The Influence of Beverages on Resin Composites: An In Vitro Study
Abstract
:1. Introduction
2. Materials and Methods
2.1. Experimental Part
- V—volume of sodium hydroxide solution 0.1 mol/dm3 used for titration, measured in cm3;
- V0—the total volume of the solution to be analyzed obtained from the amount of product taken for analysis, measured in cm3;
- V1—the volume of the solution to be analyzed, taken for determination, in cm3;
- c—the molar concentration of the sodium hydroxide solution, mol/dm3;
- m—mass of the product taken for analysis, g;
- M—molar mass of the organic acid that predominates in the analyzed product, g/mol, in this case citric acid, contained by every solution, M (1/3 C6H6O7) = 64 (Table 1).
2.2. Methods
3. Results
3.1. Scanning Electron Microscopy
- -
- Sample P1: the accentuated degradation was identified in the case of the RB medium, where the presence of an inclusion of foreign nature in the structure of the material was also observed.
- -
- Sample P2: the accentuated degradation was identified in the case of CC and F medium, where the presence of unevenly distributed micropores was also observed.
- -
- Sample P3: marked degradation was identified for the RB medium and moderate degradation for the other immersion media, but also the presence of unevenly distributed micropores and variable sizes.
- -
- Sample P4: marked degradation was identified for the RB medium, and moderate degradation for the F immersion medium, where the presence of unevenly distributed micropores was also observed.
- -
- Sample P5: pronounced degradation was identified in the case of medium CC and F, where the presence of unevenly distributed micropores was also observed.
- -
- Sample P6: pronounced degradation was identified in the case of medium F, where the presence of pores was to a small extent.
- -
- Sample P7: medium degradation was identified in all immersion media, where the presence of unevenly distributed micropores was also observed.
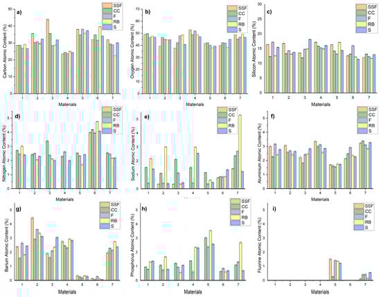
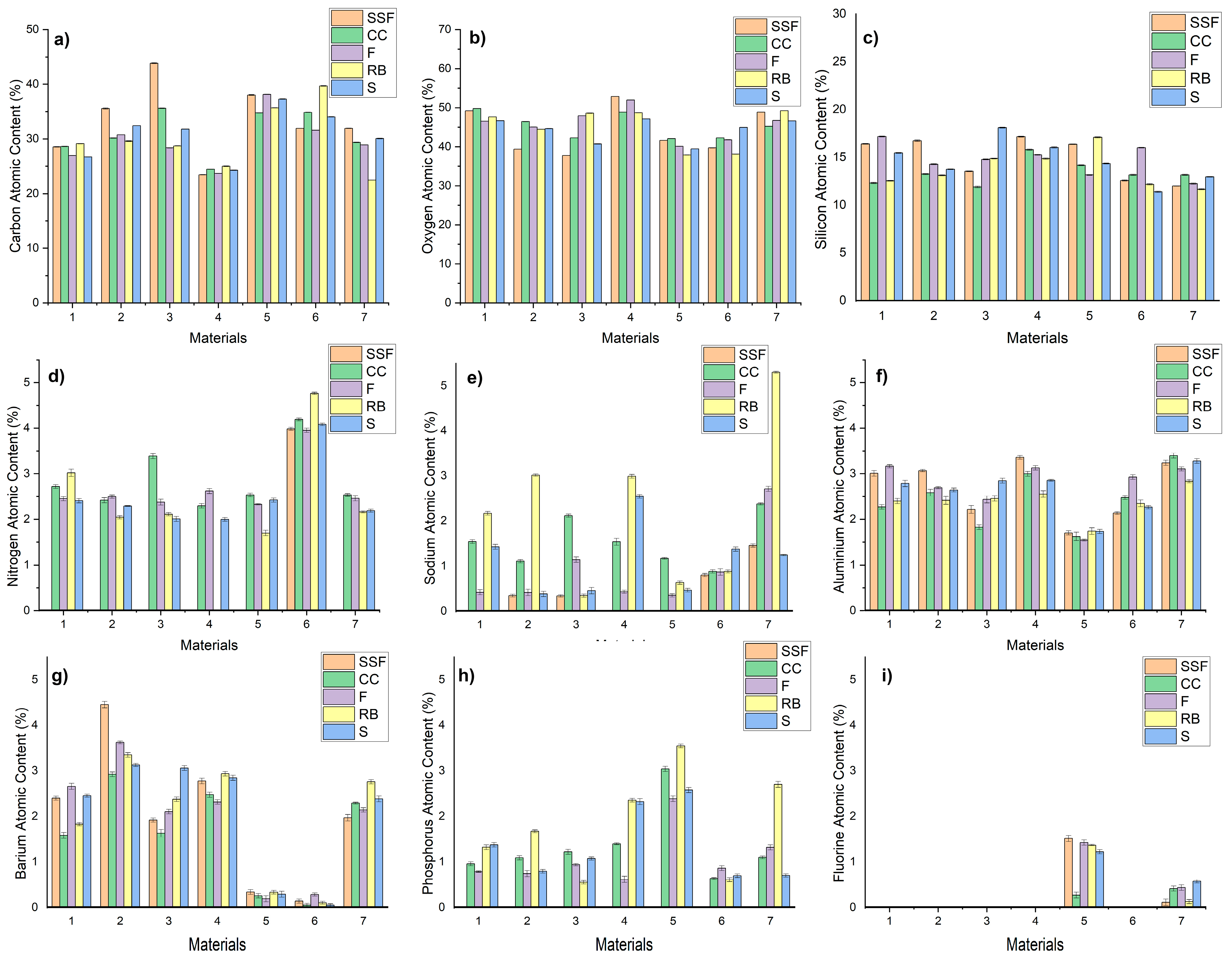
3.2. Energy Dispersive Analysis X-ray
3.3. Energy-Dispersive X-ray Fluorescence (XRF)
4. Discussion
5. Conclusions
Author Contributions
Funding
Institutional Review Board Statement
Informed Consent Statement
Data Availability Statement
Conflicts of Interest
References
- Hengtrakool, C.; Kukiattrakoon, B.; Kedjarune-Leggat, U. Effect of naturally acidic agents on microhardness and surface micromorphology of restorative materials. Eur. J. Dent. 2011, 5, 89–100. [Google Scholar] [CrossRef] [PubMed]
- Featherstone, J.; Chaffee, B. The evidence for caries management by risk assessment (CAMBRA®). Adv. Dent. Res. 2018, 29, 9–14. [Google Scholar] [CrossRef]
- Upadhyay, A.; Pillai, S.; Khayambashi, P.; Sabri, H.; Lee, K.T.; Tarar, M.; Zhou, S.; Harb, I.; Tran, S.D. Biomimetic Aspects of Oral and Dentofacial Regeneration. Biomimetics 2020, 5, 51. [Google Scholar] [CrossRef] [PubMed]
