Antifungal Susceptibility and Candida sp. Biofilm Production in Clinical Isolates of HIV-Positive Brazilian Patients under HAART Therapy
Abstract
1. Introduction
2. Materials and Methods
2.1. Participants
2.2. Microorganisms Isolation and Characterization of Microorganisms
2.3. Inoculum Preparation
2.4. Antifungal Drugs
2.5. Biofilm Growth and Characterization
2.6. Quantification of Matrix Polysaccharides
2.7. Quantification of Matrix Protein
2.8. Statistical Analysis
3. Results
3.1. Identification and Characterization of Participants of Study
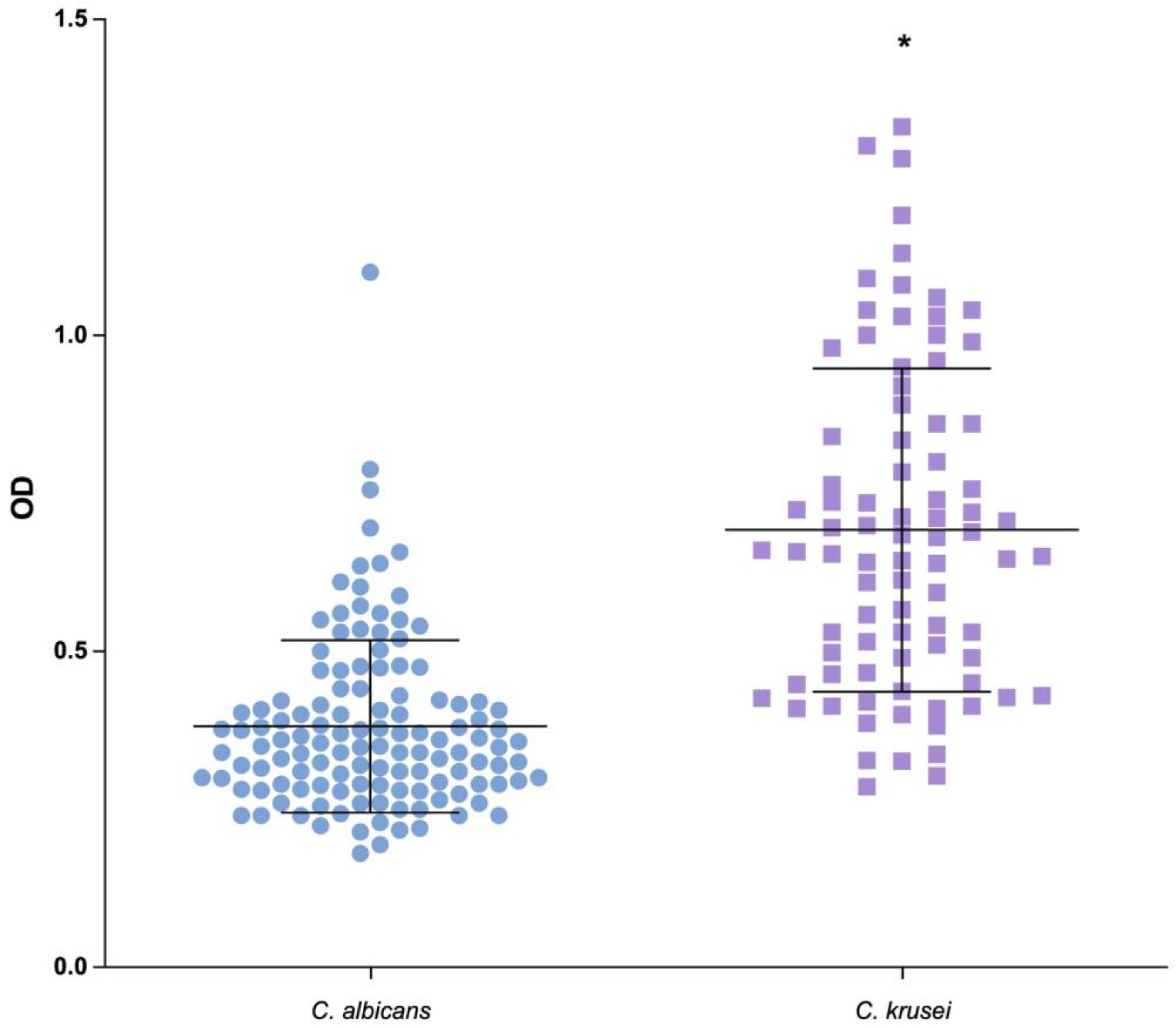
3.2. Identification and Characterization of Biofilm Formation of Candida spp.
3.3. Biofilm Matrix Composition
3.4. Effect of Antifungals against Candida spp. Biofilms Formation
4. Discussion
Supplementary Materials
Author Contributions
Funding
Institutional Review Board Statement
Informed Consent Statement
Data Availability Statement
Conflicts of Interest
References
- Anwar, K.P.; Malik, A. Profile of candidiasis in HIV infected patients. Iran. J. Microbiol. 2012, 4, 204–209. [Google Scholar] [PubMed]
- Ribeiro Ribeiro, A.L.; de Alencar Menezes, T.O.; de Melo Alves-Junior, S.; de Menezes, S.A.; Marques-da-Silva, S.H.; Rosário Vallinoto, A.C. Oral carriage of Candida species in HIV-infected patients during highly active antiretroviral therapy (HAART) in Belém, Brazil. Oral Surg. Oral Med. Oral Pathol. Oral Radiol. 2015, 120, 29–33. [Google Scholar] [CrossRef] [PubMed]
- Thanyasrisung, P.; Satitviboon, W.; Howattanapanich, S.; Matangkasombut, O. Antifungal drug resistance in oral Candida isolates from HIV-infected and healthy individuals and efficacy of chitosan as an alternative antifungal agent. Arch. Oral Biol. 2023, 147, 105628. [Google Scholar] [CrossRef] [PubMed]
- Goulart, L.S.; Souza, W.W.R.; Vieira, C.A.; Lima, J.S.; Olinda, R.A.; Araújo, C. Oral colonization by Candida species in HIV-positive patients: Association and antifungal susceptibility study. Einstein 2018, 16, eAO4224. [Google Scholar] [CrossRef]
- Rodrigues, C.F.; Correia, A.; Vilanova, M.; Henriques, M. Inflammatory Cell Recruitment in Candida glabrata Biofilm Cell-Infected Mice Receiving Antifungal Chemotherapy. J. Clin. Med. 2019, 8, 142. [Google Scholar] [CrossRef] [PubMed]
- Fidel, P.L., Jr. Candida-host interactions in HIV disease: Implications for oropharyngeal candidiasis. Adv. Dent. Res. 2011, 23, 45–49. [Google Scholar] [CrossRef] [PubMed]
- Quindós, G.; Gil-Alonso, S.; Marcos-Arias, C.; Sevillano, E.; Mateo, E.; Jauregizar, N.; Eraso, E. Therapeutic tools for oral candidiasis: Current and new antifungal drugs. Med. Oral Patol. Oral Cir. Bucal 2019, 24, e172–e180. [Google Scholar] [CrossRef] [PubMed]
