PubMed]
- Ribeiro, N.F.; Leal-Junior, E.C.P.; Johnson, D.S.; Demchak, T.; Machado, C.M.; Dias, L.B.; DE Oliveira, M.F.; Lino, M.M.; Rodrigues, W.D.; Santo, J.; et al. Photobiomodulation therapy combined with static magnetic field is better than placebo in patients with fibromyalgia: A randomized placebo-controlled trial. Eur. J. Phys. Rehabil. Med. 2023, 59, 754–762. [Google Scholar] [CrossRef]
- Woodruff, L.D.; Bounkeo, J.M.; Brannon, W.M.; Dawes, K.S.; Barham, C.D.; Waddell, D.L.; Enwemeka, C.S. The efficacy of laser therapy in wound repair: A meta-analysis of the literature. Photomed. Laser Surg. 2004, 22, 241–247. [Google Scholar] [CrossRef] [PubMed]
- Fiorio, F.B.; dos Santos, S.A.; de Melo Rambo, C.S.; Dalbosco, C.G.; Serra, A.J.; de Melo, B.L.; Leal-Junior, E.C.P.; de Carvalho, P.d.T.C. Photobiomodulation therapy action in wound repair skin induced in aged rats old: Time course of biomarkers inflammatory and repair. Lasers Med. Sci. 2017, 32, 1769–1782. [Google Scholar] [CrossRef] [PubMed]
- Schindl, A.; Heinze, G.; Schindl, M.; Pernerstorfer-Schön, H.; Schindl, L. Systemic effects of low-intensity laser irradiation on skin microcirculation in patients with diabetic microangiopathy. Microvasc. Res. 2002, 64, 240–246. [Google Scholar] [CrossRef] [PubMed]
- Linares, S.N.; Beltrame, T.; Ferraresi, C.; Galdino, G.A.M.; Catai, A.M. Photobiomodulation effect on local hemoglobin concentration assessed by near-infrared spectroscopy in humans. Lasers Med. Sci. 2020, 35, 641–649. [Google Scholar] [CrossRef]
- Chen, Y.C.; Su, Y.H.; Lin, Y.T.; Huang, C.-C.; Hwang, I.-S. Acute physiological responses to combined blood flow restriction and low-level laser. Eur. J. Appl. Physiol. 2020, 120, 1437–1447. [Google Scholar] [CrossRef] [PubMed]
- De Marchi, T.; Leal-Junior, E.C.; Bortoli, C.; Tomazoni, S.S.; Lopes-Martins, R.B.; Salvador, M. Low-level laser therapy (LLLT) in human progressive-intensity running: Effects on exercise performance, skeletal muscle status, and oxidative stress. Lasers Med. Sci. 2012, 27, 231–236. [Google Scholar] [CrossRef]
- Terena, S.M.L.; Fernandes, K.P.S.; Bussadori, S.K.; Junior, A.B.; Silva, D.d.F.T.d.; Magalhães, E.M.R.; Ferrari, R.A.M. Infrared laser improves collagen organization in muscle and tendon tissue during the process of compensatory overload. Photomed. Laser Surg. 2018, 36, 130–136. [Google Scholar] [CrossRef] [PubMed]
- De Lima Rodrigues, D.; Alves, A.N.; Guimarães, B.R.; Amorim, W.W.d.A.A.; Bussadori, S.K.; Fernandes, K.P.S.; Mesquita-Ferrari, R.A. Effect of prior application with and without post-injury treatment with low-level laser on the modulation of key proteins in the muscle repair process. Lasers Med. Sci. 2018, 33, 1207–1213. [Google Scholar] [CrossRef] [PubMed]
- Tomazoni, S.S.; Frigo, L.; Dos Reis Ferreira, T.C.; Casalechi, H.L.; Teixeira, S.; de Almeida, P.; Muscara, M.N.; Marcos, R.L.; Serra, A.J.; Carvalho, P.d.T.C.d.; et al. Effects of photobiomodulation therapy and topical non-steroidal anti-inflammatory drug on skeletal muscle injury induced by contusion in rats—Part 1: Morphological and functional aspects. Lasers Med. Sci. 2017, 32, 2111–2120. [Google Scholar] [CrossRef] [PubMed]
