Comorbidities and Pregnancy-Related Risk Factors in Patients with Severe Maternal Morbidity: Application of a Validated Obstetrical Comorbidity Scoring System to a Surveillance-Identified Population
Abstract
1. Introduction
2. Materials and Methods
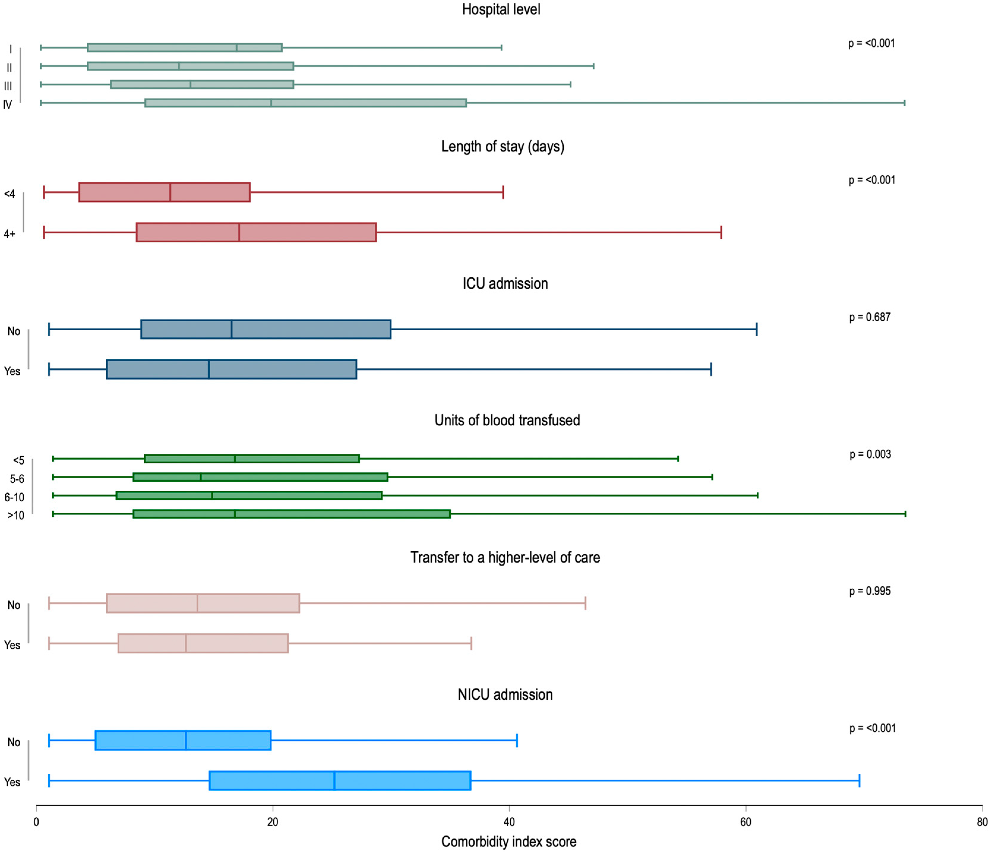
3. Results
4. Discussion
Strengths and Limitations
5. Conclusions
Author Contributions
Funding
Institutional Review Board Statement
Informed Consent Statement
Data Availability Statement
Conflicts of Interest
Abbreviations
| ACOG | American College of Obstetricians and Gynecologists |
| CDC | Centers for Disease Control and Prevention |
| CCU | Critical Care Unit |
| ICD | International Classification of Diseases |
| ICU | Intensive Care Unit |
| LEEP | Loop Electrosurgical Excision Procedure |
| NICU | Neonatal Intensive Care Unit |
| SMFM | Society for Maternal and Fetal Medicine |
| SMM | Severe Maternal Morbidity |
Appendix A
| Comorbidity (Index Weight) | Classification | ICD-10-CM (Leonard Index) | SMM Surveillance Conditions |
|---|---|---|---|
| Placenta accreta spectrum (27) | Comorbidity | O43.213, O43.223, O43.233 | Placenta accreta spectrum |
| Pulmonary hypertension (20) | Comorbidity | I27.0, I27.2 | Pulmonary hypertension |
| Chronic renal disease (17) | Comorbidity | O26.83, I12, I13, N03-N05, N07, N08, N11.1, N11.8, N11.9, N18, N25.0, N25.1, N25.81, N25.89, N25.9, N26.9 | Chronic renal disease |
| Cardiac disease, preexisting (14) | Comorbidity | I05-I09, I11-I13, I15, I16, I20, I25, I27.8, I30-I41, I44-I49, I50.22, I50.23, I50.32, I50.33, I50.42, I50.43, I50.812, I50.813 O99.41, O99.42, Q20-Q24 | Congenital and preexisting acquired cardiac disease including cardiac valvular disease, chronic congestive heart failure, chronic ischemic heart disease, myocardial infarction |
| HIV or AIDS (13) | Comorbidity | O98.7, B20 | HIV or AIDS |
| Preeclampsia with severe features (12) | Comorbidity | O14.1, O14.2, O11 | Preeclampsia with severe features, superimposed preeclampsia |
| Placental abruption (9) | Comorbidity | O45 | Placental abruption |
| Bleeding disorder, preexisting (9) | Comorbidity | D66, D67, D68.0-D68.6, D69 | Bleeding disorders including antiphospholipid syndrome, factor V Leiden, factor 11 deficiency, hemophilia, thrombocytopenia, Von Willebrand disease |
| Anemia, preexisting (9) | Comorbidity | O99.01, O99.02, D50, D55, D56, D58, D59, D57.1, D57.20, D57.3, D57.40, D57.80 | Preexisting anemia, thalassemia, sickle cell disease, sickle cell trait |
| Placenta previa, complete or partial (8) | Comorbidity | O44.03, O44.13, O44.23, O44.33 | Placenta previa |
| Neuromuscular disease (6) | Comorbidity | G40, G70 | Neuromuscular disease including epilepsy and myasthenia gravis |
| Asthma, acute or moderate-severe (5) | Comorbidity | O99.5, J45.21, J45.22, J45.31, J45.32, J45.4, J45.5, J45.901, J45.902 | Asthma |
| Preeclampsia without severe features or gestational hypertension (5) | Comorbidity | O13, O14.0, O14.9 | Preeclampsia without severe features, gestational hypertension, unspecified preeclampsia |
| Connective tissue or autoimmune disease (4) | Comorbidity | M30-M36 | Connective tissue disorders including anti-synthetase syndrome, Ehlers–Danlos syndrome, Sjogren’s syndrome, |
| Uterine fibroids (4) | Comorbidity | D25, O34.1 | Uterine fibroids |
| Substance use disorder (4) | Comorbidity | F10-F19, O99.31, O99.32 | Substance use disorder including use of the following substances during index pregnancy: alcohol, tobacco, cannabis, opioids, methamphetamines, prescription drugs (not as intended), opioid agonist therapy), other illicit substances |
| Gastrointestinal disease (3) | Comorbidity | K50-K52, K70-K77, K80-K83, K85-K87, K94, K95, O26.6 | Gastrointestinal diseases including cholestasis, fatty liver disease |
| Chronic hypertension (3) | Comorbidity | O10, O11, I10 | Chronic hypertension |
| Major mental health disorder (3) | Comorbidity | F06, F20-F25, F28-F34, F39, F40.0, F41, F43, F53, F60 | Major mental health disorders including adjustment disorder, anxiety, borderline personality disorder, depression, mood disorders, postpartum depression, post-traumatic stress disorder, schizophrenia |
