Impedance Sensor Based on ZnO/Graphite Composite with 3D-Printed Housing for Ionized Ammonia Detection in Continuous Water Flow
Abstract
1. Introduction
- The proposed sensor can operate under continuous flow conditions, making it particularly attractive for use in industrial applications, such as water treatment plants;
- The sensor is tested in an environment with interfering cations, where its signal remains unaffected, making it suitable for analyzing complex water matrices;
- This work aims to provide a framework for developing affordable electrochemical sensors that detect pollutants in water, optimized for current regulations;
- By prioritizing a larger contact area, the design achieves measurable magnitudes without requiring sophisticated or robust signal-conditioning electronics.
2. Materials and Methods
2.1. Reagents and Chemicals
2.2. Apparatus
2.3. Preparation of Modified Carbon Paste Electrodes
2.4. Detection Mechanism of Ionized Ammonia
2.5. Real Sample Collection
3. Result and Discussion
3.1. Surface Characterization of the Electrodes
3.2. Equivalent Circuit of the Transducer
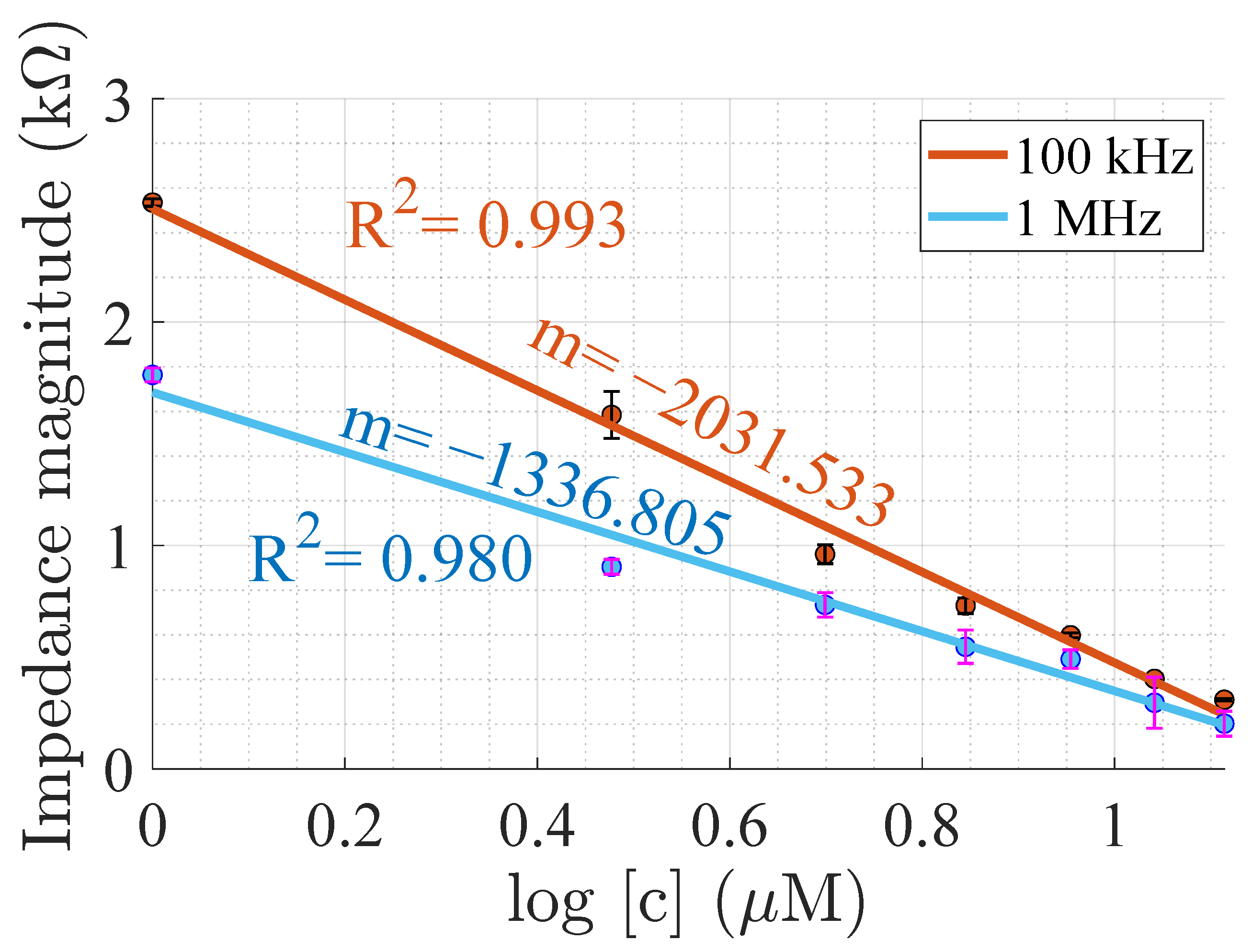
3.3. Sensing Performance of the Device
3.4. Interference and Durability of the Device
3.5. Real-Time Ammonium Detection with the 3D-IS
4. Ammonium Ion Detection in Real Groundwater
5. Comparison of Ammonium Ion Sensors
6. Conclusions
Supplementary Materials
Author Contributions
Funding
Institutional Review Board Statement
Informed Consent Statement
Data Availability Statement
Acknowledgments
Conflicts of Interest
References
- Constable, M.; Charlton, M.; Jensen, F.; McDonald, K.; Craig, G.; Taylor, K.W. An Ecological Risk Assessment of Ammonia in the Aquatic Environment. Hum. Ecol. Risk Assess. Int. J. 2003, 9, 527–548. [Google Scholar] [CrossRef]
- Wang, X.; Li, J.; Chen, J.; Cui, L.; Li, W.; Gao, X.; Liu, Z. Water Quality Criteria of Total Ammonia Nitrogen (TAN) and Un-Ionized Ammonia (NH3-N) and Their Ecological Risk in the Liao River, China. Chemosphere 2020, 243, 125328. [Google Scholar] [CrossRef]
- Velásquez-Yévenes, L.; Ram, R. The Aqueous Chemistry of the Copper-Ammonia System and Its Implications for the Sustainable Recovery of Copper. Clean. Eng. Technol. 2022, 9, 100515. [Google Scholar] [CrossRef]
- Zhang, M.; Song, G.; Gelardi, D.L.; Huang, L.; Khan, E.; Mašek, O.; Parikh, S.J.; Ok, Y.S. Evaluating Biochar and Its Modifications for the Removal of Ammonium, Nitrate, and Phosphate in Water. Water Res. 2020, 186, 116303. [Google Scholar] [CrossRef]
