Macrophages of the Cardiorenal Axis and Myocardial Infarction
Abstract
1. Introduction
2. Materials and Methods
2.1. Clinical and Anamnestic Characteristics
2.2. Immunohistochemical Analysis
2.3. Statistical Analysis
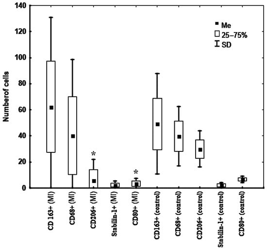
3. Results
4. Discussion
Limitation
5. Conclusions
Author Contributions
Funding
Institutional Review Board Statement
Informed Consent Statement
Data Availability Statement
Conflicts of Interest
References
- Wang, C.; Pei, Y.-Y.; Ma, Y.-H.; Ma, X.-L.; Liu, Z.-W.; Zhu, J.-H.; Li, C.-S. Risk factors for acute kidney injury in patients with acute myocardial infarction. Chin. Med. J. 2019, 132, 1660–1665. [Google Scholar] [CrossRef] [PubMed]
- Shacham, Y.; Steinvil, A.; Arbel, Y. Acute kidney injury among ST elevation myocardial infarction patients treated by primary percutaneous coronary intervention: A multifactorial entity. J. Nephrol. 2016, 29, 169–174. [Google Scholar] [CrossRef] [PubMed]
- Farhan, S.; Vogel, B.; Tentzeris, I.; Jarai, R.; Freynhofer, M.K.; Smetana, P.; Egger, F.; Kautzky-Willer, A.; Huber, K. Contrast induced acute kidney injury in acute coronary syndrome patients: A single centre experience. Eur. Heart J. Acute Cardiovasc. Care 2016, 5, 55–61. [Google Scholar] [CrossRef]
- Ronco, C.; Haapio, M.; House, A.A.; Anavekar, N.; Bellomo, R. Cardiorenal syndrome. J. Am. Coll. Cardiol. 2008, 52, 1527–1539. [Google Scholar] [CrossRef] [PubMed]
- Fujiu, K.; Shibata, M.; Nakayama, Y.; Ogata, F.; Matsumoto, S.; Noshita, K.; Iwami, S.; Nakae, S.; Komuro, I.; Nagai, R.; et al. A heart-brain-kidney network controls adaptation to cardiac stress through tissue macrophage activation. Nat. Med. 2017, 23, 611–622. [Google Scholar] [CrossRef]
- Silljé, H.H.W.; de Boer, R.A. Heart failure: Macrophages take centre stage in the heart-brain-kidney axis. Nat. Rev. Nephrol. 2017, 13, 388–390. [Google Scholar] [CrossRef]
- Guiteras, R.; Flaquer, M.; Cruzado, J.M. Macrophage in chronic kidney disease. Clin. Kidney J. 2016, 9, 765–771. [Google Scholar] [CrossRef]
- Kercheva, M.; Ryabov, V. Role of macrophages in cardiorenal syndrome development in patients with myocardial infarction. Russ. J. Cardiol. 2021, 26, 4309. (In Russian) [Google Scholar] [CrossRef]
- Kercheva, M.; Ryabov, V.; Gombozhapova, A.; Rebenkova, M.; Kzhyshkowska, J. Macrophages of the “Heart-Kidney” Axis: Their Dynamics and Correlations with Clinical Data and Outcomes in Patients with Myocardial Infarction. J. Pers. Med. 2022, 12, 127. [Google Scholar] [CrossRef]
- Ryabov, V.; Gombozhapova, A.; Rogovskaya, Y.; Kzhyshkowska, J.; Rebenkova, M.; Karpov, R. Cardiac CD68+ and stabilin-1+ macrophages in wound healing following myocardial infarction: From experiment to clinic. Immunobiology 2018, 223, 413–421. [Google Scholar] [CrossRef]
- Fischer-Riepe, L.; Daber, N.; Schulte-Schrepping, J.; De Carvalho, B.C.V.; Russo, A.; Pohlen, M.; Fischer, J.; Chasan, A.I.; Wolf, M.; Barczyk-Kahlert, K.; et al. CD163 expression defines specific, IRF8-dependent, immune-modulatory macrophages in the bone marrow. J. Allergy Clin. Immunol. 2020, 146, 1137–1151. [Google Scholar] [CrossRef] [PubMed]
