A Comprehensive Workplace Exercise Intervention to Reduce Musculoskeletal Pain and Improve Functional Capacity in Office Workers: A Randomized Controlled Study
Abstract
1. Introduction
2. Materials and Methods
2.1. Participants
2.2. Study Design—Procedure
2.3. Intervention
2.4. Measurements
2.5. Statistical Analysis
3. Results
3.1. Musculoskeletal Pains
3.2. Flexibility and Balance
3.2.1. Flexibility (Sit-and-Reach Test and Back-Scratch Test)
3.2.2. Balance (Single-Limb Stance Test and Timed Up-and-Go Test)
3.3. Strength
4. Discussion
5. Conclusions
Supplementary Materials
Author Contributions
Funding
Institutional Review Board Statement
Informed Consent Statement
Data Availability Statement
Acknowledgments
Conflicts of Interest
References
- Employed Population | CEDEFOP (europa.eu). Available online: https://www.cedefop.europa.eu/en/tools/skills-intelligence/employed-population?year=2022&country=EU#1 (accessed on 20 March 2024).
- Edwardson, C.L.; Maylor, B.D.; Biddle, S.J.; Clemes, S.A.; Cox, E.; Davies, M.J.; Dunstan, D.W.; Eborall, H.; Granat, M.H.; Gray, L.J.; et al. A multicomponent intervention to reduce daily sitting time in office workers: The SMART Work & Life three-arm cluster RCT. Public Health Res. 2023, 11, 1–229. [Google Scholar] [CrossRef] [PubMed]
- Karatrantou, K.; Gerodimos, V. A comprehensive wellness profile in sedentary office employees: Health, musculoskeletal pains, functional capacity, and physical fitness indices. Work 2023, 74, 1481–1489. [Google Scholar] [CrossRef] [PubMed]
- Mann, S.; Hamad, A.H.; Kumbhare, D. The Problem of Sedentary Behaviour in the Office Workspace: A Structured Exercise Program for Primary Prevention. J. Nov. Physiother. 2018, 8, 392. [Google Scholar] [CrossRef]
- Parry, S.; Straker, L. The contribution of office work to sedentary behaviour associated risk. BMC Public Health 2013, 13, 296. [Google Scholar] [CrossRef] [PubMed]
- Centers for Disease Control and Prevention—CDC. Steps to Wellness: A Guide to Implementing the 2008 Physical Activity Guidelines for Americans in the Workplace; U.S. Department of Health and Human Services: Atlanta, GA, USA, 2012. [Google Scholar]
- Chenoweth, D.H. Worksite Health Promotion, 3rd ed.; Human Kinetics: Champaign, IL, USA, 2011. [Google Scholar]
- Okezue, O.C.; Anamezie, T.H.; Nene, J.J.; Okwudili, J.D. Work-Related Musculoskeletal Disorders among Office Workers in Higher Education Institutions: A Cross-Sectional Study. Ethiop. J. Health Sci. 2020, 30, 715–724. [Google Scholar] [CrossRef] [PubMed]
- Mohammadipour, F.; Pourranjbar, M.; Naderi, S.; Rafie, F. Work-related Musculoskeletal Disorders in Iranian Office Workers: Prevalence and Risk Factors. J. Med. Life 2018, 11, 328–333. [Google Scholar] [CrossRef] [PubMed]
- Putsa, B.; Jalayondeja, W.; Mekhora, K.; Bhuanantanondh, P.; Jalayondeja, C. Factors associated with reduced risk of musculoskeletal disorders among office workers: A cross-sectional study 2017 to 2020. BMC Public Health 2022, 22, 1503. [Google Scholar] [CrossRef] [PubMed]
- Demissie, B.; Bayih, E.T.; Demmelash, A.A. A systematic review of work-related musculoskeletal disorders and risk factors among computer users. Heliyon 2024, 10, e25075. [Google Scholar] [CrossRef] [PubMed]
- European Agency for Safety and Health at Work. Work-Related Musculoskeletal Disorders: Prevalence, Costs and Demographics in the EU European Risk Observatory Report; Publications Office of the European Union: Luxembourg, 2019. [Google Scholar]
- Bevan, S. Economic impact of musculoskeletal disorders (MSDs) on work in Europe. Best Pract. Res. Clin. Rheumatol. 2015, 29, 356–373. [Google Scholar] [CrossRef] [PubMed]
- Cammarota, A. The European commission initiative on WRMSDs: Recent developments. In Proceedings of the EUROFOUND Conference on Musculoskeletal Disorders, Lisbon, Portugal, 11–12 October 2007; pp. 11–12. [Google Scholar]
