A Comparison of Two Multi-Tasking Approaches to Cognitive Training in Cardiac Surgery Patients
Abstract
:1. Introduction
2. Materials and Methods
2.1. Data Collection and Sampling
2.2. Neuropsychological Examination
2.3. Multi-Tasking Training
2.4. CT I (A Postural Task with Mental Arithmetic and Divergent Tasks)
2.5. CT II (A Simple Visual–Motor Reaction with Mental Arithmetic and Divergent Tasks)
2.6. Statistical Analysis
3. Results
3.1. Cognitive Performance in CT I
3.2. Cognitive Performance in CT II
3.3. Control Group
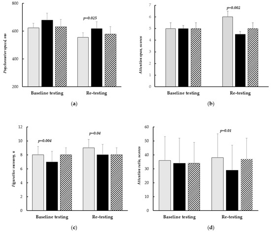
3.4. Between-Group Differences
4. Discussion
5. Limitations
6. Conclusions
Author Contributions
Funding
Institutional Review Board Statement
Informed Consent Statement
Data Availability Statement
Conflicts of Interest
References
- Gorelick, P.B.; Scuteri, A.; Black, S.E.; Decarli, C.; Greenberg, S.M.; Iadecola, C.; Launer, L.J.; Laurent, S.; Lopez, O.L.; Nyenhuis, D.; et al. Vascular contributions to cognitive impairment and dementia: A statement for healthcare professionals from the American heart association/American stroke association. Stroke 2011, 42, 2672–2713. [Google Scholar] [CrossRef]
- Stefanidis, K.B.; Askew, C.D.; Greaves, K.; Summers, M.J. The Effect of non-stroke cardiovascular disease states on risk for cognitive decline and dementia: A systematic and meta-analytic review. Neuropsychol. Rev. 2018, 28, 1–15. [Google Scholar] [CrossRef]
- Giang, K.W.; Jeppsson, A.; Karlsson, M.; Hansson, E.C.; Pivodic, A.; Skoog, I.; Lindgren, M.; Nielsen, S.J. The risk of dementia after coronary artery bypass grafting in relation to age and sex. Alzheimers Dement. 2021, 17, 1042–1050. [Google Scholar] [CrossRef] [PubMed]
- Barbay, M.; Taillia, H.; Nedelec-Ciceri, C.; Arnoux, A.; Puy, L.; Wiener, E.; Canaple, S.; Lamy, C.; Godefroy, O.; Roussel, M.; et al. Vascular cognitive impairment: Advances and trends. Rev. Neurol. 2017, 173, 473–480. [Google Scholar] [CrossRef] [PubMed]
- de la Torre, J. The vascular hypothesis of Alzheimer’s disease: A key to preclinical prediction of dementia using neuroimaging. J. Alzheimers Dis. 2018, 63, 35–52. [Google Scholar] [CrossRef] [PubMed]
- Fisher, R.A.; Miners, J.S.; Love, S. Pathological changes within the cerebral vasculature in Alzheimer’s disease: New perspectives. Brain Pathol. 2022, 32, e13061. [Google Scholar] [CrossRef]
- Zuo, W.; Wu, J. The interaction and pathogenesis between cognitive impairment and common cardiovascular diseases in the elderly. Ther. Adv. Chronic Dis. 2022, 13, 20406223211063020. [Google Scholar] [CrossRef]
- Indja, B.; Seco, M.; Seamark, R.; Kaplan, J.; Bannon, P.G.; Grieve, S.M.; Vallely, M.P. Neurocognitive and psychiatric issues post cardiac surgery. Heart Lung Circ. 2017, 26, 779–785. [Google Scholar] [CrossRef]
- Tarasova, I.V.; Trubnikova, O.A.; Syrova, I.D.; Barbarash, O.L. Long-term neurophysiological outcomes in patients undergoing coronary artery bypass grafting. Braz. J. Cardiovasc. Surg. 2021, 36, 629–638. [Google Scholar] [CrossRef]