- Sandai, D.; Tabana, Y.M.; Ouweini, A.E.; Ayodeji, I.O. Resistance of Candida albicans Biofilms to Drugs and the Host Immune System. Jundishapur J. Microbiol. 2016, 9, e37385. [Google Scholar] [CrossRef]
- Alves, A.M.C.V.; Lopes, B.O.; Leite, A.C.R.M.; Cruz, G.S.; Brito, É.H.S.; Lima, L.F.; Černáková, L.; Azevedo, N.F.; Rodrigues, C.F. Characterization of Oral Candida spp. Biofilms in Children and Adults Carriers from Eastern Europe and South America. Antibiotics 2023, 12, 797. [Google Scholar] [CrossRef]
- Rodrigues, C.F.; Rodrigues, M.E.; Henriques, M. Susceptibility of Candida glabrata Biofilms to Echinocandins: Alterations in the Matrix Composition. Biofouling 2018, 34, 569–578. [Google Scholar] [CrossRef]
- Zanni, P.C.M.D.; Bonfim-Mendonça, P.S.; Negri, M.; Nakamura, S.S.; Donatti, L.; Svidzinski, T.I.E.; Consolaro, M.E.L. Virulence factors and genetic variability of vaginal Candida albicans isolates from HIV-infected women in the post-highly active antiretroviral era. Rev. Inst. Med. Trop. São Paulo 2017, 59, e44. [Google Scholar] [CrossRef]
- Rodrigues, C.F.; Alves, D.F.; Henriques, M. Combination of Posaconazole and Amphotericin B in the Treatment of Candida glabrata Biofilms. Microorganisms 2018, 6, 123. [Google Scholar] [CrossRef] [PubMed]
- Rodrigues, C.F.; Rodrigues, M.; Silva, S.; Henriques, M. Candida glabrata Biofilms: How Far Have We Come? J. Fungi 2017, 3, 11. [Google Scholar] [CrossRef] [PubMed]
- Silva, A.U.A.; Silva, G.C.; Brito, E.H.S.; Araújo, T.H.M.; Serra, M.A.A.O.; Costa, A.C.P.J.; Oliveira, M.R.; Freitas, R.W.J.F.; Araújo, M.F.M. Factors associated with the isolation of Candida spp. From oral microbiota of people living with HIV. Clin. Nurs. Studies 2020, 8, 3. [Google Scholar] [CrossRef]
- Aboualigalehdari, E.; Tahmasebi, B.M.; Fatahinia, M.; Hosseinzadeh, M. Oral colonization by Candida species and associated factors in HIV-infected patients in Ahvaz, southwest Iran. Epidemiol. Health 2020, 42, e2020033. [Google Scholar] [CrossRef] [PubMed]
- Patil, S.; Majumdar, B.; Sarode, S.C.; Sarode, G.S.; Awan, K.H. Oropharyngeal candidosis in HIV-infected patients-an update. Front. Microbiol. 2018, 9, 980. [Google Scholar] [CrossRef] [PubMed]
- Taverne-Ghadwal, L.; Kuhns, M.; Buhl, T.; Schulze, M.H.; Mbaitolum, W.J.; Kersch, L.; Weig, M.; Bader, O.; Groß, U. Epidemiology and Prevalence of Oral Candidiasis in HIV Patients from Chad in the Post-HAART Era. Front. Microbiol. 2022, 13, 844069. [Google Scholar] [CrossRef] [PubMed]
- Pappas, P.G.; Kauffman, C.A.; Andes, D.R.; Clancy, C.J.; Marr, K.A.; Ostrosky-Zeichner, L.; Reboli, A.C.; Schuster, M.G.; Vazquez, J.A.; Walsh, T.J.; et al. Clinical Practice Guideline for the Management of Candidiasis: 2016 Update by the Infectious Diseases Society of America. Clin. Infect. Dis. 2016, 62, e1–e50. [Google Scholar] [CrossRef] [PubMed]