- Fortún-Rabadán, R.; Jiménez-Sánchez, C.; Flores-Yaben, O.; Bellosta-López, P. Workplace physiotherapy for musculoskeletal pain-relief in office workers: A pilot study. J. Educ. Health Promot. 2021, 10, 75. [Google Scholar] [CrossRef] [PubMed]
- Frutiger, M.; Borotkanics, R. Systematic Review and Meta-Analysis Suggest Strength Training and Workplace Modifications May Reduce Neck Pain in Office Workers. Pain. Pract. 2021, 21, 100–131. [Google Scholar] [CrossRef] [PubMed]
- Gobbo, S.; Bullo, V.; Bergamo, M.; Duregon, F.; Vendramin, B.; Battista, F.; Roma, E.; Bocalini, D.S.; Rica, R.L.; Alberton, C.L.; et al. Physical Exercise Is Confirmed to Reduce Low Back Pain Symptoms in Office Workers: A Systematic Review of the Evidence to Improve Best Practices in the Workplace. J. Funct. Morphol. Kinesiol. 2019, 4, 43. [Google Scholar] [CrossRef] [PubMed]
- Tersa-Miralles, C.; Bravo, C.; Bellon, F.; Pastells-Peiró, R.; Rubinat Arnaldo, E.; Rubí-Carnacea, F. Effectiveness of workplace exercise interventions in the treatment of musculoskeletal disorders in office workers: A systematic review. BMJ Open 2022, 12, e054288. [Google Scholar] [CrossRef] [PubMed]
- Aegerter, A.M.; Deforth, M.; Volken, T.; Johnston, V.; Luomajoki, H.; Dressel, H.; Dratva, J.; Ernst, M.J.; Distler, O.; Brunner, B.; et al. A Multi-component Intervention (NEXpro) Reduces Neck Pain-Related Work Productivity Loss: A Randomized Controlled Trial Among Swiss Office Workers. J. Occup. Rehabil. 2023, 33, 288–300. [Google Scholar] [CrossRef] [PubMed]
- Andersen, C.H.; Jensen, R.H.; Dalager, T.; Zebis, M.K.; Sjøgaard, G.; Andersen, L.L. Effect of resistance training on headache symptoms in adults: Secondary analysis of a RCT. Musculoskelet. Sci. Pract. 2017, 32, 38–43. [Google Scholar] [CrossRef] [PubMed]
- Andersen, C.H.; Andersen, L.L.; Zebis, M.K.; Sjøgaard, G. Effect of scapular function training on chronic pain in the neck/shoulder region: A randomized controlled trial. J. Occup. Rehabil. 2014, 24, 316–324. [Google Scholar] [CrossRef] [PubMed]
- Baros, F.G.; Cabral, A.M.; Carreira Moreira, R.F.; de Oliveira Sato, T. Does adherence to workplace-based exercises alter physical capacity, pain intensity and productivity? Eur. J. Physiother. 2019, 21, 83–90. [Google Scholar] [CrossRef]
- Gram, B.; Andersen, C.; Zebis, M.K.; Bredahl, T.; Pedersen, M.T.; Mortensen, O.S.; Jensen, R.H.; Andersen, L.L.; Sjøgaard, G. Effect of training supervision on effectiveness of strength training for reducing neck/shoulder pain and headache in office workers: Cluster randomized controlled trial. Biomed. Res. Int. 2014, 2014, 693013. [Google Scholar] [CrossRef] [PubMed]
- Karatrantou, K.; Gerodimos, V.; Manouras, N.; Vasilopoulou, T.; Melissopoulou, A.; Mesiakaris, A.F.; Theodorakis, Y. Health-Promoting Effects of a Concurrent Workplace Training Program in Inactive Office Workers (HealPWorkers): A Randomized Controlled Study. Am. J. Health Promot. 2020, 34, 376–386. [Google Scholar] [CrossRef]
- Karatrantou, K.; Batatolis, C.; Chatzigiannis, P.; Vasilopoulou, T.; Melissopoulou, A.; Ioakimidis, P.; Gerodimos, V. An Enjoyable Workplace Combined Exercise Program for Health Promotion in Trained Employees: Yoga, Pilates, and Circuit Strength Training. Sports 2023, 11, 84. [Google Scholar] [CrossRef] [PubMed]
- Dalager, T.; Welch, A.; O’Leary, S.P.; Johnston, V.; Sjøgaard, G. Clinically Relevant Decreases in Neck/Shoulder Pain Among Office Workers Are Associated With Strength Training Adherence and Exercise Compliance: Explorative Analyses From a Randomized Controlled Trial. Phys. Ther. 2023, 103, pzac166. [Google Scholar] [CrossRef] [PubMed]
