Fluctuations of Training Load Variables in Elite Soccer Players U-14 throughout the Competition Season
Abstract
:1. Introduction
2. Methods and Material
2.1. Participants
2.2. Sample Size
2.3. Experimental Approach to the Problem
2.4. Measurements
2.4.1. Anthropometric and Body Composition
2.4.2. Aerobic Power Test
2.4.3. Monitoring Internal Training Workloads
2.4.4. Training Workload Calculation
2.5. Statistical Analysis
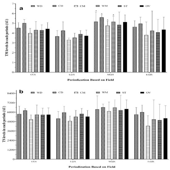
3. Results
4. Discussion
5. Conclusions
Author Contributions
Funding
Institutional Review Board Statement
Informed Consent Statement
Data Availability Statement
Conflicts of Interest
References
- Draganidis, D.; Chatzinikolaou, A.; Jamurtas, T.; Barbero, J.C.; Tsoukas, D.; Theodorou, A.; Margonis, K.; Michailidis, Y.; Avloniti, A.; Theodorou, A.; et al. The time-frame of acute resistance exercise effects on football skill performance: The impact of exercise intensity. J. Sports Sci. 2013, 31, 714–722. [Google Scholar] [CrossRef]
- Ehrmann, F.E.; Duncan, C.S.; Sindhusake, D.; Franzsen, W.N.; Greene, D. GPS and Injury Prevention in Professional Soccer. J. Strength Cond. Res. 2016, 30, 360–367. [Google Scholar] [CrossRef] [PubMed]
- Impellizzeri, F.M.; Marcora, S.M.; Coutts, A.J. Internal and External Training Load: 15 Years On. Int. J. Sports Physiol. Perform. 2019, 14, 270–273. [Google Scholar] [CrossRef] [PubMed]
- Impellizzeri, F.; Rampinini, E.; Marcora, S. Physiological assessment of aerobic training in soccer. J. Sports Sci. 2005, 23, 583–592. [Google Scholar] [CrossRef] [PubMed]
- Vanrenterghem, J.; Nedergaard, N.J.; Robinson, M.A.; Drust, B. Training Load Monitoring in Team Sports: A Novel Framework Separating Physiological and Biomechanical Load-Adaptation Pathways. Sports Med. 2017, 47, 2135–2142. [Google Scholar] [CrossRef] [PubMed]
- Verheul, J.; Nedergaard, N.J.; Vanrenterghem, J.; Robinson, M.A. Measuring biomechanical loads in team sports–from lab to field. Sci. Med. Footb. 2020, 4, 246–252. [Google Scholar] [CrossRef] [Green Version]
- Osgnach, C.; Poser, S.; Bernardini, R.; Rinaldo, R.; di Prampero, P.E. Energy cost and metabolic power in elite soccer: A new match analysis approach. Med. Sci. Sports Exerc. 2010, 42, 170–178. [Google Scholar] [CrossRef]
- Charlot, K.; Zongo, P.; Leicht, A.S.; Hue, O.; Galy, O. Intensity, recovery kinetics and well-being indices are not altered during an official FIFA futsal tournament in Oceanian players. J. Sports Sci. 2016, 34, 379–388. [Google Scholar] [CrossRef]
- Gaudino, P.; Iaia, F.M.; Strudwick, A.J.; Hawkins, R.D.; Alberti, G.; Atkinson, G.; Gregson, W. Factors Influencing Perception of Effort (Session Rating of Perceived Exertion) during Elite Soccer Training. Int. J. Sports Physiol. Perform. 2015, 10, 860–864. [Google Scholar] [CrossRef] [Green Version]
- Haddad, M.; Stylianides, G.; Djaoui, L.; Dellal, A.; Chamari, K. Session-RPE Method for Training Load Monitoring: Validity, Ecological Usefulness, and Influencing Factors. Front. Neurosci. 2017, 11, 612. [Google Scholar] [CrossRef]
- Clemente, F.M.; Mendes, B.; Bredt, S.D.G.T.; Praça, G.M.; Silvério, A.; Carriço, S.; Duarte, E. Perceived Training Load, Muscle Soreness, Stress, Fatigue, and Sleep Quality in Professional Basketball: A Full Season Study. J. Hum. Kinet. 2019, 67, 199–207. [Google Scholar] [CrossRef] [Green Version]
