Abstract
Relying on a recently suggested protocol that furnishes convenient access to variously substituted 2-pyridyl ureas, twelve hitherto unknown Cu(II) complexes have been synthesized in the present work and their structures were evaluated by elemental analysis, HRMS, IR spectroscopy, and X-ray diffraction study. Two structural motifs ([Cu(L)2Cl]+[Cl]− or (Cu(L)2Cl2) depending on the substitution pattern on the 2-pyridine fragment were revealed. In addition, antiproliferative action of the obtained compounds have been investigated against lung cancer cell lines (A549, NCI-H460, NCI-H1975), and healthy WI-26 VA4 cells were used to monitor non-specific cytotoxicity. Two nitro-group substituted complexes Cu(U3)2Cl2 (IC50 = 39.6 ± 4.5 μM) and Cu(U11)2Cl2 (IC50 = 33.4 ± 3.8 μM) demonstrate enhanced activity against the drug resistant NCI-H1975 cells with moderate selectivity toward normal WI-26 VA4 cells. The antiproliferative mechanism of cell death underlying the growth inhibitory effect of the synthesized complexes was studied via additional experiments, including the cell cycle analysis and the apoptosis induction test. Reassuringly, certain 2-pyridyl urea-based Cu(II) complexes exerted cell line-specific antiproliferative effect which renders them valuable starting points for further unveiling the anticancer potential of this class of coordination compounds.
1. Introduction
Being one of the leading causes of mortality worldwide, cancer diseases represent a tremendous challenge to the healthcare system around the globe [1]. In fact, the genesis and progression of different malignancies are extremely complex and the development of multidrug-resistant phenotypes often leads to recurrence in the neoplasms initially responsive to the therapy [2]. This is true for either conventional cytostatic agents, including metal-based drugs, or targeted cancer treatments that deal with signaling and metabolic vulnerabilities in malignant cells [3]. In this context, the design of novel anticancer therapeutics is the important goal for chemical science.
Metal-based anticancer agents are among the most successful therapeutic agents, as evidenced by their frequent prescription to patients since their discovery [4]. In fact, there is a plethora of reports in recent years on the transition metal complexes proving highly efficient as anticancer agents [5,6,7,8,9,10,11]. Among other metal-based anticancer compounds, Cu(II) complexes recommended themselves as promising cytostatic agents due to Cu(II) plays a crucial role in cell growth and metabolism [12,13,14,15,16,17,18,19]. Although there is a variety of mechanisms underlying the Cu-based drugs’ anticancer effect, generally, it is based on the interplay between the metal and the organic ligand. For example, these agents act as chelators, displace other ions from the enzyme binding sites, trigger intracellular copper accumulation, cytotoxicity, and activate apoptosis inhibitor factor (XIAP). Some of them are known to inhibit proteasome and interfere with DNA through binding along with the major or the minor DNA grooves and intercalation. Moreover, copper-based drugs are known to inhibit topoisomerases as well as generate reactive oxygen species (ROS) producing oxidative damages in the cytoplasm, mitochondria, and DNA [12]. Therefore, the optimization of ligand structures is one of the main approaches to developing new Cu(II) complexes with anticancer effects.
It is widely known that 2-pyridyl urea derivatives are N,O-chelate ligands capable of efficiently forming complexes with transition metals [15,20,21,22,23,24,25,26], among which Cu(II) holds a unique position. We have noticed that only a handful of Cu(II) incorporating 2-pyridyl urea complexes have been reported to date. Moreover, while structural data and spectroscopic properties of these uncommon complexes have been investigated, none of the reports contained biological activity data. This disappointing void is primarily related to the low synthetic availability of 2-pyridyl ureas and the need to utilize toxic reagents in their preparation process [27,28,29,30,31]. To address this latter problem, we recently came up with a simple protocol for the preparation of diverse N,N-dialkyl-N′-(pyridin-2-yl)-ureas via acid-catalyzed reaction of pyridine-N-oxides with dialkylcyanamides [32,33,34,35].
The structure and reactivity (including coordination with Pt(II)) of these compounds were studied [36,37,38]. In the present study we employed N,N-dialkyl-N′-(pyridin-2-yl)-ureas, thus obtained, to synthesize novel Cu(II) complexes in the context of the global drug discovery efforts for metal-based tumor-suppressing agents. Herein, we report the preparation of 12 hitherto undescribed Cu(II) complexes incorporating 2-pyridyl urea backbone, their structural studies as well as the evaluation of their in vitro anticancer activities.
2. Materials and Methods
2.1. General
The preparation and characterization of starting pyridine-N-oxides as well as U1–12 are described previously [33,34,37]. CuCl2, other reactants, and solvents were obtained from commercial sources. High-resolution mass-spectra (HRMS) were measured on Bruker Maxis HRMS-ESI-qTOF (Electrospray Ionization, ESI; Bruker, Billerica, MA, USA); a MeOH was used as the solvent. The instrument was operated at positive ion mode using m/z range of 50–3000. The capillary voltage of the ion source was set at –4500 V (ESI+) and the capillary exit at +(70–150) V. The nebulizer gas pressure was 0.4 bar and drying gas flow was 4.0 L/min. The most intensive peak in the isotopic pattern is reported. Infrared spectra (4000–400 cm–1) were recorded on a Shimadzu FTIR 8400S (Shimadzu, Kyoto, Japan) instrument in KBr pellets. The C, H, and N elemental analyses were carried out on a Leco TruSpec Micro CHNS analyzer (LECO, St. Joseph, MI, USA). TGA was performed on a ca. 2 mg samples of Cu(II) complexes by using a Netzsch TG 209 F1 Libra thermal analyzer (Netzsch, Selb, Germany). The samples were dried under a vacuum at 50 °C before heating from 40 to 450 °C at a heating rate of 10 K min–1. A flow rate of 10 mL min–1 of dry argon was used to purge the samples. Molar conductivity was measured with an Elico digital conductivity bridge model CM-88, using a freshly prepared DMSO solution of the complexes.
2.2. Synthesis and Characterization of Complexes [CuL2Cl]+[Cl]− and [CuL2Cl2]
General procedure for the complex preparation. A solution of the corresponding urea (0.2 mmol) in MeOH (4 mL) was added to the solution of CuCl2 5H2O (0.1 mmol) in i-PrOH (4 mL). The resulting solution was slowly evaporated (approximately 3–4 days) to the precipitation of target Cu(II) complex as crystalline or powder material, which was collected by filtration and dried in air at 50 °C.
In the case of the crystalline precipitate, after the selection of representative samples for X-ray diffraction studies, the remaining material was powdered and dried.
[Cu(U1)2Cl]+[Cl]−. Yield 21 mg (46%), green crystals. FTIR (KBr, cm–1): 1631 (ν C=O, amide I), 1594 (Pyridine C2N), 1518 (νa CN2, amide III), 1471 (Pyridine C2N), 791 (γ C=O), 743 (νs CN2, amide II). Anal. calcd. for C16H22CuCl2N6O2 C 41.34, H 4.77, N 18.08; found: C 41.12 H 4.81, N 17.84. HRMS (ESI), m/z [M–Cl]+ calcd for C16H22CuClN6O2: 428.0783; found: 428.0765.
[Cu(U2)2Cl]+[Cl]−. Yield 27 mg (54%), green crystals. FTIR (KBr, cm–1): 1640 (ν C=O, amide I), 1625 (ν C=O, amide I) 1588 (Pyridine C2N), 1510 (νa CN2 amide III), 1469 (Pyridine C2N), 806 (γ C=O), 730 (νs CN2 amide II), 560 (β C=O). Anal. calcd. for C18H26CuCl2N6O2: C, 43.86; H, 5.32; N, 17.05; found: C, 43.62; H, 5.03; N, 16.58. HRMS (ESI), m/z [M–Cl]+ calcd for C18H26CuClN6O2: 456.1096; found: 456.1098.
