Inflammatory Profile Assessment in a Highly Selected Athyreotic Population Undergoing Controlled and Standardized Hypothyroidism
Abstract
1. Introduction
2. Methods
2.1. Institutional Thyroid Cancer Patients’ Management
2.2. Case Selection
2.3. Data Extraction
2.4. Measures
2.5. Statistical Analysis
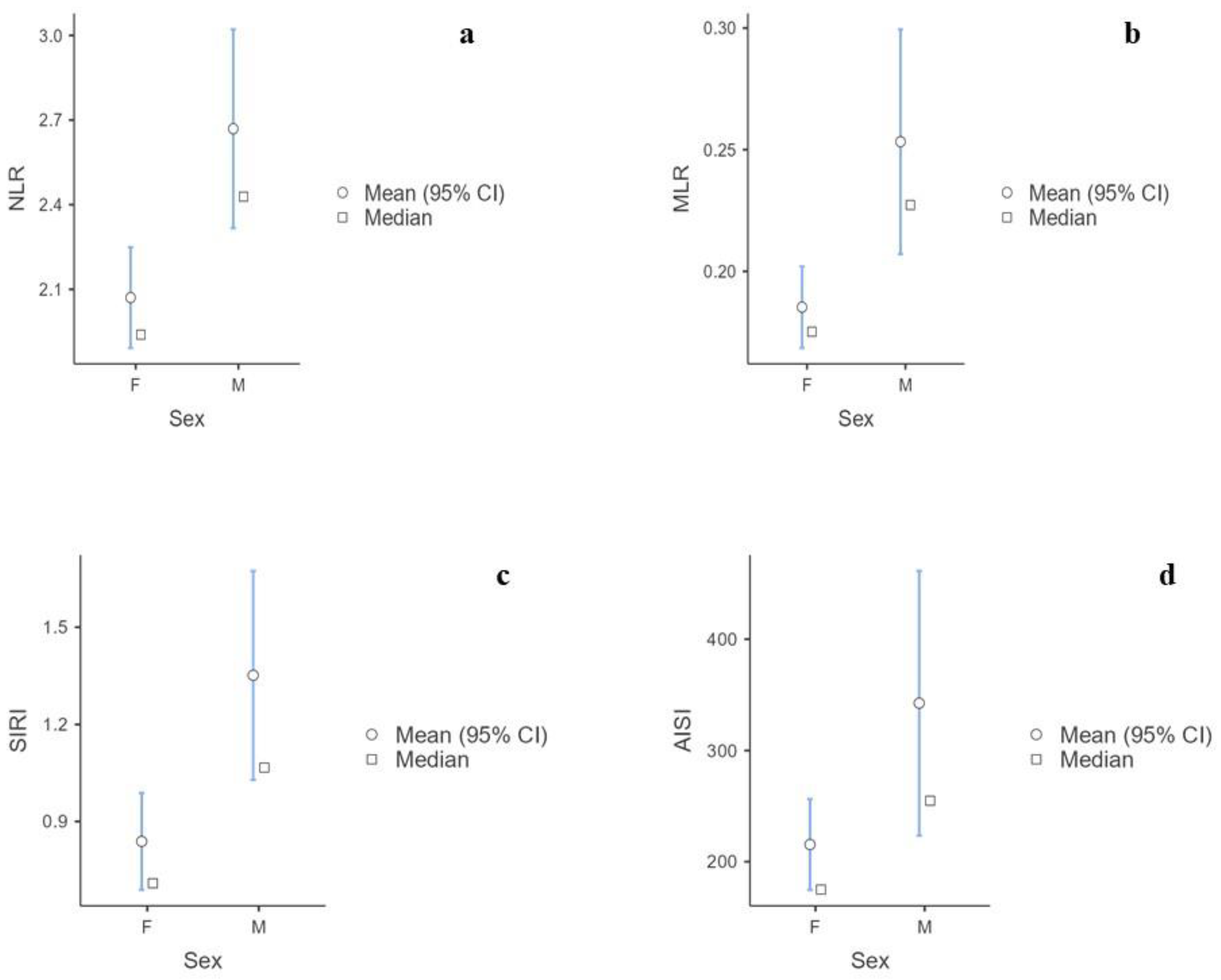
3. Results
4. Discussion
5. Conclusions
Supplementary Materials
Author Contributions
Funding
Institutional Review Board Statement
Informed Consent Statement
Data Availability Statement
Conflicts of Interest
References
- Cooper, D.S.; Ladenson, P.W. The Thyroid Gland. In Greenspan’s Basic and Clinical Endocrinology, 10th ed.; Gardner, D.G., Shoback, D., Eds.; McGraw-Hill Education: New York, NY, USA, 2018. [Google Scholar]
- Brent, G.A.; Weetman, A.P. Hypothyroidism and Thyroiditis. In Williams Textbook of Endocrinology, 14th ed.; Melmed, S., Auchus, R.J., Goldfine, A.B., Koening, R.J., Rosen, C.J., Eds.; Elselvier: Amsterdam, The Netherlands, 2019. [Google Scholar]
- Starr, P. Diagnosis of hypothyroidism. J. Clin. Endocrinol. Metab. 1953, 13, 1422–1427. [Google Scholar] [CrossRef] [PubMed]
- Wilson, S.A.; Stem, L.A.; Bruehlman, R.D. Hypothyroidism: Diagnosis and Treatment. Am. Fam. Physician 2021, 103, 605–613. [Google Scholar] [PubMed]
- Feller, M.; Snel, M.; Moutzouri, E.; Bauer, D.C.; de Montmollin, M.; Aujesky, D.; Ford, I.; Gussekloo, J.; Kearney, P.M.; Mooijaart, S.; et al. Association of Thyroid Hormone Therapy with Quality of Life and Thyroid-Related Symptoms in Patients with Subclinical Hypothyroidism: A Systematic Review and Meta-analysis. JAMA 2018, 320, 1349–1359. [Google Scholar] [CrossRef] [PubMed]
- Iwama, S.; Kobayashi, T.; Yasuda, Y.; Arima, H. Immune checkpoint inhibitor-related thyroid dysfunction. Best Pract. Res. Clin. Endocrinol. Metab. 2022, 36, 101660. [Google Scholar] [CrossRef] [PubMed]
- Hartmann, J.T.; Haap, M.; Kopp, H.G.; Lipp, H.P. Tyrosine kinase inhibitors—A review on pharmacology, metabolism and side effects. Curr. Drug Metab. 2009, 10, 470–481. [Google Scholar] [CrossRef] [PubMed]
- Frasca, F.; Piticchio, T.; Le Moli, R.; Malaguarnera, R.; Campennì, A.; Cannavò, S.; Ruggeri, R.M. Recent insights into the pathogenesis of autoimmune hypophysitis. Expert Rev. Clin. Immunol. 2021, 17, 1175–1185. [Google Scholar] [CrossRef]
- Carlé, A.; Pedersen, I.B.; Knudsen, N.; Perrild, H.; Ovesen, L.; Laurberg, P. Hypothyroid symptoms and the likelihood of overt thyroid failure: A population-based case-control study. Eur. J. Endocrinol. 2014, 171, 593–602. [Google Scholar] [CrossRef]
