Tumor HPV Status, Level of Regulatory T Cells and Macrophage Infiltration Predict up to 20-Year Non-Disease-Specific Survival in Oropharynx Squamous Cell Carcinoma Patients
Abstract
1. Introduction
2. Materials and Methods
2.1. Patients Included in the Study
2.2. Immunohistochemistry
2.3. Scoring of IHC
2.4. Histological Evaluation
2.5. DNA Isolation
2.6. HPV DNA Detection
2.7. Calculating Standard Mortality
2.8. Statistics
3. Results
3.1. Clinical Parameters Sorted by Tumor HPV Presence, Age of Patient at Diagnosis, Tumor Site and TNM Stage
3.2. Twenty-Year Survival Dependent on Tumor HPV Status
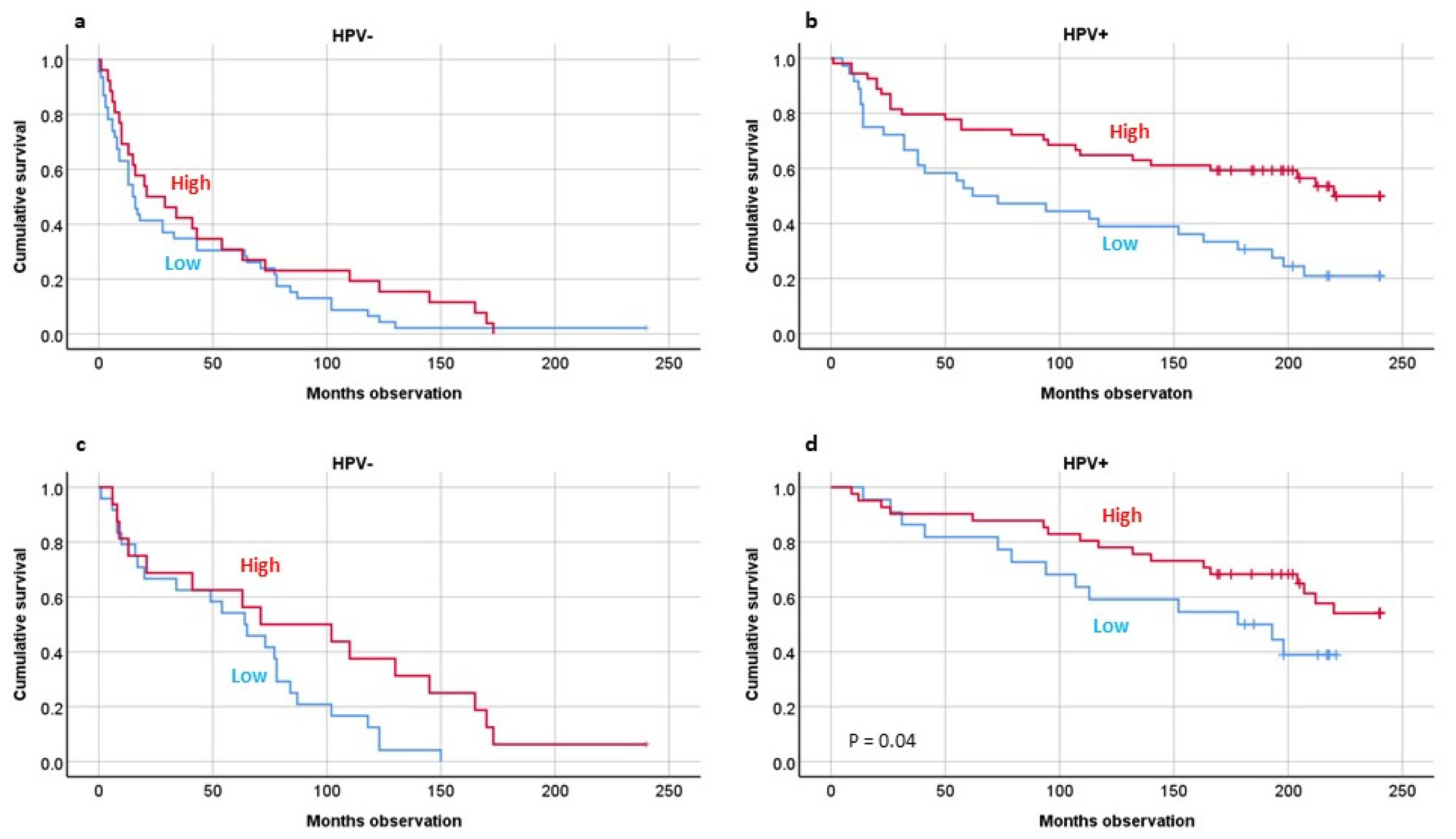
3.3. Twenty-Year Survival by Kaplan–Meier Analyses, Studying TIL CD3, FoxP3 or TIM CD68 Positivity
3.4. Twenty-Year Survival by Kaplan–Meier Analyses Studying Tumor Cell Fraction of Mature Cells (Nuclear Polymorphism), Pattern of Invasion, Tumor Stromal Desmoplasia and Tumor Host Inflammatory Response
3.5. Twenty-Year Survival by Cox Multivariate Regression Analyses by TIL FoxP3, TIL CD3 and TIM CD68, Whether HE-Histology Generated Levels of Tumor Desmoplasia, Inflammation, Nuclear Ploidity, Invasion, Age of the Patient and T Stage, and Whether HPV Tumor Positivity
4. Discussion
5. Conclusions
Author Contributions
Funding
Institutional Review Board Statement
Informed Consent Statement
Data Availability Statement
Acknowledgments
Conflicts of Interest
References
- Sung, H.; Ferlay, J.; Siegel, R.L.; Laversanne, M.; Soerjomataram, I.; Jemal, A.; Bray, F. Global Cancer Statistics 2020: GLOBOCAN Estimates of Incidence and Mortality Worldwide for 36 Cancers in 185 Countries. CA Cancer J. Clin. 2021, 71, 209–249. [Google Scholar] [CrossRef]
- Sankaranarayanan, R.; Ramadas, K.; Amarasinghe, H.; Subramanian, S.; Johnson, N. Oral Cancer: Prevention, Early Detection, and Treatment. In Cancer: Disease Control Priorities, 3rd ed.; Gelband, H., Jha, P., Sankaranarayanan, R., Horton, S., Eds.; The International Bank for Reconstruction and Development/The World Bank (c) 2015 International Bank for Reconstruction and Development/The World Bank: Washington, DC, USA, 2015; Volume 3. [Google Scholar] [CrossRef]
- Goncalves, A.; Soper, B.; Nygård, M.; Nygård, J.F.; Ray, P.; Widemann, D.; Sales, A.P. Improving five-year survival prediction via multitask learning across HPV-related cancers. PLoS ONE 2020, 15, e0241225. [Google Scholar] [CrossRef]
- Vijayvargiya, P.; Trivedi, S.; Rupji, M.; Song, H.; Liu, Y.; Jiang, R.; Kaka, A.S.; Chen, G.Z.; Stokes, W.; Steuer, C.; et al. Comparison of the Seventh and Eighth Edition of American Joint Committee on Cancer (AJCC) Staging for Selected and Nonselected Oropharyngeal Squamous Cell Carcinomas. Oncologist 2022, 27, 48–56. [Google Scholar] [CrossRef] [PubMed]