- Hu, W.S.; Lin, C.L. Postoperative ischemic stroke and death prediction with CHA2DS2-VASc score in patients having coronary artery bypass grafting surgery: A nationwide cohort study. Int. J. Cardiol. 2017, 241, 120–123. [Google Scholar] [CrossRef]
- Bukauskienė, R.; Širvinskas, E.; Lenkutis, T.; Benetis, R.; Steponavičiūtė, R. The influence of blood flow velocity changes to postoperative cognitive dysfunction development in patients undergoing heart surgery with cardiopulmonary bypass. Perfusion 2020, 35, 672–679. [Google Scholar] [CrossRef] [PubMed]
- Fink, H.A.; Hemmy, L.S.; MacDonald, R.; Carlyle, M.H.; Olson, C.M.; Dysken, M.W.; McCarten, J.R.; Kane, R.L.; Garcia, S.A.; Rutks, I.R.; et al. Intermediate-and long-term cognitive outcomes after cardiovascular procedures in older adults: A systematic review. Ann. Intern. Med. 2015, 163, 107–117. [Google Scholar] [CrossRef] [PubMed]
- Patel, N.; Minhas, J.S.; Chung, E.M.L. Risk factors associated with cognitive decline after cardiac surgery: A systematic review. Cardiovasc. Psychiatry Neurol. 2015, 2015, 370612. [Google Scholar] [CrossRef] [PubMed]
- Trubnikova, O.A.; Tarasova, I.V.; Moskin, E.G.; Kupriyanova, D.S.; Argunova, Y.A.; Pomeshkina, S.A.; Gruzdeva, O.V.; Barbarash, O.L. Beneficial effects of a short course of physical prehabilitation on neurophysiological functioning and neurovascular biomarkers in patients undergoing coronary artery bypass grafting. Front. Aging Neurosci. 2021, 13, 699259. [Google Scholar] [CrossRef]
- Nobari, H.; Rezaei, S.; Sheikh, M.; Fuentes-García, J.P.; Pérez-Gómez, J. Effect of virtual reality exercises on the cognitive status and dual motor task performance of the aging population. Int. J. Environ. Res. Public Health 2021, 18, 8005. [Google Scholar] [CrossRef]
- Hassandra, M.; Galanis, E.; Hatzigeorgiadis, A.; Goudas, M.; Mouzakidis, C.; Karathanasi, E.M.; Petridou, N.; Tsolaki, M.; Zikas, P.; Evangelou, G.; et al. A virtual reality app for physical and cognitive training of older people with mild cognitive impairment: Mixed methods feasibility study. JMIR Serious Games 2021, 9, e24170. [Google Scholar] [CrossRef]
- Stillman, C.M.; Esteban-Cornejo, I.; Brown, B.; Bender, C.M.; Erickson, K.I. Effects of exercise on brain and cognition across age groups and health states. Trends Neurosci. 2020, 43, 533–543. [Google Scholar] [CrossRef]
- Landry, T.; Huang, H. Mini Review: The relationship between energy status and adult hippocampal neurogenesis. Neurosci. Lett. 2021, 765, 136261. [Google Scholar] [CrossRef]
- Yu, H.; Zhang, C.; Xia, J.; Xu, B. Treadmill exercise ameliorates adult hippocampal neurogenesis possibly by adjusting the APP proteolytic pathway in APP/PS1 transgenic mice. Int. J. Mol. Sci. 2021, 22, 9570. [Google Scholar] [CrossRef]
- Petrigna, L.; Thomas, E.; Gentile, A.; Paoli, A.; Pajaujiene, S.; Palma, A.; Bianco, A. The evaluation of dual-task conditions on static postural control in the older adults: A systematic review and meta-analysis protocol. Syst. Rev. 2019, 8, 188. [Google Scholar] [CrossRef]
- Stelzel, C.; Bohle, H.; Schauenburg, G.; Walter, H.; Granacher, U.; Rapp, M.A.; Heinzel, S. Contribution of the lateral prefrontal cortex to cognitive-postural multi-tasking. Front. Psychol. 2018, 9, 1075. [Google Scholar] [CrossRef] [PubMed]