[Cu(U3)2Cl2]. Yield 40 mg (72%), greenish yellow crystals. FTIR (KBr, cm–1): 1644 (ν C=O, amide I), 1605 (ν C=O, amide I), 1543 (νa CN2 amide III), 1466 (Pyridine C2N), 808 (γ C=O), 737 (νs CN2 amide II), 580 (β C=O). Anal. calcd. for C16H20CuCl2N8O6 + 2MeOH: C 34.93, H 4.56, N 18.11; found: 34.66, H 4.72, N 18.51. HRMS (ESI), m/z [M–Cl]+ calcd for C16H20CuClN8O6: 518.0485; found: 518.0517.
[Cu(U4)2Cl]+[Cl]−. Yield 29 mg (57%), green crystals. FTIR (KBr, cm–1): 2238 (ν CN), 1649 (ν C=O, amide I), 1610 (ν C=O, amide I) 1587 (Pyridine C2N), 1510 (νa CN2 amide III), 1471 (Pyridine C2N), 803 (γ C=O), 740 (νs CN2 amide II), 565 (β C=O). Anal. calcd. for C18H20CuCl2N8O2 + H2O: C 40.57, H 4.16, N 21.03; found: C 40.71, H 4.17, N 21.15. HRMS (ESI), m/z [M–Cl]+ calcd for C18H20CuClN8O2: 478.0688; found: 478.0698.
[Cu(U5)2Cl]+[Cl]−. Yield 41 mg (65%), green crystals. FTIR (KBr, cm–1): 1642 (ν C=O, amide I), 1629 (ν C=O, amide I), 1578 (Pyridine C2N), 1530 (νa CN2 amide III), 1461 (Pyridine C2N), 802 (γ C=O), 740 (νs CN2 amide II). Anal. calcd. for C22H26CuCl2N10O4 + 0.33i-PrOH: C 42.57, H 4.45, N 21.58; found: C 42.51, H 4.11, N 21.33. HRMS (ESI), m/z [M–Cl]+ calcd for C22H26CuClN10O4: 592.1118; found: 592.1141.
[Cu(U6)2Cl]+[Cl]−. Yield 36 mg (58%), green crystals. FTIR (KBr, cm–1): 1645 (ν C=O, amide I), 1633 (ν C=O, amide I), 1533 (νa CN2 amide III), 805 (γ C=O), 737 (νs CN2 amide II). Anal. calcd. for C22H26CuCl2N10O4 + H2O: C 40.84, H 4.36, N 21.65; found: C 40.38, H 3.87, N 21.21. HRMS (ESI), m/z [M–Cl]+ calcd for C22H26CuClN10O4: 592.1118; found: 592.1138.
[Cu(U7)2Cl]+[Cl]−. Yield 27 mg (52%), green crystals. FTIR (KBr, cm–1): 1629 (ν C=O, amide I), 1605 (ν C=O, amide I), 1590 (Pyridine C2N), 1517 (νa CN2 amide III), 1485 (Pyridine C2N), 795 (γ C=O), 745 (νs CN2 amide II), 540 (β C=O). Anal. calcd. for C20H26CuCl2N6O2: C 46.47, H 5.07, N 16.26; found: C 46.54, H 5.06, N 16.17. HRMS (ESI), m/z [M–Cl]+ calcd for C20H26CuClN6O2: 480.1096; found: 480.1120.
[Cu(U8)2Cl]+[Cl]−. Yield 21 mg (39%), green crystals. FTIR (KBr, cm–1): 1624 (ν C=O, amide I), 1602 (ν C=O, amide I), 1602 (ν C=O, amide I), 1586 (Pyridine C2N), 1517 (νa CN2 amide III), 1455 (Pyridine C2N), 792 (γ C=O), 742 (νs CN2 amide II), 554 (β C=O). Anal. calcd. for C22H30CuCl2N6O2: C 48.49, H 5.55, N 15.42; found: 48.21 H 5.77, N 15.36. HRMS (ESI), m/z [M–Cl]+ calcd for C22H30CuClN6O2: 508.1409; found: 508.1405.
[Cu(U9)2Cl]+[Cl]−. Yield 37 mg (64%), green crystals. FTIR (KBr, cm–1): 1640 (ν C=O, amide I), 1617 (ν C=O, amide I), 1593 (Pyridine C2N), 1526 (νa CN2 amide III), 1456 (Pyridine C2N), 744 (νs CN2 amide II). Anal. calcd. for C24H34CuCl2N6O2 + 0.5 H2O: C 49.53, H 6.06, N 14.44; found: C 49.88, H 5.71, N 14.16. HRMS (ESI), m/z [M–Cl]+ calcd for C24H34CuClN6O2: 536.1722; found: 536.1737.
[Cu(U10)2Cl]+[Cl]−. Yield 31 mg (52%), green crystals. FTIR (KBr, cm–1): 1632 (ν C=O, amide I), 1587 (Pyridine C2N), 1470 (Pyridine C2N), 772 (γ C=O), 743 (νs CN2 amide II), 560 (β C=O). Anal. calcd. for C24H34CuCl2N6O4: C 47.65, H 5.66, N 13.89; found: C 47.39 H 5.69, N 13.40. HRMS (ESI), m/z [M–Cl]+ calcd for C24H34CuClN6O4: 568.1621; found: 568.1629.
[Cu(U11)2Cl2]. Yield 39 mg (61%), greenish yellow crystals. FTIR (KBr, cm–1): 1637 (ν C=O, amide I), 1603 (ν C=O, amide I), 1550 (Pyridine C2N), 1522 (νa CN2 amide III), 1448 (Pyridine C2N), 810 (γ C=O), 743 (νs CN2 amide II), 548 (β C=O). Anal. calcd. for C22H28CuCl2N8O6: C 41.62, H 4.44, N 17.65; found: C 41.40, H 4.48, N 17.29. HRMS (ESI), m/z [M–Cl]+ calcd for C22H28CuClN8O6: 598.1111; found: 598.1119.
[Cu(U12)2Cl]+[Cl]−. Yield 36 mg (63%), green crystals. FTIR (KBr, cm–1): 1641 (ν C=O, amide I), 1601 (ν C=O, amide I), 1580 (Pyridine C2N), 1520 (νa CN2 amide III), 1466 (Pyridine C2N), 780 (γ C=O), 750 (νs CN2 amide II), 582 (β C=O). Anal. calcd. for C22H30CuCl2N6O4: C 45.80, H 5.24, N 14.57; found: C 45.39, H 5.06, N 14.83. HRMS (ESI), m/z [M–Cl]+ calcd for C22H30CuClN6O4: 540.1308; found: 540.1327.
2.3. Crystallography
X-ray diffraction data were collected at a SuperNova diffractometer using Cu-Kα (λ = 0.154184 nm) radiation. The structures have been solved with the ShelXT [39] structure solution program using Intrinsic Phasing and refined with the ShelXL [40] refinement package incorporated in the OLEX2 program package [41] using least squares minimization. The carbon-bound H atoms were placed in calculated positions. Empirical absorption correction was applied in CrysAlisPro [42] program complex using spherical harmonics, implemented in SCALE3 ABSPACK scaling algorithm. X-ray crystallographic data and structural refinement parameters are summarized in Tables S1–S3. Supplementary crystallographic data have been deposited at Cambridge Crystallographic Data Centre (CCDC 2104013, 2104015–2104019, 2104021, 2104091) and can be obtained free of charge via www.ccdc.cam.ac.uk/data_request/cif (accessed on 24 August 2021).