- Lu, D.Y.; Wu, H.Y.; Yarla, N.S.; Xu, B.; Ding, J.; Lu, T.R. HAART in HIV/AIDS Treatments: Future Trends. Infect. Disord. Drug Targets 2018, 18, 15–22. [Google Scholar] [CrossRef]
- Günthard, H.F.; Calvez, V.; Paredes, R.; Pillay, D.; Shafer, R.W.; Wensing, A.M.; Jacobsen, D.M.; Richman, D.D. Human Immunodeficiency Virus Drug Resistance: 2018 Recommendations of the International Antiviral Society-USA Panel. Clin. Infect. Dis. 2019, 68, 177–187. [Google Scholar] [CrossRef]
- Pau, A.K.; George, J.M. Antiretroviral therapy: Current drugs. Infect. Dis. Clin. N. Am. 2014, 28, 371–402. [Google Scholar] [CrossRef] [PubMed]
- Lipke, K.; Kubis-Kubiak, A.; Piwowar, A. The Influence of Nucleoside Reverse Transcriptase Inhibitors on Mitochondrial Activity, Lipid Content, and Fatty-Acid-Binding Protein Levels in Microglial HMC3 Cells. Pharmaceuticals 2023, 16, 1661. [Google Scholar] [CrossRef] [PubMed]
- Palella, F.J., Jr.; Delaney, K.M.; Moorman, A.C.; Loveless, M.O.; Fuhrer, J.; Satten, G.A.; Aschman, D.J.; Holmberg, S.D.; HIV Outpatient Study Investigators. Declining morbidity and mortality among patients with advanced human immunodeficiency virus infection. N. Engl. J. Med. 1998, 338, 853–860. [Google Scholar] [CrossRef] [PubMed]
- Lederman, M.M.; Connick, E.; Landay, A.; Kuritzkes, D.R.; Spritzler, J.; St Clair, M.; Kotzin, B.L.; Fox, L.; Chiozzi, M.H.; Leonard, J.M.; et al. Immunologic responses associated with 12 weeks of combination antiretroviral therapy consisting of zidovudine, lamivudine, and ritonavir: Results of AIDS Clinical Trials Group Protocol 315. J. Infect. Dis. 1998, 178, 70–79. [Google Scholar] [CrossRef] [PubMed]
- Cattelan, A.M.; Calabrò, M.L.; Gasperini, P.; Aversa, S.M.; Zanchetta, M.; Meneghetti, F.; De Rossi, A.; Chieco-Bianchi, L. Acquired immunodeficiency syndrome-related Kaposi’s sarcoma regression after highly active antiretroviral therapy: Biologic correlates of clinical outcome. J. Natl. Cancer Inst. Monogr. 2000, 2000, 44–49. [Google Scholar] [CrossRef] [PubMed]
- De Luca, A.; Giancola, M.L.; Ammassari, A.; Grisetti, S.; Paglia, M.G.; Gentile, M.; Cingolani, A.; Murri, R.; Liuzzi, G.; Monforte, A.D.; et al. The effect of potent antiretroviral therapy and JC virus load in cerebrospinal fluid on clinical outcome of patients with AIDS-associated progressive multifocal leukoencephalopathy. J. Infect. Dis. 2000, 182, 1077–1083. [Google Scholar] [CrossRef] [PubMed]