- Paradella, T.C.; Koga-Ito, C.Y.; Jorge, A.O.C. Ability of different restorative materials to prevent in situ secondary caries: Analysisby polarized light-microscopy and energy-dispersive X-ray. Eur. J. Oral Sci. 2008, 116, 375–380. [Google Scholar] [CrossRef] [PubMed]
- Rios, D.; Honório, H.M.; Francisconi, L.F.; Magalhães, A.C.; de Andrade Moreira Machado, M.A.; Buzalaf, M.A. In situ effect of an erosive challenge on different restorative materials and on enamel adjacent to these materials. J. Dent. 2008, 36, 152–157. [Google Scholar] [CrossRef]
- Gregory-Head, B.L.; Curtis, D.A.; Kim, L.; Cello, J. Evaluation of dental erosion in patients with gastroesophageal reflux disease. J. Prosthet. Dent. 2000, 83, 675–680. [Google Scholar] [CrossRef]
- Yap, A.U.; Low, J.S.; Ong, L.F.K.L. Effect of food-simulating liquids on surface characteristics of composite and polyacid-modified composite restoratives. Oper. Dent. 2000, 25, 170–176. [Google Scholar]
- Lussi, A.; Jaeggi, T.; Zero, D. The role of diet in the aetiology of dental erosion. Caries Res. 2004, 38, 34–44. [Google Scholar] [CrossRef]
- Ablal, M.A.; Kaur, J.S.; Cooper, L.; Jarad, F.D.; Milosevic, A.; Higham, S.M.; Preston, A.J. The erosive potential of some alcopops using bovine enamel: An in vitro study. J. Dent. 2009, 37, 835–839. [Google Scholar] [CrossRef]
- Wongkhantee, S.; Patanapiradej, V.; Maneenut, C.; Tantbirojn, D. Effect of acidic food and drinks on surface hardness of enamel, dentine, and tooth-coloured filling materials. J. Dent. 2006, 34, 214–220. [Google Scholar] [CrossRef]
- Jongsma, L.A.; Kleverlaan, C.J.; Feilzer, A.J. Clinical Success and Survival of Indirect Resin Composite Crowns: Results of a 3-Year Prospective Study. Dent. Mater. 2012, 28, 952–960. [Google Scholar] [CrossRef] [PubMed]
- Kassem, A.S.; Atta, O.; El-Mowafy, O. Fatigue Resistance and Microleakage of CAD/CAM Ceramic and Composite Molar Crowns. J. Prosthodont. 2012, 21, 28–32. [Google Scholar] [CrossRef] [PubMed]
- Armstrong, L.E.; Johnson, E.C. Water Intake, Water Balance, and the Elusive Daily Water Requirement. Nutrients 2018, 10, 1928. [Google Scholar] [CrossRef]
- Lee, J.G.; Messer, L.B. Intake of Sweet Drinks and Sweet Treats versus Reported and Observed Caries Experience. Eur. Arch. Paediatr. Dent. 2010, 11, 5–17. [Google Scholar] [CrossRef] [PubMed]
- Hannig, C.; Hamkens, A.; Becker, K.; Attin, R.; Attin, T. Erosive Effects of Different Acids on Bovine Enamel: Release of Calcium and Phosphate in Vitro. Arch. Oral Biol. 2005, 50, 541–552. [Google Scholar] [CrossRef] [PubMed]
- Barbosa, C.S.; Kato, M.T.; Buzalaf, M.A.R. Effect of Supplementation of Soft Drinks with Green Tea Extract on Their Erosive Potential against Dentine. Aust. Dent. J. 2011, 56, 317–321. [Google Scholar] [CrossRef]
- Szalewski, L.; Wójcik, D.; Bogucki, M.; Szkutnik, J.; Kalinowska, I.R. The Influence of Popular Beverages on Mechanical Properties of Composite Resins. Materials 2021, 14, 3097. [Google Scholar] [CrossRef]
- Yanikoğlu, N.; Duymuş, Z.Y.; Yilmaz, B. Effects of Different Solutions on the Surface Hardness of Composite Resin Materials. Dent. Mater. J. 2009, 28, 344–351. [Google Scholar] [CrossRef]