- Karri, R.R.; Sahu, J.N.; Chimmiri, V. Critical Review of Abatement of Ammonia from Wastewater. J. Mol. Liq. 2018, 261, 21–31. [Google Scholar] [CrossRef]
- Zangeneh, A.; Sabzalipour, S.; Takdatsan, A.; Yengejeh, R.J.; Khafaie, M.A. Ammonia Removal Form Municipal Wastewater by Air Stripping Process: An Experimental Study. S. Afr. J. Chem. Eng. 2021, 36, 134–141. [Google Scholar] [CrossRef]
- Cruz, H.; Law, Y.Y.; Guest, J.S.; Rabaey, K.; Batstone, D.; Laycock, B.; Verstraete, W.; Pikaar, I. Mainstream Ammonium Recovery to Advance Sustainable Urban Wastewater Management. Environ. Sci. Technol. 2019, 53, 11066–11079. [Google Scholar] [CrossRef] [PubMed]
- Molins-Legua, C.; Meseguer-Lloret, S.; Moliner-Martinez, Y.; Campíns-Falcó, P. A Guide for Selecting the Most Appropriate Method for Ammonium Determination in Water Analysis. TrAC Trends Anal. Chem. 2006, 25, 282–290. [Google Scholar] [CrossRef]
- Dave, U.C.; Ingale, D.V.; Venkatesh, K.; Bayineni, V.K.; Kadeppagari, R.K. Multiwalled Carbonnanotubes Enhance the Response and Sensitivity of the Ammonium Biosensor Based on Alanine Dehydrogenase. J. Electroanal. Chem. 2017, 784, 102–108. [Google Scholar] [CrossRef]
- Gonçalves, A.F.; Páscoa, I.; Neves, J.V.; Coimbra, J.; Vijayan, M.M.; Rodrigues, P.; Wilson, J.M. The Inhibitory Effect of Environmental Ammonia on Daniorerio LPS Induced Acute Phase Response. Dev. Comp. Immunol. 2012, 36, 279–288. [Google Scholar] [CrossRef]
- Zhu, Y.; Chen, J.; Yuan, D.; Yang, Z.; Shi, X.; Li, H.; Jin, H.; Ran, L. Development of Analytical Methods for Ammonium Determination in Seawater over the Last Two Decades. TrAC Trends Anal. Chem. 2019, 119, 115627. [Google Scholar] [CrossRef]
- Zhou, L.; Boyd, C.E. Comparison of Nessler, Phenate, Salicylate and Ion Selective Electrode Procedures for Determination of Total Ammonia Nitrogen in Aquaculture. Aquaculture 2016, 450, 187–193. [Google Scholar] [CrossRef]
- Mtewa, A.G.; Sesaazi, D.C.; Botchie, S.K.; Peter, E.L.; Deyno, S.; Neme, B.A.; Mweta, D. Chapter 6—Titrimetry. In Analytical Techniques in Biosciences; Egbuna, C., Patrick-Iwuanyanwu, K.C., Shah, M.A., Ifemeje, J.C., Rasul, A., Eds.; Academic Press: Cambridge, MA, USA, 2022; pp. 103–113. [Google Scholar] [CrossRef]
- Lin, K.; Li, P.; Wu, Q.; Feng, S.; Ma, J.; Yuan, D. Automated Determination of Ammonium in Natural Waters with Reverse Flow Injection Analysis Based on the Indophenol Blue Method with O-Phenylphenol. Microchem. J. 2018, 138, 519–525. [Google Scholar] [CrossRef]
