Association between Salivary Cortisol and α-Amylase with the Psychological Profile of Patients with Oral Lichen Planus and Burning Mouth Syndrome: A Case–Control Study
Abstract
1. Introduction
2. Materials and Methods
2.1. Study Design and Subjects
- Patients with a clinically and histopathologically confirmed diagnosis of OLP according to the modified WHO criteria [18].
- Patients with long-term systemic diseases [diabetes mellitus (DM), cardiovascular disease (CVD), renal dysfunction, liver disease] and/or autoimmune diseases and/or cancer; pregnant women;
- Patients who have received corticosteroid, immunosuppressive, or psychoactive therapy (anxiolytics, anticonvulsants, antidepressants) within the last three months or received hormone therapy;
- Patients with harmful habits such as betel nut or tobacco chewing or smoking;
- Cutaneous lichen planus (LP).
- A diffuse and usually bilateral burning sensation in the oral mucosa;
- A constant and usually bilateral burning sensation that worsens during the day;
- A burning sensation in the oral mucosa that has persisted for at least four to six months;
- A burning sensation that does not interfere with the patient’s sleep;
- A burning sensation that does not worsen with eating and drinking, and possible relief of discomfort with eating and drinking.
- -
- Fe, folic acid, vitamin B12 deficiency;
- -
- DM;
- -
- Receiving treatment with antihypertensive drugs (ACE inhibitors), drugs with xerostomic effects, drugs that make the oral cavity susceptible to the development of oral candidiasis (corticosteroids, antibiotics); taking antineoplastic, psychoactive, or neurological therapies in the last three months; or receiving hormone therapy;
- -
- Smoker;
- -
- Have oral mucosal disease (candidiasis); head and neck cancer; thyroid, liver, or kidney disease; allergies; gastroesophageal reflux disease (GERD); Sjögren’s disease (SjD);
- -
- Pregnant or breastfeeding women;
- -
- Underwent head and neck radiation.
2.2. Sample Size
2.3. Saliva Sampling
2.4. Instruments
2.4.1. Visual Analogue Scale (VAS)
2.4.2. Depression, Anxiety and Stress Scale (DASS-21)
2.5. Statistical Analysis
3. Results
3.1. Study Subjects
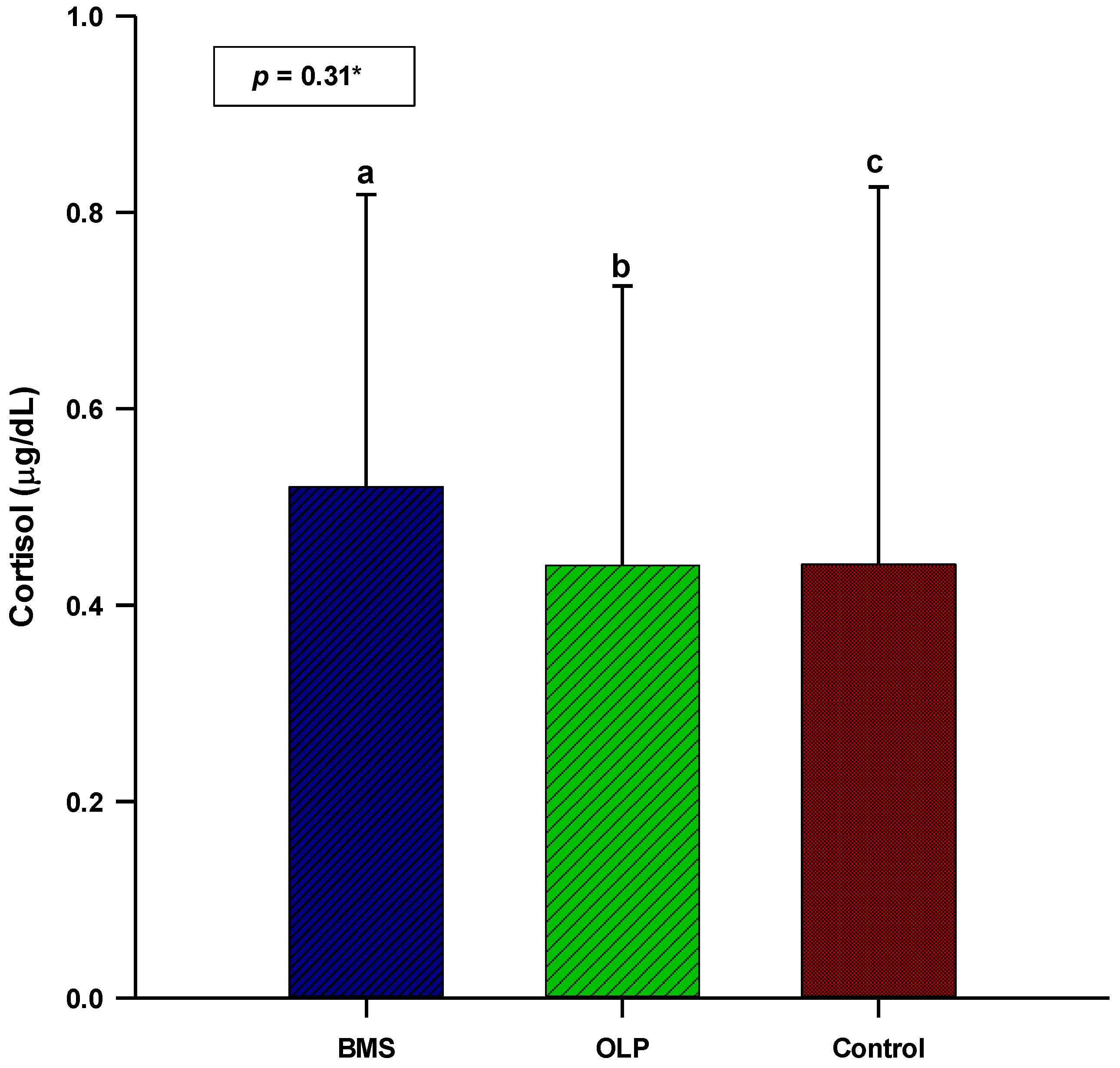
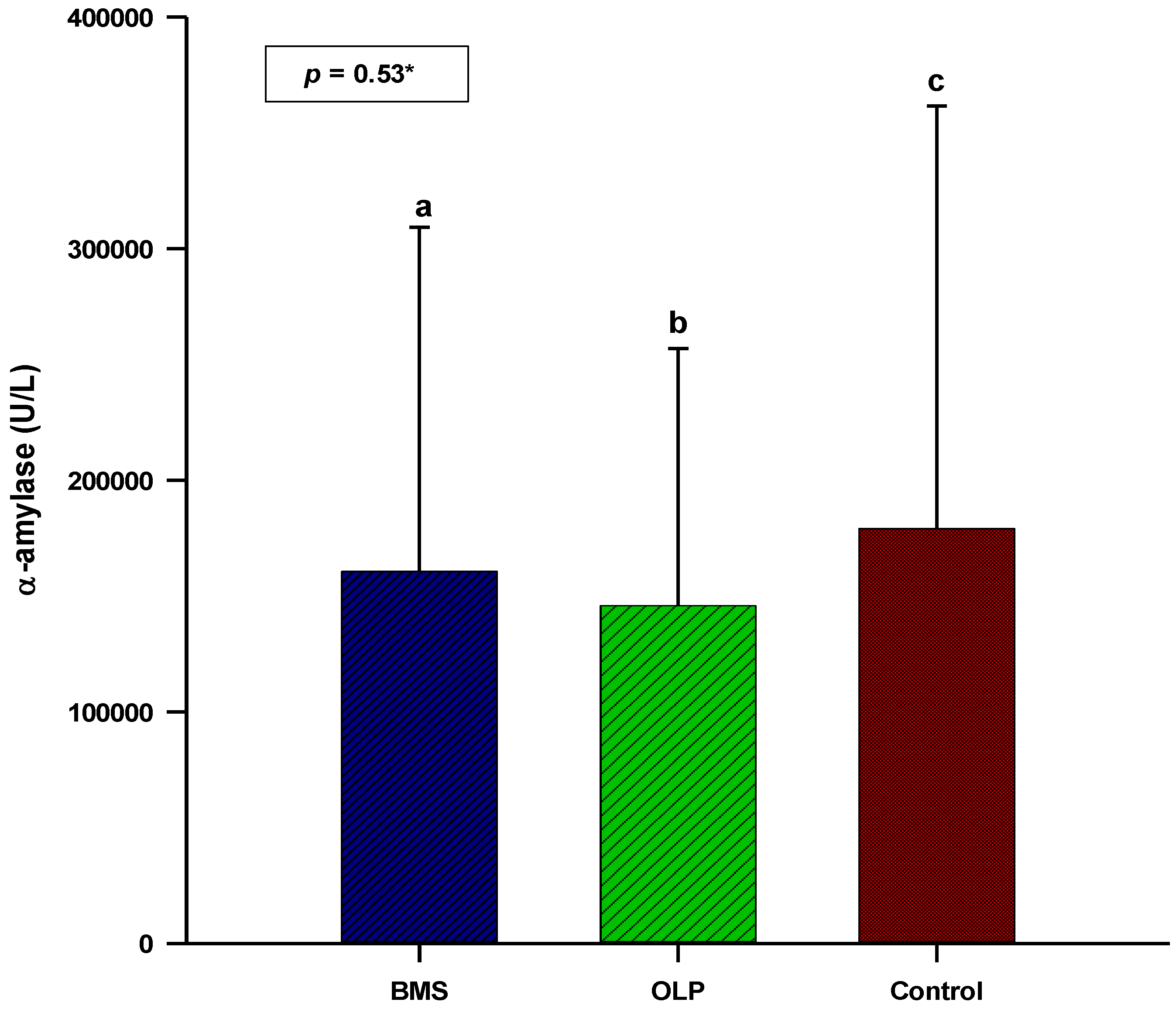
3.2. Salivary Biomarkers