- Davey, R.T., Jr.; Bhat, N.; Yoder, C.; Chun, T.W.; Metcalf, J.A.; Dewar, R.; Natarajan, V.; Lempicki, R.A.; Adelsberger, J.W.; Miller, K.D.; et al. HIV-1 and T cell dynamics after interruption of highly active antiretroviral therapy (HAART) in patients with a history of sustained viral suppression. Proc. Natl. Acad. Sci. USA 1999, 96, 15109–15114. [Google Scholar] [CrossRef]
- Powderly, W.G.; Saag, M.S.; Chapman, S.; Yu, G.; Quart, B.; Clendeninn, N.J. Predictors of optimal virological response to potent antiretroviral therapy. AIDS 1999, 13, 1873–1880. [Google Scholar] [CrossRef]
- Chu, H.; Gange, S.J.; Li, X.; Hoover, D.R.; Liu, C.; Chmiel, J.S.; Jacobson, L.P. The effect of HAART on HIV RNA trajectory among treatment-naïve men and women: A segmental Bernoulli/lognormal random effects model with left censoring. Epidemiology 2010, 21, S25–S34. [Google Scholar] [CrossRef]
- Donnell, D.; Baeten, J.M.; Kiarie, J.; Thomas, K.K.; Stevens, W.; Cohen, C.R.; McIntyre, J.; Lingappa, J.R.; Celum, C. Partners in Prevention HSV/HIV Transmission Study Team. Heterosexual HIV-1 transmission after initiation of antiretroviral therapy: A prospective cohort analysis. Lancet 2010, 375, 2092–2098. [Google Scholar] [CrossRef]
- McCormick, A.W.; Walensky, R.P.; Lipsitch, M.; Losina, E.; Hsu, H.; Weinstein, M.C.; Paltiel, A.D.; Freedberg, K.A.; Seage, G.R., 3rd. The effect of antiretroviral therapy on secondary transmission of HIV among men who have sex with men. Clin. Infect. Dis. 2007, 44, 1115–1122. [Google Scholar] [CrossRef]
- Montaner, J.S.; Lima, V.D.; Harrigan, P.R.; Lourenço, L.; Yip, B.; Nosyk, B.; Wood, E.; Kerr, T.; Shannon, K.; Moore, D.; et al. Expansion of HAART coverage is associated with sustained decreases in HIV/AIDS morbidity, mortality and HIV transmission: The “HIV Treatment as Prevention” experience in a Canadian setting. PLoS ONE 2014, 9, e87872. [Google Scholar] [CrossRef]
- Gandhi, R.T.; Bedimo, R.; Hoy, J.F.; Landovitz, R.J.; Smith, D.M.; Eaton, E.F.; Lehmann, C.; Springer, S.A.; Sax, P.E.; Thompson, M.A.; et al. Antiretroviral Drugs for Treatment and Prevention of HIV Infection in Adults: 2022 Recommendations of the International Antiviral Society-USA Panel. JAMA 2023, 329, 63–84. [Google Scholar] [CrossRef]
- Pimentel, G.S.; Ceccato, M.D.G.B.; Costa, J.O.; Mendes, J.C.; Bonolo, P.F.; Silveira, M.R. Quality of life in individuals initiating antiretroviral therapy: A cohort study. Rev. Saude Publica 2020, 54, 146. [Google Scholar] [CrossRef]
- Fidel, P.L., Jr. Immunity to Candida. Oral Dis. 2002, 8, 69–75. [Google Scholar] [CrossRef]
- Khoury, Z.H.; Meeks, V. The influence of antiretroviral therapy on HIV-related oral manifestations. J. Natl. Med. Assoc. 2021, 113, 449–456. [Google Scholar] [CrossRef]
- Du, X.; Xiong, H.; Yang, Y.; Yan, J.; Zhu, S.; Chen, F. Dynamic study of oral Candida infection and immune status in HIV infected patients during HAART. Arch. Oral. Biol. 2020, 115, 104741. [Google Scholar] [CrossRef] [PubMed]