- Feliciano, E.M.C.; Kroenke, C.H.; Meyerhardt, J.A.; Prado, C.M.; Bradshaw, P.T.; Kwan, M.L.; Xiao, J.; Alexeeff, S.; Corley, D.; Weltzien, E.; et al. Association of Systemic Inflammation and Sarcopenia with Survival in Nonmetastatic Colorectal Cancer: Results From the C SCANS Study. JAMA Oncol. 2017, 3, e172319. [Google Scholar] [CrossRef]
- Liu, J.; Ao, W.; Zhou, J.; Luo, P.; Wang, Q.; Xiang, D. The correlation between PLR-NLR and prognosis in acute myocardial infarction. Am. J. Transl. Res. 2021, 13, 4892–4899. [Google Scholar]
- Xia, Y.; Xia, C.; Wu, L.; Li, Z.; Li, H.; Zhang, J. Systemic Immune Inflammation Index (SII), System Inflammation Response Index (SIRI) and Risk of All-Cause Mortality and Cardiovascular Mortality: A 20-Year Follow-Up Cohort Study of 42,875 US Adults. J. Clin. Med. 2023, 12, 1128. [Google Scholar] [CrossRef]
- Wang, R.H.; Wen, W.X.; Jiang, Z.P.; Du, Z.P.; Ma, Z.H.; Lu, A.L.; Li, H.P.; Yuan, F.; Wu, S.B.; Guo, J.W.; et al. The clinical value of neutrophil-to-lymphocyte ratio (NLR), systemic immune-inflammation index (SII), platelet-to-lymphocyte ratio (PLR) and systemic inflammation response index (SIRI) for predicting the occurrence and severity of pneumonia in patients with intracerebral hemorrhage. Front. Immunol. 2023, 14, 1115031. [Google Scholar] [CrossRef] [PubMed]
- Hu, R.J.; Ma, J.Y.; Hu, G. Lymphocyte-to-monocyte ratio in pancreatic cancer: Prognostic significance and meta-analysis. Clin. Chim. Acta 2018, 481, 142–146. [Google Scholar] [CrossRef] [PubMed]
- Chen, L.; Liu, C.; Liang, T.; Ye, Z.; Huang, S.; Chen, J.; Sun, X.; Yi, M.; Jiang, J.; Chen, T.; et al. Monocyte-to-Lymphocyte Ratio Was an Independent Factor of the Severity of Spinal Tuberculosis. Oxid. Med. Cell Longev. 2022, 2022, 7340330. [Google Scholar] [CrossRef]
- Zinellu, A.; Paliogiannis, P.; Mangoni, A.A. Aggregate Index of Systemic Inflammation (AISI), Disease Severity, and Mortality in COVID-19: A Systematic Review and Meta-Analysis. J. Clin. Med. 2023, 12, 4584. [Google Scholar] [CrossRef] [PubMed]
- Jin, L.; Zheng, D.; Mo, D.; Guan, Y.; Wen, J.; Zhang, X.; Chen, C. Glucose-to-Lymphocyte Ratio (GLR) as a Predictor of Preoperative Central Lymph Node Metastasis in Papillary Thyroid Cancer Patients with Type 2 Diabetes Mellitus and Construction of the Nomogram. Front. Endocrinol. 2022, 13, 829009. [Google Scholar] [CrossRef]
- Yang, M.; Zhang, Q.; Ge, Y.; Tang, M.; Zhang, X.; Song, M.; Ruan, G.; Zhang, X.; Zhang, K.; Shi, H. Glucose to lymphocyte ratio predicts prognoses in patients with colorectal cancer. Asia Pac. J. Clin. Oncol. 2023, 19, 542–548. [Google Scholar] [CrossRef] [PubMed]