- Dalager, T.; Justesen, J.B.; Sjøgaard, G. Intelligent Physical Exercise Training in a Workplace Setting Improves Muscle Strength and Musculoskeletal Pain: A Randomized Controlled Trial. Biomed. Res. Int. 2017, 2017, 7914134. [Google Scholar] [CrossRef] [PubMed]
- del Pozo-Cruz, B.; del Pozo-Cruz, J.; Adsuar, J.C.; Parraca, J.; Gusi, N. Reanalysis of a tailored web-based exercise programme for office workers with sub-acute low back pain: Assessing the stage of change in behaviour. Psychol. Health Med. 2013, 18, 687–697. [Google Scholar] [CrossRef] [PubMed]
- Holzgreve, F.; Maltry, L.; Hänel, J.; Schmidt, H.; Bader, A.; Frei, M.; Filmann, N.; Groneberg, D.A.; Ohlendorf, D.; van Mark, A. The Office Work and Stretch Training (OST) Study: An Individualized and Standardized Approach to Improve the Quality of Life in Office Workers. Int. J. Environ. Res. Public Health 2020, 17, 4522. [Google Scholar] [CrossRef] [PubMed]
- Johnston, V.; Chen, X.; Welch, A.; Sjøgaard, G.; Comans, T.A.; McStea, M.; Straker, L.; Melloh, M.; Pereira, M.; O’Leary, S. A cluster-randomized trial of workplace ergonomics and neck-specific exercise versus ergonomics and health promotion for office workers to manage neck pain—A secondary outcome analysis. BMC Musculoskelet. Disord. 2021, 22, 68. [Google Scholar] [CrossRef] [PubMed]
- Kaeding, T.S.; Karch, A.; Schwarz, R.; Flor, T.; Wittke, T.C.; Kück, M.; Böselt, G.; Tegtbur, U.; Stein, L. Whole-body vibration training as a workplace-based sports activity for employees with chronic low-back pain. Scand. J. Med. Sci. Sports 2017, 27, 2027–2039. [Google Scholar] [CrossRef] [PubMed]
- Lee, J.; Lee, M.; Lim, T.; Kim, T.; Kim, S.; Suh, D.; Lee, S.; Yoon, B. Effectiveness of an application-based neck exercise as a pain management tool for office workers with chronic neck pain and functional disability: A pilot randomized trial. Eur. J. Integr. Med. 2017, 12, 87–92. [Google Scholar] [CrossRef]
- Macedo, A.C.; Trindade, C.S.; Brito, A.P.; Socorro Dantas, M. On the effects of a workplace fitness program upon pain perception: A case study encompassing office workers in a Portuguese context. J. Occup. Rehabil. 2011, 21, 228–233. [Google Scholar] [CrossRef] [PubMed]
- Pereira, M.; Comans, T.; Sjøgaard, G.; Straker, L.; Melloh, M.; O’Leary, S.; Chen, X.; Johnston, V. The impact of workplace ergonomics and neck-specific exercise versus ergonomics and health promotion interventions on office worker productivity: A cluster-randomized trial. Scand. J. Work Environ. Health 2019, 45, 42–52. [Google Scholar] [CrossRef] [PubMed]
- Saeterbakken, A.H.; Makrygiannis, P.; Stien, N.; Solstad, T.E.J.; Shaw, M.; Andersen, V.; Pedersen, H. Dose-response of resistance training for neck-and shoulder pain relief: A workplace intervention study. BMC Sports Sci. Med. Rehabil. 2020, 12, 8. [Google Scholar] [CrossRef] [PubMed]
- Shariat, A.; Cleland, J.A.; Danaee, M.; Kargarfard, M.; Sangelaji, B.; Tamrin, S.B.M. Effects of stretching exercise training and ergonomic modifications on musculoskeletal discomforts of office workers: A randomized controlled trial. Braz. J. Phys. Ther. 2018, 22, 144–153. [Google Scholar] [CrossRef] [PubMed]
- Tsuboi, Y.; Oka, T.; Nakatsuka, K.; Isa, T.; Ono, R. Effectiveness of workplace active rest programme on low back pain in office workers: A stepped-wedge cluster randomised controlled trial. BMJ Open 2021, 11, e040101. [Google Scholar] [CrossRef] [PubMed]
- Tunwattanapong, P.; Kongkasuwan, R.; Kuptniratsaikul, V. The effectiveness of a neck and shoulder stretching exercise program among office workers with neck pain: A randomized controlled trial. Clin. Rehabil. 2016, 30, 64–72. [Google Scholar] [CrossRef] [PubMed]