3.3. Psychological Profile
3.4. Erosive and Non-Erosive Forms of OLP
4. Discussion
5. Conclusions
Author Contributions
Funding
Institutional Review Board Statement
Informed Consent Statement
Data Availability Statement
Conflicts of Interest
References
- Lodi, G.; Scully, C.; Carrozzo, M.; Griffiths, M.; Sugerman, P.B.; Thongprasom, K. Current controversies in oral lichen planus: Report of an international consensus meeting. Part 2. Clinical management and malignant transformation. Oral Surg. Oral Med. Oral Pathol. Oral Radiol. Endod. 2005, 100, 164–178. [Google Scholar] [CrossRef] [PubMed]
- Rojo-Moreno, J.L.; Bagán, J.V.; Rojo-Moreno, J.; Donat, J.S.; Milián, M.A.; Jiménez, Y. Psychologic factors and oral lichen planus. A psychometric evaluation of 100 cases. Oral Surg. Oral Med. Oral Pathol. Oral Radiol. Endod. 1998, 86, 687–691. [Google Scholar] [CrossRef] [PubMed]
- McCartan, B.E. Psychological factors associated with oral lichen planus. J. Oral Pathol. Med. 1995, 24, 273–275. [Google Scholar] [PubMed]
- Eisen, D. The clinical features, malignant potential, and systemic associations of oral lichen planus: A study of 723 patients. J. Am. Acad. Dermatol. 2002, 46, 207–214. [Google Scholar] [CrossRef]
- Grushka, M.; Epstein, J.B.; Gorsky, M. Burning mouth syndrome. Am. Fam. Physician 2002, 65, 615–620. [Google Scholar]
- Kamala, K.A.; Sankethguddad, S.; Sujith, S.G.; Tantradi, P. Burning Mouth Syndrome. Indian J. Palliat. Care 2016, 22, 74–79. [Google Scholar] [CrossRef]
- Rogulj, A.A.; Richter, I.; Brailo, V.; Krstevski, I.; Boras, V.V. Catastrophizing in Patients with Burning Mouth Syndrome. Acta Stomatol. Croat. 2014, 48, 109–115. [Google Scholar]
- Scala, A.; Checchi, L.; Montevecchi, M.; Marini, I.; Giamberardino, M.A. Update on burning mouth syndrome: Overview and patient management. Crit. Rev. Oral Biol. Med. 2003, 14, 275–291. [Google Scholar] [CrossRef]
- Braud, A.; Boucher, Y. The relationship between the clinical features of idiopathic burning mouth syndrome and self-perceived quality of life. J. Oral Sci. 2016, 58, 475–481. [Google Scholar] [CrossRef]
- Davies, S.J.C.; Underhill, H.C.; Abdel-Karim, A.; Christmas, D.M.; Bolea-Alamanac, B.M.; Potokar, J.; Herrod, J.; Prime, S.S. Individual oral symptoms in burning mouth syndrome may be associated differentially with depression and anxiety. Acta Odontol. Scand. 2016, 74, 155–160. [Google Scholar] [CrossRef]