- Choosang, J.; Numnuam, A.; Thavarungkul, P.; Kanatharana, P.; Radu, T.; Ullah, S.; Radu, A. Simultaneous Detection of Ammonium and Nitrate in Environmental Samples Using on Ion-Selective Electrode and Comparison with Portable Colorimetric Assays. Sensors 2018, 18, 3555. [Google Scholar] [CrossRef]
- Calvo-López, A.; Ymbern, O.; Puyol, M.; Casalta, J.M.; Alonso-Chamarro, J. Potentiometric Analytical Microsystem Based on the Integration of a Gas-Diffusion Step for on-Line Ammonium Determination in Water Recycling Processes in Manned Space Missions. Anal. Chim. Acta 2015, 874, 26–32. [Google Scholar] [CrossRef]
- Valentini, F.; Biagiotti, V.; Lete, C.; Palleschi, G.; Wang, J. The Electrochemical Detection of Ammonia in Drinking Water Based on Multi-Walled Carbon Nanotube/Copper Nanoparticle Composite Paste Electrodes. Sens. Actuators B Chem. 2007, 128, 326–333. [Google Scholar] [CrossRef]
- Nithya, S.; Dutta, A. Rapid and Highly Sensitive of Amperometric Ammonia Sensor Using Green Synthesized CuO Nanoparticles as Anode Material. Electrocatalysis 2025, 16, 478–489. [Google Scholar] [CrossRef]
- Zazoua, A.; Kazane, I.; Khedimallah, N.; Dernane, C.; Errachid, A.; Jaffrezic-Renault, N. Evidence of Ammonium Ion-Exchange Properties of Natural Bentonite and Application to Ammonium Detection. Mater. Sci. Eng. C 2013, 33, 5084–5089. [Google Scholar] [CrossRef] [PubMed]
- Zougar, S.; Morakchi, K.; Zazoua, A.; Saad, S.; Kherrat, R.; Jaffrezic-Renault, N. Characterization of Ammonium Ion—Sensitive Membranes in Solution with Electrochemical Impedance Spectroscopy. Mater. Sci. Eng. C 2008, 28, 1020–1023. [Google Scholar] [CrossRef]
- Bakker, E.; Pretsch, E.; Bühlmann, P. Selectivity of Potentiometric Ion Sensors. Anal. Chem. 2000, 72, 1127–1133. [Google Scholar] [CrossRef]
- Capella, J.V.; Bonastre, A.; Campelo, J.C.; Ors, R.; Peris, M. A New Ammonium Smart Sensor with Interference Rejection. Sensors 2020, 20, 7102. [Google Scholar] [CrossRef]
- Michalkiewicz, S.; Skorupa, A.; Jakubczyk, M. Carbon Materials in Electroanalysis of Preservatives: A Review. Materials 2021, 14, 7630. [Google Scholar] [CrossRef] [PubMed]
- Franco, M.A.; Conti, P.P.; Andre, R.S.; Correa, D.S. A Review on Chemiresistive ZnO Gas Sensors. Sensors Actuators Rep. 2022, 4, 100100. [Google Scholar] [CrossRef]
- Sundara Venkatesh, P.; Dharmaraj, P.; Purushothaman, V.; Ramakrishnan, V.; Jeganathan, K. Point Defects Assisted NH3 Gas Sensing Properties in ZnO Nanostructures. Sens. Actuators B Chem. 2015, 212, 10–17. [Google Scholar] [CrossRef]
