Surgical Treatment of Active Endocarditis Pre- and Post-COVID-19 Pandemic Onset
Abstract
1. Introduction
2. Materials and Methods
2.1. Study Population
2.2. Surgical Procedure
2.3. Statistical Analysis
3. Results
3.1. Baseline Characteristics
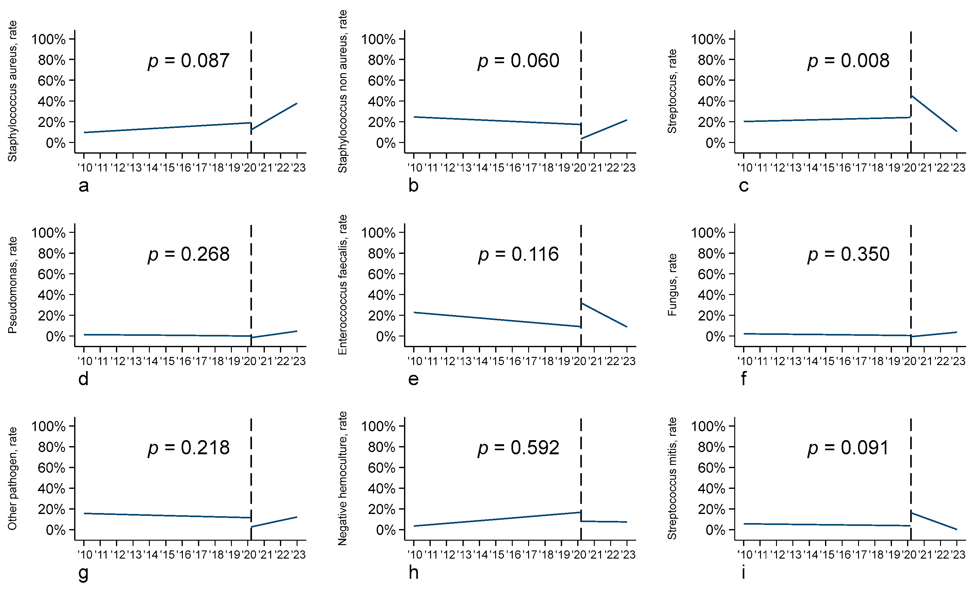
3.2. Microbiological and Operative Characteristics
3.3. Postoperative Outcomes
3.4. Risk Factor Analysis
4. Discussion
5. Limitations
6. Conclusions
Author Contributions
Funding
Institutional Review Board Statement
Informed Consent Statement
Data Availability Statement
Conflicts of Interest
References
- Baddour, L.M.; Wilson, W.R.; Bayer, A.S.; Fowler, V.G.; Tleyjeh, I.M.; Rybak, M.J.; Barsic, B.; Lockhart, P.B.; Gewitz, M.H.; Levison, M.E.; et al. Infective endocarditis in adults: Diagnosis, antimicrobial therapy, and management of complications: A scientific statement for healthcare professionals from the American Heart association. Circulation 2015, 132, 1435–1486. [Google Scholar] [CrossRef] [PubMed]
- Habib, G.; Lancellotti, P.; Antunes, M.J.; Bongiorni, M.G.; Casalta, J.-P.; Del Zotti, F.; Dulgheru, R.; El Khoury, G.; Erba, P.A.; Iung, B.; et al. 2015 ESC guidelines for the management of infective endocarditis: The task force for the management of infective endocarditis of the European Society of Cardiology (ESC). Endorsed by: European Association for CardioThoracic Surgery (EACTS), the European Association of Nuclear Medicine (EANM). Eur. Heart J. 2015, 36, 3075–3128. [Google Scholar]
- Bor, D.H.; Woolhandler, S.; Nardin, R.; Brusch, J.; Himmelstein, D.U. Infective endocarditis in the U.S., 1998–2009: A nationwide study. PLoS ONE 2013, 8, 60033. [Google Scholar] [CrossRef] [PubMed]
- DeSimone, D.C.; Wilson, W.R.; Baddour, L.M. Trends in infective endocarditis incidence, microbiology, and valve replacement in the United States from 2000 to 2011: The devil is in the details. J. Am. Coll. Cardiol. 2015, 66, 1201–1202. [Google Scholar] [CrossRef]
- Slipczuk, L.; Codolosa, J.N.; Davila, C.D.; Romero-Corral, A.; Yun, J.; Pressman, G.S.; Figueredo, V.M. Infective endocarditis epidemiology over five decades: A systematic review. PLoS ONE 2013, 8, 82665. [Google Scholar] [CrossRef] [PubMed]
- Fowler, V.G.; Miro, J.M.; Hoen, B.; Cabell, C.H.; Abrutyn, E.; Rubinstein, E.; Corey, G.R.; Spelman, D.; Bradley, S.F.; Barsic, B.; et al. Staphylococcus aureus endocarditis: A consequence of medical progress. Fowler. JAMA 2005, 293, 3012. [Google Scholar] [CrossRef] [PubMed]
- Federspiel, J.J. Increasing US rates of endocarditis with Staphylococcus aureus: 1999–2008. Arch. Intern. Med. 2012, 172, 363. [Google Scholar] [CrossRef]
- Selton-Suty, C.; Célard, M.; Le Moing, V.; Doco-Lecompte, T.; Chirouze, C.; Iung, B.; Strady, C.; Revest, M.; Vandenesch, F.; Bouvet, A.; et al. Preeminence of Staphylococcus aureus in infective endocarditis: A 1-year population-based survey. Clin. Infect. Dis. 2012, 54, 1230–1239. [Google Scholar] [CrossRef]