- Suarez, P.; Clark, G.T. Burning mouth syndrome: An update on diagnosis and treatment methods. J. Calif. Dent. Assoc. 2006, 34, 611–622. [Google Scholar] [PubMed]
- Gaur, A.; Kumar, C.A.; Kumar, J.S.; Nair, G.K.R.; Agrawal, V.M. Estimation of Salivary Cortisol Level and Psychological Assessment in Patients with Oral Lichen Planus. J. Indian Acad. Oral Med. Radiol. 2018, 30, 14–17. [Google Scholar] [CrossRef]
- McEwen, B.S. Mood disorders and allostatic load. Biol. Psychiatry 2003, 54, 200–207. [Google Scholar] [CrossRef] [PubMed]
- Nosratzehi, T.; Salimi, S.; Parvaee, A. Comparison of Salivary Cortisol and α-amylase Levels and Psychological Profiles in Patients with Burning Mouth Syndrome. Spec. Care Dent. 2017, 37, 120–125. [Google Scholar] [CrossRef]
- Nater, U.M.; Rohleder, N. Salivary alpha-amylase as a non-invasive biomarker for the sympathetic nervous system: Current state of research. Psychoneuroendocrinology 2009, 34, 486–496. [Google Scholar] [CrossRef] [PubMed]
- Par, M.; Tarle, Z. Psychoneuro-immunology of oral diseases—A review. Stomatol. EDU J. 2019, 6, 55–65. [Google Scholar] [CrossRef]
- Wu-Wang, C.Y.; Patel, M.; Feng, J.; Milles, M.; Wang, S.L. Decreased levels of salivary prostaglandin E2 and epidermal growth factor in recurrent aphthous stomatitis. Arch. Oral Biol. 1995, 40, 1093–1098. [Google Scholar] [CrossRef]
- Van der Meij, E.H.; van der Waal, I. Lack of clinicopathologic correlation in the diagnosis of oral lichen planus based on the presently available diagnostic criteria and suggestions for modifications. J. Oral Pathol. Med. 2003, 32, 507–512. [Google Scholar] [CrossRef]
- Faul, F.; Erdfelder, E.; Lang, A.-G.; Bauchner, A. G*Power 3: A flexible statistical power analysis program for the social, behavioral, and biomedical sciences. Behav. Res. Methods 2007, 39, 175–191. [Google Scholar] [CrossRef]
- Fernández-Agra, M.; González-Serrano, J.; de Pedro, M.; Virto, L.; Caponio, V.C.A.; Ibáñez-Prieto, E.; Hernández, G.; López-Pintor, R.M. Salivary biomarkers in burning mouth syndrome: A systematic review and meta-analysis. Oral Dis. 2022; ahead of print. [Google Scholar] [CrossRef]