- Lim, S.B.; Peters, S.; Yang, C.L.; Boyd, L.A.; Liu-Ambrose, T.; Eng, J.J. Frontal, sensorimotor, and posterior parietal regions are involved in dual-task walking after stroke. Front. Neurol. 2022, 13, 904145. [Google Scholar] [CrossRef] [PubMed]
- Erdoes, G.; Rummel, C.; Basciani, R.M.; Verma, R.; Carrel, T.; Banz, Y.; Eberle, B.; Schroth, G. Limitations of current near-infrared spectroscopy configuration in detecting focal cerebral ischemia during cardiac surgery: An observational case-series study. Artif. Organs. 2018, 42, 1001–1009. [Google Scholar] [CrossRef]
- Safan, A.S.; Imam, Y.; Akhtar, N.; Al-Taweel, H.; Zakaria, A.; Quateen, A.; Own, A.; Kamran, S. Acute ischemic stroke and convexity subarachnoid hemorrhage in large vessel atherosclerotic stenosis: Case series and review of the literature. Clin. Case Rep. 2022, 10, e5968. [Google Scholar] [CrossRef] [PubMed]
- Heath, M.; Weiler, J.; Gregory, M.A.; Gill, D.P.; Petrella, R.J. A six-month cognitive-motor and aerobic exercise program improves executive function in persons with an objective cognitive impairment: A pilot investigation using the anti-saccade task. J. Alzheimers Dis. 2016, 54, 923–931. [Google Scholar] [CrossRef] [PubMed]
- Hsu, C.L.; Best, J.R.; Davis, J.C.; Nagamatsu, L.S.; Wang, S.; Boyd, L.A.; Hsiung, G.R.; Voss, M.W.; Eng, J.J.; Liu-Ambrose, T. Aerobic exercise promotes executive functions and impacts functional neural activity among older adults with vascular cognitive impairment. Br. J. Sports Med. 2018, 52, 184–191. [Google Scholar] [CrossRef]
- Ansai, J.H.; Andrade, L.P.; Rossi, P.G.; Almeida, M.L.; Carvalho Vale, F.A.; Rebelatto, J.R. Association between gait and dual task with cognitive domains in older people with cognitive impairment. J. Mot. Behav. 2018, 50, 409–415. [Google Scholar] [CrossRef]
- Kleiner, A.F.R.; Souza Pagnussat, A.; Pinto, C.; Redivo Marchese, R.; Salazar, A.P.; Galli, M. Automated mechanical peripheral stimulation effects on gait variability in individuals with Parkinson disease and freezing of gait: A double-blind, randomized controlled trial. Arch. Phys. Med. Rehabil. 2018, 99, 2420–2429. [Google Scholar] [CrossRef]
- Commandeur, D.; Klimstra, M.D.; MacDonald, S.; Inouye, K.; Cox, M.; Chan, D.; Hundza, S.R. Difference scores between single task and dual-task gait measures are better than clinical measures for detection of fall-risk in community-dwelling older adults. Gait Posture 2018, 66, 155–159. [Google Scholar] [CrossRef]
- Syrova, I.D.; Tarasova, I.V.; Trubnikova, O.A.; Kupriyanova, D.S.; Sosnina, A.S.; Temnikova, T.B.; Barbarash, O.L. A multitask approach to prevention of the cognitive decline after coronary artery bypass grafting: A prospective randomized controlled study. J. Xiangya Med. 2023, 8, 2. [Google Scholar] [CrossRef]
- Law, L.L.; Barnett, F.; Yau, M.K.; Gray, M.A. Effects of combined cognitive and exercise interventions on cognition in older adults with and without cognitive impairment: A systematic review. Ageing Res. Rev. 2014, 15, 61–75. [Google Scholar] [CrossRef] [PubMed]