- Tinhofer, I.; Braunholz, D.; Klinghammer, K. Preclinical models of head and neck squamous cell carcinoma for a basic understanding of cancer biology and its translation into efficient therapies. Cancers Head Neck 2020, 5, 9. [Google Scholar] [CrossRef]
- De Keukeleire, S.J.; Vermassen, T.; Hilgert, E.; Creytens, D.; Ferdinande, L.; Rottey, S. Immuno-Oncological Biomarkers for Squamous Cell Cancer of the Head and Neck: Current State of the Art and Future Perspectives. Cancers 2021, 13, 1714. [Google Scholar] [CrossRef]
- Ljokjel, B.; Haave, H.; Lybak, S.; Vintermyr, O.K.; Helgeland, L.; Aarstad, H.J. Tumor Infiltration Levels of CD3, Foxp3(+) Lymphocytes and CD68 Macrophages at Diagnosis Predict 5-Year Disease-Specific Survival in Patients with Oropharynx Squamous Cell Carcinoma. Cancers 2022, 14, 1508. [Google Scholar] [CrossRef]
- Haave, H.; Gulati, S.; Brekke, J.; Lybak, S.; Vintermyr, O.K.; Aarstad, H.J. Tumor stromal desmoplasia and inflammatory response uniquely predict survival with and without stratification for HPV tumor infection in OPSCC patients. Acta Oto-Laryngol. 2018, 138, 1035–1042. [Google Scholar] [CrossRef] [PubMed]
- Ostroumov, D.; Fekete-Drimusz, N.; Saborowski, M.; Kühnel, F.; Woller, N. CD4 and CD8 T lymphocyte interplay in controlling tumor growth. Cell Mol. Life Sci. 2018, 75, 689–713. [Google Scholar] [CrossRef] [PubMed]
- Singh, N.; Baby, D.; Rajguru, J.P.; Patil, P.B.; Thakkannavar, S.S.; Pujari, V.B. Inflammation and cancer. Ann. Afr. Med. 2019, 18, 121–126. [Google Scholar] [CrossRef]
- Akram, N.; Imran, M.; Noreen, M.; Ahmed, F.; Atif, M.; Fatima, Z.; Bilal Waqar, A. Oncogenic Role of Tumor Viruses in Humans. Viral Immunol. 2017, 30, 20–27. [Google Scholar] [CrossRef] [PubMed]
- Linette, G.P.; Carreno, B.M. Tumor-Infiltrating Lymphocytes in the Checkpoint Inhibitor Era. Curr. Hematol. Malig. Rep. 2019, 14, 286–291. [Google Scholar] [CrossRef] [PubMed]
- Badalamenti, G.; Fanale, D.; Incorvaia, L.; Barraco, N.; Listì, A.; Maragliano, R.; Vincenzi, B.; Calò, V.; Iovanna, J.L.; Bazan, V.; et al. Role of tumor-infiltrating lymphocytes in patients with solid tumors: Can a drop dig a stone? Cell Immunol. 2019, 343, 103753. [Google Scholar] [CrossRef]
- Yang, L.; Zhang, Y. Tumor-associated macrophages: From basic research to clinical application. J. Hematol. Oncol. 2017, 10, 58. [Google Scholar] [CrossRef]
- Li, B.; Ren, M.; Zhou, X.; Han, Q.; Cheng, L. Targeting tumor-associated macrophages in head and neck squamous cell carcinoma. Oral Oncol. 2020, 106, 104723. [Google Scholar] [CrossRef]
- de Ruiter, E.J.; Ooft, M.L.; Devriese, L.A.; Willems, S.M. The prognostic role of tumor infiltrating T-lymphocytes in squamous cell carcinoma of the head and neck: A systematic review and meta-analysis. Oncoimmunology 2017, 6, e1356148. [Google Scholar] [CrossRef]