- Tomazoni, S.S.; Frigo, L.; Dos Reis Ferreira, T.C.; Casalechi, H.L.; Teixeira, S.; de Almeida, P.; Muscara, M.N.; Marcos, R.L.; Serra, A.J.; Carvalho, P.d.T.C.d.; et al. Effects of photobiomodulation therapy and topical non-steroidal anti-inflammatory drug on skeletal muscle injury induced by contusion in rats—Part 2: Biochemical aspects. Lasers Med. Sci. 2017, 32, 1879–1887. [Google Scholar] [CrossRef] [PubMed]
- Yildirimturk, S.; Sirin, Y.; Soluk Tekkesin, M.; Gurler, G.; Firat, D. The effects of low-level laser therapy on the healing of bone defects in streptozotocin-induced diabetic rats: A histological and morphometric evaluation. J. Cosmet. Laser Ther. 2017, 19, 397–403. [Google Scholar] [CrossRef] [PubMed]
- dos Santos Santinoni, C.; Oliveira, H.F.F.; de Souza Batista, V.E.; Lemos, C.A.A.; Verri, F. Influence of low-level laser therapy on the healing of human bone maxillofacial defects: A systematic review. J. Photochem. Photobiol. B Biol. 2017, 169, 83–89. [Google Scholar] [CrossRef] [PubMed]
- Oron, U.; Maltz, L.; Tuby, H.; Sorin, V.; Czerniak, A. Enhanced liver regeneration following acute hepatectomy by low-level laser therapy. Photomed. Laser Surg. 2010, 28, 675–678. [Google Scholar] [CrossRef]
- Takhtfooladi, M.A.; Takhtfooladi, H.A.; Khansari, M. The effects of low-intensity laser therapy on hepatic ischemia-reperfusion injury in a rat model. Lasers Med. Sci. 2014, 29, 1887–1893. [Google Scholar] [CrossRef] [PubMed]
- Ucero, A.C.; Sabban, B.; Benito-Martin, A.; Carrasco, S.; Joeken, S.; Ortiz, A. Laser therapy in metabolic syndrome-related kidney injury. Photochem. Photobiol. 2013, 89, 953–960. [Google Scholar] [CrossRef] [PubMed]
- Tuby, H.; Hertzberg, E.; Maltz, L.; Oron, U. Long-term safety of low-level laser therapy at different power densities and single or multiple applications to the bone marrow in mice. Photomed. Laser Surg. 2013, 31, 269–273. [Google Scholar] [CrossRef] [PubMed]
- McCarthy, T.J.; De Taboada, L.; Hildebrandt, P.K.; Ziemer, E.L.; Richieri, S.P.; Streeter, J. Long-term safety of single and multiple infrared transcranial laser treatments in Sprague-Dawley rats. Photomed. Laser Surg. 2010, 28, 663–667. [Google Scholar] [CrossRef] [PubMed]
- Harman, D. The free radical theory of aging. Antioxid. Redox Signal 2003, 5, 557–561. [Google Scholar] [CrossRef] [PubMed]
- Takema, Y.; Yorimoto, Y.; Kawai, M.; Imokawa, G. Age-related changes in the elastic properties and thickness of human facial skin. Br. J. Dermatol. 1994, 131, 641–648. [Google Scholar] [CrossRef] [PubMed]
- Vilela, R.G.; Gjerde, K.; Frigo, L.; Leal-Junior, E.C.P.L.; Lopes-Martins, R.B.; Kleine, B.M.; Prokopowitsch, I. Histomorphometric analysis of inflammatory response and necrosis in re-implanted central incisor of rats treated with low-level laser therapy. Lasers Med. Sci. 2012, 27, 551–557. [Google Scholar] [CrossRef] [PubMed]
- Hew, J.; Solon-Biet, S.M.; McMahon, A.C.; Ruohonen, K.; Raubenheimer, D.; Ballard, J.W.O.; Le Couteur, D.G.; Nicholls, C.; Li, Z.; Maitz, P.K.M.; et al. The effects of dietary macronutrient balance on skin structure in aging male and female mice. PLoS ONE 2016, 11, e0166175. [Google Scholar] [CrossRef] [PubMed]