- Kumar, S.K.N.; Aliyana, A.K.; Baburaj, A.; Adetunji, M.; Fernandez, R.E. Impedance Sensor for Real-Time Ammonium Detection Based on MWCNT/ZnO Nanocomposites. IEEE Trans. NanoBiosci. 2023, 22, 121–127. [Google Scholar] [CrossRef]
- Ahmad, R.; Tripathy, N.; Khan, M.Y.; Bhat, K.S.; Ahn, M.s.; Hahn, Y.B. Ammonium Ion Detection in Solution Using Vertically Grown ZnO Nanorod Based Field-Effect Transistor. RSC Adv. 2016, 6, 54836–54840. [Google Scholar] [CrossRef]
- Aliyana, A.K.; Naveen Kumar, S.K.; Marimuthu, P.; Baburaj, A.; Adetunji, M.; Frederick, T.; Sekhar, P.; Fernandez, R.E. Machine Learning-Assisted Ammonium Detection Using Zinc Oxide/Multi-Walled Carbon Nanotube Composite Based Impedance Sensors. Sci. Rep. 2021, 11, 24321. [Google Scholar] [CrossRef]
- Joly, M.; Marlet, M.; Barreau, D.; Jourdan, A.; Durieu, C.; Launay, J.; Temple-Boyer, P. Monitoring of Ammonium and Nitrate Ions in Soil Using Ion-Sensitive Potentiometric Microsensors. Sensors 2024, 24, 7143. [Google Scholar] [CrossRef]
- Ravariu, C.; Manea, E.; Pârvulescu, C.; Dima, G. Nanoporous Layer Integration for the Fabrication of ISFET and Related Transistor-Based Biosensors. Chemosensors 2025, 13, 316. [Google Scholar] [CrossRef]
- Khosravani, M.R.; Reinicke, T. 3D-printed Sensors: Current Progress and Future Challenges. Sens. Actuators A Phys. 2020, 305, 111916. [Google Scholar] [CrossRef]
- Sun, Y.; Li, D.; Shi, Y.; Wang, Z.; Okeke, S.I.; Yang, L.; Zhang, W.; Zhang, Z.; Shi, Y.; Xiao, L. Application of 3D Printing Technology in Sensor Development for Water Quality Monitoring. Sensors 2023, 23, 2366. [Google Scholar] [CrossRef]
- Bouras, H.D.; Isik, Z.; Bezirhan Arikan, E.; Bouras, N.; Chergui, A.; Yatmaz, H.C.; Dizge, N. Photocatalytic Oxidation of Azo Dye Solutions by Impregnation of ZnO on Fungi. Biochem. Eng. J. 2019, 146, 150–159. [Google Scholar] [CrossRef]
- Dey, A. Semiconductor Metal Oxide Gas Sensors: A Review. Mater. Sci. Eng. B 2018, 229, 206–217. [Google Scholar] [CrossRef]
- Chang, S.C.; Hicks, D.; Laugal, R. Patterning of Zinc Oxide Thin Films. In Proceedings of the Technical Digest IEEE Solid-State Sensor and Actuator Workshop, Hilton Head, SC, USA, 22–25 June 1992; IEEE: New York, NY, USA, 1992; pp. 41–45. [Google Scholar] [CrossRef]
- Fatmi, M.Q.; Hofer, T.S.; Rode, B.M. The Stability of [Zn(NH3)4]2+ in Water: A Quantum Mechanical/Molecular Mechanical Molecular Dynamics Study. Phys. Chem. Chem. Phys. 2010, 12, 9713–9718. [Google Scholar] [CrossRef]