| Preexisting diabetes mellitus (2) | Comorbidity | E08-E13, O24.0, O24.1, O24.3, O24.8, O24.9, Z79.4 | Type 1 diabetes, Type 2 diabetes, unspecified diabetes |
| Thyrotoxicosis (2) | Comorbidity | E05 | Thyrotoxicosis, hyperthyroid disorders |
| Gestational diabetes mellitus (1) | Comorbidity | O24.4 | Gestational diabetes mellitus |
| BMI (kg/m2) at delivery 40 or greater (1) | Comorbidity | Birth certificate—use Z68.4, E66.01, E66.2 if birth certificate not available | Pre-pregnancy BMI 40 or greater |
| Preterm birth (less than 37 weeks) (8) | Pregnancy-related condition | Z3A.20-Z3A.36 | Birth at gestational age < 37 weeks |
| Twin or multiple pregnancy (9) | Pregnancy-related condition | O30, O31, Z37.2-Z37.7 | Twin or higher order pregnancy |
| Previous cesarean birth (2) | Pregnancy-related condition | O34.21 | Previous cesarean birth |
| Maternal age 35 y or older (0) | Pregnancy-related condition | Birth certificate/Discharge record | Maternal age 35 years or older at admission |
References
- Fink, D.A.; Kilday, D.; Cao, Z.; Larson, K.; Smith, A.; Lipkin, C.; Perigard, R.; Marshall, R.; Deirmenjian, T.; Finke, A.; et al. Trends in Maternal Mortality and Severe Maternal Morbidity During Delivery-Related Hospitalizations in the United States, 2008 to 2021. JAMA Netw. Open 2023, 6, e2317641. [Google Scholar] [CrossRef]
- Wolfson, C.L.; Angelson, J.T.; Creanga, A. Is severe maternal morbidity a risk factor for postpartum hospitalization with mental health or substance use disorder diagnoses? Findings from a retrospective cohort study in Maryland: 2016–2019. Matern. Health Neonatol. Perinatol. 2025, 11, 1. [Google Scholar] [CrossRef]
- Garland, C.E.; Geller, S.E.; Koch, A.R. Adverse Delivery and Neonatal Outcomes Among Women with Severe Maternal Morbidity in Illinois, 2018–2019. J. Women’s Health 2024, 33, 163–170. [Google Scholar] [CrossRef]
- Mengistu, T.S.; Turner, J.M.; Flatley, C.; Fox, J.; Kumar, S. The Impact of Severe Maternal Morbidity on Perinatal Outcomes in High Income Countries: Systematic Review and Meta-Analysis. J. Clin. Med. 2020, 9, 2035. [Google Scholar] [CrossRef]
- Wolfson, C.; Qian, J.; Chin, P.; Downey, C.; Mattingly, K.J.; Jones-Beatty, K.; Olaku, J.; Qureshi, S.; Rhule, J.; Silldorff, D.; et al. Findings from Severe Maternal Morbidity Surveillance and Review in Maryland. JAMA Netw. Open 2022, 5, e2244077. [Google Scholar] [CrossRef]
- Geller, S.E.; Garland, C.E.; Horne, A.A. Statewide Severe Maternal Morbidity Review in Illinois. Obstet. Gynecol. 2021, 137, 41–48. [Google Scholar] [CrossRef] [PubMed]
- Fridman, M.; Korst, L.M.; Reynen, D.J.; Nicholas, L.A.; Greene, N.; Saeb, S.; Troyan, J.L.; Gregory, K.D. Using Potentially Preventable Severe Maternal Morbidity to Monitor Hospital Performance. Jt. Comm. J. Qual. Patient Saf. 2023, 49, 129–137. [Google Scholar] [CrossRef]
- Kern-Goldberger, A.R.; Howell, E.A.; Srinivas, S.K.; Levine, L.D. What we talk about when we talk about severe maternal morbidity: A call to action to critically review severe maternal morbidity as an outcome measure. Am. J. Obstet. Gynecol. MFM 2023, 5, 100882. [Google Scholar] [CrossRef] [PubMed]
- Grobman, W.A.M.; Bailit, J.L.; Rice, M.M.; Wapner, R.J.; Reddy, U.M.; Varner, M.W.; Thorp, J.M.J.; Leveno, K.J.; Caritis, S.N.; Iams, J.D.; et al. Frequency of and Factors Associated with Severe Maternal Morbidity. Obstet. Gynecol. 2014, 123, 804–810. [Google Scholar] [CrossRef]
- Leonard, S.A.; Main, E.K.; Carmichael, S.L. The contribution of maternal characteristics and cesarean delivery to an increasing trend of severe maternal morbidity. BMC Pregnancy Childbirth 2019, 19, 16. [Google Scholar] [CrossRef] [PubMed]
- Easter, S.R.; Bateman, B.T.; Sweeney, V.H.; Manganaro, K.; Lassey, S.C.; Gagne, J.J.; Robinson, J.N. A comorbidity-based screening tool to predict severe maternal morbidity at the time of delivery. Am. J. Obstet. Gynecol. 2019, 221, 271.e1–271.e10. [Google Scholar] [CrossRef]
- Leonard, S.A.; Kennedy, C.J.M.; Carmichael, S.L.; Lyell, D.J.; Main, E.K. An Expanded Obstetric Comorbidity Scoring System for Predicting Severe Maternal Morbidity. Obstet. Gynecol. 2020, 136, 440–449. [Google Scholar] [CrossRef] [PubMed]