- Villanueva, A.; Rabal-Pelay, J.; Berzosa, C.; Gutiérrez, H.; Cimarras-Otal, C.; Lacarcel-Tejero, B.; Bataller-Cervero, A.V. Effect of a Long Exercise Program in the Reduction of Musculoskeletal Discomfort in Office Workers. Int. J. Environ. Res. Public Health 2020, 17, 9042. [Google Scholar] [CrossRef] [PubMed]
- Yaghoubitajani, Z.; Gheitasi, M.; Bayattork, M.; Andersen, L.L. Corrective exercises administered online vs at the workplace for pain and function in the office workers with upper crossed syndrome: Randomized controlled trial. Int. Arch. Occup. Environ. Health 2022, 95, 1703–1718. [Google Scholar] [CrossRef] [PubMed]
- Habibi, E.; Soury, S. The effect of three ergonomics interventions on body posture and musculoskeletal disorders among stuff of Isfahan Province Gas Company. J. Educ. Health Promot. 2015, 4, 65. [Google Scholar] [CrossRef] [PubMed]
- Genin, P.M.; Degoutte, F.; Finaud, J.; Pereira, B.; Thivel, D.; Duclos, M. Effect of a 5-Month Worksite Physical Activity Program on Tertiary Employees Overall Health and Fitness. JOEM 2017, 59, e3–e10. [Google Scholar] [CrossRef] [PubMed]
- Bompa, T.O.; Haff, G.G. Periodizaion. Theory and Methodology of Training, 5th ed.; Human Kinetics: Champaign, IL, USA, 2019. [Google Scholar]
- American College of Sports Medicine (ACSM). ACSM’s Guidelines for Exercise Testing and Prescription, 9th ed.; Lippincott Williams & Wilkins: Philadelphia, PA, USA, 2013; pp. 40–107. [Google Scholar]
- Garber, C.E.; Blissmer, B.; Deschenes, M.R.; Deschenes, M.R.; Franklin, B.A.; Lamonte, M.J.; Lee, I.-M.; Nieman, D.C.; Swain, D.P. Quantity and Quality of Exercise for Developing and Maintaining Cardiorespiratory, Musculoskeletal, and Neuromotor Fitness in Apparently Healthy Adults: Guidance for Prescribing Exercise. Med. Sci. Sports Exerc. 2011, 43, 1334–1359. [Google Scholar] [CrossRef] [PubMed]
- Wind, H.; Gouttebarge, V.; Kuijer, P.P.; Frings-Dresen, M.H. Assessment of functional capacity of the musculoskeletal system in the context of work, daily living, and sport: A systematic review. J. Occup. Rehabil. 2005, 15, 253–272. [Google Scholar] [CrossRef] [PubMed]
- Jannatbi, L.I.; Nigudgi, S.R.; Shrinivas, R. Assessment of musculoskeletal disorders by standardized nordic questionnaire among computer engineering students and teaching staff of Gulbarga city. Int. J. Community Med. Public Health 2016, 3, 668–674. [Google Scholar]
- Slade, S.C.; Dionne, C.E.; Underwood, M.; Buchbinder, R.; Beck, B.; Bennell, K.; Brosseau, L.; Costa, L.; Cramp, F.; Cup, E.; et al. Consensus on Exercise Reporting Template (CERT): Modified Delphi Study. Phys. Ther. 2016, 96, 1514–1524. [Google Scholar] [CrossRef] [PubMed]
- Gerodimos, V.; Karatrantou, K. (Eds.) Exercise programs for health promotion In Exercise for Health: Prevention and Rehabilitation; Konstantaras Medical Publications: Athens, Greece, 2021; pp. 15–110. (In Greek) [Google Scholar]
- Brehm, B. Successful Fitness Motivation Strategies, 1st ed.; Human Kinetics: Champaign, IL, USA, 2004. [Google Scholar]
- Corbin, C.B.; Welk, G.J.; Corbin, W.R.; Welk, K.A. Concepts of Fitness and Wellness: A Comprehensive Lifestyle Approach, 13th ed.; McGraw Hill: New York, NY, USA, 2022. [Google Scholar]
- Rikli, R.E.; Jones, C.J. Development and Validation of a Functional Fitness Test for Community-Residing Older Adults. J. Aging Phys. Act. 1999, 7, 129–161. [Google Scholar] [CrossRef]
- Rinne, M.B.; Pasanen, M.E.; Miilunpalo, S.I.; Oja, P. Test-retest reproducibility and inter-rater reliability of a motor skill test battery for adults. Int. J. Sports Med. 2001, 22, 192–200. [Google Scholar] [CrossRef] [PubMed]
- Batatolis, C.; Karatrantou, K.; Gymnopoulos, V.; Gerodimos, V. Functional capacity profile of the cervical joint in young adults: Sex-related differences. Appl. Sci. 2023, 13, 11326. [Google Scholar] [CrossRef]