- Ngoenkam, J.; Schamel, W.W.; Pongcharoen, S. Selected signalling proteins recruited to the T-cell receptor-CD3 complex. Immunology 2018, 153, 42–50. [Google Scholar] [CrossRef]
- Georgiev, P.; Charbonnier, L.M.; Chatila, T.A. Regulatory T Cells: The Many Faces of Foxp3. J. Clin. Immunol. 2019, 39, 623–640. [Google Scholar] [CrossRef]
- Ono, M. Control of regulatory T-cell differentiation and function by T-cell receptor signalling and Foxp3 transcription factor complexes. Immunology 2020, 160, 24–37. [Google Scholar] [CrossRef]
- Hume, D.A.; Irvine, K.M.; Pridans, C. The Mononuclear Phagocyte System: The Relationship between Monocytes and Macrophages. Trends Immunol. 2019, 40, 98–112. [Google Scholar] [CrossRef]
- Shapouri-Moghaddam, A.; Mohammadian, S.; Vazini, H.; Taghadosi, M.; Esmaeili, S.A.; Mardani, F.; Seifi, B.; Mohammadi, A.; Afshari, J.T.; Sahebkar, A. Macrophage plasticity, polarization, and function in health and disease. J. Cell. Physiol. 2018, 233, 6425–6440. [Google Scholar] [CrossRef]
- Koh, Y.C.; Yang, G.; Lai, C.S.; Weerawatanakorn, M.; Pan, M.H. Chemopreventive Effects of Phytochemicals and Medicines on M1/M2 Polarized Macrophage Role in Inflammation-Related Diseases. Int. J. Mol. Sci. 2018, 19, 2208. [Google Scholar] [CrossRef] [PubMed]
- Liu, J.; Geng, X.; Hou, J.; Wu, G. New insights into M1/M2 macrophages: Key modulators in cancer progression. Cancer Cell Int. 2021, 21, 389. [Google Scholar] [CrossRef] [PubMed]
- Lippitz, B.E.; Harris, R.A. Cytokine patterns in cancer patients: A review of the correlation between interleukin 6 and prognosis. Oncoimmunology 2016, 5, e1093722. [Google Scholar] [CrossRef] [PubMed]
- Aarstad, H.H.; Moe, S.E.E.; Bruserud, Ø.; Lybak, S.; Aarstad, H.J.; Tvedt, T.H.A. The Acute Phase Reaction and Its Prognostic Impact in Patients with Head and Neck Squamous Cell Carcinoma: Single Biomarkers Including C-Reactive Protein Versus Biomarker Profiles. Biomedicines 2020, 8, 418. [Google Scholar] [CrossRef]
- Aarstad, H.J.; Aarstad, H.H.; Vintermyr, O.K.; Kross, K.W.; Lybak, S.; Heimdal, J.H. In vitro Monocyte IL-6 Secretion Levels Following Stimulation with Autologous Spheroids Derived from Tumour or Benign Mucosa Predict Long-term Survival in Head and Neck Squamous Cell Carcinoma Patients. Scand. J. Immunol. 2017, 85, 211–219. [Google Scholar] [CrossRef]
- Aarstad, H.J.; Vintermyr, O.K.; Ulvestad, E.; Aarstad, H.H.; Kross, K.W.; Heimdal, J.H. Peripheral blood monocyte and T-lymphocyte activation levels at diagnosis predict long-term survival in head and neck squamous cell carcinoma patients. APMIS Acta Pathol. Microbiol. Immunol. Scand. 2015, 123, 305–314. [Google Scholar] [CrossRef]