- Van Camp, G.; De Beenhouwer, H.; Beles, M.; Collet, C.; Nasser, R.; Schelfaut, D.; Penicka, M. Disturbing effect of lockdown for COVID-19 on the incidence of infective endocarditis: A word of caution. Clin. Res. Cardiol. 2020, 109, 1573–1576. [Google Scholar] [CrossRef]
- Havers-Borgersen, E.; Fosbøl, E.L.; Butt, J.H.; Petersen, J.K.; Dalsgaard, A.; Kyhl, F.; Schou, M.; Phelps, M.; Kragholm, K.; Gislason, G.H.; et al. Incidence of infective endocarditis during the coronavirus disease 2019 pandemic: A nationwide study. Int. J. Cardiol. Heart Vasc. 2020, 31, 100675. [Google Scholar] [CrossRef]
- Cabral, M.; Fernandes, S.; Santos, L.; Carvalho, R.; Sa, F.M.; Martins, H.; Pernencar, S.; Ruivo, C.; Santos, B.; Morais, J. An outbreak of infective endocarditis during the COVID-19 pandemic? An observational retrospective single centre study. Eur. Heart J. Acute Cardiovasc. Care 2021, 10 (Suppl. S1), zuab020.184. [Google Scholar] [CrossRef]
- Wang, L.; Volkow, N.D.; Berger, N.A.; Davis, P.B.; Kaelber, D.C.; Xu, R. Association of COVID-19 with endocarditis in patients with cocaine or opioid use disorders in the US. Mol. Psychiatry 2023, 28, 543–552. [Google Scholar] [CrossRef] [PubMed]
- Li, J.S.; Sexton, D.J.; Mick, N.; Nettles, R.; Fowler, V.G., Jr.; Ryan, T.; Bashore, T.; Corey, G.R. Proposed modifications to the Duke criteria for the diagnosis of infective endocarditis. Clin. Infect. Dis. 2000, 30, 633–638. [Google Scholar] [CrossRef] [PubMed]
- Delgado, V.; Ajmone Marsan, N.; de Waha, S.; Bonaros, N.; Brida, M.; Burri, H.; Caselli, S.; Doenst, T.; Ederhy, S.; Erba, P.A.; et al. 2023 ESC Guidelines for the management of endocarditis. Eur. Heart J. 2023, 44, 3948–4042. [Google Scholar] [CrossRef] [PubMed]
- Cohen, J. Statistical Power Analysis for the Behavioral Sciences, 2nd ed.; Erlbaum: Hillsdale, NJ, USA, 1988. [Google Scholar]
- Linden, A. Conducting interrupted time-series analysis for single- and multiple-group comparisons. Stata J. 2015, 15, 480–500. [Google Scholar] [CrossRef]
- Tibshirani, R. Regression Shrinkage and Selection via the Lasso. J. R. Stat. Soc. 1996, 58, 267–288. [Google Scholar] [CrossRef]
- Cahill, T.J.; Prendergast, B.D. Infective Endocarditis. Lancet 2016, 387, 882–893. [Google Scholar] [CrossRef]
- Weber, C.; Luehr, M.; Petrov, G.; Misfeld, M.; Akhyari, P.; Tugtekin, S.M.; Diab, M.; Saha, S.; Elderia, A.; Lichtenberg, A.; et al. Impact of the 2009 ESC Guideline Change on Surgically Treated Infective Endocarditis.; Clinical, Multicenter Project of Analysis of Infective Endocarditis in Germany (CAMPAIGN) Study Group. Ann. Thorac. Surg. 2022, 114, 1349–1356. [Google Scholar] [CrossRef]