- Kang, J.-H.; Kho, H.-S. Blood contamination in salivary diagnostics: Current methods and their limitations. Clin. Chem. Lab. Med. 2019, 57, 1115–1124. [Google Scholar] [CrossRef]
- Kamodyová, N.; Baňasová, L.; Janšáková, K.; Koborová, I.; Tóthová, Ľ.; Stanko, P.; Celec, P. Blood contamination in Saliva: Impact on the measurement of salivary oxidative stress markers. Dis. Markers 2015, 2015, 479251. [Google Scholar] [CrossRef]
- Ivezić, E.; Jakšić, N.; Jokić-Begić, N.; Surányi, Z. Validation of the Croatian adaptation of the Depression, Anxiety and Stress Scales (DASS-21) in a clinical sample. In Proceedings of the 18th Psychology Days in Zadar, Zadar, Croatia, 24 May 2012. [Google Scholar]
- Pačić-Turk, L.; Ćepulić, D.-B.; Haramina, A.; Bošnjaković, J. The relationship of different psychological factors with the level of stress, anxiety and depression in health care workers during the COVID-19 pandemic in the Republic of Croatia. Suvrem. Psihol. 2020, 23, 35–53. [Google Scholar] [CrossRef]
- Lopez-Jornet, P.; Zavattaro, E.; Mozaffari, H.R.; Ramezani, M.; Sadeghi, M. Evaluation of the Salivary Level of Cortisol in Patients with Oral Lichen Planus: A Meta-Analysis. Medicina 2019, 55, 213. [Google Scholar] [CrossRef]
- Humberto, J.S.M.; Pavanin, J.V.; da Rocha, M.J.A.; Motta, A.C.F. Cytokines, cortisol, and nitric oxide as salivary biomarkers in oral lichen planus: A systematic review. Braz. Oral Res. 2018, 32, e82. [Google Scholar] [CrossRef] [PubMed]
- Koray, M.; Dülger, O.; Ak, G.; Horasanli, S.; Uçok, A.; Tanyeri, H.; Badur, S. The evaluation of anxiety and salivary cortisol levels in patients with oral lichen planus. Oral Dis. 2003, 9, 298–301. [Google Scholar] [CrossRef] [PubMed]
- Shah, B.; Ashok, L.; Sujatha, G.P. Evaluation of salivary cortisol and psychological factors in patients with oral lichen planus. Indian J. Dent. Res. 2009, 20, 288–292. [Google Scholar] [CrossRef] [PubMed]
- Nadendla, L.K.; Meduri, V.; Paramkusam, G.; Pachava, K.R. Association of salivary cortisol and anxiety levels in lichen planus patients. J. Clin. Diagn. Res. 2014, 8, ZC01–ZC03. [Google Scholar] [CrossRef]
- Rödström, P.O.; Jontell, M.; Hakeberg, M.; Berggren, U.; Lindstedt, G. Erosive oral lichen planus and salivary cortisol. J. Oral Pathol. Med. 2001, 30, 257–263. [Google Scholar] [CrossRef]