- Leonard, S.A.; Main, E.K.; Lyell, D.J.; Carmichael, S.L.; Kennedy, C.J.; Johnson, C.; Mujahid, M.S. Obstetric comorbidity scores and disparities in severe maternal morbidity across marginalized groups. Am. J. Obstet. Gynecol. MFM 2022, 4, 100530. [Google Scholar] [CrossRef] [PubMed]
- Kilpatrick, S.K.; Ecker, J.L.; American College of Obstetricians and Gynecologists. Severe maternal morbidity: Screening and review. Am. J. Obstet. Gynecol. 2016, 215, B17–B22. [Google Scholar] [CrossRef] [PubMed]
- Main, E.K.; Abreo, A.; McNulty, J.; Gilbert, W.; McNally, C.; Poeltler, D.; Lanner-Cusin, K.; Fenton, D.; Gipps, T.; Melsop, K.; et al. Measuring severe maternal morbidity: Validation of potential measures. Am. J. Obstet. Gynecol. 2016, 214, 643.e1–643.e10. [Google Scholar] [CrossRef]
- Qian, J.; Wolfson, C.; Neale, D.; Johnson, C.T.; Atlas, R.; Sheffield, J.S.; Zadzielski, E.; Jones, M.M.; Creanga, A.A. Evaluating a pilot, facility-based severe maternal morbidity surveillance and review program in Maryland—An American College of Obstetricians and Gynecologists and Society for Maternal-Fetal Medicine Rx at work. Am. J. Obstet. Gynecol. MFM 2023, 5, 100888. [Google Scholar] [CrossRef]
- Liu, C.N.; Yu, F.B.; Xu, Y.Z.; Li, J.S.; Guan, Z.H.; Sun, M.N.; Liu, C.; Fang, H.; Chen, D.J. Prevalence and risk factors of severe postpartum hemorrhage: A retrospective cohort study. BMC Pregnancy Childbirth 2021, 21, 332. [Google Scholar] [CrossRef]
- Gambacorti-Passerini, Z.; Gimovsky, A.C.; Locatelli, A.; Berghella, V. Trial of labor after myomectomy and uterine rupture: A systematic review. Acta Obstet. Gynecol. Scand. 2016, 95, 724–734. [Google Scholar] [CrossRef]
- Tuuli, M.G.; Stout, M.J.; Young, O.M.; Woolfolk, C.L.; López, J.D.; Macones, G.A.; Cahill, A.G.; Rosenbloom, J.I. A Prediction Model for Severe Maternal Morbidity in Laboring Patients at Term. Am. J. Perinatol. 2019, 36, 8–14. [Google Scholar] [CrossRef]
- Howland, R.E.; Angley, M.; Won, S.H.; Wilcox, W.; Searing, H.; Liu, S.Y.; Johansson, E.W. Determinants of Severe Maternal Morbidity and Its Racial/Ethnic Disparities in New York City, 2008–2012. Matern. Child Health J. 2019, 23, 346–355. [Google Scholar] [CrossRef]
- Wang, E.; Glazer, K.; Howell, E.; Janevic, T. Social Determinants of Pregnancy-related Mortality and Morbidity in the United States: A Systematic Review. Obstet. Anesthesia Dig. 2020, 41, 12. [Google Scholar] [CrossRef]
- Maternal Health–Assessments, Referrals, and Reporting (Maryland Maternal Health Act of 2024), in HB1051/CH0799, M.G. Assembly, Editor. 2024. Available online: https://mgaleg.maryland.gov/mgawebsite/Legislation/Details/hb1051/?ys=2024rs (accessed on 17 September 2025).
- Binsted, A.C.S.; Saade, G.; Kawakita, T. External validation and comparison of four prediction scores for severe maternal morbidity. Am. J. Obstet. Gynecol. MFM 2024, 6, 101471. [Google Scholar] [CrossRef] [PubMed]
- Tavella, N.F.; Rosenberg, H.M.; Mills, A.; Owens, T.; Brustman, L.; Doulaveris, G.; Haberman, S.; Limaye, M.; Janevic, T.; Jessel, R.H.; et al. Examining associations between social vulnerability and maternal morbidity among a multicentre cohort of pregnancies complicated by placenta accreta spectrum disorder in New York City. BMJ Public Health 2024, 2, e001083. [Google Scholar] [CrossRef] [PubMed]
- Declercq, E.R.; Liu, C.-L.; Cabral, H.J.; Amutah-Onukagha, N.; Diop, H.; Mehta, P.K. Emergency Care Use During Pregnancy and Severe Maternal Morbidity. JAMA Netw. Open 2024, 7, e2439939. [Google Scholar] [CrossRef]
- Atwani, R.; Aziz, M.; Saade, G.; Reddy, U.; Kawakita, T. Maternal implications of fetal anomalies: A population-based cross-sectional study. Am. J. Obstet. Gynecol. MFM 2024, 6, 101440. [Google Scholar] [CrossRef]
- Lengerich, B.J.; Caruana, R.; Painter, I.; Weeks, W.B.; Sitcov, K.; Souter, V. Interpretable machine learning predicts postpartum hemorrhage with severe maternal morbidity in a lower-risk laboring obstetric population. Am. J. Obstet. Gynecol. MFM 2024, 6, 101391. [Google Scholar] [CrossRef]

| Characteristic | n | % |
|---|---|---|
| SMM Criteria | ||
| ICU/CCU Admission | 397 | 40.6 |
| Blood Transfusion | 343 | 35.1 |
| Both | 238 | 24.3 |
| SMM Occurred During Delivery Hospitalization | 774 | 79.1 |
| Timing of SMM | ||