- Gaur, M.; Dobke, M.; Lunyak, V.V. Mesenchymal stem cells from adipose tissue in clinical applications for dermatological indications and skin aging. Int. J. Mol. Sci. 2017, 18, 208. [Google Scholar] [CrossRef] [PubMed]
- Andreo, L.; Ribeiro, B.G.; Alves, A.N.; Martinelli, A.S.; Soldera, C.B.; Horliana, A.C.R.; Bussadori, S.K.; Fernandes, K.P.; Mesquita-Ferrari, R.A. Effects of Photobiomodulation with Low-level Laser Therapy on Muscle Repair Following a Peripheral Nerve Injury in Wistar Rats. Photochem. Photobiol. 2020, 96, 1124–1132. [Google Scholar] [CrossRef]
- Bossini, P.S.; Rennó, A.C.; Ribeiro, D.A.; Fangel, R.; Ribeiro, A.C.; Lahoz, M.d.A.; Parizotto, N.A. Low level laser therapy (830 nm) improves bone repair in osteoporotic rats: Similar outcomes at two different dosages. Exp. Gerontol. 2012, 47, 136–142. [Google Scholar] [CrossRef] [PubMed]
- Liu, X.; Lyon, R.; Meier, H.T.; Thometz, J.; Haworth, S.T. Effect of lower-level laser therapy on rabbit tibial fracture. Photomed. Laser Surg. 2007, 25, 487–494. [Google Scholar] [CrossRef] [PubMed]
- Ribeiro, D.A.; Matsumoto, M.A. Low-level laser therapy improves bone repair in rats treated with anti-inflammatory drugs. J. Oral Rehabil. 2008, 35, 925–933. [Google Scholar] [CrossRef]
- Tajiri, K.; Shimizu, Y. Liver physiology and liver diseases in the elderly. World J. Gastroenterol. 2013, 19, 8459–8467. [Google Scholar] [CrossRef] [PubMed]
- Lim, J.; Ali, Z.M.; Sanders, R.A.; Snyder, A.C.; Eells, J.T.; Henshel, D.S.; Watkins, J.B. Effects of low-level light therapy on hepatic antioxidant defense in acute and chronic diabetic rats. J. Biochem. Mol. Toxicol. 2009, 23, 1–8. [Google Scholar] [CrossRef]
- Asghari, A.; Takhtfooladi, M.A.; Hoseinzadeh, H.A. Effect of photobiomodulation on ischemia/reperfusion-induced renal damage in diabetic rats. Lasers Med. Sci. 2016, 31, 1943–1948. [Google Scholar] [CrossRef] [PubMed]
- Oron, U.; Tuby, H.; Maltz, L.; Sagi-Assif, O.; Abu-Hamed, R.; Yaakobi, T.; Doenyas-Barak, K.; Efrati, S. Autologous bone-marrow stem cells stimulation reverses post-ischemic-reperfusion kidney injury in rats. Am. J. Nephrol. 2014, 40, 425–433. [Google Scholar] [CrossRef] [PubMed]
- Assis, L.; Manis, C.; Fernandes, K.R.; Cabral, D.; Magri, A.; Veronez, S.; Renno, A.C.M. Investigation of the Comparative Effects of Red and Infrared Laser Therapy on Skeletal Muscle Repair in Diabetic Rats. Am. J. Phys. Med. Rehabil. 2016, 95, 525–534. [Google Scholar] [CrossRef] [PubMed]
- Albuquerque-Pontes, G.M.; Vieira, R.P.; Tomazoni, S.S.; Caires, C.O.; Nemeth, V.; Vanin, A.A.; Santos, L.A.; Pinto, H.D.; Marcos, R.L.; Bjordal, J.M.; et al. Effect of pre-irradiation with different doses, wavelengths, and application intervals of low-level laser therapy on cytochrome c oxidase activity in intact skeletal muscle of rats. Lasers Med. Sci. 2015, 30, 59–66. [Google Scholar] [CrossRef] [PubMed]
- Matsumoto, T.; Claesson-Welsh, L. VEGF receptor signal transduction. Sci. STKE 2001, 2001, re21. [Google Scholar] [CrossRef] [PubMed]