- Wiśniowska, J.; Łojek, E.; Olejnik, A.; Chabuda, A. The characteristics of the reduction of interference effect during dual-task cognitive-motor training compared to a single task cognitive and motor training in elderly: A randomized controlled trial. Int. J. Environ. Res. Public Health 2023, 20, 1477. [Google Scholar] [CrossRef]
- Zhavoronkova, L.A.; Maksakova, O.A.; Shevtsova, T.P.; Moraresku, S.I.; Kuptsova, S.V.; Kushnir, E.M.; Iksanova, E.M. Dvoĭnye zadachi–indikator osobennosteĭ kognitivnogo defitsita u patsientov posle cherepno-mozgovoĭ travmy [Dual-tasks is an indicator of cognitive deficit specificity in patients after traumatic brain injury]. Zh. Nevrol. Psikhiatr. Im. S. S. Korsakova. 2019, 119, 46–52. [Google Scholar] [CrossRef] [PubMed]
- Wajda, D.A.; Mirelman, A.; Hausdorff, J.M.; Sosnoff, J.J. Intervention modalities for targeting cognitive-motor interference in individuals with neurodegenerative disease: A systematic review. Expert. Rev. Neurother. 2017, 17, 251–261. [Google Scholar] [CrossRef] [PubMed]
- Ozdemir, R.A.; Contreras-Vidal, J.L.; Lee, B.C.; Paloski, W.H. Cortical activity modulations underlying age-related performance differences during posture-cognition dual tasking. Exp. Brain Res. 2016, 234, 3321–3334. [Google Scholar] [CrossRef]
- Anguera, J.A.; Boccanfuso, J.; Rintoul, J.L.; Al-Hashimi, O.; Faraji, F.; Janowich, J.; Kong, E.; Larraburo, Y.; Rolle, C.; Johnston, E.; et al. Video game training enhances cognitive control in older adults. Nature 2013, 501, 97–101. [Google Scholar] [CrossRef]
- Nguyen, L.; Murphy, K.; Andrews, G. Cognitive and neural plasticity in old age: A systematic review of evidence from executive functions cognitive training. Ageing Res. Rev. 2019, 53, 100912. [Google Scholar] [CrossRef]
- Wollesen, B.; Voelcker-Rehage, C. Differences in cognitive-motor interference in older adults while walking and performing a visual-verbal stroop task. Front. Aging Neurosci. 2019, 10, 426. [Google Scholar] [CrossRef]
- Mack, M.; Stojan, R.; Bock, O.; Voelcker-Rehage, C. Cognitive-motor multi-tasking in older adults: A randomized controlled study on the effects of individual differences on training success. BMC Geriatr. 2022, 22, 581. [Google Scholar] [CrossRef]
- Brahms, M.; Heinzel, S.; Rapp, M.; Reisner, V.; Wahmkow, G.; Rimpel, J.; Schauenburg, G.; Stelzel, C.; Granacher, U. Cognitive-Postural Multi-tasking Training in Older Adults—Effects of Input-Output Modality Mappings on Cognitive Performance and Postural Control. J. Cogn. 2021, 4, 20. [Google Scholar] [CrossRef]
- Bohle, H.; Rimpel, J.; Schauenburg, G.; Gebel, A.; Stelzel, C.; Heinzel, S.; Rapp, M.; Granacher, U. Behavioral and neural correlates of cognitive-motor interference during multi-tasking in young and old adults. Neural. Plast. 2019, 2019, 9478656. [Google Scholar] [CrossRef] [PubMed]
- Heinzel, S.; Rimpel, J.; Stelzel, C.; Rapp, M.A. Transfer effects to a multimodal dual-task after working memory training and associated neural correlates in older adults—A pilot study. Front. Hum. Neurosci. 2017, 11, 85. [Google Scholar] [CrossRef] [PubMed]