2.4. Cell Culture
A549, NCI-H460, NCI-H1975 lung cancer cells and WI-26 VA4 lung epithelial-like cells were purchased from the ATCC. A549 cells were maintained in F12-K (Corning, NY, USA) supplemented with 10% fetal bovine serum (Fetal Bovine Serum, qualified, Australia; Gibco, Loughborough, UK), penicillin (100 UI mL−1), streptomycin (100 µg mL−1), and GlutaMax (1.9 mM, Gibco, UK). NCI-H460 and NCI-H1975 cells were maintained in RPMI-1640 (ATCC modification) media (Gibco, Loughborough, UK) supplemented with 10% fetal bovine serum (Fetal Bovine Serum, qualified, Australia; Gibco, Loughborough, UK), penicillin (100 UI mL−1), streptomycin (100 µg mL−1), and GlutaMax (2 mM, Gibco, UK). WI-26 VA4 cells were maintained in Advanced MEM (Gibco, Loughborough, UK) supplemented with 5% fetal bovine serum (Fetal Bovine Serum, qualified, Australia, Gibco, UK), penicillin (100 UI mL−1), streptomycin (100 µg mL−1), and GlutaMax (1.87 mM, Gibco, Loughborough, UK). All cells line cultivation under a humidified atmosphere of 95% air/5% CO2 at 37 °C. Subconfluent monolayers, in the log growth phase, were harvested by a brief treatment with TrypLE Express solution (Gibco, Loughborough, UK) in phosphate buffered saline (PBS, Capricorn Scientific, Germany) and washed three times in serum-free PBS. The number of viable cells was determined by trypan blue exclusion.
2.5. MTT Assay
The effects of the synthesized compounds on cell viability were determined using the MTT colorimetric test. All examined cells were diluted with the growth medium to 3.5 × 104 cells per mL and the aliquots (7 × 103 cells per 200 μL) were placed in individual wells in 96-well plates (Eppendorf, Hamburg, Germany) and incubated for 24 h. The next day, the cells were treated with synthesized compounds separately in concentration 10 and 100 μM (or 200.0 μM concentration and diluted at various concentrations for determination of IC50) and incubated for 72 h at 37 °C in 5% CO2 atmosphere. Each compound was tested in triplicate. After incubation, the cells were treated with 40 μL MTT solution (3-(4,5-dimethylthiazol-2-yl)-2,5-diphenyltetrazolium bromide, 5 mg mL−1 in PBS) and incubated for 4 h. After additional 4-h incubation, the medium with MTT was removed and DMSO (150 μL) was added to dissolve the formazan crystals. The plates were shaken for 10 min. The optical density of each well was determined at 560 nm using GloMax Multi+ (Promega, Madison, WI, USA) microplate reader. Each of the tested compounds was evaluated for cytotoxicity in three separate experiments. All stock solutions for biological evaluations were prepared via dissolving synthesized compounds in DMSO.
2.6. Apoptosis Assay
For the detection of apoptosis, the cells were placed at 6-well culture plates (Eppendorf, Germany) and allowed to grow overnight. After the cells reached subconfluency, the medium was replaced with tested compounds (25 or 50 μM). The exposed cells were placed at 37 °C in a 5% CO2 incubator for 24 or 48 h. The cultured cells were washed twice with PBS and resuspended in 1× binding buffer (AnnexinV-FITC kit, Invitrogen, Waltham, MA, USA) at a concentration 1 × 106 mL−1. Annexin FITC (5 μL) and propidium iodide (PI, 2 μL) were added to 100 μL of the cell suspension and incubated for 15 min at room temperature (25 °C) in the dark. After incubation, 400 μL of 1× binding buffer was added to each tube and the stained cells were analyzed within 1 h using CytoFlex (Beckman Coulter, Brea, CA, USA) and CytExpert 2.1 program. Since the AnnexinV-FITC staining precedes the loss of membrane integrity that accompanies the later stage identified by PI, Annexin FITC positive, PI negative indicates early apoptosis, while the viable cells are Annexin V FITC negative, PI negative. The cells that are in late apoptosis or dead are both Annexin V FITC and PI positive.
2.7. Cell Cycle Assay
For the cell cycle analysis, the cells (1 × 106 per well) were placed at 6-well culture plates (Eppendorf, Germany) and allowed to grow overnight. After the medium was replaced with solution tested compounds (10, 20, or 35 μM). The exposed cells were placed at 37 °C in a 5% CO2 incubator for 48 h. After the completion of incubations, cells were harvested by trypsinization, washed with PBS, centrifuged, fixed with 70% ethanol and incubated for 7 h at –20 °C. An aliquot of the pellet (200 µL) was washed with PBS, stained with 200 µL of the Guava Cell Cycle Reagent (Merck, Kenilworth, NJ, USA), and incubated for 30 min at room temperature in the dark. The cell cycle distribution was analyzed by flow cytometry on a CytoFlex (Beckham Coulter, Brea, CA, USA) and CytExpert 2.1 program.
3. Results
3.1. Chemistry
All 2-pyridyl ureas (U1–12) were synthesized via the acid-catalyzed reaction of corresponding N-oxides with dialkylcyanamides as described in our previous works (Scheme 1) [33,34,37]. Briefly, the starting materials were mixed and heated in the presence of methanesulfonic acid (MsOH) in acetonitrile or under solvent-free conditions (depending of the reactivity and solubility of starting N-oxide). The yields of the desired urea derivatives U1–12 ranged between 42% and 76%.
Scheme 1.
Synthesis of U1–12 via acid-catalyzed reaction of pyridine-N-oxides with dialkylcyanamides.
This was followed by the preparation of Cu(II) complexes incorporating the obtained 2-pyridyl ureas as ligands. Initially, we attempted to generate the target complexes using traditional approaches reported in the literature procedure [15]. To this end, ethanol solutions of a model ligand (U2) and Cu(II) chloride (Scheme 2) were mixed in a 2:1 ratio and then slowly evaporated yielding two types of green crystals. Single-crystal X-ray diffraction analysis revealed that the obtained product contained a mixture of mono-ligand ([CuLCl2]) and bis-ligand ([CuL2Cl]+[Cl]−) complexes. The X-ray structures of these compounds are presented in Scheme 2.
Scheme 2.
Reaction of U2 with CuCl2 in methanol solution and X-ray structures of obtained mono- and bis-ligand Cu(II) complexes.
To obtain individual bis-ligand complexes, it was necessary to change the procedure so that the target complexes precipitated from the reaction mixture. The substitution of methanol with ethanol was unsuccessful. It was only the complex of NO2-substituted urea derivative ([Cu(U3)2Cl2]) that precipitated from the reaction mixture to give a pure bis-ligand complex in a good yield (72%). All the other products were highly soluble in this solvent. To overcome the product solubility issue, isopropyl alcohol was used as a cosolvent. This helped to reduce the solubility of the target bis-ligand Cu(II) complexes ([CuL2Cl2]) in the reaction solution, while retaining good solubility of the uncomplexed ligands, CuCl2, as well as the expected mono-ligand byproducts. By using these modified conditions, we additionally prepared 11 previously unreported bis-ligand Cu(II) complexes incorporating U1, U2, and U4–12 derivatives, and the yields comprised 39–65% (Table 1).
Table 1.
2-Pyridyl urea based biligand Cu(II) complexes synthesized in this work.