- Ruiz, J.R.; Castro-Piñero, J.; España-Romero, V.; Artero, E.G.; Ortega, F.B.; Cuenca, M.M.; Jimenez-Pavón, D.; Chillón, P.; Girela-Rejón, M.J.; Mora, J.; et al. Field-based fitness assessment in young people: The ALPHA health-related fitness test battery for children and adolescents. Br. J. Sports Med. 2011, 45, 518–524. [Google Scholar] [CrossRef] [PubMed]
- Coldwells, A.; Atkinson, G.; Reilly, T. Sources of variation in back and leg dynamometry. Ergonomics 1994, 37, 79–86. [Google Scholar] [CrossRef] [PubMed]
- Karatrantou, K.; Gerodimos, V. Measurement and Evaluation Tests in the Field; Konstantaras Medical Publications: Athens, Greece, 2020. (In Greek) [Google Scholar]
- Chairani, A. Validity and reliability test of the Nordic musculoskeletal questionnaire with formal and informal sector workers. In Proceedings of the 7th International Conference on Public Health, Solo, Indonesia, 18–19 November 2020. [Google Scholar] [CrossRef]
- Lemmink, K.A.P.M.; Kemper, H.C.G.; de Greef, M.H.G.; Rispens, P.; Stevens, M. Reliability of the Groningen fitness tests for the elderly. J. Aging Phys. Act. 2001, 9, 194–212. [Google Scholar] [CrossRef]
- Eisele-Metzger, A.; Schoser, D.S.; Klein, M.D.; Grummich, K.; Schwarzer, G.; Schwingshackl, L.; Hermann, R.; Biallas, B.; Wilke, C.; Meerpohl, J.J.; et al. Interventions for preventing back pain among office workers—a systematic review and network meta-analysis. Scand. J. Work Environ. Health 2023, 49, 5–22. [Google Scholar] [CrossRef] [PubMed]
- Chen, X.; Coombes, B.K.; Sjøgaard, G.; Jun, D.; O’Leary, S.; Johnston, V. Workplace-Based Interventions for Neck Pain in Office Workers: Systematic Review and Meta-Analysis. Phys. Ther. 2018, 98, 40–62. [Google Scholar] [CrossRef] [PubMed]
- Schulz, K.F.; Altman, D.G.; Moher, D.; The CONSORT Group. CONSORT 2010 Statement: Updated guidelines for reporting parallel group randomised trials. BMC Med. 2010, 8, 18. [Google Scholar] [CrossRef] [PubMed]








| Variables | IG (n = 35) | CG (n = 35) |
|---|---|---|
| Demographic and Anthropometric characteristics | ||
| Sex | 21 ♀–14 ♂ | 20 ♀–15 ♂ |
| Age (years) | 43.9 ± 6.8 | 44.1 ± 5.9 |
| Body height (m) | 1.7 ± 0.1 | 1.7 ± 0.1 |
| Body mass (kg) | 79.9 ± 19.7 | 78.8 ± 19.6 |
| Body mass index (kg/m2) | 27.0 ± 5.7 | 27.2 ± 5.8 |
| Musculoskeletal pain characteristics | ||
| Incidence of pain per body part (%/number of participants) | ||
| Cervical spine | 57.1%/20 | 60.0%/21 |
| Shoulder | 20.0%/7 | 17.1%/6 |
| Upper back | 5.7%/2 | 5.7%/2 |
| Elbow | 8.6%/3 | 11.4%/4 |
| Wrist/Hand | 17.1%/6 | 17.1%/6 |
| Low back | 45.7%/16 | 42.9%/15 |
| Hip/Thigh | 14.3%/5 | 14.3%/5 |
| Knee | 14.3%/5 | 17.1%/6 |
| Ankle/Foot | 5.7%/2 | 5.7%/2 |
| Duration of pain (days in the last month) | ||
| Cervical spine | 8.5 ± 4.8 | 8.5 ± 5.0 |
| Shoulder | 5.1 ± 3.2 | 5.2 ± 3.1 |
| Upper back | 6.5 ± 6.4 | 7.0 ± 4.2 |
| Elbow | 5.0 ± 3.0 | 4.8 ± 3.1 |
| Wrist/Hand | 5.3 ± 2.6 | 5.5 ± 2.4 |
| Low back | 6.6 ± 4.5 | 6.6 ± 4.4 |
| Hip/Thigh | 6.0 ± 2.9 | 6.0 ± 2.2 |
| Knee | 5.0 ± 2.2 | 4.8 ± 2.5 |
| Ankle/Foot | 5.3 ± 3.2 | 5.0 ± 2.8 |
| Intensity of pain (score on a 10-point scale for the last month) | ||
| Cervical spine | 5.1 ± 2.6 | 5.0 ± 2.6 |
| Shoulder | 4.9 ± 2.8 | 5.0 ± 2.8 |
| Upper back | 5.0 ± 4.2 | 5.2 ± 4.3 |
| Elbow | 4.9 ± 2.9 | 4.7 ± 3.0 |
| Wrist/Hand | 5.4 ± 2.5 | 5.3 ± 2.6 |
| Low back | 4.9 ± 2.6 | 4.6 ± 2.7 |
| Hip/Thigh | 5.8 ± 2.6 | 5.7 ± 2.6 |
| Knee | 4.9 ± 2.2 | 5.1 ± 2.3 |
| Ankle/Foot | 4.7 ± 3.5 | 4.8 ± 3.6 |
| Working characteristics | ||
| Working experience (years) | 18.5 ± 7.0 | 18.7 ± 6.4 |
| Working hours/day (hours) | 8.8 ± 0.3 | 8.7 ± 0.2 |
| Working hours/week (hours) | 44.0 ± 3.0 | 43.5 ± 2.5 |
| Flexibility Exercises (Upper and Lower Body) | |||
![]() | ![]() | ![]() | ![]() |
![]() | ![]() | ![]() | ![]() |
![]() | ![]() | ![]() | ![]() |