- Li, K.Z.H.; Bherer, L.; Mirelman, A.; Maidan, I.; Hausdorff, J.M. Cognitive Involvement in balance, gait and dual-tasking in aging: A focused review from a neuroscience of aging perspective. Front. Neurol. 2018, 9, 913. [Google Scholar] [CrossRef] [PubMed]
- Maggio, M.G.; De Luca, R.; Molonia, F.; Porcari, B.; Destro, M.; Casella, C.; Salvati, R.; Bramanti, P.; Calabro, R.S. Cognitive rehabilitation in patients with traumatic brain injury: A narrative review on the emerging use of virtual reality. J. Clin. Neurosci. 2019, 61, 1–4. [Google Scholar] [CrossRef] [PubMed]
- Liao, Y.Y.; Chen, I.H.; Lin, Y.J.; Chen, Y.; Hsu, W.C. Effects of virtual reality-based physical and cognitive training on executive function and dual-task gait performance in older adults with mild cognitive impairment: A randomized control trial. Front. Aging Neurosci. 2019, 11, 162. [Google Scholar] [CrossRef] [PubMed]


| Variable | Cognitive Training I (n = 30) | Cognitive Training II (n = 40) | Control (n = 40) | p-Value |
|---|---|---|---|---|
| Age, years, Me [Q25; Q75] | 65 [60; 68] | 65.5 [61; 70.5] | 65 [61; 69] | 0.37 * |
| MoCA, scores, Me [Q25; Q75] | 25 [22; 26] | 25 [24; 27] | 26 [23; 27] | 0.65 * |
| BDI-II, scores, Me [Q25; Q75] | 5 [2; 6] | 3 [2; 4] | 4 [1; 5] | 0.08 * |
| Educational attainment, years, Me [Q25; Q75] | 12 [11; 16] | 11 [10; 15] | 12 [10; 15] | 0.11 * |
| Functional class of angina, n (%) I–II III | 26 (86.7) 4 (13.3) | 29 (72.5) 11 (27.5) | 31 (77.5) 9 (22.5) | 0.41 # |
| Functional class NYHA, n (%) I–II III | 27 (90) 3 (10) | 39 (97.5) 1 (2.5) | 37 (92.5) 3 (7.5) | 0.46 # |
| History of myocardial infarction, n (%) | 16 (53.3) | 18 (45) | 27 (67.5) | 0.13 # |
| Fraction of left ventricle ejection, %, Me [Q25; Q75] | 62 [52; 68] | 64 [52.5; 66] | 64 [58; 67] | 0.81 # |
| Type 2 of diabetes mellitus, n (%) | 9 (30) | 10 (25) | 16 (40) | 0.65 # |
| CA stenosis < 50%, n (%) | 17 (56.7) | 22 (55) | 12 (30) | 0.14 # |
| Cardiopulmonary bypass time, min, Me [Q25; Q75] | 85 [68; 102] | 81 [68; 99] | 72 [56; 103] | 0.45 * |
| Surgery time, min, Me [Q25; Q75] | 225 [175; 241] | 220 [180; 245] | 200 [180; 228] | 0.49 * |
| Medication, n (%) | ||||
| ACEi | 16 (53.3) | 28 (70) | 27 (67.5) | 0.28 # |
| Statins | 30 (100) | 40 (100) | 40 (100) | - |
| Beta-blockers | 30 (100) | 38 (95) | 38 (95) | 0.49 # |
| Antiplatelet drugs | 30 (100) | 40 (100) | 40 (100) | - |
| CCB | 7 (23.3) | 10 (25) | 11 (27.5) | 0.53 # |
| ARB | 7 (23.3) | 9 (22.5) | 8 (20) | 0.91 # |
| Diuretics | 24 (80) | 32 (80) | 30 (75) | 0.80 # |
| Cognitive Tests and Indicators | Description of the Procedure |
|---|---|
| Cognitive screening | |
| Montreal Cognitive Assessment Scale (MoCA), scores | 30-point questionnaire for cognitive impairment and dementia screening (Russian-modified version). |
| Psychomotor and executive functions | |
| Complex visual–motor reaction Reaction time, ms Errors, n | Reaction latencies of the right and left hands to stimuli (different colors of rectangles) when the subject can choose one of the three presented signals (the number of signals in the test is 30). |