- Evans, B.J.; Haskard, D.O.; Sempowksi, G.; Landis, R.C. Evolution of the Macrophage CD163 Phenotype and Cytokine Profiles in a Human Model of Resolving Inflammation. Int. J. Inflamm. 2013, 2013, 780502. [Google Scholar] [CrossRef] [PubMed]
- Olmes, G.; Büttner-Herold, M.; Ferrazzi, F.; Distel, L.; Amann, K.; Daniel, C. CD163+ M2c-like macrophages predominate in renal biopsies from patients with lupus nephritis. Arthritis Res. Ther. 2016, 18, 90. [Google Scholar] [CrossRef]
- Guillén-Gómez, E.; Guirado, L.; Belmonte, X.; Maderuelo, A.; Santín, S.; Juarez, C.; Ars, E.; Facundo, C.; Ballarín, J.A.; Díaz-Encarnación, M.M.; et al. Renal macrophage infiltration is associated with a poor outcome in IgA nephropathy. Clinics 2012, 67, 697–703. [Google Scholar]
- Guillén-Gómez, E.; Guirado, L.; Belmonte, X.; Maderuelo, A.; Santín, S.; Juarez, C.; Ars, E.; Facundo, C.; Ballarín, J.A.; Vidal, S.; et al. Monocyte implication in renal allograft dysfunction. Clin. Exp. Immunol. 2014, 175, 323–331. [Google Scholar] [CrossRef]
- Gombozhapova, A.; Rogovskaya, Y.; Rebenkova, M.; Ryabov, V. Phenotypic heterogeneity of cardiac macrophages during wound healing following myocardial infarction: Perspectives in clinical research. Sib. J. Clin. Exp. Med. 2018, 33, 70–76. [Google Scholar] [CrossRef]
- Chistiakov, D.A.; Killingsworth, M.C.; Myasoedova, V.A.; Orekhov, A.N.; Bobryshev, Y.V. CD68/macrosialin: Not just a histochemical marker. Lab. Investig. 2017, 97, 4–13. [Google Scholar] [CrossRef]
- Marks, S.D.; Williams, S.J.; Tullus, K.; Sebire, N.J. Glomerular expression of monocyte chemoattractant protein-1 is predictive of poor renal prognosis in pediatric lupus nephritis. Nephrol. Dial. Transplant. 2008, 23, 3521–3526. [Google Scholar] [CrossRef]
- Dias, C.B.; Malafronte, P.; Lee, J.; Resende, A.; Jorge, L.; Pinheiro, C.C.; Malheiros, D.; Woronik, V. Role of renal expression of CD68 in the long-term prognosis of proliferative lupus nephritis. J. Nephrol. 2017, 30, 87–94. [Google Scholar] [CrossRef]
- Ryabov, V.V.; Gombozhapova, A.E.; Rogovskaya, Y.V.; Rebenkova, M.S.; Alekseeva, Y.V.; Kzhyshkowska, Y.G. Inflammation as a universal pathogenetic link between injury, repair and regeneration, in acute coronary syndrome. From experiment to clinic. Kardiologiia 2019, 59, 15–23. [Google Scholar] [CrossRef]
- Frangogiannis, N.G. The inflammatory response in myocardial injury, repair, and remodelling. Nat. Rev. Cardiol. 2014, 11, 255–265. [Google Scholar] [CrossRef] [PubMed]
- Mosig, S.; Rennert, K.; Krause, S.; Kzhyshkowska, J.; Neunübel, K.; Heller, R.; Funke, H. Different functions of monocyte subsets in familial hypercholesterolemia: Potential function of CD14+ CD16+ monocytes in detoxification of oxidized LDL. FASEB J. 2009, 23, 866–874. [Google Scholar] [CrossRef] [PubMed]