All obtained compounds were characterized by elemental analysis, HRMS (electrospray ionization), and IR spectroscopy. C, H, and N elemental analysis confirmed the assumed structures and demonstrated that most of the complexes were obtained as solvates and hydrates. HRMS spectra of all complexes displayed peaks corresponding to ions [CuL2Cl]+ with characteristic isotopic distribution.
Complete assignment of vibrational band in IR spectra for these complexes is rather a difficult task both because of the total number of vibrations (more than 100) and because of the strong conjugation of ligand bonds resulting in the significant coupling of vibrational modes. Therefore, we have decided to restrict our analysis to the identification of the principal vibrational modes in the experimental spectra. According to the literature data [43], C=O stretching vibration (amide I mode) should be manifested in the IR spectra of substituted ureas as the strong band at 1676 ± 40 cm−1. Based on that analysis we have assigned strong bands at 1641–1694 cm−1 as C=O stretching modes of urea moiety in the neat ligands. Upon the coordination to metal ion this band should move to lower frequency, therefore the pairs of bands at 1600–1649 cm−1 in vibrational spectra of complexes have been assigned as carbonyl bands, highest one corresponding to out-of-phase and lower—to in-phase vibration of coordinated ligands (no lower frequency band was observed in [Cu(U1)2Cl]+[Cl]− complex because of the centrosymmetric structure). Amide III (νa CN2 stretching) band is usually observed as another strong feature in IR spectra at 1570 ± 60 cm−1. We have assigned to this mode strong bands observed at 1522–1533 cm−1 for neat ligands. Upon coordination these bands downshift on 15–20 cm−1 (except [Cu(U1)2Cl]+[Cl]− where probably out-of-phase νa CN2 mode was observed in IR experimental spectra). Amide II (νs CN2 stretching) band was found as weak to medium vibrational feature at 728–750 cm−1 only slightly affected by coordination. CO out-of-plane deformation (γ CO) was observed as medium to strong band at 780–810 cm−1 and in-plane CO deformation (β CO) at 550–590 cm−1. As to pyridine ring vibrations, according to the data of [44,45,46], CN stretchings contribute mostly to the bands around 1580–1590 and 1455–1480 cm−1. Some up-shift of these bands upon coordination is probably due to the significant change in their coupling with other ring vibrations of pyridine moiety (according to potential energy distribution calculations [45] contribution of CN stretching into vibrational modes of pyridine does not exceed 45%). As to the Cu–Cl bands, they should lie below 400 cm−1 and were not observed in experimental spectra.
Finally, X-ray diffraction analysis performed for most complexes, verified the proposed structures as outlined in Table 1.
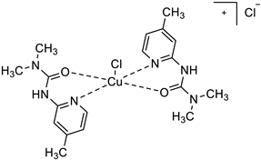
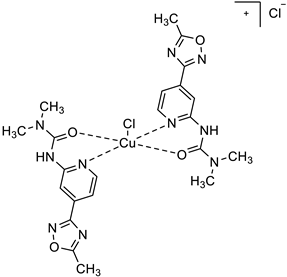
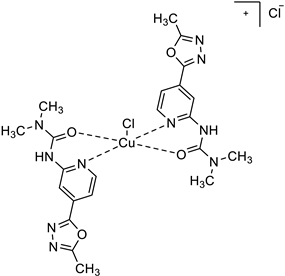
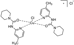
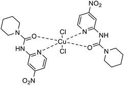
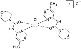
The analysis of the X-ray data revealed several structural kinds of the obtained complexes (Figure 1a–c and Table 2). First of all, well pronounced Jahn-Teller effect is observed in all the structures under consideration. That is the common feature of copper(II) complexes with d9 configuration of central atom. The presence of strong electron-withdrawing substituent, such as nitro-group, in ligand moiety decreases the nucleophilicity of the pyridine ring and hence both chloride ligands remain in inner coordination sphere resulting in neutral hexacoordinated complex [Cu(U3)2Cl2]. Its structure can be described as tetragonal bipyramidal with chloride ligands in axial positions. Cu–Cl distance is 2.6502 Å that is close to axial interatomic separation in other Cu–Cl complexes with 4 + 2 coordination ca. CsCuCl3 (2.73 Å [47]).
Figure 1.
Three types of the obtained Cu(II) complexes as illustrated by X-ray structures of compounds [Cu(U2)2Cl]+[Cl]− (a), [Cu(U4)2Cl]+[Cl]− (b), and [Cu(U3)2Cl2] (c).
Decrease in electron-withdrawing ability of substituents increase the degree of Jahn-Teller distortion leading at first to an intermediate-type complex [Cu(U4)2Cl]+[Cl]− that contains both bridging chloride ligand with Cu–Cl bond distance 2.5614 Å and semi-coordinated to metal center chloride ligand at 3.0220 Å. The last distance is close to that observed in layered copper chlorocomplexes with the trivial bonds in square planar arrangement of copper ion and relatively weak contacts between copper ion and chloride ligands from the neighboring layer (2.96, 3.03 and 3.05 Å for CuCl2 [48], KCuCl3 [49], and NH4CuCl3 [49] respectively). This non-equivalency of two ligands in axial positions of distorted octahedral copper complexes is the common case in copper(II) coordination chemistry as it was shown by I. Persson based on EXAFS study of copper complexes in solids and solutions [50].
Further decrease in electron-withdrawing ability of substituents led to the formation of penta-coordinated complexes where only one chloride ligand is coordinated to the metal ion. It is well-known that two kinds of coordination polyhedron can be realized in complexes with coordination number 5. Addison [51] suggested to use τ factor to distinguish between these two opportunities:
where α is the angle between axial bonds and β is the angle between equatorial bonds. If τ < 0.5, the environment is better described as tetragonal pyramidal, otherwise—as trigonal bipyramidal. Based on this criteria [Cu(U2)2Cl]+[Cl]− and [Cu(U2)Cl2(H2O)] complexes are better described as tetragonal pyramidal that is the next step of Jahn-Teller distortion of octahedral complexes after 4 + 2 and 4 + 1 + 1 geometries. The significantly longer Cu–Cl distances, compared to other penta-coordinated complexes studied (2.525–2.561 Å for apical Cu–Cl bonds vs. 2.27–2.30 Å for equatorial ones), confirm the conclusion about different geometries of penta-coordinated complexes under consideration. The formation of trigonal bipyramidal complexes in other systems is probably due to the steric effects caused by more bulky ligands (inter-ligand repulsion in trigonal bipyramidal complexes is less than in tetragonal pyramidal ones).
τ = (α − β)/60°,
Thus, the structural data on the synthesized pyridyl urea-based Cu(II) complexes is in line with previously reported Cu(II) coordination compounds incorporating N,O-bidentate ligands [15,21,52,53,54,55].
Table 2.
Geometry parameters for some of the obtained Cu(II) complexes.
Table 2.
Geometry parameters for some of the obtained Cu(II) complexes.
| Complex | Cu–Cl1, Å | Cu–Cl2, Å 1 | Cu–N1, Å | Cu–N4, Å | Cu–O1, Å | Cu–O2, Å |
|---|---|---|---|---|---|---|
| [Cu(U1)2Cl]+[Cl]− | 2.3055(6) | 6.1200(4) | 1.9807(13) | 1.9807(13) | 2.0177(11) | 2.0177(11) |
| [Cu(U2)2Cl]+[Cl]− | 2.5608(5) | 6.7765(6) | 2.0048(15) | 2.0061(15) | 1.9300(13) | 1.9270(13) |
| [Cu(U3)2Cl2] | 2.6502(4) | 2.6502(4) | 2.0047(14) | 2.0047(14) | 1.9665(13) | 1.9665(13) |
| [Cu(U4)2Cl]+[Cl]− | 2.5614(4) | 3.0220(6) 1 | 1.9907(13) | 1.9860(14) | 1.9549(12) | 1.9518(12) |
| [Cu(U7)2Cl]+[Cl]− | 2.2749(5) | 6.2742(5) | 1.9884(18) | 1.9919(18) | 2.1184(14) | 2.0106(14) |
| [Cu(U9)2Cl]+[Cl]− | 2.2827(5) | 6.3767(7) | 1.9715(15) | 1.9768(15) | 1.9850(12) | 2.1131(12) |
| [Cu(U12)2Cl]+[Cl]− | 2.2971(7) | 6.5641(8) | 1.990(2) | 1.986(2) | 2.0780(18) | 1.9833(18) |
1 ΣRvdW (Cu + Cl) = 3.15 Å [56].