- Foster, C. Monitoring training in athletes with reference to overtraining syndrome. Med. Sci. Sports Exerc. 1998, 30, 1164–1168. [Google Scholar] [CrossRef]
- Impellizzeri, F.M.; Rampinini, E.; Coutts, A.J.; Sassi, A.; Marcora, S.M. Use of RPE-Based Training Load in Soccer. Med. Sci. Sports Exerc. 2004, 36, 1042–1047. [Google Scholar] [CrossRef] [PubMed]
- Nobari, H.; Aquino, R.; Clemente, F.M.; Khalafi, M.; Adsuar, J.C.; Pérez-Gómez, J. Description of acute and chronic load, training monotony and strain over a season and its relationships with well-being status: A study in elite under-16 soccer players. Physiol. Behav. 2020, 225, 113117. [Google Scholar] [CrossRef]
- Bloomfield, J.; Polman, R.; O’Donoghue, P. Physical Demands of Different Positions in FA Premier League Soccer. J. Sports Sci. Med. 2007, 6, 63–70. [Google Scholar]
- Wong, P.-L.; Chamari, K.; Dellal, A.; Wisløff, U. Relationship Between Anthropometric and Physiological Characteristics in Youth Soccer Players. J. Strength Cond. Res. 2009, 23, 1204–1210. [Google Scholar] [CrossRef] [PubMed]
- Kalapotharakos, I.V.; Ziogas, G.; Tokmakidis, S.P. Seasonal Aerobic Performance Variations in Elite Soccer Players. J. Strength Cond. Res. 2011, 25, 1502–1507. [Google Scholar] [CrossRef] [PubMed]
- Clemente, F.M.; Nikolaidis, P.; Rosemann, T.; Knechtle, B. Dose-Response Relationship Between External Load Variables, Body Composition, and Fitness Variables in Professional Soccer Players. Front. Physiol. 2019, 10, 443. [Google Scholar] [CrossRef] [PubMed]
- Murray, N.B.; Gabbett, T.J.; Townshend, A.; Hulin, B.T.; McLellan, C.P. Individual and combined effects of acute and chronic running loads on injury risk in elite Australian footballers. Scand. J. Med. Sci. Sports 2016, 27, 990–998. [Google Scholar] [CrossRef]
- Gabbett, T.J. The training—Injury prevention paradox: Should athletes be training smarter and harder? Br. J. Sports Med. 2016, 50, 273–280. [Google Scholar] [CrossRef] [Green Version]
- Jeong, T.-S.; Reilly, T.; Morton, J.; Bae, S.W.; Drust, B. Quantification of the physiological loading of one week of “pre-season” and one week of “in-season” training in professional soccer players. J. Sports Sci. 2011, 29, 1161–1166. [Google Scholar] [CrossRef]
- Scott, T.J.; Black, C.R.; Quinn, J.; Coutts, A.J. Validity and reliability of the session-RPE method for quantifying training in Australian football: A comparison of the CR10 and CR100 scales. J. Strength Cond. Res. 2013, 27, 270–276. [Google Scholar] [CrossRef]
- Casamichana, D.; Castellano, J.; Calleja-Gonzalez, J.; Román, J.S.; Castagna, C. Relationship Between Indicators of Training Load in Soccer Players. J. Strength Cond. Res. 2013, 27, 369–374. [Google Scholar] [CrossRef]
- Malone, J.J.; Di Michele, R.; Morgans, R.; Burgess, D.; Morton, J.P.; Drust, B. Seasonal Training-Load Quantification in Elite English Premier League Soccer Players. Int. J. Sports Physiol. Perform. 2015, 10, 489–497. [Google Scholar] [CrossRef] [PubMed] [Green Version]
- Ritchie, D.; Hopkins, W.G.; Buchheit, M.; Cordy, J.; Bartlett, J.D. Quantification of Training and Competition Load Across a Season in an Elite Australian Football Club. Int. J. Sports Physiol. Perform. 2016, 11, 474–479. [Google Scholar] [CrossRef] [PubMed] [Green Version]