Disclaimer/Publisher’s Note: The statements, opinions, and data contained in all publications are solely those of the individual author(s) and contributor(s) and not of MDPI and/or the editor(s). MDPI and/or the editor(s) disclaim responsibility for any injury to people or property resulting from any ideas, methods, instructions, or products referred to in the content. |





| Parameter (Unit) | Value or Method |
|---|---|
| Number of lasers | 1 Super-pulsed infrared |
| Wavelength (nm) | 905 (±1) |
| Frequency (Hz) | 250 |
| Peak power (W) | 25 |
| Average mean optical output (mW) | 0.625 |
| Power density (mW/cm2) | 1.42 |
| Energy density (J/cm2) | 0.011, 0.033, 0.11, or 0.33 |
| Dose (J) | 0.005, 0.0144, 0.048, or 0.144 |
| Spot size of laser (cm2) | 0.44 |
| Number of red LEDs | 4 Red |
| Wavelength of red LEDs (nm) | 640 (±10) |
| Frequency (Hz) | 2 |
| Average optical output (mW)—each | 15 |
| Power density (mW/cm2)—each | 16.67 |
| Energy density (J/cm2)—each | 0.133, 0.383, 1.283, or 3.84 |
| Dose (J)—each | 0.12, 0.345, 1.155, or 3.46 |
| Spot size of red LED (cm2)—each | 0.9 |
| Number of infrared LEDs | 4 Infrared |
| Wavelength of infrared LEDs (nm) | 875 (±10) |
| Frequency (Hz) | 16 |
| Average optical output (mW)—each | 17.5 |
| Power density (mW/cm2)—each | 19.44 |
| Energy density (J/cm2)—each | 0.155, 0.447, 1.497, or 4.490 |
| Dose (J)—each | 0.14, 0.4025, 1.3475, or 4.042 |
| Spot size of infrared LED (cm2)—each | 0.9 |
| Magnetic field (mT) | 35 |
| Irradiation time per site (s) | 8, 23, 77, or 231 |
| Total dose per site (J) | 1.0, 3.0, 10.0, or 30.0 |
| Total dose applied in muscular group (J) | 1.0, 3.0, 10.0, or 30.0 |
| Aperture of device (cm2) | 0.394 |
| Device total power output (mW) | 130.62 |
| Device power density (mW/cm2) | 331.54 |
| Device energy density (J/cm2) | 2.54, 7.61, 25.38, or 76.14 |
| Application mode | Cluster probe held stationary in contact with the skin at a 90° angle while applying slight pressure |
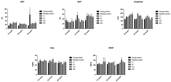
| Outcomes | Mean (Standard Deviation) | |||||
|---|---|---|---|---|---|---|
| Young-Control | Placebo-Control | 1 J | 3 J | 10 J | 30 J | |
| Glutamic pyruvic transaminase (GPT) (U/L) | ||||||
| 15 weeks | 14.71 (2.58) | 24.91 (5.22) | 20.70 (6.85) | 29.84 (9.81) | 27.67 (5.12) | 29.34 (12.84) |
| 30 weeks | 14.71 (2.58) | 24.56 (4.09) a | 22.04 (4.88) | 22.23 (5.02) | 22.46 (5.77) | 19.13 (4.39) |
| 60 weeks | 14.71 (2.58) | 71.70 (25.60) a,c,d,e,f | 21.52 (12.46) | 26.03 (3.64) | 24.97 (3.61) | 28.95 (8.94) |
| Glutamic oxaloacetic transaminase (GOT) (U/L) | ||||||
| 15 weeks | 34.64 (16.43) | 27.61 (14.90) | 25.39 (8.42) | 24.61 (6.46) | 31.74 (24.53) | 27.22 (13.68) |
| 30 weeks | 34.64 (16.43) | 55.10 (9.01) d,f | 38.95 (12.36) | 26.32 (4.28) | 35.10 (2.48) | 29.66 (9.23) |
| 60 weeks | 34.64 (16.43) | 52.69 (22.01) | 54.66 (13.25) | 51.02 (16.15) | 49.97 (23.17) | 47.47 (8.57) |
| Creatinine (μmol) | ||||||
| 15 weeks | 121.20 (6.09) | 153.30 (15.91) | 147.20 (15.42) | 167.80 (12.50) a | 180.00 (4.11) a | 184.80 (34.98) a |
| 30 weeks | 121.20 (6.09) | 123.40 (22.56) | 191.00 (27.02) | 163.10 (31.50) | 167.00 (6.13) | 119.20 (43.79) |