- Mancini, A.; Di Segni, C.; Raimondo, S.; Olivieri, G.; Silvestrini, A.; Meucci, E.; Currò, D. Thyroid Hormones, Oxidative Stress, and Inflammation. Mediat. Inflamm. 2016, 2016, 6757154. [Google Scholar] [CrossRef] [PubMed]
- Golde, D.W.; Bersch, N.; Chopra, I.J.; Cline, M.J. Thyroid hormones stimulate erythropoiesis in vitro. Br. J. Haematol. 1977, 37, 173–177. [Google Scholar] [CrossRef]
- Fandrey, J.; Pagel, H.; Frede, S.; Wolff, M.; Jelkmann, W. Thyroid hormones enhance hypoxia-induced erythropoietin production in vitro. Exp. Hematol. 1994, 22, 272–277. [Google Scholar]
- Kawa, M.P.; Grymuła, K.; Paczkowska, E.; Baśkiewicz-Masiuk, M.; Dąbkowska, E.; Koziołek, M.; Tarnowski, M.; Kłos, P.; Dziedziejko, V.; Kucia, M.; et al. Clinical relevance of thyroid dysfunction in human haematopoiesis: Biochemical and molecular studies. Eur. J. Endocrinol. 2010, 162, 295–305. [Google Scholar] [CrossRef]
- Onalan, E.; Dönder, E. Neutrophil and platelet to lymphocyte ratio in patients with hypothyroid Hashimoto’s thyroiditis. Acta Biomed. 2020, 91, 310–314. [Google Scholar] [CrossRef] [PubMed]
- Dorgalaleh, A.; Mahmoodi, M.; Varmaghani, B.; Node, F.K.; Kia, O.S.; Alizadeh, S.; Tabibian, S.; Bamedi, T.; Momeni, M.; Abbasian, S.; et al. Effect of thyroid dysfunctions on blood cell count and red blood cell indice. Iran J. Ped. Hematol. Oncol. 2013, 3, 73–77. [Google Scholar]
- Vural, S.; Muhtaroğlu, A.; Güngör, M. Systemic immune-inflammation index: A new marker in differentiation of different thyroid diseases. Medicine 2023, 102, e34596. [Google Scholar] [CrossRef]
- Zhang, X.; Li, Y.; Jin, J.; Wang, H.; Zhao, B.; Wang, S.; Shan, Z.; Teng, W.; Teng, X. The different outcomes in the elderly with subclinical hypothyroidism diagnosed by age-specific and non-age-specific TSH reference intervals: A prospectively observational study protocol. Front. Endocrinol. 2023, 14, 1242110. [Google Scholar] [CrossRef] [PubMed]
- Alharbi, M.; Alsaleem, H.N.; Almuhaisni, R.; Alzeadi, H.S.; Alsamani, R.I.; Alhammad, S.I.; Alharbi, A.M. Association Between Subclinical Hypothyroidism and the Prognosis of Diabetes Mellitus and Subsequent Complications: A Retrospective Cohort Study. Cureus 2023, 15, e48329. [Google Scholar] [CrossRef] [PubMed]
- Chawalitmongkol, K.; Maneenil, K.; Thungthong, P.; Deerochanawong, C. Prevalence and Associated Factors for Thyroid Dysfunction Among Patients on Targeted Therapy for Cancers: A Single-Center Study from Thailand. J. ASEAN Fed. Endocr. Soc. 2023, 38, 77–85. [Google Scholar] [CrossRef] [PubMed]