- Lybak, S.; Ljokjel, B.; Haave, H.; Karlsdottir, A.; Vintermyr, O.K.; Aarstad, H.J. Primary surgery results in no survival benefit compared to primary radiation for oropharyngeal cancer patients stratified by high-risk human papilloma virus status. Eur. Arch. Oto-Rhino-Laryngol. 2017, 274, 477–487. [Google Scholar] [CrossRef]
- Kristensen, G.B.; Abeler, V.M.; Risberg, B.; Trop, C.; Bryne, M. Tumor size, depth of invasion, and grading of the invasive tumor front are the main prognostic factors in early squamous cell cervical carcinoma. Gynecol. Oncol. 1999, 74, 245–251. [Google Scholar] [CrossRef]
- Ojesina, A.I.; Lichtenstein, L.; Freeman, S.S.; Pedamallu, C.S.; Imaz-Rosshandler, I.; Pugh, T.J.; Cherniack, A.D.; Ambrogio, L.; Cibulskis, K.; Bertelsen, B.; et al. Landscape of genomic alterations in cervical carcinomas. Nature 2014, 506, 371–375. [Google Scholar] [CrossRef]
- Marur, S.; Forastiere, A.A. Head and Neck Squamous Cell Carcinoma: Update on Epidemiology, Diagnosis, and Treatment. Mayo Clinic Proc. 2016, 91, 386–396. [Google Scholar] [CrossRef]
- Farran, M.; Løes, S.S.; Vintermyr, O.K.; Lybak, S.; Aarstad, H.J. Periodontal status at diagnosis predicts non-disease-specific survival in a geographically defined cohort of patients with oropharynx squamous cell carcinoma. Acta Oto-Laryngol. 2019, 139, 309–315. [Google Scholar] [CrossRef] [PubMed]
- Di Credico, G.; Polesel, J.; Dal Maso, L.; Pauli, F.; Torelli, N.; Luce, D.; Radoï, L.; Matsuo, K.; Serraino, D.; Brennan, P.; et al. Alcohol drinking and head and neck cancer risk: The joint effect of intensity and duration. Br. J. Cancer 2020, 123, 1456–1463. [Google Scholar] [CrossRef] [PubMed]
- Näsman, A.; Bersani, C.; Lindquist, D.; Du, J.; Ramqvist, T.; Dalianis, T. Human Papillomavirus and Potentially Relevant Biomarkers in Tonsillar and Base of Tongue Squamous Cell Carcinoma. Anticancer Res. 2017, 37, 5319–5328. [Google Scholar] [CrossRef] [PubMed][Green Version]
- Du, E.; Mazul, A.L.; Farquhar, D.; Brennan, P.; Anantharaman, D.; Abedi-Ardekani, B.; Weissler, M.C.; Hayes, D.N.; Olshan, A.F.; Zevallos, J.P. Long-term Survival in Head and Neck Cancer: Impact of Site, Stage, Smoking, and Human Papillomavirus Status. Laryngoscope 2019, 129, 2506–2513. [Google Scholar] [CrossRef]
- Erkul, E.; Yilmaz, I.; Narli, G.; Babayigit, M.A.; Gungor, A.; Demirel, D. The presence and prognostic significance of human papillomavirus in squamous cell carcinoma of the larynx. Eur. Arch. Oto-Rhino-Laryngol. 2017, 274, 2921–2926. [Google Scholar] [CrossRef]
- Almangush, A.; Leivo, I.; Mäkitie, A.A. Overall assessment of tumor-infiltrating lymphocytes in head and neck squamous cell carcinoma: Time to take notice. Acta Oto-Laryngol. 2020, 140, 246–248. [Google Scholar] [CrossRef]
- Shevach, E.M. Mechanisms of Foxp3+ T regulatory cell-mediated suppression. Immunity 2009, 30, 636–645. [Google Scholar] [CrossRef]