| Level of functional mobility of nervous processes: responses to feedback Reaction time, ms Errors, n Missed signals, n | Feedback mode is used for the performance of the previous test. The exposure time of the test signals (rectangles) is changed: the exposure of the next signal is shortened by 20 ms with each correct answer and extended by 20 ms with an incorrect answer. The test contains 120 signals. A missed signal is indicated by the absence of response to the test signal. |
| Attention | |
| The Bourdon’s test Processed letters per min, n Processed letters per 4 min, n Attention ratio, scores | The subject is provided with the alphabetic version of Bourdon’s test to highlight certain letters for a time of 4 min. |
| Attention span, scores | The subject is presented with a square grid of 16 equal cells. Crosses appear in different parts of the grid for a short time, and the subject must memorize their location and mark the corresponding cells with the left mouse button immediately after the stimulus disappears. |
| Short-term memory | |
| 10 words memorizing test, n | To remember as many of 10 words presented one after another as possible. |
| 10 numbers memorizing test, n | To remember as many of 10 numbers presented one after another as possible. |
| Figurative memory, n | The subject is presented with 10 figures, which must be remembered (30 s memory time). Next appears a set of 30 figures, among which it is necessary to find and mark with the left mouse button all previously remembered figures. |
| Cognitive Indicator | Baseline Testing (n = 30) | Retesting (after Training) (n = 30) | p |
|---|---|---|---|
| Complex visual–motor reaction | |||
| Reaction time, ms Errors, n | 622.5 [584; 703] 1 [1; 2] | 555 [512; 601] 1 [1; 2] | 0.000005 0.84 |
| Level of functional mobility of nervous processes: responses to feedback | |||
| Reaction time, ms Errors, n Missed signals, n | 478.5 [447; 511] 28 [23; 31] 15 [10; 21] | 475 [456; 516] 26 [24; 30] 13 [8; 20] | 0.5 0.51 0.84 |
| Attention | |||
| Bourdon’s test | |||
| Processed letters per min, n Processed letters per 4 min, n Attention ratio, scores | 71 [48; 89] 102 [78; 117.5] 36 [28; 48] | 64 [51; 86] 102 [75; 117] 38 [30; 53] | 0.4 0.1 0.08 |
| Attention span test, scores | 5 [4; 8] | 6 [5; 7] | 0.27 |
| Short-term memory | |||
| Figurative memory test, n | 8 [6; 9] | 9 [8; 10] | 0.0004 |
| 10 words memorizing test, n | 4 [4; 5] | 4 [4; 5] | 0.82 |
| 10 numbers memorizing test, n | 4 [3; 5] | 4 [3; 6] | 0.1 |
| Cognitive Indicator | Baseline Testing (n = 40) | Retesting (after Training) (n = 40) | p |
|---|---|---|---|
| Complex visual–motor reaction | |||
| Reaction time, ms Errors, n | 677.5 [621; 756.5] 1 [0; 1,5] | 618 [547.5; 684] 1 [0.5; 3] | 0.0001 0.11 |
| Level of functional mobility of nervous processes responses to feedback | |||
| Reaction time, ms Errors, n Missed signals, n | 493.5 [473; 528] 26 [21; 29] 17.5 [10; 20.5] | 486 [457; 536] 25.5 [23; 29.5] 14 [11; 19] | 0.44 0.46 0.77 |
| Attention | |||
| Bourdon’s test | |||
| Processed letters per min, n Processed letters per 4 min, n Attention ratio, scores | 65 [48; 79] 78 [57; 127] 34 [29; 47] | 57.5 [47; 80] 80 [58; 111] 29 [26; 39] | 0.25 0.65 0.04 |