- Wang, A.; Fosbøl, E.L. Current recommendations and uncertainties for surgical treatment of infective endocarditis: A comparison of American and European cardiovascular guidelines. Eur. Heart J. 2022, 43, 1617–1625. [Google Scholar] [CrossRef]
- Habib, G.; Erba, P.A.; Iung, B.; Donal, E.; Cosyns, B.; Laroche, C.; Popescu, B.A.; Prendergast, B.; Tornos, P.; Sadeghpour, A.; et al. Clinical presentation, aetiology and outcome of infective endocarditis. Results of the ESC-EORP EURO-ENDO (European Infective Endocarditis) registry: A prospective cohort study. Eur. Heart J. 2019, 40, 3222–3232. [Google Scholar] [CrossRef]
- Novelli, A.; Ingason, A.B.; Jirka, C.; Callas, P.; Hirashima, F.; Lovoulos, C.; Dauerman, H.L.; Polomsky, M. Impact of the COVID-19 Pandemic on Infective Endocarditis Management and Outcomes: Analysis of a National Clinical Database. Am. J. Cardiol. 2023, 209, 224–231. [Google Scholar] [CrossRef] [PubMed]



| Pre-COVID-19 | Post-COVID-19 | p | ASMD | ASMD IPTW | |
|---|---|---|---|---|---|
| n, % | 393 (73.5%) | 142 (26.5) | 330/133 | ||
| Age, median (IQR) | 69.0 (57.0–76.0) | 68.0 (58.0–75.0) | 0.543 | 0.073 | 0.049 |
| Female, n (%) | 121 (30.8) | 42 (29.6) | 0.832 | 0.007 | 0.006 |
| Endocarditis-intervention days, median (IQR) | 16.0 (0.0–30.0) | 19.0 (12.0–32.0) | 0.025 | 0.042 | 0.036 |
| Staphylococcus aureus, n (%) | 53 (15.4) | 34 (24.5) | 0.026 | 0.220 | 0.023 |
| Staphylococcus non aureus, n (%) | 69 (20.1) | 17 (12.2) | 0.048 | 0.209 | 0.053 |
| Streptococcus, n (%) | 78 (22.7) | 40 (28.8) | 0.162 | 0.127 | 0.013 |
| Pseudomonas, n (%) | 2 (0.6) | 2 (1.4) | 0.327 | 0.083 | 0.015 |
| Enteroccoccus faecalis, n (%) | 49 (14.2) | 29 (20.9) | 0.077 | 0.194 | 0.062 |
| Fungus, n (%) | 4 (1.2) | 2 (1.4) | 1.000 | 0.020 | 0.004 |
| Other pathogen, n (%) | 45 (13.1) | 10 (7.2) | 0.081 | 0.201 | 0.081 |
| Hypertension, n (%) | 234 (59.5) | 101 (71.1) | 0.015 | 0.214 | 0.006 |
| Diabetes, n (%) | 64 (16.3) | 42 (29.6) | 0.001 | 0.318 | 0.009 |
| Obesity, n (%) | 79 (20.1) | 24 (16.9) | 0.457 | 0.089 | 0.093 |
| Chronic obstructive pulmonary disease, n (%) | 45 (11.5) | 11 (7.7) | 0.264 | 0.147 | 0.095 |
| Ejection fraction %, median (IQR) | 57.0 (50.0–61.0) | 60.0 (54.0–65.0) | 0.150 | 0.149 | 0.032 |
| Drug addict, n (%) | 20 (5.1) | 11 (7.7) | 0.294 | 0.060 | 0.028 |
| Reoperation, n (%) | 183 (46.6) | 61 (43.0) | 0.492 | 0.077 | 0.025 |
| Previous intra-aortic balloon pump, n (%) | 3 (0.8) | 0 (0.0) | 0.569 | 0.135 | 0.158 |
| Peripheral arterial disease, n (%) | 49 (12.5) | 18 (12.7) | 1.000 | 0.009 | 0.083 |
| Neoplasm, n (%) | 48 (12.2) | 9 (6.3) | 0.057 | 0.202 | 0.051 |
| Previous neurological disease, n (%) | 74 (18.8) | 38 (26.8) | 0.054 | 0.167 | 0.001 |
| Unstable angina, n (%) | 2 (0.5) | 1 (0.7) | 1.000 | 0.059 | 0.003 |
| Shock, n (%) | 16 (4.1) | 9 (6.3) | 0.352 | 0.147 | 0.007 |