The measurement of the molar conductivity in a solution in DMSO showed that the complexes of all these three types dissociate upon dissolution in almost the same way, demonstrating the values characteristic of the incomplete dissociation of 1:1 electrolytes (Table 3) [57].
Table 3.
Molar conductivity of different type complexes in DMSO solutions (25 °C).
From the point of view of practical use, an important issue is the thermal stability of the obtained complexes. We conducted a thermogravimetric study and showed that these compounds are quite stable with respect to heating (see ESI, Figures S9–S20). For most of the complexes, noticeable destruction began only at temperatures above 200 °C; for several species, this temperature decreased to 130–150 °C. This indicates not only the thermal stability of the complexes, but also the fact that coordination to the copper metal center stabilizes the ligands. The original ureas themselves begin to decompose already at temperatures slightly above 100 °C [37].
3.2. Cell Experiments
Given the prominent interest to the novel metal-based drugs, we have evaluated anticancer potential of the newly synthesized pyridyl urea Cu(II) complexes. To do so, we tested the obtained compounds against the human lung cancer cells, including EGFR-mutant and non-mutant cell lines. Lung cancer is the leading cause of cancer-related mortality worldwide, with an overall five-year survival rate of 15% [58]. Drug-resistant phenotypes of lung malignancies show poor response to the conventional and targeted therapeutic agents, which is especially true for the EGFR-mutant cancers [59].
In the first step we have performed standard MTT test [60] of the obtained ligands against A549 human lung carcinoma cells. The test revealed that non-complexed ligands displayed no noticeable antiproliferative activity against the cancer cells at concentrations of 10 and 100 µM (Table 4).
Table 4.
Results of MTT on A549 cell line for the uncomplexed ligands U1–U12.
In turn, Cu(II)-complexes were evaluated for their anticancer properties against A549 cells, as well as NCI-H460 non-small cell lung carcinoma cells and EGFR-mutant NCI-H1975 non-small cell lung carcinoma cells. Additionally, we used non-cancerous lung fibroblast WI-26 VA4 to control non-specific cytotoxicity (Table 5).
Table 5.
MTT assay results for the compounds against lung cancer cell lines.
As can be concluded from the Table 4, the majority of the evaluated complex compounds displayed mild antiproliferative activities against A549 cells with IC50 values ranging between 88.7 and 114.5 μM. In fact, it were only the piperidine-substituted compounds [Cu(U9)2Cl]+[Cl]− and [Cu(U10)2Cl]+[Cl]− that displayed somewhat higher activities (76.1 and 86.7 μM respectively) along with two nitropyridine derivatives [Cu(U3)2Cl2] and [Cu(U11)2Cl2] exhibiting half-maximal inhibition at 61.4 and 46.01 correspondingly. The same trend was observed against the NCI-H460 cells. Most of the synthesized molecules showed IC50 values above 100 μM when tested against this cell line. Meanwhile, [Cu(U9)2Cl]+[Cl]− and [Cu(U10)2Cl]+[Cl]− possessed more pronounced effects with IC50′s between 64.0 and 66.4 μM. As in the case of A549, the most profound activities were displayed by the nitropyridine-containing complexes [Cu(U3)2Cl2] (IC50 of 77.5 μM) and [Cu(U11)2Cl2] (IC50 of 53.6 μM). Encouragingly, the EGFR-mutant NCI-H1975 non-small cell lung carcinoma cell line turned out to be more sensitive to the treatment with the obtained complexes. Thus, the IC50 values of compounds [Cu(U3)2Cl2] and [Cu(U11)2Cl2] were found to be 39.6 μM and 33.4 μM, whereas the rest of compounds displayed half-maximal effects in the range of 61.6–70.2 μM. Noteworthy, non-cancerous lung fibroblast WI-26 VA4 cell line was generally less sensitive to all tested molecules, including the most active nitropyridine derivatives. Actually, the IC50 values for the [Cu(U3)2Cl2] and [Cu(U11)2Cl2] against WI-26 VA4 amounted to 81.6 μM and 62.4 μM. Therefore, despite the generally modest activities displayed by the evaluated Cu(II) complexes, two nitropyridine-containing compounds showed enhanced potency against the drug-resistant NCI-H1975 cells, with [Cu(U3)2Cl2] being the most selective over the healthy human cells WI-26 VA4. In the light of these facts, this latter compound was studied for its anticancer activity in more detail.
3.3. Cell Cycle Analysis
To verify whether the antiproliferative effect of the [Cu(U3)2Cl2] compounds was linked to the cell cycle arrest we analyzed the influence of this complex on the NCI-H1975 cells using flow cytometry. We used three different sub-IC50 concentrations in this experiment, namely 10, 20, and 35 μM. The test revealed that [Cu(U3)2Cl2] led to a significant disturbance of the cell cycle in the NCI-H1975 cells, especially at concentrations of 20 and 35 μM. Indeed, treatment of the cells with [Cu(U3)2Cl2] resulted in a profound increase in the cells trapped in the G2 phase. This effect was accompanied by a remarkable drop in the number of cells in the G1 phase, as outlined in Figure 2.
Figure 2.
Effects of the compound [Cu(U3)2Cl2] on cell cycle progression in NCI-H1975 non-small cell lung carcinoma cells at concentrations of 10, 20, and 35 μM.
3.4. Proapoptotic Activity
Apoptosis is a physiological process of programmed cell death that is disrupted in malignant cells [61]. Hence, various chemotherapeutic agents with apoptosis induction activity are widely exploited in the context of cancer treatment [62]. Striving to explore the mechanism of cell death underlying the growth inhibitory effect of the synthesized complexes, we have studied the proapoptotic activity of [Cu(U3)2Cl2] in NCI-H1975 cells by means of the Annexin V-FITC/PI double staining assay (Figure 3).

Figure 3.
Apoptosis induction caused by different concentrations of the compound [Cu(U3)2Cl2] in NCI-H1975 cell line.
The obtained morphological data indicated that 48-h incubation of NCI-H1975 cells with 50 μM [Cu(U3)2Cl2] resulted in a noticeable increase in the percent of Annexin VFITC-positive early apoptotic cells from 5.25% to 16.30% which corresponds to three-fold total increase as compared to control. Moreover, the treatment led to the increase in the late apoptotic fraction in cell population from 12.02% to 22.38%. Finally, the percentage of dead cells rose from 0.28% to 2.87%. Thus, at concentration of 50 μM and 48 h incubation time, the proapoptotic effects of the compound [Cu(U3)2Cl2] were rather pronounced.