| Strength exercises | |||
| Cervical strength exercises | |||
![]() | ![]() | ![]() | ![]() |
![]() | ![]() | ![]() | |
![]() | |||
| Upper body strength exercises | |||
![]() | ![]() | ![]() | ![]() |
![]() | ![]() | ![]() | ![]() |
![]() | ![]() | ![]() | ![]() |
| Lower body strength exercises | |||
![]() | ![]() | ![]() | ![]() |
![]() | |||
| Balance exercises | |||
| Static exercises | |||
![]() | ![]() | ![]() | ![]() |
![]() | ![]() | ![]() | ![]() |
| Dynamic exercises (by moving forward or backward) | |||
![]() | ![]() | ||
![]() | ![]() | ||
| Months | ||||||
|---|---|---|---|---|---|---|
| 1 | 2 | 3 | 4 | 5 | 6 | |
| Flexibility training | ||||||
| Training frequency (times/week) | 3 | 3–4 | 4 | 4–5 | 5 | 5 |
| Sets | 1 | 1–2 | 2 | 2 | 2 | 2 |
| Duration (s) or Reps | 10 | 10–15 | 15 | 15 | 15–20 | 20 |
| Auxiliary exercise equipment | without exercise equipment | without exercise equipment/ with rhythmic gymnastic ball and exercise band | ||||
| Balance training | ||||||
| Training frequency (times/week) | 2 | 2 | 2–3 | 3 | 3 | 3 |
| Sets | 1–2 | 2 | 2 | 2–3 | 3 | 3 |
| Reps or duration (s) or distance (m)/set | 8–10 reps/ 10–15 s/3 m | 10–12 reps/ 15 s/3–4 m | 12 reps/ 15–20 s/4 m | 12–15 reps/ 20 s/4–5 m | 15 reps/ 20–25 s/5–6 m | 15–20 reps/ 25–30 s/6 m |
| Auxiliary exercise equipment | without exercise equipment | hand therapy balls and rhythmic gymnastic ball | hand grippers and rhythmic gymnastic ball | |||
| Strength training | ||||||
| Training frequency (times/week) | 2 | 2 | 2–3 | 3 | 3–4 | 4 |
| Sets | 1–2 | 2 | 2 | 2–3 | 3 | 3 |
| Reps/set | 8–10 | 10 | 10–12 | 12 | 12–15 | 15 |
| Auxiliary exercise equipment | without exercise equipment/with hand therapy balls and rhythmic gymnastic ball | hand therapy balls, hand grippers, and rhythmic gymnastic ball | hand grippers, exercise band, and rhythmic gymnastic ball | |||
| Measured Index | Test/Protocol | Equipment | Reliability/Validity |
|---|---|---|---|
Musculoskeletal pain![]() | Duration and intensity of pain were evaluated in 9 body parts (cervical spine, shoulders, elbows, wrists/hands, upper back, lower back, hips, knees, and foot/ankle) during the last month. Days of absenteeism from work and the negative impact of musculoskeletal pains on participants’ daily activities were evaluated. | Nordic Musculoskeletal Questionnaire [47]. | Test–retest reliability: Cronbach a = >0.95 [58]. Validity: >0.85 [58]. |
Lower back and hamstring flexibility ![]() | -The sit-and-reach test was used as previously described by [44]. -The best score (in cm) of three maximal trials (10 s rest/trial) was considered for analysis. | Flex-Tester box (Novel Products Inc., Rockton, IL, USA). | Intertrial reliability: ICC = 0.99 for men and women [59]. Test–retest reliability: ICC = 0.96–0.98 for men and women [3,59]. Inter-rater reliability: ICC = 0.98 for men and women [59]. |
Shoulder range of motion![]() | -The back-scratch test was performed as previously described by Corbin et al. [51]. -The best score (in cm) of three maximal trials (10 s rest/trial) at each hand was analyzed. | Measuring tape. | Test–retest reliability: ICC = >0.96 for middle-aged and older individuals [3,52]. Validity: ≥0.80 [52]. |
Static balance![]() | -The single-limb stance test with eyes opened was assessed on both legs, as previously described by Rinne et al. [53]. -The average (time in s) of the three trials at each leg was considered for analysis. | Stopwatch. | Test–retest reliability: ICC = >0.85 [53]–>0.95 [3]. Inter-rater reliability: ICC = 0.88–0.96 [53]. |
Dynamic balance![]() | -The timed up-and-go test was used, as previously described by Rikli and Jones [52]. -The best time (in s) of three maximal trials (rest: 30 s/trial) was used for analysis. | Stable chair (without wheels and armrests), athletic cone, and stopwatch. | Test–retest reliability: ICC = >0.96 for middle-aged and older individuals [3,52]. Validity: ≥0.80 [52]. |