- Szylberg, Ł.; Karbownik, D.; Marszałek, A. The Role of FOXP3 in Human Cancers. Anticancer Res. 2016, 36, 3789–3794. [Google Scholar]
- Tanaka, A.; Sakaguchi, S. Targeting Treg cells in cancer immunotherapy. Eur. J. Immunol. 2019, 49, 1140–1146. [Google Scholar] [CrossRef]
- Specenier, P. Immunotherapy for head and neck cancer: From recurrent/metastatic disease to (neo)adjuvant treatment in surgically resectable tumors. Curr. Opin. Otolaryngol. Head Neck Surgery 2021, 29, 168–177. [Google Scholar] [CrossRef]
- Aye, L.; Song, X.; Yang, J.; Hu, L.; Sun, X.; Zhou, J.; Liu, Q.; Yu, H.; Wang, D. Identification of a Costimulatory Molecule Gene Signature to Predict Survival and Immunotherapy Response in Head and Neck Squamous Cell Carcinoma. Front. Cell Dev. Biol. 2021, 9, 695533. [Google Scholar] [CrossRef] [PubMed]





| Tumor HPV(−) | Tumor HPV(+) | |||
|---|---|---|---|---|
| Sign. 20 Y OS | Sign. 20 Y OS | |||
| Age | n.s. | <0.001 | ||
| Years Mean ± SD | 62.1 ± 11.0 | 58.6 ± 10.5 | ||
| Gender (N) | n.s. | n.s. | ||
| Males | 63 | 65 | ||
| Females | 13 | 27 | ||
| T stage | 0.042 | n.s. | ||
| 1 | 12 | 14 | ||
| 2 | 20 | 31 | ||
| 3 | 24 | 31 | ||
| 4 | 18 | 16 | ||
| N stage | 0.016 | n.s. | ||
| 0 | 29 | 18 | ||
| 1 | 14 | 4 | ||
| 2 | 25 | 65 | ||
| 3 | 5 | 5 | ||
| M stage | 0.001 | n.a. | ||
| 0 | 68 | 92 | ||
| 1 | 3 | 0 | ||
| Smoking | n.s. | 0.064 | ||
| 0 | 3 | 11 | ||
| 1 | 1 | 10 | ||
| 2 | 2 | 12 | ||
| 3 | 15 | 29 | ||
| 4 | 48 | 26 | ||
| Total patients included | 76 | 92 | ||
| Patients | Number of Patients | Number of Deaths | Expected Deaths | RR | Confidence Interval |
|---|---|---|---|---|---|
| From diagnosis | |||||
| All | 168 | 133 | 21 | 6.2 | 5.2–7.4 |
| HPV(+) | 91 | 56 | 14 | 4.1 | 3.2–5.3 |
| HPV(−) | 75 | 75 | 8 | 9.8 | 7.8–12.3 |
| Patients with survival more than 5 years following diagnosis | |||||
| All | 84 | 49 | 19 | 2.6 | 2.0–3.5 |
| HPV(+) | 59 | 24 | 12 | 1.9 | 1.3–2.9 |
| HPV(−) | 23 | 23 | 6 | 3.8 | 2.5–5.7 |
| HPV(+) Non-smokers | 7 | 2 | 1.3 | 1.5 | 0.4–6.2 |
| 20-Year OS | 20-Year DSS Only | |||||||
|---|---|---|---|---|---|---|---|---|
| Sign. | RR | 95% CI for RR | Sign. | RR | 95% CI for RR | |||
| Lower | Upper | Lower | Upper | |||||
| Block I | ||||||||
| Gender | 0.531 | 0.843 | 0.494 | 1.438 | 0.651 | 0.857 | 0.441 | 1.668 |
| Age of patient | 0.000 | 1.06 | 1.035 | 1.083 | 0.000 | 1.077 | 1.041 | 1.113 |
| T-stage | 0.073 | 1.20 | 0.983 | 1.471 | 0.234 | 1.194 | 0.892 | 1.599 |
| N-stage | 0.006 | 1.36 | 1.095 | 1.698 | 0.289 | 1.174 | 0.873 | 1.578 |
| M-stage | 0.016 | 7.18 | 1.437 | 35.832 | ||||
| HPV | 0.000 | 0.37 | 0.235 | 0.588 | 0.002 | 0.364 | 0.193 | 0.686 |
| Tobacco history | 0.002 | 1.35 | 1.114 | 1.625 | 0.007 | 1.432 | 1.105 | 1.856 |
| Block I plus levels of TIL CD3 | ||||||||