- Tanthanuch, S.; Kukiattrakoon, B.; Siriporananon, C.; Ornprasert, N.; Mettasitthikorn, W.; Likhitpreeda, S.; Waewsanga, S. The effect of different beverages on surface hardness of nanohybrid resin composite and giomer. J. Conserv. Dent. 2014, 17, 261–265. [Google Scholar] [CrossRef]
- Aliping-McKenzie, M.; Linden, R.W.A.; Nicholson, J.W. The Effect of Coca-Cola and Fruit Juices on the Surface Hardness of Glass-Ionomers and “Compomers”. J. Oral Rehabil. 2004, 31, 1046–1052. [Google Scholar] [CrossRef]
- Hwang, S.; Chung, S.H.; Lee, J.T.; Kim, Y.T.; Kim, Y.J.; Oh, S.; Yeo, I.L. Influence of Acid, Ethanol, and Anthocyanin Pigment on the Optical and Mechanical Properties of a Nanohybrid Dental Composite Resin. Materials 2018, 18, 1234. [Google Scholar] [CrossRef] [PubMed]
- Da Silva, M.A.; Vitti, R.P.; Sinhoreti, M.A.; Consani, R.L.; Silva-Júnior, J.G.; Tonholo, J. Effect of alcoholic beverages on surface roughness and microhardness of dental composites. Dent. Mater. J. 2016, 35, 621–626. [Google Scholar] [CrossRef] [PubMed]
- Colombo, M.; Poggio, C.; Lasagna, A.; Chiesa, M.; Scribante, A. Vickers Micro-Hardness of New Restorative CAD/CAM Dental Materials: Evaluation and Comparison after Exposure to Acidic Drink. Materials 2019, 12, 1246. [Google Scholar] [CrossRef]
- Awliya, W.Y.; Al-Alwani, D.J.; Gashmer, E.S.; Al-Mandil, H.B. The Effect of Commonly Used Types of Coffee on Surface Microhardness and Color Stability of Resin-Based Composite Restorations. Saudi Dent. J. 2010, 22, 177–181. [Google Scholar] [CrossRef] [PubMed]
- Higgins, J.P.; Babu, K.M. Caffeine reduces myocardial blood flow during exercise. Am. J. Med. 2013, 126, 730.e1–730.e8. [Google Scholar] [CrossRef] [PubMed]
- Nowak, D.; Jasionowski, A. Analysis of the Consumption of Caffeinated Energy Drinks among Polish Adolescents. Int. J. Environ. Res. Public Health 2015, 10, 7910–7921. [Google Scholar] [CrossRef]
- Erdemir, U.; Yildiz, E.; Eren, M.M.; Ozel, S. Surface Hardness of Different Restorative Materials after Long-Term Immersion in Sports and Energy Drinks. Dent. Mater. J. 2012, 31, 729–736. [Google Scholar] [CrossRef]
- Erdemir, U.; Yildiz, E.; Eren, M.M.; Ozel, S. Surface Hardness Evaluation of Different Composite Resin Materials: Influence of Sports and Energy Drinks Immersion after a Short-Term Period. J. Appl. Oral Sci. 2013, 21, 124–131. [Google Scholar] [CrossRef]
- Erdemir, U.; Yildiz, E.; Eren, M.M. Effects of Sports Drinks on Color Stability of Nanofilled and Microhybrid Composites after Long-Term Immersion. J. Dent. 2012, 40 (Suppl. 2), e55–e63. [Google Scholar] [CrossRef]
- Yesilyurt, C.; Yoldas, O.; Altintas, S.H.; Kusgoz, A. Effects of Food-Simulating Liquids on the Mechanical Properties of a Silorane-Based Dental Composite. Dent. Mater. J. 2009, 28, 362–367. [Google Scholar] [CrossRef]
- Scribante, A.; Gallo, S.; Scarantino, S.; Dagna, A.; Poggio, C.; Colombo, M. Exposure of Biomimetic Composite Materials to Acidic Challenges: Influence on Flexural Resistance and Elastic Modulus. Biomimetics 2020, 5, 56. [Google Scholar] [CrossRef] [PubMed]