- Girardi, C.; Luz, C.; Cherubini, K.; de Figueiredo, M.A.Z.; Nunes, M.L.T.; Salum, F.G. Salivary cortisol and dehydroepiandrosterone (DHEA) levels, psychological factors in patients with oral lichen planus. Arch. Oral Biol. 2011, 56, 864–868. [Google Scholar] [CrossRef]
- Nosratzehi, T.; Arbabi-Kalati, F.; Salimi, S.; Honarmand, E. The evaluation of psychological factor and salivary cortisol and IgA levels in patients with oral lichen planus. Zahedan J. Res. Med. Sci. 2014, 16, 31–34. [Google Scholar]
- Pippi, R.; Romeo, U.; Santoro, M.; Del Vecchio, A.; Scully, C.; Petti, S. Psychological disorders and oral lichen planus: Matched case-control study and literature review. J. Oral Dis. 2016, 22, 226–234. [Google Scholar] [CrossRef]
- Lopez-Jornet, P.; Cayuela, C.A.; Tvarijonaviciute, A.; Parra-Perez, F.; Escribano, D.; Ceron, J. Oral lichen planus: Salival biomarkers cortisol, immunoglobulin A, adiponectin. J. Oral Pathol. Med. 2016, 45, 211–217. [Google Scholar] [CrossRef]
- Mansourian, A.; Najafi, S.; Nojoumi, N.; Parhami, P.; Moosavi, M.-S. Salivary Cortisol and Salivary Flow Rate in Clinical Types of Oral Lichen Planus. Skinmed 2018, 16, 19–22. [Google Scholar]
- Jääskeläinen, S.K. Pathophysiology of primary burning mouth syndrome. Clin. Neurophysiol. 2012, 123, 71–77. [Google Scholar] [CrossRef]
- Aitken-Saavedra, J.; Tarquinio, S.B.; Kinalski, M.; Haubman, D.; Martins, M.W.; Vasconcelos, A.C. Salivary characteristics in burning mouth syndrome: A systematic review. Minerva Dent. Oral Sci. 2022, 71, 233–241. [Google Scholar] [CrossRef]
- López-Jornet, P.; Camacho-Alonso, F.; Andujar-Mateos, M.P. Salivary cortisol, stress and quality of life in patients with burning mouth syndrome. J. Eur. Acad. Dermatol. Venereol. 2009, 23, 1212–1213. [Google Scholar] [CrossRef]
- Nakagawa, A.; Yoshida, H.; Morita, S. Changes of salivary cortisol and chromogranin A levels in patients with burning mouth syndrome. J. Osaka Dental. Univ. 2010, 44, 57–63. [Google Scholar]
- de Souza, F.T.A.; Kummer, A.; Silva, M.L.V.; Amaral, T.M.P.; Abdo, E.N.; Abreu, M.H.N.G.; Silva, T.A.; Teixeira, A.L. The association of openness personality trait with stress-related salivary biomarkers in burning mouth syndrome. Neuroimmunomodulation 2015, 22, 250–255. [Google Scholar] [CrossRef] [PubMed]