- Nett, J.E.; Andes, D.R. Contributions of the Biofilm Matrix to Candida Pathogenesis. J. Fungi 2020, 6, 21. [Google Scholar] [CrossRef] [PubMed]
- Mitchell, K.F.; Zarnowski, R.; Andes, D.R. Fungal Super Glue: The Biofilm Matrix and Its Composition, Assembly, and Functions. PLoS Pathog. 2016, 12, e1005828. [Google Scholar] [CrossRef] [PubMed]
- Rodrigues, C.F.; Henriques, M. Portrait of Matrix Gene Expression in Candida glabrata Biofilms with Stress Induced by Different Drugs. Genes 2018, 9, 205. [Google Scholar] [CrossRef] [PubMed]
- Al-Fattani, M.A.; Douglas, L.J. Biofilm Matrix of Candida albicans and Candida tropicalis: Chemical Composition and Role in Drug Resistance. J. Med. Microbiol. 2006, 55, 999–1008. [Google Scholar] [CrossRef]
- Douglas, C.M. Fungal ß(1,3)-D-Glucan Synthesis. Med. Mycol. 2001, 39, 55–66. [Google Scholar] [CrossRef] [PubMed]
- Taff, H.T.; Mitchell, K.F.; Edward, J.A.; Andes, D.R. Mechanisms of biofilm drug resistance. Future Microbiol. 2013, 8, 1325–1337. [Google Scholar] [CrossRef] [PubMed]
- Ramage, G.; Bachmann, S.; Patterson, T.F.; Wickes, B.L.; Lopez-Ribot, J.L. Investigation of multidrug efflux pumps in relation to fluconazole resistance in Candida albicans biofilms. J. Antimicrob. Chemother. 2002, 49, 973–980. [Google Scholar] [CrossRef] [PubMed]
- Lamichhane, K.; Adhikari, N.; Bastola, A.; Devkota, L.; Bhandari, P.; Dhungel, B.; Thapa-Shrestha, U.; Adhikari, B.; Banjara, M.R.; Rijal, K.R.; et al. Biofilm-Producing Candida Species Causing Oropharyngeal Candidiasis in HIV Patients Attending Sukraraj Tropical and Infectious Diseases Hospital in Kathmandu, Nepal. HIV AIDS 2020, 12, 211–220. [Google Scholar] [CrossRef]
- Staltari, O.; Leporini, C.; Caroleo, B.; Russo, E.; Siniscalchi, A.; De Sarro, G.; Gallelli, L. Drug-drug interactions: Antiretroviral drugs and recreational drugs. Recent. Pat. CNS Drug Discov. 2014, 9, 153–163. [Google Scholar] [CrossRef]



| Variables | N | % |
|---|---|---|
| Gender | ||
| Male | 68 | 64.2 |
| Female | 38 | 35.8 |
| Skin Color | ||
| White | 21 | 19.8 |
| Black | 29 | 23.4 |
| Others | 56 | 52.8 |
| Smoking | ||
| Yes | 33 | 31.2 |
| No | 73 | 68.8 |
| Alcohol consumption | ||
| Never | 63 | 19.8 |
| Once a month | 22 | 23.4 |
| 2–3 times a month | 16 | 52.8 |
| 2–3 times a week | 3 | 34 |
| >4 times a week | 1 | 40.6 |
| Sexual orientation | ||
| Heterosexual | 54 | 50.9 |
| Homosexual | 41 | 38.7 |
| Bisexual | 11 | 10.4 |
| Strain Code | Species | Biofilm |
|---|---|---|
| H1 | Candida albicans | Weak |
| H3 | Candida albicans | Weak |
| H5 | Candida albicans | Moderate |
| H6 | Candida krusei | Strong |