- Seib, C.D.; Sosa, J.A. Evolving Understanding of the Epidemiology of Thyroid Cancer. Endocrinol. Metab. Clin. N. Am. 2019, 48, 23–35. [Google Scholar] [CrossRef]
- Shepherd, R.; Cheung, A.S.; Pang, K.; Saffery, R.; Novakovic, B. Sexual Dimorphism in Innate Immunity: The Role of Sex Hormones and Epigenetics. Front. Immunol. 2021, 11, 604000. [Google Scholar] [CrossRef]
- Liu, T.; Zhang, L.; Joo, D.; Sun, S.C. NF-κB signaling in inflammation. Signal Transduct. Target. Ther. 2017, 2, 17023. [Google Scholar] [CrossRef]
- Pergola, C.; Rogge, A.; Dodt, G.; Northoff, H.; Weinigel, C.; Barz, D.; Rådmark, O.; Sautebin, L.; Werz, O. Testosterone suppresses phospholipase D, causing sex differences in leukotriene biosynthesis in human monocytes. FASEB J. 2011, 25, 3377–3387. [Google Scholar] [CrossRef]
- Lillevang-Johansen, M.; Abrahamsen, B.; Jørgensen, H.L.; Brix, T.H.; Hegedüs, L. Duration of over- and under-treatment of hypothyroidism is associated with increased cardiovascular risk. Eur. J. Endocrinol. 2019, 180, 407–416. [Google Scholar] [CrossRef] [PubMed]
- Swierczak, A.; Pollard, J.W. Myeloid Cells in Metastasis. Cold Spring Harb. Perspect. Med. 2020, 10, a038026. [Google Scholar] [CrossRef] [PubMed]
- Kawai, T.; Autieri, M.V.; Scalia, R. Adipose tissue inflammation and metabolic dysfunction in obesity. Am. J. Physiol. Cell Physiol. 2021, 320, C375–C391. [Google Scholar] [CrossRef] [PubMed]
- Kutluturk, F.; Gul, S.S.; Sahin, S.; Tasliyurt, T. Comparison of Mean Platelet Volume, Platelet Count, Neutrophil/Lymphocyte Ratio and Platelet/Lymphocyte Ratio in the Euthyroid, Overt Hypothyroid and Subclinical Hyperthyroid Phases of Papillary Thyroid Carcinoma. Endocr. Metab. Immune Disord. Drug Targets 2019, 19, 859–865. [Google Scholar] [CrossRef]




| Percentiles | ||||
|---|---|---|---|---|
| N | Median | 25th | 75th | |
| RBC | 143 | 5.00 | 4.67 | 5.40 |
| Hemoglobin | 143 | 13.90 | 13 | 14.90 |
| WBC | 141 | 7.20 | 5.80 | 8.20 |
| Platelets | 143 | 237 | 199.50 | 281 |
| Neutrophils | 141 | 4.30 | 3.50 | 5.20 |
| Lymphocytes | 141 | 2.00 | 1.70 | 2.60 |
| Monocytes | 141 | 0.40 | 0.30 | 0.50 |
| Eosinophils | 141 | 0.20 | 0.10 | 0.30 |
| Basophils | 141 | 0.10 | 0.00 | 0.10 |
| Creatinine | 142 | 0.93 | 0.83 | 1.08 |
| Glycemia | 141 | 86 | 78 | 96 |
| Thyroglobulin | 143 | 1.76 | 0.44 | 6.00 |
| Percentiles | |||||||
|---|---|---|---|---|---|---|---|
| Sex | Median | 25th | 75th | ||||
| TS | NOS | TS | NOS | TS | NOS | ||
| NLR | F | 1.94 | 1.79 | 1.50 | 1.42 | 2.42 | 2.39 |