| Attention span test, scores | 5 [4; 6] | 4.5 [4; 5.5] | 0.32 |
| Short-term memory | |||
| Figurative memory test, n | 7 [6; 8] | 8 [7; 9] | 0.007 |
| 10 words memorizing test, n | 4 [3; 5,5] | 4 [3; 5] | 0.86 |
| 10 numbers memorizing test, n | 4 [3; 5,5] | 4 [4; 5] | 0.93 |
| Cognitive Indicator | Baseline Testing (n = 40) | Retesting (11–12 Days after the CABG) (n = 40) | p |
|---|---|---|---|
| Complex visual–motor reaction | |||
| Reaction time, ms Errors, n | 631 [556; 684] 1 [0; 2] | 579 [536; 635] 1 [1; 3] | 0.0007 0.12 |
| Level of functional mobility of nervous processes: responses to feedback | |||
| Reaction time, ms Errors, n Missed signals, n | 488 [455.5; 521.5] 25 [22.5; 29] 16 [10; 23] | 488 [453.5; 542.5] 28.5 [24; 29.5] 14 [9; 18] | 0.23 0.05 0.1 |
| Attention | |||
| Bourdon’s test | |||
| Processed letters per min, n Processed letters per 4 min, n Attention ratio, scores | 66 [42; 99] 82 [69; 112.5] 34 [27; 47] | 68 [49.5; 89.5] 90 [67; 109.5] 37 [27; 50] | 0.43 0.69 0.15 |
| Attention span test, scores | 5 [4; 7] | 5 [4; 6] | 0.96 |
| Short-term memory | |||
| Figurative memory test, n | 8 [6; 9] | 8 [6.5; 9] | 0.14 |
| 10 words memorizing test, n | 4.5 [3; 5] | 4 [4; 5] | 0.35 |
| 10 numbers memorizing test, n | 4 [3; 6] | 4 [3; 5] | 0.86 |
Disclaimer/Publisher’s Note: The statements, opinions and data contained in all publications are solely those of the individual author(s) and contributor(s) and not of MDPI and/or the editor(s). MDPI and/or the editor(s) disclaim responsibility for any injury to people or property resulting from any ideas, methods, instructions or products referred to in the content. |
© 2023 by the authors. Licensee MDPI, Basel, Switzerland. This article is an open access article distributed under the terms and conditions of the Creative Commons Attribution (CC BY) license (https://creativecommons.org/licenses/by/4.0/).
Share and Cite
Tarasova, I.; Trubnikova, O.; Kukhareva, I.; Syrova, I.; Sosnina, A.; Kupriyanova, D.; Barbarash, O. A Comparison of Two Multi-Tasking Approaches to Cognitive Training in Cardiac Surgery Patients. Biomedicines 2023, 11, 2823. https://doi.org/10.3390/biomedicines11102823
Tarasova I, Trubnikova O, Kukhareva I, Syrova I, Sosnina A, Kupriyanova D, Barbarash O. A Comparison of Two Multi-Tasking Approaches to Cognitive Training in Cardiac Surgery Patients. Biomedicines. 2023; 11(10):2823. https://doi.org/10.3390/biomedicines11102823
Chicago/Turabian StyleTarasova, Irina, Olga Trubnikova, Irina Kukhareva, Irina Syrova, Anastasia Sosnina, Darya Kupriyanova, and Olga Barbarash. 2023. "A Comparison of Two Multi-Tasking Approaches to Cognitive Training in Cardiac Surgery Patients" Biomedicines 11, no. 10: 2823. https://doi.org/10.3390/biomedicines11102823
APA StyleTarasova, I., Trubnikova, O., Kukhareva, I., Syrova, I., Sosnina, A., Kupriyanova, D., & Barbarash, O. (2023). A Comparison of Two Multi-Tasking Approaches to Cognitive Training in Cardiac Surgery Patients. Biomedicines, 11(10), 2823. https://doi.org/10.3390/biomedicines11102823