| Heart failure, n (%) | 108 (27.5) | 32 (22.5) | 0.267 | 0.111 | 0.025 |
| Myocardial infarction 90 days, n (%) | 7 (1.8) | 6 (4.2) | 0.117 | 0.190 | 0.002 |
| Previous intubation, n (%) | 25 (6.4) | 11 (7.7) | 0.562 | 0.073 | 0.017 |
| Pulmonary hypertension, n (%) | 26 (6.6) | 11 (7.7) | 0.700 | 0.087 | 0.110 |
| Additive EuroSCORE, median (IQR) | 10.0 (7.0–13.0) | 10.0 (7.0–12.0) | 0.690 | 0.042 | 0.021 |
| Logistics EuroSCORE, median (IQR) | 19.4 (8.0–42.1) | 19.6 (7.9–35.0) | 0.617 | 0.107 | 0.020 |
| Active endocarditis, n (%) | 335 (85.2) | 130 (91.5) | 0.060 | 0.121 | 0.016 |
| Cirrhosis, n (%) | 4 (1.0) | 0 (0.0) | 0.578 | 0.110 | 0.084 |
| Chronic kidney disease (creatinine > 2.0 mg/dl), n (%) | 44 (11.2) | 18.5 (13.0) | 0.264 | 0.057 | 0.112 |
| Dialysis, n (%) | 10 (2.5) | 13 (9.2) | 0.002 | 0.281 | 0.018 |
| Permanent pacemaker, n (%) | 29 (7.4) | 15 (10.6) | 0.284 | 0.091 | 0.035 |
| Abscess, n (%) | 105 (26.7) | 44 (31.0) | 0.328 | 0.111 | 0.054 |
| Vegetation, n (%) | 318 (80.9) | 123 (86.6) | 0.157 | 0.094 | 0.087 |
| Leaflet perforation, n (%) | 47 (12.0) | 33 (23.2) | 0.002 | 0.317 | 0.045 |
| Prosthesis detachment, n (%) | 78 (19.8) | 16 (11.3) | 0.021 | 0.216 | 0.029 |
| Pre-COVID-19 | Post-COVID-19 | p | |
|---|---|---|---|
| n | 393 | 142 | |
| Type of valve surgery: | <0.001 | ||
| 212 (53.9) | 61 (43.0) | |
| 59 (15.0) | 30 (21.1) | |
| 17 (4.3) | 9 (6.3) | |
| 5 (1.3) | 4 (2.8) | |
| 5 (1.3) | 5 (3.5) | |
| 69 (17.6) | 13 (9.2) | |
| 26 (6.6) | 20 (14.1) | |
| Native valve endocarditis, n (%) | 241 (61.3) | 94 (66.2) | 0.314 |
| Pre-COVID-19 | Post-COVID-19 | Weighted OR | 95% CI | p | ||
|---|---|---|---|---|---|---|
| n | 393 | 142 | ||||
| Infection sepsis, n (%) | 37 (9.4) | 9 (6.3) | 0.521 | 0.201 | 1.349 | 0.179 |
| Multiorgan failure n (%) | 32 (8.1) | 3 (2.1) | 0.294 | 0.083 | 1.045 | 0.058 |
| Permanent pacemaker implantation, n (%) | 40 (10.2) | 11 (7.7) | 0.591 | 0.261 | 1.338 | 0.207 |
| Cardiocirculatory arrest, n (%) | 10 (2.5) | 2 (1.4) | 0.774 | 0.134 | 4.466 | 0.775 |
| Atrial fibrillation, n (%) | 111 (28.2) | 32 (22.5) | 0.635 | 0.364 | 1.108 | 0.110 |
| Low cardiac output, n (%) | 97 (24.7) | 15 (10.6) | 0.452 | 0.218 | 0.936 | 0.032 |
| Intra-aortic balloon pump, n (%) | 20 (5.1) | 6 (4.2) | 0.836 | 0.259 | 2.700 | 0.765 |
| Extracorporeal membrane Oxygenation, n (%) | 3 (0.8) | 0 (0.0) | / | |||
| Respiratory failure, n (%) | 82 (20.9) | 17 (12.0) | 0.431 | 0.215 | 0.864 | 0.018 |
| Stroke, n (%) | 24 (6.1) | 4 (2.8) | 0.568 | 0.146 | 2.205 | 0.413 |
| Transient ischemic attack, n (%) | 5 (1.3) | 2 (1.4) | 2.240 | 0.396 | 12.677 | 0.362 |
| Acute kidney injury, n (%) | 75 (19.1) | 16 (11.3) | 0.656 | 0.330 | 1.304 | 0.229 |
| Continuous venovenous Hemofiltration, n (%) | 41 (10.4) | 7 (4.9) | 0.495 | 0.198 | 1.235 | 0.132 |