- Ariyawardana, A.; Chmieliauskaite, M.; Farag, A.M.; Albuquerque, R.; Forssell, H.; Nasri-Heir, C.; Klasser, G.D.; Sardella, A.; Mignogna, M.D.; Ingram, M.; et al. World Workshop on Oral Medicine VII: Burning mouth syndrome: A systematic review of disease definitions and diagnostic criteria utilized in randomized clinical trials. Oral Dis. 2019, 25 (Suppl. S1), 141–156. [Google Scholar] [CrossRef]
- Da Silva Simoura, J.A.; Pires, A.L.P.V.; Alves, L.D.B.; Arsati, F.; de Oliveira Lima-Arsati, Y.B.; Dos Santos, J.N.; Freitas, V.S. Psy-chological profile and α-amylase levels in oral lichen planus patients: A case-control preliminary study. Oral. Dis. 2023, 29, 1242–1249. [Google Scholar] [CrossRef]
- Kim, H.-I.; Kim, Y.-Y.; Chang, J.-Y.; Ko, J.-Y.; Kho, H.-S. Salivary cortisol, 17β-estradiol, progesterone, dehydroepiandrosterone, and α-amylase in patients with burning mouth syndrome. Oral Dis. 2012, 18, 613–620. [Google Scholar] [CrossRef] [PubMed]
- De Porras-Carrique, T.; González-Moles, M.A.; Warnakulasuriya, S.; Ramos-García, P. Depression, anxiety, and stress in oral lichen planus: A systematic review and meta-analysis. Clin. Oral Investig. 2022, 26, 1391–1408. [Google Scholar] [CrossRef] [PubMed]
- Ebrahimi, H.; Pourshahidi, S.; Tadbir, A.A. Evaluation of the Relationship between Oral Lichen Planus and Stress. J. Dent. 2011, 12, 43–47. [Google Scholar]
- Koike, K.; Shinozaki, T.; Hara, K.; Noma, N.; Okada-Ogawa, A.; Asano, M.; Shinoda, M.; Eliav, E.; Gracely, R.H.; Iwata, K.; et al. Immune and endocrine function in patients with burning mouth syndrome. Clin. J. Pain 2014, 30, 168–173. [Google Scholar] [CrossRef]
- De Pedro, M.; López-Pintor, R.M.; Casañas, E.; Hernández, G. Effects of photobiomodulation with low-level laser therapy in burning mouth syndrome: A randomized clinical trial. Oral Dis. 2020, 26, 1764–1776. [Google Scholar] [CrossRef]
- Shahidi, M.; Jafari, S.; Barati, M.; Mahdipour, M.; Gholami, M.S. Predictive value of salivary microRNA-320a, vascular endothelial growth factor receptor 2, CRP and IL-6 in oral lichen planus progression. Inflammopharmacology, 2017; ahead of print. [Google Scholar] [CrossRef]
- Abdel-Haq, A.; Kusnierz-Cabala, B.; Darczuk, D.; Sobuta, E.; Dumnicka, P.; Wojas-Pelc, A.; Chomyszyn-Gajewska, M. Interleukin-6 and neopterin levels in the serum and saliva of patients with lichen planus and oral lichen planus. J. Oral Pathol. Med. 2014, 43, 734–739. [Google Scholar] [CrossRef]