| Antepartum | 230 | 23.5 |
| Intrapartum | 128 | 13.1 |
| Postpartum (<8 h of delivery) | 448 | 45.8 |
| Postpartum (8–72 h) | 80 | 8.2 |
| Postpartum (>72 h) | 92 | 9.4 |
| Maternal Age (years) | ||
| <20 | 26 | 2.7 |
| 20–24 | 110 | 11.2 |
| 25–29 | 177 | 18.1 |
| 30–34 | 271 | 27.7 |
| 35–39 | 275 | 28.1 |
| 40+ | 119 | 12.2 |
| Maternal Race/Ethnicity | ||
| Non-Hispanic Asian | 72 | 7.4 |
| Non-Hispanic Black | 434 | 44.4 |
| Non-Hispanic White | 308 | 31.5 |
| Hispanic | 133 | 13.6 |
| Multi-Race/Other | 17 | 1.7 |
| Unknown | 14 | 1.4 |
| Insurance | ||
| Public | 452 | 46.2 |
| Private | 466 | 47.6 |
| Military | 17 | 1.7 |
| Self-Pay/None | 26 | 2.7 |
| Unknown | 17 | 1.7 |
| Primary Cause of SMM | ||
| Obstetric Hemorrhage | 522 | 53.4 |
| Hypertensive Disorders of Pregnancy | 112 | 11.5 |
| Infection (non-COVID) | 84 | 8.6 |
| Cardiovascular Condition | 51 | 5.2 |
| Metabolic/Endocrine Condition | 32 | 3.3 |
| COVID-19 | 30 | 3.1 |
| Neurologic Condition | 25 | 2.6 |
| Pulmonary Condition | 24 | 2.5 |
| Gastrointestinal Disorder | 12 | 1.2 |
| Injury | 10 | 1.0 |
| Cancer | 9 | 0.9 |
| Other 1 | 32 | 3.3 |
| Total | Primary Cause of SMM | Timing | ||||||||
|---|---|---|---|---|---|---|---|---|---|---|
| Hemorrhage | HDP | Infection | CVD | p-Value * | Antepartum | Intrapartum/Early Postpartum | Late Postpartum | p-Value ** | ||
| N = 978 | N = 522 | N = 112 | N = 84 | N = 51 | N = 230 | N = 576 | N = 172 | |||
| Leonard Index Risk Factors | ||||||||||
| PAS | 77 (7.9%) | 76 (14.6%) | 0 (0.0%) | 0 (0.0%) | 0 (0.0%) | <0.001 | 0 (0.0%) | 73 (12.7%) | 4 (2.3%) | <0.001 |
| Pulmonary hypertension | 10 (1.0%) | 2 (0.4%) | 0 (0.0%) | 1 (1.2%) | 3 (5.9%) | <0.001 | 4 (1.7%) | 5 (0.9%) | 1 (0.6%) | 0.440 |
| Chronic renal disease | 14 (1.4%) | 7 (1.3%) | 4 (3.6%) | 1 (1.2%) | 0 (0.0%) | 0.262 | 3 (1.3%) | 7 (1.2%) | 4 (2.3%) | 0.550 |
| Cardiac disease | 41 (4.2%) | 13 (2.5%) | 4 (3.6%) | 2 (2.4%) | 11 (21.6%) | <0.001 | 15 (6.5%) | 17 (3.0%) | 9 (5.2%) | 0.056 |
| HIV/AIDS | 4 (0.4%) | 3 (0.6%) | 0 (0.0%) | 0 (0.0%) | 0 (0.0%) | 0.700 | 0 (0.0%) | 4 (0.7%) | 0 (0.0%) | 0.250 |
| Pre-E, severe | 189 (19.3%) | 54 (10.3%) | 87 (77.7%) | 5 (6.0%) | 4 (7.8%) | <0.001 | 43 (18.7%) | 103 (17.9%) | 43 (25.0%) | 0.110 |
| Placental abruption | 74 (7.6%) | 58 (11.1%) | 14 (12.5%) | 0 (0.0%) | 0 (0.0%) | <0.001 | 15 (6.5%) | 53 (9.2%) | 6 (3.5%) | 0.036 |
| Bleeding disorder | 27 (2.8%) | 16 (3.1%) | 3 (2.7%) | 1 (1.2%) | 1 (2.0%) | 0.781 | 5 (2.2%) | 19 (3.3%) | 3 (1.7%) | 0.450 |
| Anemia | 294 (30.1%) | 158 (30.3%) | 26 (23.2%) | 31 (36.9%) | 13 (25.5%) | 0.182 | 63 (27.4%) | 181 (31.4%) | 50 (29.1%) | 0.500 |
| Placenta previa | 56 (5.7%) | 51 (9.8%) | 2 (1.8%) | 1 (1.2%) | 0 (0.0%) | <0.001 | 8 (3.5%) | 45 (7.8%) | 3 (1.7%) | 0.003 |
| Neuromuscular | 33 (3.4%) | 6 (1.1%) | 2 (1.8%) | 1 (1.2%) | 0 (0.0%) | 0.808 | 15 (6.5%) | 15 (2.6%) | 3 (1.7%) | 0.009 |
| Asthma | 164 (16.8%) | 69 (13.2%) | 23 (20.5%) | 14 (16.7%) | 14 (27.5%) | 0.020 | 50 (21.7%) | 78 (13.5%) | 36 (20.9%) | 0.005 |
| Pre-E, non-severe/gHTN | 133 (13.6%) | 60 (11.5%) | 34 (30.4%) | 4 (4.8%) | 8 (15.7%) | <0.001 | 22 (9.6%) | 75 (13.0%) | 36 (20.9%) | 0.004 |
| Connective tissue or AI | 18 (1.8%) | 11 (2.1%) | 0 (0.0%) | 0 (0.0%) | 1 (2.0%) | 0.243 | 4 (1.7%) | 11 (1.9%) | 3 (1.7%) | 0.980 |
| Uterine fibroids | 75 (7.7%) | 54 (10.3%) | 8 (7.1%) | 3 (3.6%) | 2 (3.9%) | 0.095 | 5 (2.2%) | 58 (10.1%) | 12 (7.0%) | <0.001 |
| Substance use disorder | 139 (14.2%) | 56 (10.7%) | 20 (17.9%) | 14 (16.7%) | 13 (25.5%) | <0.001 | 53 (23.0%) | 66 (11.5%) | 20 (11.6%) | <0.001 |
| GI disorder | 37 (3.8%) | 16 (3.1%) | 5 (4.5%) | 5 (6.0%) | 3 (5.9%) | 0.459 | 9 (3.9%) | 21 (3.6%) | 7 (4.1%) | 0.960 |
| Chronic hypertension | 175 (17.9%) | 74 (14.2%) | 40 (35.7%) | 13 (15.5%) | 13 (25.5%) | <0.001 | 43 (18.7%) | 90 (15.6%) | 42 (24.4%) | 0.029 |
| Mental health disorder | 310 (31.7%) | 158 (30.3%) | 37 (33.0%) | 24 (28.6%) | 17 (33.3%) | 0.878 | 78 (33.9%) | 174 (30.2%) | 58 (33.7%) | 0.490 |
| Preexisting diabetes | 73 (7.5%) | 22 (4.2%) | 15 (13.4%) | 6 (7.1%) | 2 (3.9%) | <0.001 | 24 (10.4%) | 31 (5.4%) | 18 (10.5%) | 0.012 |
| Thyrotoxicosis | 12 (1.2%) | 6 (1.1%) | 1 (0.9%) | 0 (0.0%) | 0 (0.0%) | 0.666 | 2 (0.9%) | 6 (1.0%) | 4 (2.3%) | 0.350 |