| H7 | Candida albicans | Weak |
| H10 | Candida krusei | Strong |
| H13 | Candida krusei | Moderate |
| H17 | Candida albicans | Moderate |
| H18 | Candida krusei | Moderate |
| H19 | Candida krusei | Moderate |
| H37 | Candida albicans | Moderate |
| H43 | Candida albicans | Moderate |
| H49 | Candida glabrata | Weak |
| H51 | Candida albicans | Moderate |
| H55 | Candida albicans | Weak |
| H68 | Candida albicans | Weak |
| H82 | Candida albicans | Weak |
| H84 | Candida krusei | Moderate |
| H101 | Candida krusei | Moderate |
Disclaimer/Publisher’s Note: The statements, opinions and data contained in all publications are solely those of the individual author(s) and contributor(s) and not of MDPI and/or the editor(s). MDPI and/or the editor(s) disclaim responsibility for any injury to people or property resulting from any ideas, methods, instructions or products referred to in the content. |
© 2024 by the authors. Licensee MDPI, Basel, Switzerland. This article is an open access article distributed under the terms and conditions of the Creative Commons Attribution (CC BY) license (https://creativecommons.org/licenses/by/4.0/).
Share and Cite
Alves, A.M.C.V.; de Brito, É.H.S.; de Araújo, M.F.M.; de Hollanda Celestino, J.J.; Leite, A.C.R.d.M.; Cruz, G.S.; Azevedo, N.F.; Rodrigues, C.F. Antifungal Susceptibility and Candida sp. Biofilm Production in Clinical Isolates of HIV-Positive Brazilian Patients under HAART Therapy. Biomedicines 2024, 12, 310. https://doi.org/10.3390/biomedicines12020310
Alves AMCV, de Brito ÉHS, de Araújo MFM, de Hollanda Celestino JJ, Leite ACRdM, Cruz GS, Azevedo NF, Rodrigues CF. Antifungal Susceptibility and Candida sp. Biofilm Production in Clinical Isolates of HIV-Positive Brazilian Patients under HAART Therapy. Biomedicines. 2024; 12(2):310. https://doi.org/10.3390/biomedicines12020310
Chicago/Turabian StyleAlves, Anelise Maria Costa Vasconcelos, Érika Helena Salles de Brito, Márcio Flávio Moura de Araújo, Juliana Jales de Hollanda Celestino, Ana Caroline Rocha de Melo Leite, Gabriela Silva Cruz, Nuno Filipe Azevedo, and Célia Fortuna Rodrigues. 2024. "Antifungal Susceptibility and Candida sp. Biofilm Production in Clinical Isolates of HIV-Positive Brazilian Patients under HAART Therapy" Biomedicines 12, no. 2: 310. https://doi.org/10.3390/biomedicines12020310
APA StyleAlves, A. M. C. V., de Brito, É. H. S., de Araújo, M. F. M., de Hollanda Celestino, J. J., Leite, A. C. R. d. M., Cruz, G. S., Azevedo, N. F., & Rodrigues, C. F. (2024). Antifungal Susceptibility and Candida sp. Biofilm Production in Clinical Isolates of HIV-Positive Brazilian Patients under HAART Therapy. Biomedicines, 12(2), 310. https://doi.org/10.3390/biomedicines12020310