4. Conclusions
In the present work, we have prepared 12 novel Cu(II) complexes incorporating variously substituted 2-pyridyl ureas as ligands. By means of single-crystal X-ray diffraction analysis, we demonstrated the effect of the substituents’ electronic nature on the binding characteristics of the metal center with chloride ligands. In particular, in the obtained structures Cu–Cl interaction varies from coordination bond (U3 bearing NO2-group in pyridine ring) to dissociation of the ligand into the outer coordination sphere (Me and unsubstituted pyridines). The semi-coordination of chloride ligand to Cu(II) was, also, revealed to the complex of 4-CN substituent in pyridine ring (U4).
The synthesized complexes were tested against several lung cancer cell lines (A549, NCI-H460, NCI-H1975) as well as healthy WI-26 VA4 cells. In fact, two nitropyridine-containing complexes (Cu(U3)2Cl2 and Cu(U11)2Cl2) displayed enhanced activity against the drug-resistant NCI-H1975 cells in combination with moderate selectivity toward normal WI-26 VA4 cells. The antiproliferative mechanism of cell death underlying the growth inhibitory effect of the synthesized complexes was studied via additional experiments, including the cell cycle analysis and the apoptosis induction test.
The obtained results highlight the crucial role of the ligand substitution pattern for the antiproliferative properties of Cu(II) 2-pyridyl urea complexes and open room for further structure–activity optimization.
Supplementary Materials
The following are available online at https://www.mdpi.com/article/10.3390/biomedicines10020461/s1 and contains characterization data for ligands and crystallographic information (Tables S1–S3), X-ray structures (Figures S1–S8), and TG/DTG curves for obtained complexes (Figures S9–S20).
Author Contributions
Conceptualization, S.V.B. and S.A.K.; methodology, S.V.B. and S.A.K.; ligand and complex preparation, K.K.G. and S.O.K.; structural data analysis, S.V.B. and M.Y.S.; cytotoxicity studies, T.V.S., S.I.P., A.A.S., A.S.B., M.A.T.; writing—original draft preparation, S.V.B. and S.A.K.; writing—review and editing, V.P.B. and M.Y.K.; visualization, S.V.B. and S.A.K.; supervision, V.P.B. and M.Y.K.; project administration, S.V.B. and S.A.K. All authors have read and agreed to the published version of the manuscript.
Funding
This study was supported by Russian Science Foundation (project 20-73-00038).
Institutional Review Board Statement
Not applicable.
Informed Consent Statement
Not applicable.
Data Availability Statement
Data are shown in the article and supporting materials. CIFs are openly available in www.ccdc.cam.ac.uk/data_request/cif (accessed on 24 August 2021).
Acknowledgments
The authors are grateful to the Center for Magnetic Resonance, Center for X-ray Diffraction Studies, Center for Chemical Analysis and Materials Research, Thermogravimetric and Calorimetric Research Centre (all belonging to Saint Petersburg State University) for physicochemical measurements.
Conflicts of Interest
The authors declare no conflict of interest.
References
- Olgen, S. Overview on Anticancer Drug Design and Development. Curr. Med. Chem. 2018, 25, 1704–1719. [Google Scholar] [CrossRef] [PubMed]
- Holohan, C.; Van Schaeybroeck, S.; Longley, D.B.; Johnston, P.G. Cancer drug resistance: An evolving paradigm. Nat. Rev. Cancer 2013, 13, 714–726. [Google Scholar] [CrossRef] [PubMed]
- Cavalcanti, I.D.L.; Soares, J.C.S. Conventional Chemotherapy Versus Targeted Therapy. In Advances in Cancer Treatment; Springer International Publishing: Cham, Switzerland, 2021; pp. 79–89. [Google Scholar]
- Ndagi, U.; Mhlongo, N.; Soliman, M. Metal complexes in cancer therapy—An update from drug design perspective. Drug Des. Devel. Ther. 2017, 11, 599–616. [Google Scholar] [CrossRef] [PubMed]
- Lazarević, T.; Rilak, A.; Bugarčić, Ž.D. Platinum, palladium, gold and ruthenium complexes as anticancer agents: Current clinical uses, cytotoxicity studies and future perspectives. Eur. J. Med. Chem. 2017, 142, 8–31. [Google Scholar] [CrossRef] [PubMed]
- Kenny, R.G.; Marmion, C.J. Toward Multi-Targeted Platinum and Ruthenium Drugs—A New Paradigm in Cancer Drug Treatment Regimens? Chem. Rev. 2019, 119, 1058–1137. [Google Scholar] [CrossRef]
- Johnstone, T.C.; Suntharalingam, K.; Lippard, S.J. The Next Generation of Platinum Drugs: Targeted Pt(II) Agents, Nanoparticle Delivery, and Pt(IV) Prodrugs. Chem. Rev. 2016, 116, 3436–3486. [Google Scholar] [CrossRef]
- Malik, M.A.; Dar, O.A.; Gull, P.; Wani, M.Y.; Hashmi, A.A. Heterocyclic Schiff base transition metal complexes in antimicrobial and anticancer chemotherapy. Med. Chem. Comm. 2018, 9, 409–436. [Google Scholar] [CrossRef]
- Zou, T.; Lok, C.-N.; Wan, P.-K.; Zhang, Z.-F.; Fung, S.-K.; Che, C.-M. Anticancer metal-N-heterocyclic carbene complexes of gold, platinum and palladium. Curr. Opin. Chem. Biol. 2018, 43, 30–36. [Google Scholar] [CrossRef]
- Englinger, B.; Pirker, C.; Heffeter, P.; Terenzi, A.; Kowol, C.R.; Keppler, B.K.; Berger, W. Metal Drugs and the Anticancer Immune Response. Chem. Rev. 2019, 119, 1519–1624. [Google Scholar] [CrossRef]
- Hannon, M.J. Metal-based anticancer drugs: From a past anchored in platinum chemistry to a post-genomic future of diverse chemistry and biology. Pure Appl. Chem. 2007, 79, 2243–2261. [Google Scholar] [CrossRef]
- Molinaro, C.; Martoriati, A.; Pelinski, L.; Cailliau, K. Copper Complexes as Anticancer Agents Targeting Topoisomerases I and II. Cancers 2020, 12, 2863. [Google Scholar] [CrossRef] [PubMed]
- Krasnovskaya, O.; Naumov, A.; Guk, D.; Gorelkin, P.; Erofeev, A.; Beloglazkina, E.; Majouga, A. Copper Coordination Compounds as Biologically Active Agents. Int. J. Mol. Sci. 2020, 21, 3965. [Google Scholar] [CrossRef]
- Santini, C.; Pellei, M.; Gandin, V.; Porchia, M.; Tisato, F.; Marzano, C. Advances in Copper Complexes as Anticancer Agents. Chem. Rev. 2014, 114, 815–862. [Google Scholar] [CrossRef] [PubMed]