- Correr, G.M.; Bruschi Alonso, R.C.; Baratto-Filho, F.; Correr-Sobrinho, L.; Sinhoreti, M.A.C.; Puppin-Rontani, R.M. In Vitro Long-Term Degradation of Aesthetic Restorative Materials in Food-Simulating Media. Acta Odontol. Scand. 2012, 70, 101–108. [Google Scholar] [CrossRef] [PubMed]





| Media/Beverage | XTV (%) |
|---|---|
| SSF | 0.221 ± 0.0010 |
| CC | 0.370 ± 0.0012 |
| F | 0.650 ± 0.0011 |
| RB | 1.123 ± 0.0015 |
| S | 0.761 ± 0.0010 |
| Sample | Beverage/Medium | Content (from Package) | Measured pH Value | Source |
|---|---|---|---|---|
| SSF | Simulated salivary fluid | Disodium hydrogen phosphate 2.382 g Potassium dihydrogen phosphate 0.19 g Sodium chloride 8.00 g Distilled water Up to 1 litre | 6.8 | preparation |
| CC | Coca Cola zero sugar | Water, carbon dioxide, colour E 150d, sweeteners, cyclamates, acesulfame-K and aspartame, acidifier phosphoric acid, natural flavours, caffeine, acidity regulator sodium citrate, phenylalanine, salt 0.02 g in 100 mL | 2.4 | Bucharest, Romania |
| F | Fanta | Water, orange juice from concentrate 3%, carbon dioxide, acidifiers, citric acid and malic acid, sweeteners: cyclamates, acesulfame-K, glycosides derived from steviol and E 959, natural orange flavours with other natural flavours, preservative potassium sorbate, antioxidant: ascorbic acid, stabiliser guar gum, colouring carotenes. 0.3 g sugar/100 mL | 3 | Bucharest, Romania |
| RB | Red Bull | Carbonated water, sucrose, glucose, acidifier (citric acid), taurine (0.4%), acidity regulators (sodium carbonates, magnesium carbonates), caffeine (0.03%), vitamins (niacin 8 mg/100 mL, pantothenic acid 2 mg/100 mL, vitamin B6 2 mg/100 mL, vitamin B12 2 μg/100 mL), flavourings, colourings (plain caramel, riboflavin). 0.1 g salt and 11 g/100 mL sugars. | 3 | Fuschl am See, Austria |
| S | Schweppes | Water, sugar, carbon dioxide, lemon juice (1.5%), lemon extract, acidifier citric acid, flavourings including quinine, preservative potassium sorbate, stabilisers E 1450 and E 445. 12.6 g/100 mL sugars | 2.5 | Bucharest, Romania |
| No. of Sample | Name | Company | Material Type | Filler Size | Characteristics | Filler Type |
|---|---|---|---|---|---|---|
| P1 | Brilliant NG | Coltene, Switzerland | Nano-Hybrid | range of particle size: 0.01–2.5 μm | radiopaque, filler content by volume: 65% filler content by weight: 80% | Dental glass, amorphous silica |
| P2 | Es Com 100 | Spident Co., Ltd., Republic of Korea | Nano-Hybrid | microparticles ranging in size from 10 nm to 10 microns | low polymerization shrinkage, and superior compression strength | Bis-GMA, UDMA Barium glass, Silicone dioxide |
| P3 | Admira fusion | Voco, Germany | Nano-Hybrid Ormocer | filler particles have 1μm of size | restorative system based on ORMOCER® has the lowest polymerization shrinkage (1.25% by volume) and, coupled with this, very low shrinkage stress | - inorganic silicon dioxide and polymerized organic units, like zirconium dioxide (ZrO2) and silicon dioxide (SiO2) |