| M | 2.43 | 2.38 | 1.90 | 1.83 | 3.15 | 2.88 | |
| PLR | F | 115.44 | 111.96 | 97.62 | 95.45 | 146.41 | 148.29 |
| M | 105.56 | 107.85 | 91.19 | 88.38 | 141.44 | 130.10 | |
| MLR | F | 0.18 | 0.15 | 0.133 | 0.13 | 0.21 | 0.21 |
| M | 0.23 | 0.23 | 0.17 | 0.17 | 0.26 | 0.26 | |
| SII | F | 469.35 | 433.11 | 333.57 | 296.02 | 591.32 | 552.11 |
| M | 512.43 | 487.55 | 393.24 | 386.48 | 758.15 | 716.83 | |
| SIRI | F | 0.71 | 0.59 | 0.46 | 0.43 | 1.04 | 0.83 |
| M | 1.07 | 0.95 | 0.81 | 0.72 | 1.37 | 1.35 | |
| AISI | F | 174.89 | 150.70 | 106.57 | 91.37 | 261.62 | 200.83 |
| M | 254.84 | 215.05 | 156.77 | 156.63 | 349.17 | 317.51 | |
Disclaimer/Publisher’s Note: The statements, opinions and data contained in all publications are solely those of the individual author(s) and contributor(s) and not of MDPI and/or the editor(s). MDPI and/or the editor(s) disclaim responsibility for any injury to people or property resulting from any ideas, methods, instructions or products referred to in the content. |
© 2024 by the authors. Licensee MDPI, Basel, Switzerland. This article is an open access article distributed under the terms and conditions of the Creative Commons Attribution (CC BY) license (https://creativecommons.org/licenses/by/4.0/).
Share and Cite
Piticchio, T.; Savarino, F.; Volpe, S.; Prinzi, A.; Costanzo, G.; Gamarra, E.; Frasca, F.; Trimboli, P. Inflammatory Profile Assessment in a Highly Selected Athyreotic Population Undergoing Controlled and Standardized Hypothyroidism. Biomedicines 2024, 12, 239. https://doi.org/10.3390/biomedicines12010239
Piticchio T, Savarino F, Volpe S, Prinzi A, Costanzo G, Gamarra E, Frasca F, Trimboli P. Inflammatory Profile Assessment in a Highly Selected Athyreotic Population Undergoing Controlled and Standardized Hypothyroidism. Biomedicines. 2024; 12(1):239. https://doi.org/10.3390/biomedicines12010239
Chicago/Turabian StylePiticchio, Tommaso, Francesco Savarino, Salvatore Volpe, Antonio Prinzi, Gabriele Costanzo, Elena Gamarra, Francesco Frasca, and Pierpaolo Trimboli. 2024. "Inflammatory Profile Assessment in a Highly Selected Athyreotic Population Undergoing Controlled and Standardized Hypothyroidism" Biomedicines 12, no. 1: 239. https://doi.org/10.3390/biomedicines12010239
APA StylePiticchio, T., Savarino, F., Volpe, S., Prinzi, A., Costanzo, G., Gamarra, E., Frasca, F., & Trimboli, P. (2024). Inflammatory Profile Assessment in a Highly Selected Athyreotic Population Undergoing Controlled and Standardized Hypothyroidism. Biomedicines, 12(1), 239. https://doi.org/10.3390/biomedicines12010239