- Modec, B.; Podjed, N. The [Zn(NH3)4]2+ Reactions with Quinaldinate or Pyrazinoate: A Ready Synthetic Route to Zinc(II) Coordination Polymers? Inorg. Chem. Commun. 2024, 159, 111831. [Google Scholar] [CrossRef]
- Li, H.; Zhao, L.; Wang, L.; Liang, J.; Yan, H.; Liu, J. Leaching Kinetics of Secondary Zinc Oxide in a NH3–NH4HCO3–H2O System. Crystals 2021, 11, 496. [Google Scholar] [CrossRef]
- Sun, J.; Bian, J.; Liang, H.; Zhao, J.; Hu, L.; Zhao, Z.; Liu, W.; Du, G. Realization of Controllable Etching for ZnO Film by NH4Cl Aqueous Solution and Its Influence on Optical and Electrical Properties. Appl. Surf. Sci. 2007, 253, 5161–5165. [Google Scholar] [CrossRef]
- Ji, H.; Zeng, W.; Li, Y. Gas Sensing Mechanisms of Metal Oxide Semiconductors: A Focus Review. Nanoscale 2019, 11, 22664–22684. [Google Scholar] [CrossRef] [PubMed]
- Neri, G.; Donato, N. Resistive Gas Sensors. In Wiley Encyclopedia of Electrical and Electronics Engineering; John Wiley & Sons, Ltd.: Hoboken, NJ, USA, 2016; pp. 1–12. [Google Scholar] [CrossRef]
- Hoang, V.H.; Nguyen, T.M.P.; Nguyen, T.D.; Nguyen, T.H.V.; Chu, T.H.H.; Hoang, L.P.; Thang, P.Q.; Nguyen, L.H.; Hoang, T.K.; Van, H.T. Recycling Paper Sludge into Hydrochar and ZnO Nanocomposite for Enhanced Ammonium Adsorption in Aqueous Solutions. RSC Adv. 2025, 15, 6634–6651. [Google Scholar] [CrossRef]
- Haerifar, M.; Azizian, S. An Exponential Kinetic Model for Adsorption at Solid/Solution Interface. Chem. Eng. J. 2013, 215–216, 65–71. [Google Scholar] [CrossRef]
- Chen, H.Y.; Chen, C. Comparison of Classical and Inverse Calibration Equations in Chemical Analysis. Sensors 2024, 24, 7038. [Google Scholar] [CrossRef] [PubMed]
- Dar, G.N.; Umar, A.; Zaidi, S.A.; Baskoutas, S.; Hwang, S.W.; Abaker, M.; Al-Hajry, A.; Al-Sayari, S.A. Ultra-High Sensitive Ammonia Chemical Sensor Based on ZnO Nanopencils. Talanta 2012, 89, 155–161. [Google Scholar] [CrossRef] [PubMed]
- Baciu, A.; Manea, F.; Pop, A.; Pode, R.; Schoonman, J. Simultaneous Voltammetric Detection of Ammonium and Nitrite from Groundwater at Silver-Electrodecorated Carbon Nanotube Electrode. Process Saf. Environ. Prot. 2017, 108, 18–25. [Google Scholar] [CrossRef]













| Parameter | Symbol | Value |
|---|---|---|
| Energy band gap | 3.73 eV | |
| Effective density of states | cm−3 | |
| Effective density of states | cm−3 | |
| Intrinsic carrier concentration | cm−3 | |
| Relative permittivity | 8.5∼8.6 | |
| Resistivity (CPE matrix) | to cm |
| Param. | 1 μM | 3 μM | 5 μM | 7 μM | 9 μM | 11 μM |