| Gestational diabetes | 109 (11.1%) | 60 (11.5%) | 13 (11.6%) | 9 (10.7%) | 4 (7.8%) | 0.882 | 19 (8.3%) | 72 (12.5%) | 18 (10.5%) | 0.210 |
| BMI 40+ | 70 (7.2%) | 27 (5.2%) | 17 (15.2%) | 7 (8.3%) | 4 (7.8%) | <0.001 | 16 (7.0%) | 33 (5.7%) | 21 (12.2%) | 0.015 |
| Preterm birth | 313 (32.0%) | 145 (27.8%) | 60 (53.6%) | 21 (25.0%) | 15 (29.4%) | <0.001 | 65 (28.3%) | 203 (35.2%) | 45 (26.2%) | 0.031 |
| Multiple pregnancy | 58 (5.9%) | 27 (5.2%) | 11 (9.8%) | 4 (4.8%) | 4 (7.8%) | 0.253 | 14 (6.1%) | 36 (6.2%) | 8 (4.7%) | 0.730 |
| Prior cesarean delivery | 289 (29.6%) | 191 (36.6%) | 18 (16.1%) | 20 (23.8%) | 11 (21.6%) | <0.001 | 47 (20.4%) | 197 (34.2%) | 45 (26.2%) | <0.001 |
| Maternal age 35+ | 394 (40.3%) | 238 (45.6%) | 40 (35.7%) | 20 (23.8%) | 16 (31.4%) | <0.001 | 79 (34.3%) | 262 (45.5%) | 53 (30.8%) | <0.001 |
| No index comorbidities | 54 (5.5%) | 29 (5.6%) | 0 (0.0%) | 9 (10.7%) | 4 (7.8%) | 0.009 | 19 (8.3%) | 28 (4.9%) | 7 (4.1%) | 0.110 |
| Mean index score (SD) | 18.1 (15.0) | 18.2 (16.4) | 26.2 (11.5) | 11.8 (9.2) | 16.9 (15.0) | <0.001 | 15.7 (12.0) | 19.5 (16.4) | 16.8 (13.4) | 0.002 |
| Additional Risk Factors | ||||||||||
| Fetal macrosomia | 39 (4.0%) | 31 (5.9%) | 1 (0.9%) | 1 (1.2%) | 1 (2.0%) | 0.030 | 2 (0.9%) | 33 (5.7%) | 4 (2.3%) | 0.003 |
| FGR | 42 (4.3%) | 23 (4.4%) | 12 (10.7%) | 0 (0.0%) | 1 (2.0%) | 0.003 | 7 (3.0%) | 28 (4.9%) | 7 (4.1%) | 0.510 |
| Fetal congenital anomaly | 28 (2.9%) | 18 (3.4%) | 1 (0.9%) | 2 (2.4%) | 1 (2.0%) | 0.489 | 7 (3.0%) | 18 (3.1%) | 3 (1.7%) | 0.620 |
| IUFD/pregnancy loss | 89 (9.1%) | 56 (10.7%) | 11 (9.8%) | 11 (13.1%) | 3 (5.9%) | 0.607 | 32 (13.9%) | 46 (8.0%) | 11 (6.4%) | 0.012 |
| Myomectomy or LEEP | 46 (4.7%) | 34 (6.5%) | 5 (4.5%) | 1 (1.2%) | 3 (5.9%) | 0.241 | 2 (0.9%) | 37 (6.4%) | 7 (4.1%) | 0.003 |
| Sickle cell disease | 16 (1.6%) | 3 (0.6%) | 1 (0.9%) | 0 (0.0%) | 0 (0.0%) | 0.792 | 9 (3.9%) | 5 (0.9%) | 2 (1.2%) | 0.008 |
| Nulliparous | 277 (28.3%) | 135 (25.9%) | 48 (42.9%) | 25 (29.8%) | 16 (31.4%) | 0.005 | 71 (30.9%) | 152 (26.4%) | 54 (31.4%) | 0.270 |
| Hemorrhage in prior pregnancy | 59 (6.0%) | 48 (9.2%) | 3 (2.7%) | 1 (1.2%) | 1 (2.0%) | 0.003 | 7 (3.0%) | 46 (8.0%) | 6 (3.5%) | 0.009 |
| Use of ART | 104 (10.6%) | 70 (13.4%) | 9 (8.0%) | 2 (2.4%) | 6 (11.8%) | 0.017 | 11 (4.8%) | 75 (13.0%) | 18 (10.5%) | 0.003 |
| Social risk factors 1 | 83 (8.5%) | 29 (5.6%) | 9 (8.0%) | 12 (14.3%) | 3 (5.9%) | 0.030 | 33 (14.3%) | 36 (6.2%) | 14 (8.1%) | <0.001 |
| No or late prenatal care | 226 (23.1%) | 111 (21.3%) | 22 (19.6%) | 25 (29.8%) | 17 (33.3%) | 0.059 | 71 (30.9%) | 114 (19.8%) | 41 (23.8%) | <0.001 |
| Pre-SMM hospitalization | 556 (56.9%) | 250 (47.9%) | 69 (61.6%) | 61 (72.6%) | 36 (70.6%) | <0.001 | 142 (61.7%) | 242 (42.0%) | 172 (100.0%) | <0.001 |
| No insurance | 26 (2.7%) | 9 (1.7%) | 4 (3.6%) | 5 (6.0%) | 1 (2.0%) | 0.097 | 10 (4.3%) | 16 (2.8%) | 0 (0.0%) | 0.110 |
| PAS | Pul. Htn | Chronic Renal Disease | Cardiac Disease | HIV/ AIDS | Pre-E, Severe | Placental Abruption | Bleeding Disorder | Anemia | Placenta Previa | Neuromuscular | Asthma | Pre-E, Non-Severe/gHTN | Con. Tissue or AI Disease | Uterine Fibroids | SUD | GI Disorder | cHTN | Mental Health Disorder | Preexisting Diabetes | Thyrotoxicosis | GDM | BMI 40+ | Preterm Birth | Multiple Pregnancy | Prior Cesarean | Maternal Age 35+ | ||
|---|---|---|---|---|---|---|---|---|---|---|---|---|---|---|---|---|---|---|---|---|---|---|---|---|---|---|---|---|
| PAS | 1 | 0.01 | 0 | 0.01 | 0.04 | −0.09 | −0.07 | 0 | 0.07 | 0.24 | −0.03 | −0.01 | −0.05 | −0.04 | 0.14 | −0.03 | −0.04 | −0.02 | 0 | −0.05 | 0 | 0.01 | −0.07 | 0.22 | −0.06 | 0.31 | 0.08 | |
| Pul. htn | 0.01 | 1 | −0.01 | 0.33 | 0.15 | 0 | 0.01 | −0.02 | 0.09 | −0.03 | −0.02 | 0.06 | −0.04 | 0.14 | 0.01 | 0.02 | 0.03 | 0.09 | 0.04 | −0.03 | −0.01 | 0 | −0.03 | 0.02 | 0.06 | 0.05 | 0.02 | |
| Chronic renal disease | 0 | −0.01 | 1 | 0.1 | −0.01 | 0.16 | 0 | 0.03 | 0.01 | −0.03 | 0.03 | −0.01 | 0.03 | −0.02 | −0.03 | −0.05 | 0.02 | 0.17 | 0.03 | 0.16 | 0.14 | 0.04 | 0 | 0.1 | 0.01 | 0 | −0.01 | |