- Nobari, H.; Vahabidelshad, R.; Pérez-Gómez, J.; Ardigò, L.P. Variations of Training Workload in Micro- and Meso-Cycles Based on Position in Elite Young Soccer Players: A Competition Season Study. Front. Physiol. 2021, 12, 529. [Google Scholar] [CrossRef]
- Nobari, H.; Barjaste, A.; Haghighi, H.; Clemente, F.M.; Carlos-Vivas, J.; Perez-Gomez, J. Quantification of training and match load in elite youth soccer players: A full-season study. J. Sports Med. Phys. Fit. 2021. [Google Scholar] [CrossRef]
- Nobari, H.; Akyildiz, Z.; Fani, M.; Oliveira, R.; Pérez-Gómez, J.; Clemente, F. Weekly Wellness Variations to Identify Non-Functional Overreaching Syndrome in Turkish National Youth Wrestlers: A Pilot Study. Sustainability 2021, 13, 4667. [Google Scholar] [CrossRef]
- Nobari, H.; Kargarfard, M.; Minasian, V.; Cholewa, J.M.; Pérez-Gómez, J. The effects of 14-week betaine supplementation on endocrine markers, body composition and anthropo-metrics in professional youth soccer players: A double blind, randomized, placebo-controlled trial. J. Int. Soc. Sports Nutr. 2021, 18, 1–10. [Google Scholar]
- Nobari, H.; Fani, M.; Clemente, F.M.; Carlos-Vivas, J.; Pérez-Gómez, J.; Ardigò, L.P. Intra- and Inter-week Variations of Well-Being Across a Season: A Cohort Study in Elite Youth Male Soccer Players. Front. Psychol. 2021, 12, 12. [Google Scholar] [CrossRef]
- Lloyd, R.S.; Oliver, J.L. The youth physical development model: A new approach to long-term athletic development. Strength Cond. J. 2012, 34, 61–72. [Google Scholar] [CrossRef] [Green Version]
- Nobari, H.; Polito, L.F.T.; Clemente, F.M.; Pérez-Gómez, J.; Ahmadi, M.; Garcia-Gordillo, M. Ángel; Silva, A.F.; Adsuar, J.C. Relationships Between Training Workload Parameters with Variations in Anaerobic Power and Change of Direction Status in Elite Youth Soccer Players. Int. J. Environ. Res. Public Health 2020, 17, 7934. [Google Scholar] [CrossRef] [PubMed]
- Foster, C.; Florhaug, J.A.; Franklin, J.; Gottschall, L.; Hrovatin, L.A.; Parker, S.; Doleshal, P.; Dodge, C. A new approach to monitoring exercise training. J. Strength Cond. Res. 2001, 15, 109–115. [Google Scholar]
- Nobari, H.; Castillo, D.; Clemente, F.M.; Carlos-Vivas, J.; Pérez-Gómez, J. Acute, chronic and acute/chronic ratio between starters and non-starters professional soccer players across a competitive season. Proc. Inst. Mech. Eng. Part P J. Sports Eng. Technol. 2021. [Google Scholar] [CrossRef]
- Nobari, H.; Praça, G.M.; Clemente, F.M.; Pérez-Gómez, J.; Vivas, J.C.; Ahmadi, M. Comparisons of new body load and metabolic power average workload indices between starters and non-starters: A full-season study in professional soccer players. Proc. Inst. Mech. Eng. Part P J. Sports Eng. Technol. 2021, 235, 105–113. [Google Scholar] [CrossRef]
- Buchheit, M. The 30–15 intermittent fitness test: 10 year review. Myorobie J. 2010, 1, 278. [Google Scholar]
- Mirwald, R.L.; Baxter-Jones, A.D.; Bailey, D.A.; Beunen, G.P. An assessment of maturity from anthropometric measurements. Med. Sci. Sports Exerc. 2002, 34, 689–694. [Google Scholar]
- Slaughter, M.H.; Lohman, T.G.; Boileau, R.A.; Horswill, C.A.; Stillman, R.J.; Van Loan, M.D.; Bemben, D.A. Skinfold equations for estimation of body fatness in children and youth. Hum. Biol. 1988, 60, 709–723. [Google Scholar]