- Balewski, Ł.; Sączewski, F.; Bednarski, P.; Gdaniec, M.; Borys, E.; Makowska, A. Structural Diversity of Copper(II) Complexes with N-(2-Pyridyl)Imidazolidin-2-Ones(Thiones) and Their in Vitro Antitumor Activity. Molecules 2014, 19, 17026–17051. [Google Scholar] [CrossRef]
- Shobha Devi, C.; Thulasiram, B.; Aerva, R.R.; Nagababu, P. Recent Advances in Copper Intercalators as Anticancer Agents. J. Fluoresc. 2018, 28, 1195–1205. [Google Scholar] [CrossRef] [PubMed]
- AlAjmi, M.; Hussain, A.; Rehman, M.; Khan, A.; Shaikh, P.; Khan, R. Design, Synthesis, and Biological Evaluation of Benzimidazole-Derived Biocompatible Copper(II) and Zinc(II) Complexes as Anticancer Chemotherapeutics. Int. J. Mol. Sci. 2018, 19, 1492. [Google Scholar] [CrossRef] [PubMed]
- Pitucha, M.; Korga-Plewko, A.; Czylkowska, A.; Rogalewicz, B.; Drozd, M.; Iwan, M.; Kubik, J.; Humeniuk, E.; Adamczuk, G.; Karczmarzyk, Z.; et al. Influence of Complexation of Thiosemicarbazone Derivatives with Cu (II) Ions on Their Antitumor Activity against Melanoma Cells. Int. J. Mol. Sci. 2021, 22, 3104. [Google Scholar] [CrossRef]
- Hindo, S.S.; Frezza, M.; Tomco, D.; Heeg, M.J.; Hryhorczuk, L.; McGarvey, B.R.; Dou, Q.P.; Verani, C.N. Metals in anticancer therapy: Copper(II) complexes as inhibitors of the 20S proteasome. Eur. J. Med. Chem. 2009, 44, 4353–4361. [Google Scholar] [CrossRef]
- Moyaert, T.; Schroeder, Z.W.; Dawe, L.N. Synthesis, Coordination Chemistry and Anion Binding by a Cyanophenyl-Substituted 2-Pyridinylurea. Eur. J. Inorg. Chem. 2018, 2018, 167–172. [Google Scholar] [CrossRef]
- Shatrava, I.; Ovchynnikov, V.; Gubina, K.; Shishkina, S.; Shishkin, O.; Amirkhanov, V. Varieties in structures of Co(II), Ni(II) and Cu(II) coordination compounds based on dimethyl pyridin-2-ylcarbamoylphosphoramidate. Struct. Chem. 2016, 27, 1413–1425. [Google Scholar] [CrossRef]
- Sun, Y.; Zhang, Z.; Wang, X.; Li, X.; Weng, L.; Zhou, X. Isocyanate diinsertion into the N–H bond of the 2-pyridylamino ligand of organolanthanides. Dalt. Trans. 2010, 39, 221–226. [Google Scholar] [CrossRef] [PubMed]
- Guisado-Barrios, G.; Slawin, A.M.Z.; Richens, D.T. Iron complexes of new hydrophobic derivatives of tris (2-pyridylmethyl)amine: Synthesis, characterization, and catalysis of alkane oxygenation by H2O2. J. Coord. Chem. 2010, 63, 2642–2658. [Google Scholar] [CrossRef]
- Tiliakos, M.; Cordopatis, P.; Terzis, A.; Raptopoulou, C.; Perlepes, S.P.; Manessi-Zoupa, E. Reactions of 3d-metal nitrates with N,N′-bis(2-pyridyl)urea (LH2): Preparation, X-ray crystal structures and spectroscopic studies of the products trans-[M(II)(ONO2)2(LH2)2] (M = Mn, Fe, Co, Ni, Cu, Zn) and mer-[Co(III)(LH)2](NO3)·MeOH. Polyhedron 2001, 20, 2203–2214. [Google Scholar] [CrossRef]
- Orysyk, S.I.; Bon, V.V.; Pekhnyo, V.I.; Zborovskii, Y.L.; Orysyk, V.V.; Vovk, M.V. Synthesis, structure and spectral characteristics of Ni(II), Pd(II) and Zn(II) complexes with N-(2-pyridinyl)morpholine-4-carbothioamide. Polyhedron 2012, 38, 15–25. [Google Scholar] [CrossRef]
- Qureshi, N.; Yufit, D.S.; Steed, K.M.; Howard, J.A.K.; Steed, J.W. Anion hydrogen bonding from a ‘revealed’ urea ligand. Cryst. Eng. Comm. 2016, 18, 5333–5337. [Google Scholar] [CrossRef]
- German, E.A.; Ross, J.E.; Knipe, P.C.; Don, M.F.; Thompson, S.; Hamilton, A.D. β-Strand Mimetic Foldamers Rigidified through Dipolar Repulsion. Angew. Chem. Int. Ed. 2015, 54, 2649–2652. [Google Scholar] [CrossRef]
- Papesch, V.; Schroeder, E.F. Synthesis of 1-Mono- and 1,3-Di-Substituted 6-Aminouracils. Diuretic Activity. J. Org. Chem. 1951, 16, 1879–1890. [Google Scholar] [CrossRef]
- Cioffi, C.L.; Dobri, N.; Freeman, E.E.; Conlon, M.P.; Chen, P.; Stafford, D.G.; Schwarz, D.M.C.; Golden, K.C.; Zhu, L.; Kitchen, D.B.; et al. Design, Synthesis, and Evaluation of Nonretinoid Retinol Binding Protein 4 Antagonists for the Potential Treatment of Atrophic Age-Related Macular Degeneration and Stargardt Disease. J. Med. Chem. 2014, 57, 7731–7757. [Google Scholar] [CrossRef] [PubMed]
- Kurita, K.; Matsumura, T.; Iwakura, Y. Trichloromethyl chloroformate. Reaction with amines, amino acids, and amino alcohols. J. Org. Chem. 1976, 41, 2070–2071. [Google Scholar] [CrossRef]
- Eckert, H.; Forster, B. Triphosgene, a Crystalline Phosgene Substitute. Angew. Chem. Int. Ed. Engl. 1987, 26, 894–895. [Google Scholar] [CrossRef]
- Rassadin, V.A.; Boyarskiy, V.P.; Kukushkin, V.Y. Facile Gold-Catalyzed Heterocyclization of Terminal Alkynes and Cyanamides Leading to Substituted 2-Amino-1,3-Oxazoles. Org. Lett. 2015, 17, 3502–3505. [Google Scholar] [CrossRef]
- Rassadin, V.A.; Zimin, D.P.; Raskil’dina, G.Z.; Ivanov, A.Y.; Boyarskiy, V.P.; Zlotskii, S.S.; Kukushkin, V.Y. Solvent- and halide-free synthesis of pyridine-2-yl substituted ureas through facile C–H functionalization of pyridine N-oxides. Green Chem. 2016, 18, 6630–6636. [Google Scholar] [CrossRef]
- Geyl, K.; Baykov, S.; Tarasenko, M.; Zelenkov, L.E.; Matveevskaya, V.; Boyarskiy, V.P. Convenient entry to N-pyridinylureas with pharmaceutically privileged oxadiazole substituents via the acid-catalyzed C H activation of N-oxides. Tetrahedron Lett. 2019, 60, 151108. [Google Scholar] [CrossRef]
- Baykov, S.V.; Boyarskiy, V.P. Metal-Free Functionalization of Azine N-Oxides with Electrophilic Reagents. Chem. Heterocycl. Compd. 2020, 56, 814–823. [Google Scholar] [CrossRef]
- Baykov, S.; Mikherdov, A.; Novikov, A.; Geyl, K.; Tarasenko, M.; Gureev, M.; Boyarskiy, V. π–π Noncovalent Interaction Involving 1,2,4- and 1,3,4-Oxadiazole Systems: The Combined Experimental, Theoretical, and Database Study. Molecules 2021, 26, 5672. [Google Scholar] [CrossRef]
- Kasatkina, S.O.; Geyl, K.K.; Baykov, S.V.; Boyarskaya, I.A.; Boyarskiy, V.P. Catalyst-free synthesis of substituted pyridin-2-yl, quinolin-2-yl, and isoquinolin-1-yl carbamates from the corresponding hetaryl ureas and alcohols. Org. Biomol. Chem. 2021, 19, 6059–6065. [Google Scholar] [CrossRef] [PubMed]