|---|---|---|---|---|---|---|
| (pF) | 17.45 | 900.7 | 1783.9 | 2667.1 | 3550.4 | 4433.6 |
| (pF) | 414.8 | 415.1 | 415.4 | 415.7 | 415.9 | 416.2 |
| (pF) | 29.17 | 18.52 | 11.76 | 7.47 | 4.74 | 3.01 |
| () | 1367.1 | 1013.1 | 750.8 | 556.4 | 412.3 | 305.6 |
| () | 1629.3 | 713.4 | 312.3 | 136.7 | 59.9 | 26.2 |
| () | 817.7 | 748.6 | 679.5 | 610.4 | 541.3 | 472.2 |
| CPE () | 0.140 | 0.192 | 0.243 | 0.294 | 0.345 | 0.397 |
| Active Material | Detec. Range | 3D Printer | Real Time | Selectivity | Continuous Flow | Ref. |
|---|---|---|---|---|---|---|
| ZnO nanopencils | 50 nM–0.5 mM | No | No | Yes | No | [45] |
| CNT epoxy | 0–1 mM | No | No | Yes | No | [46] |
| ZnO-MWCNT | 1–20 mM | No | No | Yes | No | [28] |
| ZnO-MWCNT | 1–100 mM | No | Yes | Yes | No | [26] |
| ZnO-NRs | 0.01–2.5 mM | No | No | No | No | [27] |
| ZnO-Graphite | 1–14 μM | Yes | Yes | Yes | Yes | This work |
Disclaimer/Publisher’s Note: The statements, opinions and data contained in all publications are solely those of the individual author(s) and contributor(s) and not of MDPI and/or the editor(s). MDPI and/or the editor(s) disclaim responsibility for any injury to people or property resulting from any ideas, methods, instructions or products referred to in the content. |
© 2026 by the authors. Licensee MDPI, Basel, Switzerland. This article is an open access article distributed under the terms and conditions of the Creative Commons Attribution (CC BY) license.
Share and Cite
Uc-Martín, J.A.; Ramírez-Chavarría, R.G. Impedance Sensor Based on ZnO/Graphite Composite with 3D-Printed Housing for Ionized Ammonia Detection in Continuous Water Flow. Chemosensors 2026, 14, 64. https://doi.org/10.3390/chemosensors14030064
Uc-Martín JA, Ramírez-Chavarría RG. Impedance Sensor Based on ZnO/Graphite Composite with 3D-Printed Housing for Ionized Ammonia Detection in Continuous Water Flow. Chemosensors. 2026; 14(3):64. https://doi.org/10.3390/chemosensors14030064
Chicago/Turabian StyleUc-Martín, Jorge A., and Roberto G. Ramírez-Chavarría. 2026. "Impedance Sensor Based on ZnO/Graphite Composite with 3D-Printed Housing for Ionized Ammonia Detection in Continuous Water Flow" Chemosensors 14, no. 3: 64. https://doi.org/10.3390/chemosensors14030064
APA StyleUc-Martín, J. A., & Ramírez-Chavarría, R. G. (2026). Impedance Sensor Based on ZnO/Graphite Composite with 3D-Printed Housing for Ionized Ammonia Detection in Continuous Water Flow. Chemosensors, 14(3), 64. https://doi.org/10.3390/chemosensors14030064