- Arazi, H.; Mirzaei, B.; Nobari, H. Anthropometric profile, body composition and somatotyping of national Iranian cross-country runners. Turk. J. Sport Exerc. 2015, 17, 35. [Google Scholar] [CrossRef]
- Hopkins, W.; Marshall, S.; Batterham, A.; Hanin, J. Progressive Statistics for Studies in Sports Medicine and Exercise Science. Med. Sci. Sports Exerc. 2009, 41, 3–13. [Google Scholar] [CrossRef] [Green Version]
- Drust, B.; Reilly, T.; Cable, N. Physiological responses to laboratory-based soccer-specific intermittent and continuous exercise. J. Sports Sci. 2000, 18, 885–892. [Google Scholar] [CrossRef]
- Schwellnus, M.; Soligard, T.; Alonso, J.-M.; Bahr, R.; Clarsen, B.; Dijkstra, H.P.; Gabbett, T.J.; Gleeson, M.; Hägglund, M.; Hutchinson, M.R.; et al. How much is too much? (Part 2) International Olympic Committee consensus statement on load in sport and risk of illness. Br. J. Sports Med. 2016, 50, 1043–1052. [Google Scholar] [CrossRef] [Green Version]
- Hulin, B.T.; Gabbett, T.J.; Blanch, P.; Chapman, P.; Bailey, D.; Orchard, J.W. Spikes in acute workload are associated with increased injury risk in elite cricket fast bowlers. Br. J. Sports Med. 2014, 48, 708–712. [Google Scholar] [CrossRef] [PubMed]
- Blanch, P.; Gabbett, T.J. Has the athlete trained enough to return to play safely? The acute: Chronic workload ratio permits clinicians to quantify a player’s risk of subsequent injury. Br. J. Sports Med. 2016, 50, 471–475. [Google Scholar] [CrossRef]
- Buchheit, M. Applying the acute: Chronic workload ratio in elite football: Worth the effort? Br. J. Sports Med. 2017, 51, 1325–1327. [Google Scholar] [CrossRef] [PubMed] [Green Version]
- Nobari, H.; Alves, A.; Haghighi, H.; Clemente, F.; Carlos-Vivas, J.; Pérez-Gómez, J.; Ardigò, L. Association between Training Load and Well-Being Measures in Young Soccer Players during a Season. Int. J. Environ. Res. Public Health 2021, 18, 4451. [Google Scholar] [CrossRef] [PubMed]
- Clemente, F.M.; Silva, R.; Castillo, D.; Arcos, A.L.; Mendes, B.; Afonso, J. Weekly Load Variations of Distance-Based Variables in Professional Soccer Players: A Full-Season Study. Int. J. Environ. Res. Public Health 2020, 17, 3300. [Google Scholar] [CrossRef] [PubMed]
- Nobari, H.; Silva, A.F.; Clemente, F.M.; Siahkouhian, M.; García-Gordillo, M.Á.; Adsuar, J.C.; Pérez-Gómez, J. Analysis of Fitness Status Variations of Under-16 Soccer Players Over a Season and Their Relationships with Maturational Status and Training Load. Front. Physiol. 2021, 11, 1840. [Google Scholar] [CrossRef]
- Ardigò, L.P.; Padulo, J.; Zuliani, A.; Capelli, C. A low-cost method for estimating energy expenditure during soccer refereeing. J. Sports Sci. 2015, 33, 1–6. [Google Scholar] [CrossRef]
- Hooper, S.L.; MacKinnon, L.T. Monitoring Overtraining in Athletes. Sports Med. 1995, 20, 321–327. [Google Scholar] [CrossRef]



| n | Age (yrs) | Height (cm) | Mass (kg) | Fat (%) | VO2max (mL·kg−1·min−1) | PHV (yrs) | Maturity Offset (yrs) |
|---|---|---|---|---|---|---|---|
| 26 | 13.3 ± 0.2 | 165.8 ± 11.7 | 50.7 ± 7.6 | 19.9 ± 6.6 | 44.2 ± 2.8 | 13.3 ± 0.5 | −0.01 ± 0.6 |
| Years | 2020 | 2021 | ||||||
|---|---|---|---|---|---|---|---|---|
| Mo | July | August | September | October | November | December | January | |
| W | 1 to 4 | 5 to 8 | 9 to 12 | 13 to 16 | 17 | 18 to 20 | 21 to 24 | 25 to 26 |
| Phase | Early-season | Mid-season | End-season | |||||