| Cardiac disease | 0.01 | 0.33 | 0.1 | 1 | 0.07 | 0 | −0.04 | 0.03 | 0.07 | −0.03 | 0.02 | 0.03 | −0.05 | 0.16 | 0 | 0.05 | 0.01 | 0.14 | 0.08 | 0.06 | −0.02 | −0.03 | 0.04 | 0.08 | −0.01 | 0.03 | 0.06 | |
| HIV/AIDS | 0.04 | 0.15 | −0.01 | 0.07 | 1 | −0.03 | −0.02 | −0.01 | −0.01 | 0.12 | −0.01 | −0.03 | −0.03 | 0.11 | −0.02 | −0.03 | −0.01 | 0.01 | −0.01 | −0.02 | −0.01 | −0.02 | −0.02 | 0.09 | −0.02 | 0.06 | 0.01 | |
| Pre-E, severe | −0.09 | 0 | 0.16 | 0 | −0.03 | 1 | 0.13 | −0.02 | −0.02 | −0.09 | 0.05 | 0.03 | −0.02 | −0.03 | 0 | 0.01 | 0.03 | 0.42 | 0.03 | 0.16 | 0.04 | 0.07 | 0.13 | 0.22 | 0.03 | −0.06 | −0.01 | |
| Placental abruption | −0.07 | 0.01 | 0 | −0.04 | −0.02 | 0.13 | 1 | −0.02 | −0.06 | 0.03 | −0.01 | −0.02 | −0.03 | −0.01 | −0.04 | 0.03 | −0.04 | −0.01 | 0 | −0.01 | −0.03 | 0.01 | −0.03 | 0.02 | −0.02 | −0.01 | −0.01 | |
| Bleeding disorder | 0 | −0.02 | 0.03 | 0.03 | −0.01 | −0.02 | −0.02 | 1 | 0.03 | −0.04 | −0.03 | −0.03 | 0.06 | 0.12 | 0.02 | −0.03 | 0 | −0.05 | 0.03 | −0.02 | 0.04 | −0.02 | −0.02 | −0.02 | −0.04 | 0.01 | −0.04 | |
| Anemia | 0.07 | 0.09 | 0.01 | 0.07 | −0.01 | −0.02 | −0.06 | 0.03 | 1 | −0.01 | −0.04 | 0.06 | −0.03 | 0.08 | 0.05 | 0.03 | −0.01 | 0.03 | 0.05 | −0.02 | −0.01 | −0.03 | 0.01 | 0.05 | 0.05 | 0.03 | −0.05 | |
| Placenta previa | 0.24 | −0.03 | −0.03 | −0.03 | 0.12 | −0.09 | 0.03 | −0.04 | −0.01 | 1 | −0.05 | 0.01 | −0.06 | −0.03 | 0.03 | −0.04 | −0.05 | −0.06 | 0.02 | 0.03 | 0.01 | 0.04 | 0 | 0.16 | −0.02 | 0.15 | 0.08 | |
| Neuro-muscular | −0.03 | −0.02 | 0.03 | 0.02 | −0.01 | 0.05 | −0.01 | −0.03 | −0.04 | −0.05 | 1 | 0.02 | 0.02 | −0.03 | −0.05 | 0.1 | −0.01 | 0.03 | 0.1 | 0.03 | −0.02 | 0.01 | 0.01 | 0.05 | 0 | −0.06 | −0.04 | |
| Asthma | −0.01 | 0.06 | −0.01 | 0.03 | −0.03 | 0.03 | −0.02 | −0.03 | 0.06 | 0.01 | 0.02 | 1 | 0.01 | 0.08 | −0.04 | 0.12 | 0.07 | 0.08 | 0.24 | 0 | 0 | −0.04 | 0.06 | 0.01 | 0.01 | −0.02 | −0.07 | |
| Pre-E, non-severe/gHTN | −0.05 | −0.04 | 0.03 | −0.05 | −0.03 | −0.02 | −0.03 | 0.06 | −0.03 | −0.06 | 0.02 | 0.01 | 1 | −0.03 | −0.02 | 0.01 | 0.02 | −0.05 | 0.08 | 0.02 | 0.01 | −0.02 | 0.06 | 0.07 | 0.08 | −0.1 | −0.03 | |
| Con. tissue or AI disease | −0.04 | 0.14 | −0.02 | 0.16 | 0.11 | −0.03 | −0.01 | 0.12 | 0.08 | −0.03 | −0.03 | 0.08 | −0.03 | 1 | −0.01 | −0.06 | 0.17 | 0.04 | 0.02 | −0.04 | 0.05 | −0.05 | −0.04 | 0 | −0.03 | −0.02 | 0 | |
| Uterine fibroids | 0.14 | 0.01 | −0.03 | 0 | −0.02 | 0 | −0.04 | 0.02 | 0.05 | 0.03 | −0.05 | −0.04 | −0.02 | −0.01 | 1 | −0.08 | 0.02 | 0.09 | −0.05 | −0.04 | 0 | 0.06 | −0.01 | 0 | 0.01 | 0.03 | 0.19 | |
| SUD | −0.03 | 0.02 | −0.05 | 0.05 | −0.03 | 0.01 | 0.03 | −0.03 | 0.03 | −0.04 | 0.1 | 0.12 | 0.01 | −0.06 | −0.08 | 1 | 0.01 | 0.02 | 0.18 | −0.05 | −0.02 | −0.07 | −0.03 | 0.04 | 0 | −0.02 | −0.13 | |
| GI disorder | −0.04 | 0.03 | 0.02 | 0.01 | −0.01 | 0.03 | −0.04 | 0 | −0.01 | −0.05 | −0.01 | 0.07 | 0.02 | 0.17 | 0.02 | 0.01 | 1 | −0.04 | 0.03 | −0.04 | 0.03 | 0.01 | −0.03 | 0.06 | 0.06 | −0.03 | 0.01 | |
| cHTN | −0.02 | 0.09 | 0.17 | 0.14 | 0.01 | 0.42 | −0.01 | −0.05 | 0.03 | −0.06 | 0.03 | 0.08 | −0.05 | 0.04 | 0.09 | 0.02 | −0.04 | 1 | 0.09 | 0.17 | 0.02 | 0.12 | 0.18 | 0.14 | 0.06 | 0.09 | 0.12 | |
| MH disorder | 0 | 0.04 | 0.03 | 0.08 | −0.01 | 0.03 | 0 | 0.03 | 0.05 | 0.02 | 0.1 | 0.24 | 0.08 | 0.02 | −0.05 | 0.18 | 0.03 | 0.09 | 1 | 0.02 | 0 | 0.05 | 0.07 | 0.06 | 0.02 | −0.03 | −0.1 | |
| Preexisting diabetes | −0.05 | −0.03 | 0.16 | 0.06 | −0.02 | 0.16 | −0.01 | −0.02 | −0.02 | 0.03 | 0.03 | 0 | 0.02 | −0.04 | −0.04 | −0.05 | −0.04 | 0.17 | 0.02 | 1 | 0 | 0.04 | 0.13 | 0.11 | −0.01 | 0.05 | 0.03 | |
| Thyrotoxicosis | 0 | −0.01 | 0.14 | −0.02 | −0.01 | 0.04 | −0.03 | 0.04 | −0.01 | 0.01 | −0.02 | 0 | 0.01 | 0.05 | 0 | −0.02 | 0.03 | 0.02 | 0 | 0 | 1 | −0.01 | 0.01 | 0.02 | −0.03 | 0.01 | 0 | |
| GDM | 0.01 | 0 | 0.04 | −0.03 | −0.02 | 0.07 | 0.01 | −0.02 | −0.03 | 0.04 | 0.01 | −0.04 | −0.02 | −0.05 | 0.06 | −0.07 | 0.01 | 0.12 | 0.05 | 0.04 | −0.01 | 1 | 0.15 | 0.03 | −0.01 | 0.02 | 0.14 | |
| BMI 40+ | −0.07 | −0.03 | 0 | 0.04 | −0.02 | 0.13 | −0.03 | −0.02 | 0.01 | 0 | 0.01 | 0.06 | 0.06 | −0.04 | −0.01 | −0.03 | −0.03 | 0.18 | 0.07 | 0.13 | 0.01 | 0.15 | 1 | 0.06 | 0.06 | 0.05 | 0.01 | |