Cervical strength![]() | -The maximum isometric strength of cervical flexor and extensor muscles was assessed as previously described by Batatolis et al. [54]. -The best score (in lb) of three isometric contractions (1 min rest/trial) at each test was considered for analysis. | Hand-held dynamometer (JTech Commander PowerTrack II, Fabrication Enterprises Inc, NY, USA). | Test–retest reliability: ICC = >0.95 for middle-aged individuals [3]. |
Handgrip strength![]() | -Maximum isometric handgrip strength was assessed (the gold standard method for the evaluation of upper limb function) as previously described by Ruiz et al. [55] and Karatrantou and Gerodimos [3]. -The best score (in kg) of 3 isometric contractions (1 min rest/trial) at each hand was considered for analysis. | Portable hydraulic dynamometer (Jamar 5030J1, Horsham, PA, USA). | Test–retest reliability: ICC = >0.95 [3,55] for young and middle-aged individuals. Validity: ≥0.85 [55]. |
Back and leg strength![]() | -Maximum back and leg strength were measured as previously described by Coldwells et al. [56] and Karatrantou and Gerodimos [3]. -A maximum of three trials were performed at each test (1 min rest/trial), and the best score (in kg) was considered for analysis. | Portable Takei back and leg dynamometer (Takei, Analogue dynamometer 5002, Takei Co., Niigata, Japan). | Test–retest reliability: ICC = >0.95 for middle-aged individuals [3]. |
| Intervention Group | Control Group | |||||||
|---|---|---|---|---|---|---|---|---|
| Body Area | Duration of Pain (Days) | Intensity of Pain (Score, 10-Point Scale) | Duration of Pain (Days) | Intensity of Pain (Score, 10-Point Scale) | ||||
| Pre | Post | Pre | Post | Pre | Post | Pre | Post | |
| Cervical spine | 8.5 ± 4.8 | 2.3 ± 1.0 *# | 5.1 ± 2.6 | 2.6 ± 1.0 *# | 8.5 ± 5.0 | 8.4 ± 5.1 | 5.0 ± 2.6 | 5.1 ± 2.6 |
| Shoulder | 5.1 ± 3.2 | 2.1 ± 1.2 *# | 4.9 ± 2.8 | 2.5 ± 1.1 *# | 5.2 ± 3.1 | 5.2 ± 2.8 | 5 ± 2.8 | 5.0 ± 2.8 |
| Upper back | 6.5 ± 6.4 | 1.5 ± 0.7 *# | 5 ± 4.2 | 2.5 ± 2.1 *# | 7 ± 4.2 | 6.5 ± 3.5 | 5.2 ± 4.3 | 5.3 ± 4.5 |
| Elbow | 5 ± 3 | 2 ± 1 *# | 4.9 ± 2.9 | 1.9 ± 0.6 *# | 4.8 ± 3.1 | 4.5 ± 3.1 | 4.7 ± 3.0 | 4.6 ± 3 |
| Wrist/Hand | 5.3 ± 2.6 | 2.3 ± 0.8 *# | 5.4 ± 2.5 | 2.3 ± 0.7 *# | 5.5 ± 2.4 | 5.5 ± 2.7 | 5.3 ± 2.6 | 5.3 ± 2.6 |
| Low back | 6.6 ± 4.5 | 2.1 ± 1.1 *# | 4.9 ± 2.6 | 2.7 ± 1.3 *# | 6.6 ± 4.4 | 6.4 ± 4.5 | 4.6 ± 2.7 | 4.7 ± 2.8 |
| Hip/Thigh | 6 ± 2.9 | 2.2 ± 0.8 *# | 5.8 ± 2.6 | 2.2 ± 0.7 *# | 6 ± 2.2 | 6.2 ± 2.3 | 5.7 ± 2.6 | 5.7 ± 2.7 |
| Knee | 5 ± 2.2 | 2 ± 0.7 *# | 4.9 ± 2.2 | 2.0 ± 0.7 *# | 4.8 ± 2.5 | 5 ± 2.3 | 5.1 ± 2.3 | 5.0 ± 2.2 |
| Ankle/Foot | 5.3 ± 3.2 | 1.5 ± 0.7 *# | 4.7 ± 3.5 | 1.5 ± 0.7 *# | 5 ± 2.8 | 5.5 ± 3.5 | 4.8 ± 3.6 | 4.7 ± 3.8 |
| Mean % Change | Range of % Change | Effect Size (Cohen d) | |
|---|---|---|---|
| Duration of pain | |||
| Cervical spine | −68.3% | −42.9 to −88.2% | 2.1 (large ES) |
| Shoulder | −56% | −42.9 to −72.7% | 1.4 (large ES) |
| Upper back | −65.9% | −50 to −81.8% | 1.4 (large ES) |
| Elbow | −57.5% | −50 to −62.5% | 1.5 (large ES) |
| Wrist/Hand | −52.9% | −33.3 to −66.7% | 1.8 (large ES) |
| Low back | −64.1% | −42.9 to −87.5% | 1.6 (large ES) |
| Hip/Thigh | −60.8% | −50 to −70% | 2.1 (large ES) |
| Knee | −56.3% | −50 to −75% | 2.1 (large ES) |
| Ankle/Foot | −70% | −66.7 to −73.3% | 1.9 (large ES) |
| Intensity of pain | |||
| Cervical spine | −45.3% | −26.7 to −80% | 1.4 (large ES) |
| Shoulder | −45% | −26.7 to −66.7% | 1.2 (large ES) |
| Upper back | −50% | −48 to −52% | 1.6 (large ES) |
| Elbow | −55.2% | −43.4 to −68.8% | 1.7 (large ES) |