- Dobrynin, M.V.; Kasatkina, S.O.; Baykov, S.V.; Savko, P.Y.; Antonov, N.S.; Mikherdov, A.S.; Boyarskiy, V.P.; Islamova, R.M. Deprotonated diaminocarbene platinum complexes for thermoresponsive luminescent silicone materials: Both catalysts and luminophores. Dalt. Trans. 2021, 50, 14994–14999. [Google Scholar] [CrossRef]
- Sheldrick, G.M. SHELXT—Integrated space-group and crystal-structure determination. Acta Crystallogr. Sect. A Found. Adv. 2015, 71, 3–8. [Google Scholar] [CrossRef] [PubMed]
- Sheldrick, G.M. Crystal structure refinement with SHELXL. Acta Crystallogr. Sect. C Struct. Chem. 2015, 71, 3–8. [Google Scholar] [CrossRef]
- Dolomanov, O.V.; Bourhis, L.J.; Gildea, R.J.; Howard, J.A.K.; Puschmann, H. OLEX2: A complete structure solution, refinement and analysis program. J. Appl. Crystallogr. 2009, 42, 339–341. [Google Scholar] [CrossRef]
- CrysAlis Pro. Data Collection and Processing Software for Agilent X-ray Diffractometers; Aglient Technologies: Yarnton, UK, 2013. [Google Scholar]
- Mink, J.; Hajba, L.; Pápai, I.; Mihály, J.; Neméth, C.; Skripkin, M.Y.; Sandström, M. Vibrational Spectroscopic and Theoretical Studies of Urea Derivatives with Biochemical Interest: N,N′-Dimethylurea, N,N,N′,N′-Tetramethylurea, and N,N′-Dimethylpropyleneurea. Appl. Spectrosc. Rev. 2010, 45, 274–326. [Google Scholar] [CrossRef]
- Sundaraganesan, N.; Ilakiamani, S.; Saleem, H.; Wojciechowski, P.M.; Michalska, D. FT-Raman and FT-IR spectra, vibrational assignments and density functional studies of 5-bromo-2-nitropyridine. Spectrochim. Acta Part A Mol. Biomol. Spectrosc. 2005, 61, 2995–3001. [Google Scholar] [CrossRef] [PubMed]
- Szafran, M.; Koput, J. Ab initio and DFT calculations of structure and vibrational spectra of pyridine and its isotopomers. J. Mol. Struct. 2001, 565–566, 439–448. [Google Scholar] [CrossRef]
- Green, J.H.S.; Harrison, D.J. Vibrational spectra of cyano-, formyl- and halogeno-pyridines. Spectrochim. Acta Part A Mol. Spectrosc. 1977, 33, 75–79. [Google Scholar] [CrossRef]
- Crama, W.J. The Jahn–Teller distorted structure of caesium copper(II) trichloride. Acta Crystallogr. Sect. B Struct. Crystallogr. Cryst. Chem. 1981, 37, 2133–2136. [Google Scholar] [CrossRef]
- Wells, A.F. 333. The crystal structure of anhydrous cupric chloride, and the stereochemistry of the cupric atom. J. Chem. Soc. 1947, 11, 1670. [Google Scholar] [CrossRef]
- Willett, R.D.; Dwiggins, C.; Kruh, R.F.; Rundle, R.E. Crystal Structures of KCuCl3 and NH4 CuCl3. J. Chem. Phys. 1963, 38, 2429–2436. [Google Scholar] [CrossRef]
- Persson, I.; Lundberg, D.; Bajnóczi, É.G.; Klementiev, K.; Just, J.; Sigfridsson Clauss, K.G.V. EXAFS Study on the Coordination Chemistry of the Solvated Copper(II) Ion in a Series of Oxygen Donor Solvents. Inorg. Chem. 2020, 59, 9538–9550. [Google Scholar] [CrossRef]
- Addison, A.W.; Rao, T.N.; Reedijk, J.; van Rijn, J.; Verschoor, G.C. Synthesis, structure, and spectroscopic properties of copper(II) compounds containing nitrogen–sulphur donor ligands; the crystal and molecular structure of aqua[1,7-bis(N-methylbenzimidazol-2′-yl)-2,6-dithiaheptane]copper(II) pe. J. Chem. Soc. Dalt. Trans. 1984, 1349–1356. [Google Scholar] [CrossRef]
- Smolentsev, A.I.; Lider, E.V.; Lavrenova, L.G.; Sheludyakova, L.A.; Bogomyakov, A.S.; Vasilevsky, S.F. Steric influence of the 6-methyl group on the molecular and crystal structures of copper(II) chloride complexes with 2-(N-acetylamino)-6-methylpyridine. Polyhedron 2014, 77, 81–88. [Google Scholar] [CrossRef]
- Małecki, J.G.; Machura, B.; Świtlicka, A.; Kusz, J. X-ray studies, spectroscopic characterization and DFT calculations for Mn(II), Ni(II) and Cu(II) complexes with 2-benzoylpyridine. Polyhedron 2011, 30, 410–418. [Google Scholar] [CrossRef]
- Gusev, V.Y.; Radushev, A.V. Crystal structure of the CuCl2 complex with two molecules of N′,N′-dimethyl-para-tert-butylbenzohydrazide [Cu(p-(t-Bu)C6H4CONHN(Me)2)2]Cl2 1.34 H2O. Russ. J. Coord. Chem. 2016, 42, 763–767. [Google Scholar] [CrossRef]
- Smirnov, A.S.; Martins, L.M.D.R.S.; Nikolaev, D.N.; Manzhos, R.A.; Gurzhiy, V.V.; Krivenko, A.G.; Nikolaenko, K.O.; Belyakov, A.V.; Garabadzhiu, A.V.; Davidovich, P.B. Structure and catalytic properties of novel copper isatin Schiff base complexes. New J. Chem. 2019, 43, 188–198. [Google Scholar] [CrossRef]
- Bondi, A. van der Waals Volumes and Radii of Metals in Covalent Compounds. J. Phys. Chem. 1966, 70, 3006–3007. [Google Scholar] [CrossRef]
- Ali, I.; Wani, W.A.; Saleem, K. Empirical Formulae to Molecular Structures of Metal Complexes by Molar Conductance. Synth. React. Inorg. Met. Nano-Metal Chem. 2013, 43, 1162–1170. [Google Scholar] [CrossRef]
- Barta, J.A.; Powell, C.A.; Wisnivesky, J.P. Global Epidemiology of Lung Cancer. Ann. Glob. Heal 2019, 85, 2419. [Google Scholar] [CrossRef]
- Tumbrink, H.L.; Heimsoeth, A.; Sos, M.L. The next tier of EGFR resistance mutations in lung cancer. Oncogene 2021, 40, 1–11. [Google Scholar] [CrossRef] [PubMed]
- Mosmann, T. Rapid colorimetric assay for cellular growth and survival: Application to proliferation and cytotoxicity assays. J. Immunol. Methods 1983, 65, 55–63. [Google Scholar] [CrossRef]
- Khan, K.H.; Blanco-Codesido, M.; Molife, L.R. Cancer therapeutics: Targeting the apoptotic pathway. Crit. Rev. Oncol. Hematol. 2014, 90, 200–219. [Google Scholar] [CrossRef]
- Call, J.A.; Eckhardt, S.G.; Camidge, D.R. Targeted manipulation of apoptosis in cancer treatment. Lancet Oncol. 2008, 9, 1002–1011. [Google Scholar] [CrossRef]
Publisher’s Note: MDPI stays neutral with regard to jurisdictional claims in published maps and institutional affiliations. |
© 2022 by the authors. Licensee MDPI, Basel, Switzerland. This article is an open access article distributed under the terms and conditions of the Creative Commons Attribution (CC BY) license (https://creativecommons.org/licenses/by/4.0/).

