| Preterm birth | 0.22 | 0.02 | 0.1 | 0.08 | 0.09 | 0.22 | 0.02 | −0.02 | 0.05 | 0.16 | 0.05 | 0.01 | 0.07 | 0 | 0 | 0.04 | 0.06 | 0.14 | 0.06 | 0.11 | 0.02 | 0.03 | 0.06 | 1 | 0.16 | 0.18 | 0.04 | |
| Multiple pregnancy | −0.06 | 0.06 | 0.01 | −0.01 | −0.02 | 0.03 | −0.02 | −0.04 | 0.05 | −0.02 | 0 | 0.01 | 0.08 | −0.03 | 0.01 | 0 | 0.06 | 0.06 | 0.02 | −0.01 | −0.03 | −0.01 | 0.06 | 0.16 | 1 | −0.03 | −0.01 | |
| Prior cesarean | 0.31 | 0.05 | 0 | 0.03 | 0.06 | −0.06 | −0.01 | 0.01 | 0.03 | 0.15 | −0.06 | −0.02 | −0.1 | −0.02 | 0.03 | −0.02 | −0.03 | 0.09 | −0.03 | 0.05 | 0.01 | 0.02 | 0.05 | 0.18 | −0.03 | 1 | 0.08 | |
| Maternal age 35+ | 0.08 | 0.02 | −0.01 | 0.06 | 0.01 | −0.01 | −0.01 | −0.04 | −0.05 | 0.08 | −0.04 | −0.07 | −0.03 | 0 | 0.19 | −0.13 | 0.01 | 0.12 | −0.1 | 0.03 | 0 | 0.14 | 0.01 | 0.04 | −0.01 | 0.08 | 1 | |
| Correlation coefficient (r) | ||||||||||||||||||||||||||||
| −0.8 | −0.4 | −0.2 | 0.0 | 0.2 | 0.4 | 0.8 | ||||||||||||||||||||||
| Macrosomia | FGR | Fetal Congenital Anomaly | Pregnancy Loss/FD | LEEP or Myomectomy | Sickle Cell Disease | Nulliparous | Prior Hemorrhage | Use of ART | Social Risk Factors | Late or No Prenatal Care | Pre-SMM Hops. | No Health Insurance | ||||
|---|---|---|---|---|---|---|---|---|---|---|---|---|---|---|---|---|
| PAS | −0.06 | 0.02 | 0.05 | −0.04 | 0.19 | −0.04 | −0.11 | 0.12 | 0.14 | −0.04 | −0.05 | 0.00 | 0.00 | |||
| Pulmonary hypertension | −0.02 | −0.02 | −0.02 | 0.01 | 0.03 | 0.24 | 0.01 | −0.03 | 0.00 | −0.03 | 0.00 | 0.06 | −0.02 | |||
| Chronic renal disease | −0.03 | 0.07 | 0.03 | −0.04 | −0.03 | −0.02 | 0.03 | −0.03 | −0.01 | −0.04 | −0.04 | 0.06 | 0.04 | |||
| Cardiac disease | −0.04 | 0.01 | 0.03 | −0.01 | 0.00 | 0.05 | −0.04 | −0.01 | −0.02 | −0.01 | 0.01 | 0.09 | −0.03 | |||
| HIV/AIDS | −0.01 | −0.01 | −0.01 | −0.02 | −0.01 | −0.01 | −0.04 | −0.02 | 0.03 | −0.02 | 0.00 | −0.01 | −0.01 | |||
| Preeclampsia, severe | −0.03 | 0.12 | −0.02 | 0.03 | −0.04 | −0.02 | 0.10 | 0.00 | −0.06 | 0.02 | −0.02 | 0.08 | −0.01 | |||
| Placental abruption | −0.04 | 0.05 | 0.00 | 0.36 | 0.04 | −0.04 | −0.02 | −0.02 | −0.08 | 0.01 | −0.02 | −0.04 | 0.03 | |||
| Bleeding disorder | 0.00 | 0.00 | −0.03 | 0.00 | 0.03 | −0.02 | 0.00 | 0.07 | 0.01 | −0.05 | −0.01 | −0.01 | −0.03 | |||
| Anemia | −0.02 | 0.00 | 0.01 | −0.02 | 0.05 | 0.20 | −0.02 | 0.06 | −0.08 | 0.04 | 0.02 | 0.07 | −0.02 | |||
| Placenta previa | −0.03 | −0.03 | 0.01 | −0.06 | 0.01 | −0.03 | −0.12 | 0.09 | 0.06 | −0.03 | −0.04 | 0.04 | −0.01 | |||
| Neuromuscular | −0.01 | 0.02 | 0.00 | −0.01 | −0.01 | −0.03 | −0.03 | 0.00 | −0.01 | 0.14 | 0.00 | 0.06 | −0.03 | |||
| Asthma | −0.03 | −0.02 | 0.01 | 0.01 | 0.00 | 0.07 | 0.01 | 0.01 | −0.08 | 0.07 | 0.03 | 0.14 | −0.06 | |||
| Preeclampsia, non-severe/gHTN | 0.00 | 0.01 | −0.01 | −0.08 | 0.00 | 0.02 | 0.12 | −0.06 | 0.06 | 0.01 | 0.03 | 0.10 | −0.01 | |||
| Connective tissue or AI disease | 0.01 | −0.03 | −0.02 | −0.01 | −0.03 | −0.02 | −0.02 | 0.06 | −0.02 | −0.04 | −0.02 | 0.02 | −0.02 | |||
| Uterine fibroids | 0.00 | −0.04 | 0.00 | −0.02 | 0.53 | −0.04 | 0.11 | 0.10 | 0.17 | −0.07 | −0.08 | −0.05 | −0.02 | |||
| Substance use disorder | −0.08 | 0.04 | −0.05 | 0.10 | −0.06 | 0.07 | −0.07 | −0.01 | −0.14 | 0.24 | 0.21 | 0.05 | −0.05 | |||
| GI disorder | 0.01 | −0.02 | 0.00 | −0.02 | −0.02 | −0.03 | 0.00 | −0.05 | 0.04 | 0.00 | −0.03 | 0.02 | 0.00 | |||
| Chronic hypertension | −0.03 | 0.04 | 0.00 | −0.02 | 0.06 | −0.06 | −0.03 | 0.08 | −0.05 | 0.01 | 0.01 | 0.12 | −0.01 | |||
| Mental health disorder | 0.02 | −0.03 | −0.02 | −0.02 | −0.06 | 0.02 | 0.04 | −0.04 | −0.05 | 0.07 | 0.00 | 0.10 | −0.10 | |||
| Preexisting diabetes | 0.03 | 0.05 | −0.02 | −0.04 | −0.02 | 0.00 | −0.02 | −0.02 | −0.04 | 0.07 | 0.01 | 0.10 | 0.01 | |||
| Thyrotoxicosis | −0.02 | −0.02 | −0.02 | 0.00 | −0.03 | −0.02 | −0.03 | 0.01 | −0.01 | 0.00 | −0.04 | 0.06 | 0.04 | |||
| Gestational diabetes | 0.05 | −0.01 | −0.02 | −0.06 | 0.04 | −0.02 | 0.01 | −0.02 | 0.02 | −0.03 | −0.07 | 0.01 | 0.07 | |||
| BMI 40+ | 0.00 | −0.04 | −0.02 | −0.05 | −0.02 | −0.04 | 0.00 | 0.00 | −0.02 | −0.02 | 0.01 | 0.06 | 0.01 | |||
| Preterm birth | −0.10 | 0.09 | 0.01 | −0.20 | 0.03 | −0.02 | −0.08 | 0.04 | 0.00 | 0.03 | −0.02 | 0.13 | −0.01 | |||