| Ma (n) | 3 | 3 | 1 | 1 | 1 | 3 | 4 | 2 |
| TS (n) | 13 | 13 | 13 | 11 | 3 | 9 | 11 | 6 |
| ADTS (min) | 2465.5 | 2390.5 | 2497.9 | |||||
| Variables | Season Period | Mean | SD | Comparison | Mean Difference | 95% CI | p | Hedge’s g | 95% CI | ||
|---|---|---|---|---|---|---|---|---|---|---|---|
| Lower | Upper | Lower | Upper | ||||||||
| wAWL (AU) | Ear-S | 1426.6 | 86.3 | Ear-S vs. Mid-S | −171.5 | −225.4 | −117.5 | ≤0.001 * | −1.9 | −2.6 | −1.1 |
| Mid-S | 1255.2 | 82.1 | Ear-S vs. End-S | −236.3 | −285.6 | −187.0 | ≤0.001 * | −2.8 | −3.7 | −2.0 | |
| End-S | 1190.3 | 66.4 | Mid-S vs. End-S | −64.8 | −112.6 | −17.0 | 0.004 * | −0.8 | −1.4 | −0.2 | |
| wCWL (AU) | Ear-S | 1387.0 | 115.4 | Ear-S vs. Mid-S | −141.1 | −204.0 | −78.3 | ≤0.001 * | −1.3 | −2.0 | −0.6 |
| Mid-S | 1245.9 | 77.2 | Ear-S vs. End-S | −183.8 | −244.9 | −122.6 | ≤0.001 * | −1.8 | −2.5 | −1.0 | |
| End-S | 1203.2 | 70.2 | Mid-S vs. End-S | −42.6 | −89.9 | 4.6 | 0.029 * | −0.5 | −1.2 | 0.1 | |
| wACWLR (AU) | Ear-S | 1.11 | 0.49 | Ear-S vs. Mid-S | −0.2 | −0.4 | 0.1 | 0.572 | −0.4 | −1.0 | 0.2 |
| Mid-S | 0.95 | 0.02 | Ear-S vs. End-S | −0.1 | −0.3 | 0.1 | <0.999 | −0.2 | −0.8 | 0.4 | |
| End-S | 1.02 | 0.04 | Mid-S vs. End-S | 0.1 | 0.04 | 0.1 | ≤0.001 * | 1.8 | 1.1 | 2.6 | |
| wTM (AU) | Ear-S | 3.72 | 0.59 | Ear-S vs. Mid-S | 1.4 | 1.0 | 1.8 | ≤0.001 * | 1.9 | 1.2 | 2.7 |
| Mid-S | 5.12 | 0.73 | Ear-S vs. End-S | 0.6 | 0.003 | 1.3 | 0.102 | 0.6 | −0.04 | 1.2 | |
| End-S | 4.36 | 1.27 | Mid-S vs. End-S | −0.8 | −1.4 | −0.1 | 0.049 * | −0.7 | −1.3 | −0.04 | |
| wTS (AU) | Ear-S | 5429.9 | 791.5 | Ear-S vs. Mid-S | 976.6 | 341.6 | 1611.6 | 0.001 * | 0.9 | 0.3 | 1.6 |
| Mid-S | 6406.5 | 1158.2 | Ear-S vs. End-S | −214.4 | −1031.8 | 603.0 | <0.999 | −0.2 | −0.8 | 0.5 | |
| End-S | 5215.5 | 1623.0 | Mid-S vs. End-S | −1191.0 | −2093.6 | −288.4 | 0.032 * | −0.8 | −1.4 | −0.1 | |
Publisher’s Note: MDPI stays neutral with regard to jurisdictional claims in published maps and institutional affiliations. |
© 2021 by the authors. Licensee MDPI, Basel, Switzerland. This article is an open access article distributed under the terms and conditions of the Creative Commons Attribution (CC BY) license (https://creativecommons.org/licenses/by/4.0/).
Share and Cite
Nobari, H.; Kharatzadeh, M.; Khalili, S.M.; Pérez-Gómez, J.; Ardigò, L.P. Fluctuations of Training Load Variables in Elite Soccer Players U-14 throughout the Competition Season. Healthcare 2021, 9, 1418. https://doi.org/10.3390/healthcare9111418
Nobari H, Kharatzadeh M, Khalili SM, Pérez-Gómez J, Ardigò LP. Fluctuations of Training Load Variables in Elite Soccer Players U-14 throughout the Competition Season. Healthcare. 2021; 9(11):1418. https://doi.org/10.3390/healthcare9111418
Chicago/Turabian StyleNobari, Hadi, Masoud Kharatzadeh, Sara Mahmoudzadeh Khalili, Jorge Pérez-Gómez, and Luca Paolo Ardigò. 2021. "Fluctuations of Training Load Variables in Elite Soccer Players U-14 throughout the Competition Season" Healthcare 9, no. 11: 1418. https://doi.org/10.3390/healthcare9111418
APA StyleNobari, H., Kharatzadeh, M., Khalili, S. M., Pérez-Gómez, J., & Ardigò, L. P. (2021). Fluctuations of Training Load Variables in Elite Soccer Players U-14 throughout the Competition Season. Healthcare, 9(11), 1418. https://doi.org/10.3390/healthcare9111418