| TIL CD3 | 0.039 | 0.651 | 0.433 | 0.978 | 0.028 | 0.420 | 0.194 | 0.912 |
| Block I plus levels of TIM CD68 | ||||||||
| TIM CD68 | 0.011 | 0.573 | 0.373 | 0.881 | 0.005 | 0.698 | 0.545 | 0.895 |
| Block I plus levels of TIL Foxp3 | ||||||||
| TIL Foxp3 | 0.008 | 0.556 | 0.360 | 0.857 | 0.017 | 0.694 | 0.514 | 0.936 |
| Block I plus level of desmoplasia | ||||||||
| Desmoplasia | 0.084 | 1.202 | 0.976 | 1.480 | 0.408 | 1.295 | 0.702 | 2.391 |
| Block I plus inflammation | ||||||||
| Inflammation | 0.060 | 1.268 | 0.990 | 1.624 | 0.856 | 1.060 | 0.565 | 1.991 |
| Block I plus level of nuclear polymorphism | ||||||||
| Nuclear polymorphism | 0.950 | 1.009 | 0.764 | 1.333 | 0.363 | 0.722 | 0.358 | 1.457 |
| Block I plus level of inflammation | ||||||||
| Invasion | 0.484 | 1.091 | 0.855 | 1.391 | 0.603 | 0.853 | 0.469 | 1.552 |
| RR: Relative risk. | ||||||||
| CI: Confidence interval. | ||||||||
| Abbreviations otherwise as in Table 1 and Table 2. | ||||||||
Publisher’s Note: MDPI stays neutral with regard to jurisdictional claims in published maps and institutional affiliations. |
© 2022 by the authors. Licensee MDPI, Basel, Switzerland. This article is an open access article distributed under the terms and conditions of the Creative Commons Attribution (CC BY) license (https://creativecommons.org/licenses/by/4.0/).
Share and Cite
Haave, H.; Ljokjel, B.; Lybak, H.; Moe, S.E.; Berge, J.E.; Vintermyr, O.K.; Helgeland, L.; Aarstad, H.J. Tumor HPV Status, Level of Regulatory T Cells and Macrophage Infiltration Predict up to 20-Year Non-Disease-Specific Survival in Oropharynx Squamous Cell Carcinoma Patients. Biomedicines 2022, 10, 2484. https://doi.org/10.3390/biomedicines10102484
Haave H, Ljokjel B, Lybak H, Moe SE, Berge JE, Vintermyr OK, Helgeland L, Aarstad HJ. Tumor HPV Status, Level of Regulatory T Cells and Macrophage Infiltration Predict up to 20-Year Non-Disease-Specific Survival in Oropharynx Squamous Cell Carcinoma Patients. Biomedicines. 2022; 10(10):2484. https://doi.org/10.3390/biomedicines10102484
Chicago/Turabian StyleHaave, Hilde, Borghild Ljokjel, Helene Lybak, Svein E. Moe, Jan E. Berge, Olav K. Vintermyr, Lars Helgeland, and Hans J. Aarstad. 2022. "Tumor HPV Status, Level of Regulatory T Cells and Macrophage Infiltration Predict up to 20-Year Non-Disease-Specific Survival in Oropharynx Squamous Cell Carcinoma Patients" Biomedicines 10, no. 10: 2484. https://doi.org/10.3390/biomedicines10102484
APA StyleHaave, H., Ljokjel, B., Lybak, H., Moe, S. E., Berge, J. E., Vintermyr, O. K., Helgeland, L., & Aarstad, H. J. (2022). Tumor HPV Status, Level of Regulatory T Cells and Macrophage Infiltration Predict up to 20-Year Non-Disease-Specific Survival in Oropharynx Squamous Cell Carcinoma Patients. Biomedicines, 10(10), 2484. https://doi.org/10.3390/biomedicines10102484