- Hershkovich, O.; Nagler, R.M. Biochemical analysis of saliva and taste acuity evaluation in patients with burning mouth syndrome, xerostomia and/or gustatory disturbances. Arch. Oral Biol. 2004, 49, 515–522. [Google Scholar] [CrossRef]


| Sample N = 160 | OLP Group N = 60 | BMS Group N = 60 | Control Group N = 40 | p | |
|---|---|---|---|---|---|
| Gender (N, %) Men Women | 33 (20.6) 127 (79.4) | 15 (25.0) 45 (75.0) | 11 (18.3) 49 (81.7) | 7 (17.5) 33 (82.5) | 0.57 * |
| Age (years) | 63.0 (52.0–70.0) | 63.0 (51.5–70.5) | 66.0 (57.0–72.0) | 61.0 (52.0–65.0) | 0.10 # |
| OLP Group N = 60 | BMS Group N = 60 | Control Group N = 40 | p * | |
|---|---|---|---|---|
| Depression | 1.0 (0.0–8.0) | 10.0 (4.0–18.0) | 2.0 (0.0–4.0) | <0.001 ab |
| Anxiety | 4.0 (0.0–8.0) | 7.0 (4.0–16.0) | 2.0 (0.0–5.0) | <0.001 ab |
| Stress | 8.0 (2.0–14.0) | 16.0 (8.0–28.0) | 4.0 (2.0–14.0) | <0.001 ab |
| Depression | Anxiety | Stress | Cortisol | α-Amylase | ||
|---|---|---|---|---|---|---|
| OLP | Depression | 1.0 | ||||
| Anxiety | 0.643 * | 1.0 | ||||
| Stress | 0.720 * | 0.696 * | 1.0 | |||
| Cortisol | −0.011 | −0.016 | −0.077 | 1.0 | ||
| α-Amylase | −0.037 | 0.050 | 0.053 | 0.039 | 1.0 | |
| BMS | Depression | 1.0 | ||||
| Anxiety | 0.652 * | 1.0 | ||||
| Stress | 0.793 * | 0.705 * | 1.0 | |||
| Cortisol | 0.083 | 0.028 | 0.122 | 1.0 | ||
| α-Amylase | 0.048 | −0.218 | −0.024 | 0.008 | 1.0 |
| OLP | BMS | ||||
|---|---|---|---|---|---|
| r * | p | r * | p | ||
| Disease duration | Cortisol | 0.253 | 0.05 | −0.089 | 0.50 |
| α-Amylase | 0.038 | 0.77 | 0.076 | 0.56 | |
| Depression | −0.078 | 0.55 | −0.007 | 0.96 | |
| Anxiety | −0.035 | 0.79 | −0.033 | 0.80 | |
| Stress | −0.023 | 0.86 | −0.026 | 0.84 | |
| Symptom intensity (pain/burning) | Cortisol | 0.006 | 0.96 | −0.230 | 0.08 |
| α-Amylase | 0.079 | 0.55 | −0.004 | 1.10 | |
| Depression | 0.109 | 0.41 | 0.373 | 0.003 | |
| Anxiety | 0.081 | 0.54 | 0.515 | <0.001 | |
| Stress | 0.089 | 0.50 | 0.365 | 0.004 | |
| Erosive OLP | Non-Erosive OLP | ||
|---|---|---|---|
| N = 40 | N = 20 | p | |
| Cortisol | 0.45 ± 0.31 | 0.41 ± 0.23 | 0.69 † |
| α-Amylase | 100,815 (67,160–257,030) | 101,035 (74,825–142,870) | 0.55 * |