- Kzhyshkowska, J. Multifunctional receptor stabilin-1 in homeostasis and disease. Sci. World J. 2010, 10, 2039–2053. [Google Scholar] [CrossRef] [PubMed]
- Wen, Y.; Yan, H.R.; Wang, B.; Liu, B.C. Macrophage Heterogeneity in Kidney Injury and Fibrosis. Front. Immunol. 2021, 12, 681748. [Google Scholar] [CrossRef]
- Li, J.; Liu, C.H.; Xu, D.L.; Gao, B. Clinicopathological significance of CD206-positive macrophages in patients with acute tubulointerstitial disease. Int. J. Clin. Exp. Pathol. 2015, 8, 11386–11392. [Google Scholar]
- Staples, K.J.; Sotoodehnejadnematalahi, F.; Pearson, H.; Frankenberger, M.; Francescut, L.; Ziegler-Heitbrock, L.; Burke, B. Monocytederived macrophages matured under prolonged hypoxia transcriptionally up-regulate HIF-1α mRNA. Immunobiology 2011, 216, 832–839. [Google Scholar] [CrossRef]


| Cells | All Patients (n = 30) | Control (n = 8) | p1 | Group 1 (n = 17) | Group 2 (n = 13) | p2 | p3 | p4 |
|---|---|---|---|---|---|---|---|---|
| CD163+ | 55 (32; 97) | 47 (34; 68) | 0.5 | 55 (34; 72) | 58 (32; 97) | 0.5 | 0.9 | 0.4 |
| CD68+ | 30 (23; 51) * | 41 (33;48) | 0.45 | 30 (24; 49) * | 35(23; 51) * | 0.7 | 0.4 | 0.7 |
| CD206+ | 4 (2; 6) *, ** | 30 (27; 35) | 0.0005 | 6 (5; 8)*,** | 2 (1; 2) *, ** | 0.01 | 0.005 | 0.0001 |
| Stabilin-1+ | 2 (1; 3) *, **, *** | 2 (1; 3) *, **, *** | 0.8 | 1 (1; 4) *, **, *** | 2 (1; 2) *, ** | 0.3 | 0.9 | 0.7 |
| CD80+ | 3 (2; 5) *, **, *** | 6 (6; 7) *, **, ***, **** | 0.0003 | 5 (3; 5) *, **, *** | 2 (1;2) *, ** | 0.01 | 0.0005 | 0.0007 |
Disclaimer/Publisher’s Note: The statements, opinions and data contained in all publications are solely those of the individual author(s) and contributor(s) and not of MDPI and/or the editor(s). MDPI and/or the editor(s) disclaim responsibility for any injury to people or property resulting from any ideas, methods, instructions or products referred to in the content. |
© 2023 by the authors. Licensee MDPI, Basel, Switzerland. This article is an open access article distributed under the terms and conditions of the Creative Commons Attribution (CC BY) license (https://creativecommons.org/licenses/by/4.0/).
Share and Cite
Kercheva, M.; Ryabov, V.; Gombozhapova, A.; Stepanov, I.; Kzhyshkowska, J. Macrophages of the Cardiorenal Axis and Myocardial Infarction. Biomedicines 2023, 11, 1843. https://doi.org/10.3390/biomedicines11071843
Kercheva M, Ryabov V, Gombozhapova A, Stepanov I, Kzhyshkowska J. Macrophages of the Cardiorenal Axis and Myocardial Infarction. Biomedicines. 2023; 11(7):1843. https://doi.org/10.3390/biomedicines11071843
Chicago/Turabian StyleKercheva, Maria, Vyacheslav Ryabov, Aleksandra Gombozhapova, Ivan Stepanov, and Julia Kzhyshkowska. 2023. "Macrophages of the Cardiorenal Axis and Myocardial Infarction" Biomedicines 11, no. 7: 1843. https://doi.org/10.3390/biomedicines11071843
APA StyleKercheva, M., Ryabov, V., Gombozhapova, A., Stepanov, I., & Kzhyshkowska, J. (2023). Macrophages of the Cardiorenal Axis and Myocardial Infarction. Biomedicines, 11(7), 1843. https://doi.org/10.3390/biomedicines11071843