| Wrist/Hand | −54.3% | −33.3 to −65.9% | 1.9 (large ES) |
| Low back | −43.1% | −20.9 to −67.7% | 1.1 (large ES) |
| Hip/Thigh | −60.4% | −50 to −66.7% | 2.2 (large ES) |
| Knee | −56.9% | −50 to −66.1% | 2.0 (large ES) |
| Ankle/Foot | −63.3% | −54.6 to −72% | 1.5 (large ES) |
| Variables | Group | Pre-Training | Post-Training | Mean % Change |
|---|---|---|---|---|
| Flexibility | ||||
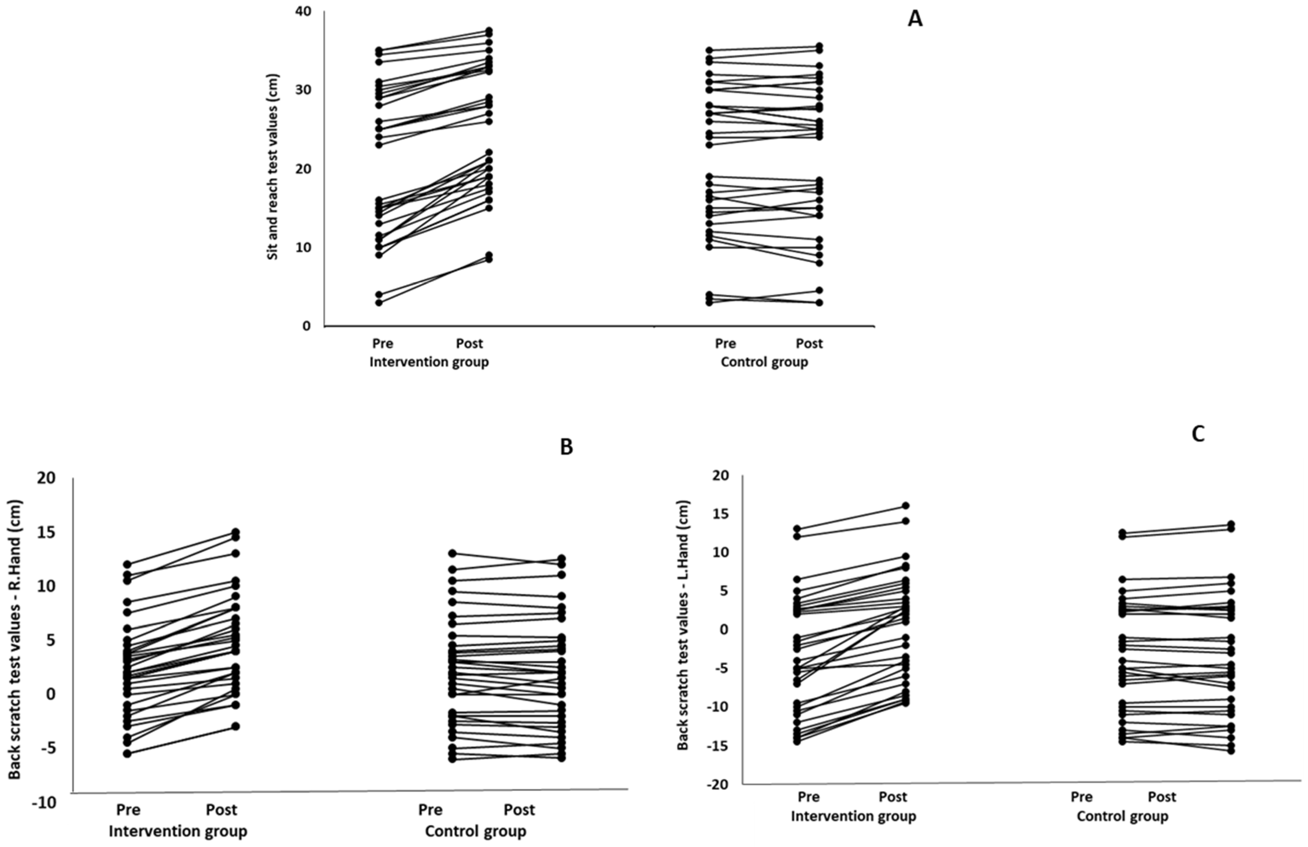
| Sit-and-reach test (cm) | IG | 20.0 ± 5.1 | 24.5 ± 6 *# | +22.9 † |
| CG | 21.3 ± 6.5 | 21.2 ± 6.2 | −2.6 | |
| Back-scratch test—Right hand (cm) | IG | 2 ± 4 | 4.8 ± 3 *# | +60.9 † |
| CG | 1.8 ± 3.5 | 1.7 ± 4 | −1.5 | |
| Back-scratch test—Left hand (cm) | IG | −2.9 ± 5 | 0.9 ± 4.5 *# | +34.9 † |
| CG | −2.9 ± 5.2 | −2.9 ± 4.2 | 0.8 | |
| Balance | ||||
| Single-limb stance test—Right leg (s) | IG | 28.6 ± 12.9 | 120.3 ± 48.2 *# | +73.7 † |
| CG | 28.4 ± 12.7 | 28.7 ± 13.4 | −0.4 | |
| Single-limb stance test—Left leg (s) | IG | 32.5 ± 22.3 | 114.5 ± 51.2 *# | +70.7 † |
| CG | 32.1 ± 22.5 | 32.1 ± 22.5 | −0.3 | |
| Timed up-and-go test (s) | IG | 4.8 ± 0.57 | 4.3± 0.37 *# | −12.3 † |
| CG | 4.8 ± 0.58 | 4.9 ± 0.57 | +0.98 | |
| Variables | Group | Pre-Training | Post-Training | Mean % Change |
|---|---|---|---|---|
| Handgrip strength (kg) | ||||
| Right hand | IG | 38.5 ± 4.5 | 42.5 ± 5.5 *# | 10.3 ± 4.3 † |
| CG | 38.4 ± 4.7 | 38.3 ± 5.7 | −0.5 ± 3.5 | |
| Left hand | IG | 38.9 ± 5 | 43.4 ± 6 *# | 11.3 ± 5.3 † |
| CG | 38.6 ± 6 | 38.6 ± 6.5 | −0.03 ± 2.6 | |
| Cervical strength (lb) | ||||
| Forward flexion | IG | 20.9 ± 6 | 26.2 ± 7 *# | 20.8 ± 8.4 † |
| CG | 20.7 ± 6.8 | 20.6 ± 6.3 | −0.9 ± 5.6 | |
| Extension | IG | 28.1 ± 6.8 | 35.5 ± 9.1 *# | 20.3 ± 11.5 † |
| CG | 28.1 ± 6.9 | 28.3 ± 7.1 | 0.3 ± 3.2 | |
| Back strength (kg) | IG | 56.7 ± 20 | 76.4 ± 28 *# | 27.1 ± 13.7 † |
| CG | 56.4 ± 22.5 | 56.9 ± 23.6 | 0.9 ± 3.7 | |
| Leg strength (kg) | IG | 77 ± 24.1 | 99.7 ± 32.1 *# | 25.1 ± 15.0 † |
| CG | 76.8 ± 25 | 77.4 ± 33.5 | 0.8 ± 3.0 |
Disclaimer/Publisher’s Note: The statements, opinions and data contained in all publications are solely those of the individual author(s) and contributor(s) and not of MDPI and/or the editor(s). MDPI and/or the editor(s) disclaim responsibility for any injury to people or property resulting from any ideas, methods, instructions or products referred to in the content. |
© 2024 by the authors. Licensee MDPI, Basel, Switzerland. This article is an open access article distributed under the terms and conditions of the Creative Commons Attribution (CC BY) license (https://creativecommons.org/licenses/by/4.0/).
Share and Cite
Karatrantou, K.; Gerodimos, V. A Comprehensive Workplace Exercise Intervention to Reduce Musculoskeletal Pain and Improve Functional Capacity in Office Workers: A Randomized Controlled Study. Healthcare 2024, 12, 915. https://doi.org/10.3390/healthcare12090915
Karatrantou K, Gerodimos V. A Comprehensive Workplace Exercise Intervention to Reduce Musculoskeletal Pain and Improve Functional Capacity in Office Workers: A Randomized Controlled Study. Healthcare. 2024; 12(9):915. https://doi.org/10.3390/healthcare12090915
Chicago/Turabian StyleKaratrantou, Konstantina, and Vassilis Gerodimos. 2024. "A Comprehensive Workplace Exercise Intervention to Reduce Musculoskeletal Pain and Improve Functional Capacity in Office Workers: A Randomized Controlled Study" Healthcare 12, no. 9: 915. https://doi.org/10.3390/healthcare12090915
APA StyleKaratrantou, K., & Gerodimos, V. (2024). A Comprehensive Workplace Exercise Intervention to Reduce Musculoskeletal Pain and Improve Functional Capacity in Office Workers: A Randomized Controlled Study. Healthcare, 12(9), 915. https://doi.org/10.3390/healthcare12090915






























