| 60 weeks | 121.20 (6.09) | 139.70 (38.23) | 162.90 (20.56) | 143.50 (25.27) | 109.10 (27.43) c | 140.60 (5.23) |
| Urea (mg/dL) | ||||||
| 15 weeks | 48.75 (14.82) | 59.42 (8.88) | 54.48 (5.12) | 54.72 (5.77) | 59.45 (7.42) | 55.74 (6.56) |
| 30 weeks | 48.75 (14.82) | 57.54 (7.15) | 52.12 (20.14) | 62.47 (11.79) | 47.36 (6.30) | 49.87 (3.49) |
| 60 weeks | 48.75 (14.82) | 50.17 (11.95) | 50.56 (4.17) | 42.72 (5.61) | 49.70 (10.80) | 51.16 (10.53) |
| Vascular endothelial growth factor (VEGF) (pg/μg) | ||||||
| 15 weeks | 108.30 (8.06) | 116.10 (5.44) | 104.80 (5.09) | 108.60 (7.94) | 133.00 (12.18) a,b,c,d | 133.60 (7.40) a,b,c,d |
| 30 weeks | 108.30 (8.06) | 127.10 (5.08) | 117.40 (11.16) | 121.90 (7.91) | 127.70 (8.34) | 98.26 (5.09) b,c,d,e |
| 60 weeks | 108.30 (8.06) | 110.70 (4.80) | 122.90 (14.37) | 153.60 (30.50) b | 130.20 (10.25) | 123.60 (13.77) |
Disclaimer/Publisher’s Note: The statements, opinions and data contained in all publications are solely those of the individual author(s) and contributor(s) and not of MDPI and/or the editor(s). MDPI and/or the editor(s) disclaim responsibility for any injury to people or property resulting from any ideas, methods, instructions or products referred to in the content. |
© 2024 by the authors. Licensee MDPI, Basel, Switzerland. This article is an open access article distributed under the terms and conditions of the Creative Commons Attribution (CC BY) license (https://creativecommons.org/licenses/by/4.0/).
Share and Cite
Monteiro, K.K.D.S.; Tomazoni, S.S.; Albuquerque Pontes, G.M.; Teixeira, A.M.; Agra, F.A.d.A.; Alvim, C.B.; Medeiros Brigato, S.L.; Marcos, R.L.; Dellê, H.; Serra, A.J.; et al. Effects of Short-, Medium-, and Long-Term Treatment Using Photobiomodulation Therapy Combined with Static Magnetic Field in Aging Rats. Biomedicines 2024, 12, 990. https://doi.org/10.3390/biomedicines12050990
Monteiro KKDS, Tomazoni SS, Albuquerque Pontes GM, Teixeira AM, Agra FAdA, Alvim CB, Medeiros Brigato SL, Marcos RL, Dellê H, Serra AJ, et al. Effects of Short-, Medium-, and Long-Term Treatment Using Photobiomodulation Therapy Combined with Static Magnetic Field in Aging Rats. Biomedicines. 2024; 12(5):990. https://doi.org/10.3390/biomedicines12050990
Chicago/Turabian StyleMonteiro, Kadma Karênina Damasceno Soares, Shaiane Silva Tomazoni, Gianna Móes Albuquerque Pontes, Adeilson Matias Teixeira, Fernanda Aparecida de Araújo Agra, Carolina Barros Alvim, Sâmela Lopes Medeiros Brigato, Rodrigo Labat Marcos, Humberto Dellê, Andrey Jorge Serra, and et al. 2024. "Effects of Short-, Medium-, and Long-Term Treatment Using Photobiomodulation Therapy Combined with Static Magnetic Field in Aging Rats" Biomedicines 12, no. 5: 990. https://doi.org/10.3390/biomedicines12050990
APA StyleMonteiro, K. K. D. S., Tomazoni, S. S., Albuquerque Pontes, G. M., Teixeira, A. M., Agra, F. A. d. A., Alvim, C. B., Medeiros Brigato, S. L., Marcos, R. L., Dellê, H., Serra, A. J., & Leal-Junior, E. C. P. (2024). Effects of Short-, Medium-, and Long-Term Treatment Using Photobiomodulation Therapy Combined with Static Magnetic Field in Aging Rats. Biomedicines, 12(5), 990. https://doi.org/10.3390/biomedicines12050990