| Major bleeding, n (%) | 20 (5.1) | 9 (6.3) | 1.147 | 0.428 | 3.078 | 0.785 |
| Reoperation for bleeding, n (%) | 39 (9.9) | 11 (7.7) | 0.702 | 0.304 | 1.619 | 0.407 |
| Wound deheiscence, n (%) | 3 (0.8) | 3 (2.1) | 4.059 | 0.656 | 25.123 | 0.132 |
| Early death, n (%) | 47 (12.0) | 14 (9.9) | 0.751 | 0.359 | 1.572 | 0.448 |
| Death at 1 year, n (%) | 72 (18.3) | 26 (18.3) | 0.900 | 0.501 | 1.616 | 0.724 |
| Relapse at 1 year, n (%) | 20 (5.1) | 2 (1.4) | 0.286 | 0.065 | 1.270 | 0.100 |
| Pre-COVID-19 | Post-COVID-19 | |||||||
|---|---|---|---|---|---|---|---|---|
| OR | 95% CI | p | OR | 95% CI | p | |||
| Age | 1.076 | 1.030 | 1.124 | 0.001 | / | / | / | / |
| Heart failure | 2.201 | 1.045 | 4.636 | 0.038 | / | / | / | / |
| Dialysis | 25.772 | 4.841 | 137.203 | <0.001 | 5.172 | 1.136 | 23.554 | 0.034 |
| Logistic EuroSCORE | / | / | / | / | 1.046 | 1.018 | 1.075 | 0.001 |
Disclaimer/Publisher’s Note: The statements, opinions and data contained in all publications are solely those of the individual author(s) and contributor(s) and not of MDPI and/or the editor(s). MDPI and/or the editor(s) disclaim responsibility for any injury to people or property resulting from any ideas, methods, instructions or products referred to in the content. |
© 2024 by the authors. Licensee MDPI, Basel, Switzerland. This article is an open access article distributed under the terms and conditions of the Creative Commons Attribution (CC BY) license (https://creativecommons.org/licenses/by/4.0/).
Share and Cite
Mikus, E.; Fiorentino, M.; Sangiorgi, D.; Fiaschini, C.; Tenti, E.; Tremoli, E.; Calvi, S.; Costantino, A.; Tripodi, A.; Zucchetta, F.; et al. Surgical Treatment of Active Endocarditis Pre- and Post-COVID-19 Pandemic Onset. Biomedicines 2024, 12, 233. https://doi.org/10.3390/biomedicines12010233
Mikus E, Fiorentino M, Sangiorgi D, Fiaschini C, Tenti E, Tremoli E, Calvi S, Costantino A, Tripodi A, Zucchetta F, et al. Surgical Treatment of Active Endocarditis Pre- and Post-COVID-19 Pandemic Onset. Biomedicines. 2024; 12(1):233. https://doi.org/10.3390/biomedicines12010233
Chicago/Turabian StyleMikus, Elisa, Mariafrancesca Fiorentino, Diego Sangiorgi, Costanza Fiaschini, Elena Tenti, Elena Tremoli, Simone Calvi, Antonino Costantino, Alberto Tripodi, Fabio Zucchetta, and et al. 2024. "Surgical Treatment of Active Endocarditis Pre- and Post-COVID-19 Pandemic Onset" Biomedicines 12, no. 1: 233. https://doi.org/10.3390/biomedicines12010233
APA StyleMikus, E., Fiorentino, M., Sangiorgi, D., Fiaschini, C., Tenti, E., Tremoli, E., Calvi, S., Costantino, A., Tripodi, A., Zucchetta, F., & Savini, C. (2024). Surgical Treatment of Active Endocarditis Pre- and Post-COVID-19 Pandemic Onset. Biomedicines, 12(1), 233. https://doi.org/10.3390/biomedicines12010233