| Depression | 1.0 (0.0–5.0) | 2.0 (0.0–10.0) | 0.51 * |
| Anxiety | 3.0 (0.0–6.0) | 5.0 (0.0–13.0) | 0.54 * |
| Stress | 8.0 (2.0–12.0) | 8.0 (1.0–16.0) | 0.76 * |
Disclaimer/Publisher’s Note: The statements, opinions and data contained in all publications are solely those of the individual author(s) and contributor(s) and not of MDPI and/or the editor(s). MDPI and/or the editor(s) disclaim responsibility for any injury to people or property resulting from any ideas, methods, instructions or products referred to in the content. |
© 2023 by the authors. Licensee MDPI, Basel, Switzerland. This article is an open access article distributed under the terms and conditions of the Creative Commons Attribution (CC BY) license (https://creativecommons.org/licenses/by/4.0/).
Share and Cite
Glavina, A.; Lugović-Mihić, L.; Martinović, D.; Cigić, L.; Tandara, L.; Lukenda, M.; Biočina-Lukenda, D.; Šupe-Domić, D. Association between Salivary Cortisol and α-Amylase with the Psychological Profile of Patients with Oral Lichen Planus and Burning Mouth Syndrome: A Case–Control Study. Biomedicines 2023, 11, 2182. https://doi.org/10.3390/biomedicines11082182
Glavina A, Lugović-Mihić L, Martinović D, Cigić L, Tandara L, Lukenda M, Biočina-Lukenda D, Šupe-Domić D. Association between Salivary Cortisol and α-Amylase with the Psychological Profile of Patients with Oral Lichen Planus and Burning Mouth Syndrome: A Case–Control Study. Biomedicines. 2023; 11(8):2182. https://doi.org/10.3390/biomedicines11082182
Chicago/Turabian StyleGlavina, Ana, Liborija Lugović-Mihić, Dinko Martinović, Livia Cigić, Leida Tandara, Marino Lukenda, Dolores Biočina-Lukenda, and Daniela Šupe-Domić. 2023. "Association between Salivary Cortisol and α-Amylase with the Psychological Profile of Patients with Oral Lichen Planus and Burning Mouth Syndrome: A Case–Control Study" Biomedicines 11, no. 8: 2182. https://doi.org/10.3390/biomedicines11082182
APA StyleGlavina, A., Lugović-Mihić, L., Martinović, D., Cigić, L., Tandara, L., Lukenda, M., Biočina-Lukenda, D., & Šupe-Domić, D. (2023). Association between Salivary Cortisol and α-Amylase with the Psychological Profile of Patients with Oral Lichen Planus and Burning Mouth Syndrome: A Case–Control Study. Biomedicines, 11(8), 2182. https://doi.org/10.3390/biomedicines11082182