| P4 | Reality | Schulzer, Germany | Micro-hybrid | size of inorganic particles: 0.05–1.5 microns | The total fill load is 81% and the total fill volume is 65%. Is distinguished by high stability, abrasion resistance, excellent polishing properties | BIS-GMA-based |
| P5 | Optishade | Kavo-Kerr, Germany | Nano-hybrid based on Adaptive Response technology (ART) | Filler particle size less than 50 nm | Better resistance to chipping and fracturing Optimum radio opacity and translucency | Selection of chemically infused mixed oxides, pre-polymerized filler, barium, glass filler, silica and ytterbium trifluoride |
| P6 | GC GRADIA Direct | GC E, Belgium | Micro-hybrid | Silica—0.85 µm | Has a high resistance to fracture and a high degree of elasticity | Barium silicate glass, silica dioxide, pre-polymerized filler |
| P7 | Charisma Classic | Heraeus-Kulzer (Wehrhein, Germany) | Micro-hybrid composite | particle size of 0.005–10 μm | Excellent finishing and polishing properties facilitate a high surface lustre the new filler technology offers an intrinsic shade brilliance and increased colour adaption of up to 56% | BIS-GMA matrix Barium Aluminium Fluoride glass Pre-polymerized filler |
Disclaimer/Publisher’s Note: The statements, opinions and data contained in all publications are solely those of the individual author(s) and contributor(s) and not of MDPI and/or the editor(s). MDPI and/or the editor(s) disclaim responsibility for any injury to people or property resulting from any ideas, methods, instructions or products referred to in the content. |
© 2023 by the authors. Licensee MDPI, Basel, Switzerland. This article is an open access article distributed under the terms and conditions of the Creative Commons Attribution (CC BY) license (https://creativecommons.org/licenses/by/4.0/).
Share and Cite
Gradinaru, I.; Vasiliu, A.L.; Bargan, A.; Checherita, L.E.; Ciubotaru, B.-I.; Armencia, A.O.; Istrate, B.; Dascalu, C.G.; Antohe, M.E. The Influence of Beverages on Resin Composites: An In Vitro Study. Biomedicines 2023, 11, 2571. https://doi.org/10.3390/biomedicines11092571
Gradinaru I, Vasiliu AL, Bargan A, Checherita LE, Ciubotaru B-I, Armencia AO, Istrate B, Dascalu CG, Antohe ME. The Influence of Beverages on Resin Composites: An In Vitro Study. Biomedicines. 2023; 11(9):2571. https://doi.org/10.3390/biomedicines11092571
Chicago/Turabian StyleGradinaru, Irina, Ana Lavinia Vasiliu, Alexandra Bargan, Laura Elisabeta Checherita, Bianca-Iulia Ciubotaru, Adina Oana Armencia, Bogdan Istrate, Cristina Gena Dascalu, and Magda Ecaterina Antohe. 2023. "The Influence of Beverages on Resin Composites: An In Vitro Study" Biomedicines 11, no. 9: 2571. https://doi.org/10.3390/biomedicines11092571
APA StyleGradinaru, I., Vasiliu, A. L., Bargan, A., Checherita, L. E., Ciubotaru, B.-I., Armencia, A. O., Istrate, B., Dascalu, C. G., & Antohe, M. E. (2023). The Influence of Beverages on Resin Composites: An In Vitro Study. Biomedicines, 11(9), 2571. https://doi.org/10.3390/biomedicines11092571