| Multiple pregnancy | −0.05 | 0.08 | 0.04 | 0.02 | 0.05 | 0.04 | 0.05 | 0.01 | 0.06 | 0.01 | −0.03 | 0.03 | −0.04 | |||
| Prior cesarean delivery | 0.05 | −0.03 | 0.04 | 0.00 | 0.03 | −0.03 | −0.40 | 0.14 | −0.04 | −0.01 | 0.01 | 0.00 | 0.01 | |||
| Maternal age 35+ | 0.04 | −0.02 | 0.08 | −0.01 | 0.17 | −0.04 | −0.11 | −0.01 | 0.27 | −0.11 | −0.05 | −0.09 | −0.05 | |||
| Macrosomia | 1.00 | −0.04 | −0.04 | −0.06 | −0.02 | −0.03 | 0.01 | 0.04 | 0.05 | −0.02 | −0.05 | −0.08 | 0.03 | |||
| FGR | −0.04 | 1.00 | 0.06 | 0.03 | −0.02 | −0.03 | 0.01 | 0.01 | −0.02 | 0.01 | −0.03 | −0.05 | 0.00 | |||
| Fetal congenital anomaly | −0.04 | 0.06 | 1.00 | 0.04 | 0.05 | −0.02 | −0.04 | −0.02 | 0.04 | −0.05 | −0.03 | −0.01 | −0.03 | |||
| Pregnancy loss/IUFD | −0.06 | 0.03 | 0.04 | 1.00 | 0.03 | −0.04 | −0.03 | −0.01 | −0.05 | 0.08 | 0.05 | −0.02 | 0.02 | |||
| LEEP or myomectomy | −0.02 | −0.02 | 0.05 | 0.03 | 1.00 | −0.03 | 0.03 | 0.07 | 0.26 | −0.07 | −0.09 | −0.02 | −0.04 | |||
| Sickle cell disease | −0.03 | −0.03 | −0.02 | −0.04 | −0.03 | 1.00 | 0.04 | −0.03 | −0.05 | −0.01 | 0.01 | 0.11 | −0.02 | |||
| Nulliparous | 0.01 | 0.01 | −0.04 | −0.03 | 0.03 | 0.04 | 1.00 | −0.15 | 0.10 | 0.02 | −0.07 | −0.04 | −0.04 | |||
| Prior hemorrhage | 0.04 | 0.01 | −0.02 | −0.01 | 0.07 | −0.03 | −0.15 | 1.00 | 0.00 | −0.03 | 0.01 | −0.04 | −0.01 | |||
| Use of ART | 0.05 | −0.02 | 0.04 | −0.05 | 0.26 | −0.05 | 0.10 | 0.00 | 1.00 | −0.11 | −0.14 | 0.01 | −0.06 | |||
| Social risk factors | −0.02 | 0.01 | −0.05 | 0.08 | −0.07 | −0.01 | 0.02 | −0.03 | −0.11 | 1.00 | 0.15 | 0.06 | 0.05 | |||
| Late or no prenatal care | −0.05 | −0.03 | −0.03 | 0.05 | −0.09 | 0.01 | −0.07 | 0.01 | −0.14 | 0.15 | 1.00 | −0.05 | 0.07 | |||
| Pre-SMM hospitalization | −0.08 | −0.05 | −0.01 | −0.02 | −0.02 | 0.11 | −0.04 | −0.04 | 0.01 | 0.06 | −0.05 | 1.00 | 0.04 | |||
| No health insurance | 0.03 | 0.00 | −0.03 | 0.02 | −0.04 | −0.02 | −0.04 | −0.01 | −0.06 | 0.05 | 0.07 | 0.04 | 1.00 | |||
| Correlation coefficient (r) | ||||||||||||||||
| −0.8 | −0.4 | −0.2 | 0.0 | 0.2 | 0.4 | 0.8 | ||||||||||
Disclaimer/Publisher’s Note: The statements, opinions and data contained in all publications are solely those of the individual author(s) and contributor(s) and not of MDPI and/or the editor(s). MDPI and/or the editor(s) disclaim responsibility for any injury to people or property resulting from any ideas, methods, instructions or products referred to in the content. |
© 2025 by the authors. Licensee MDPI, Basel, Switzerland. This article is an open access article distributed under the terms and conditions of the Creative Commons Attribution (CC BY) license (https://creativecommons.org/licenses/by/4.0/).
Share and Cite
Wolfson, C.; Angelson, J.T.; Forrest, A.D.; Michos, E.D.; Ahmed, S.; Aina-Mumuney, A.; Creanga, A.A. Comorbidities and Pregnancy-Related Risk Factors in Patients with Severe Maternal Morbidity: Application of a Validated Obstetrical Comorbidity Scoring System to a Surveillance-Identified Population. Healthcare 2025, 13, 2351. https://doi.org/10.3390/healthcare13182351
Wolfson C, Angelson JT, Forrest AD, Michos ED, Ahmed S, Aina-Mumuney A, Creanga AA. Comorbidities and Pregnancy-Related Risk Factors in Patients with Severe Maternal Morbidity: Application of a Validated Obstetrical Comorbidity Scoring System to a Surveillance-Identified Population. Healthcare. 2025; 13(18):2351. https://doi.org/10.3390/healthcare13182351
Chicago/Turabian StyleWolfson, Carrie, Jessica Tsipe Angelson, Alexandra D. Forrest, Erin D. Michos, Saifuddin Ahmed, Abimbola Aina-Mumuney, and Andreea A. Creanga. 2025. "Comorbidities and Pregnancy-Related Risk Factors in Patients with Severe Maternal Morbidity: Application of a Validated Obstetrical Comorbidity Scoring System to a Surveillance-Identified Population" Healthcare 13, no. 18: 2351. https://doi.org/10.3390/healthcare13182351
APA StyleWolfson, C., Angelson, J. T., Forrest, A. D., Michos, E. D., Ahmed, S., Aina-Mumuney, A., & Creanga, A. A. (2025). Comorbidities and Pregnancy-Related Risk Factors in Patients with Severe Maternal Morbidity: Application of a Validated Obstetrical Comorbidity Scoring System to a Surveillance-Identified Population. Healthcare, 13(18), 2351. https://doi.org/10.3390/healthcare13182351

