Effects of Stage Lighting on Visual Comfort at Summer Festivals: A Study in Portugal
Abstract
1. Introduction
2. Materials and Methods
2.1. Survey
- (1)
- General information;
- (2)
- Participation in a summer festival;
- (3)
- Visual Conditions;
- (4)
- Perception about the lights of the festival;
- (5)
- Proposals for improvements.
2.2. Statistical Analysis
3. Results and Discussion
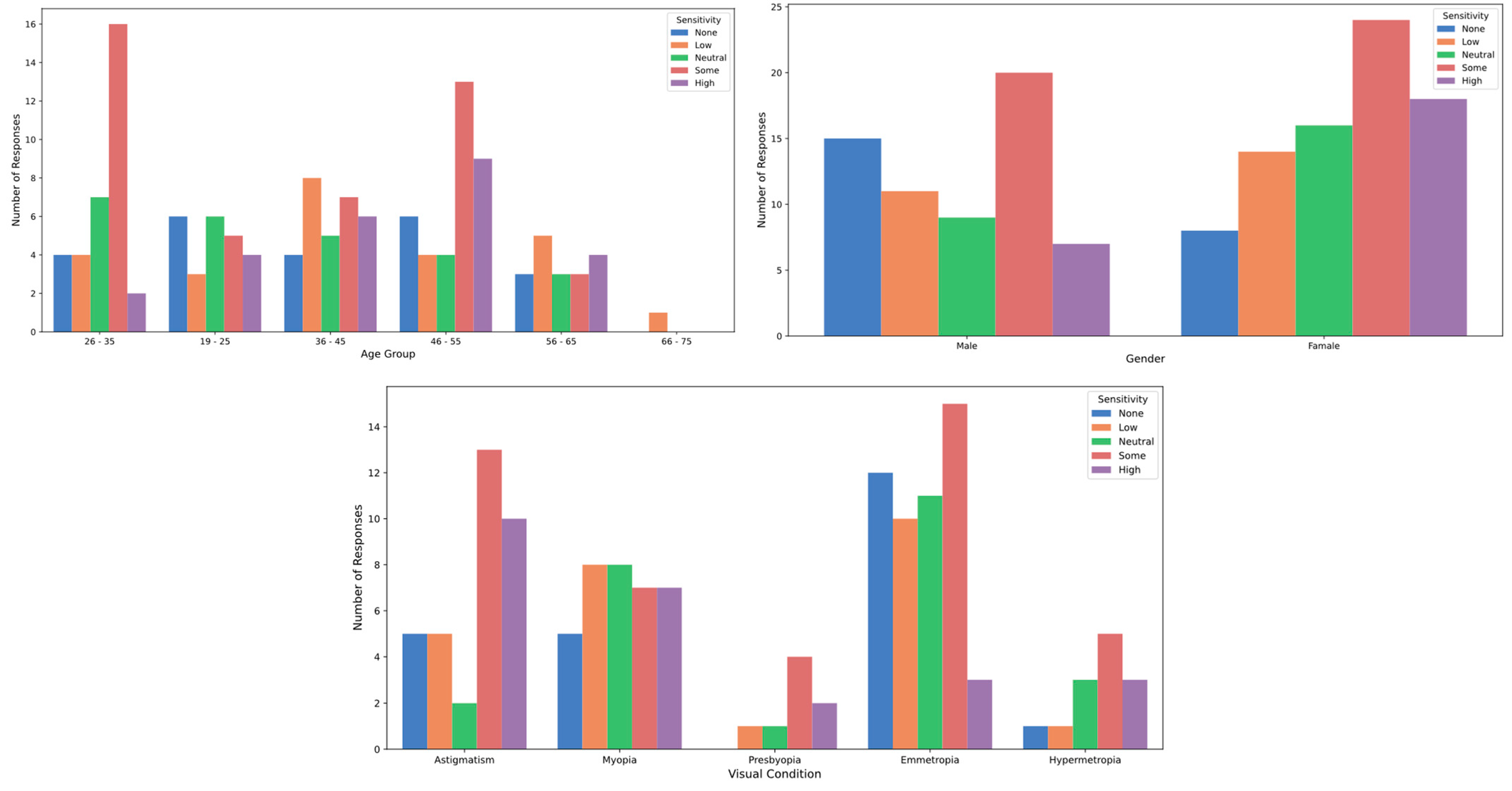
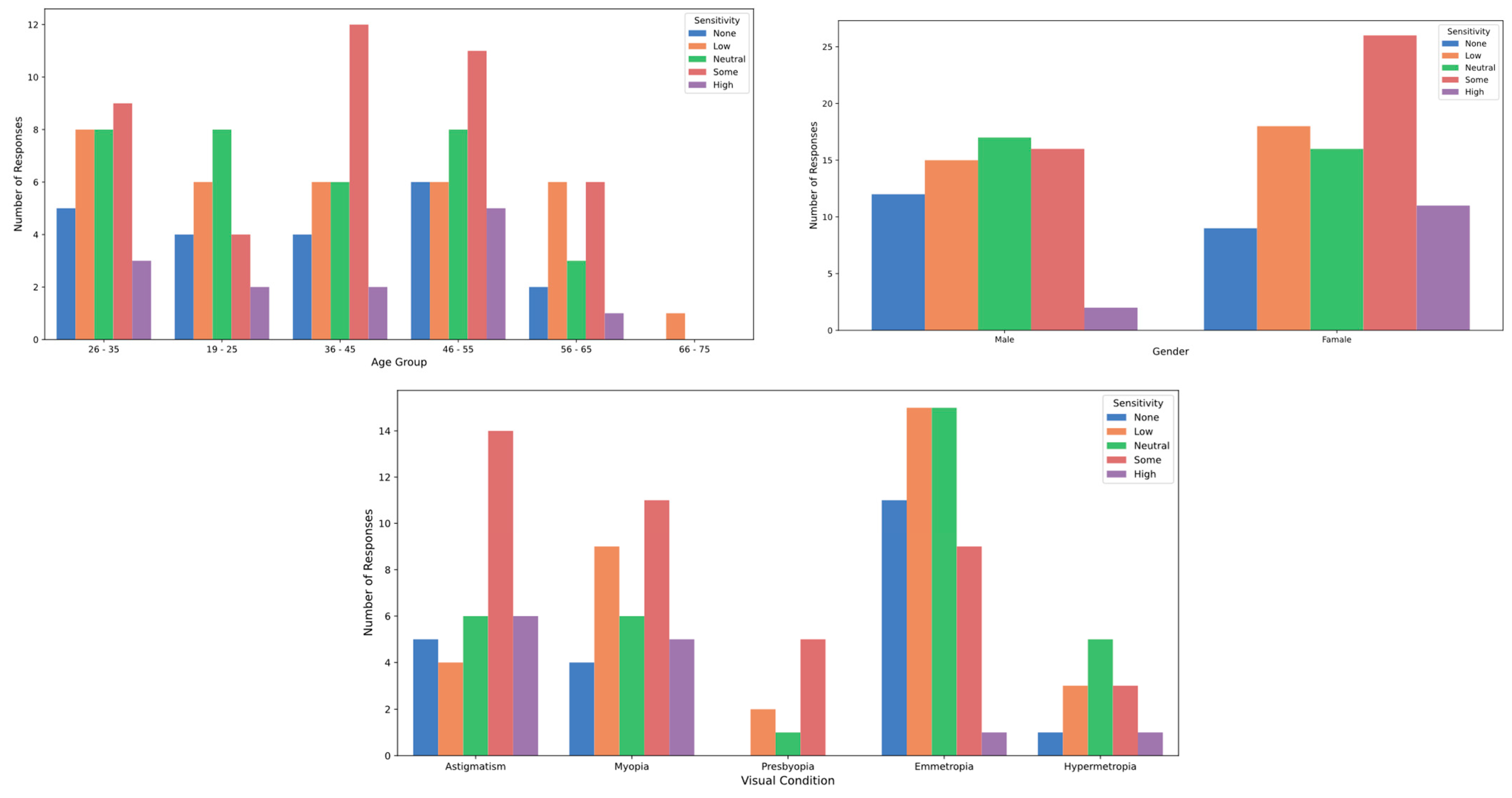
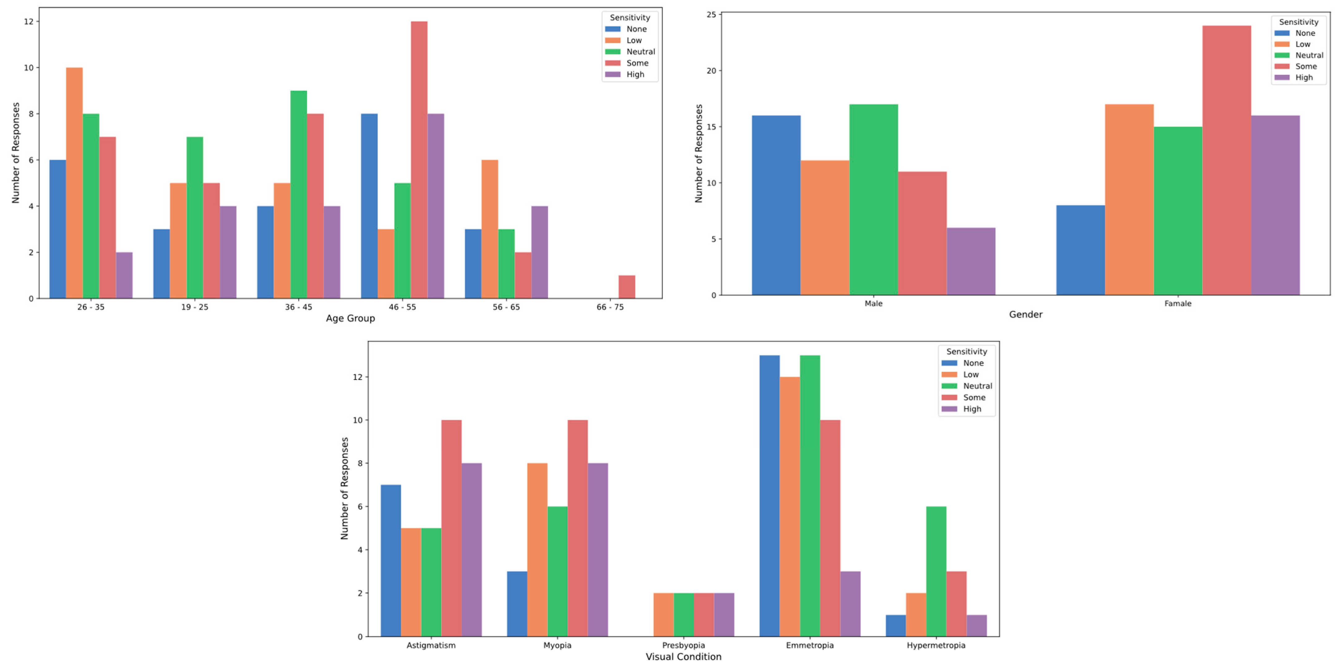
3.1. Visual Conditions
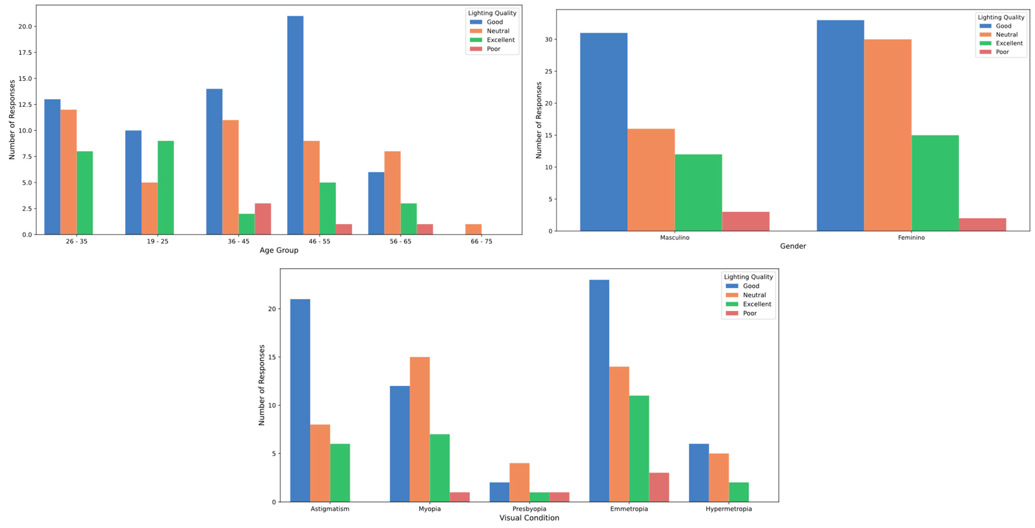
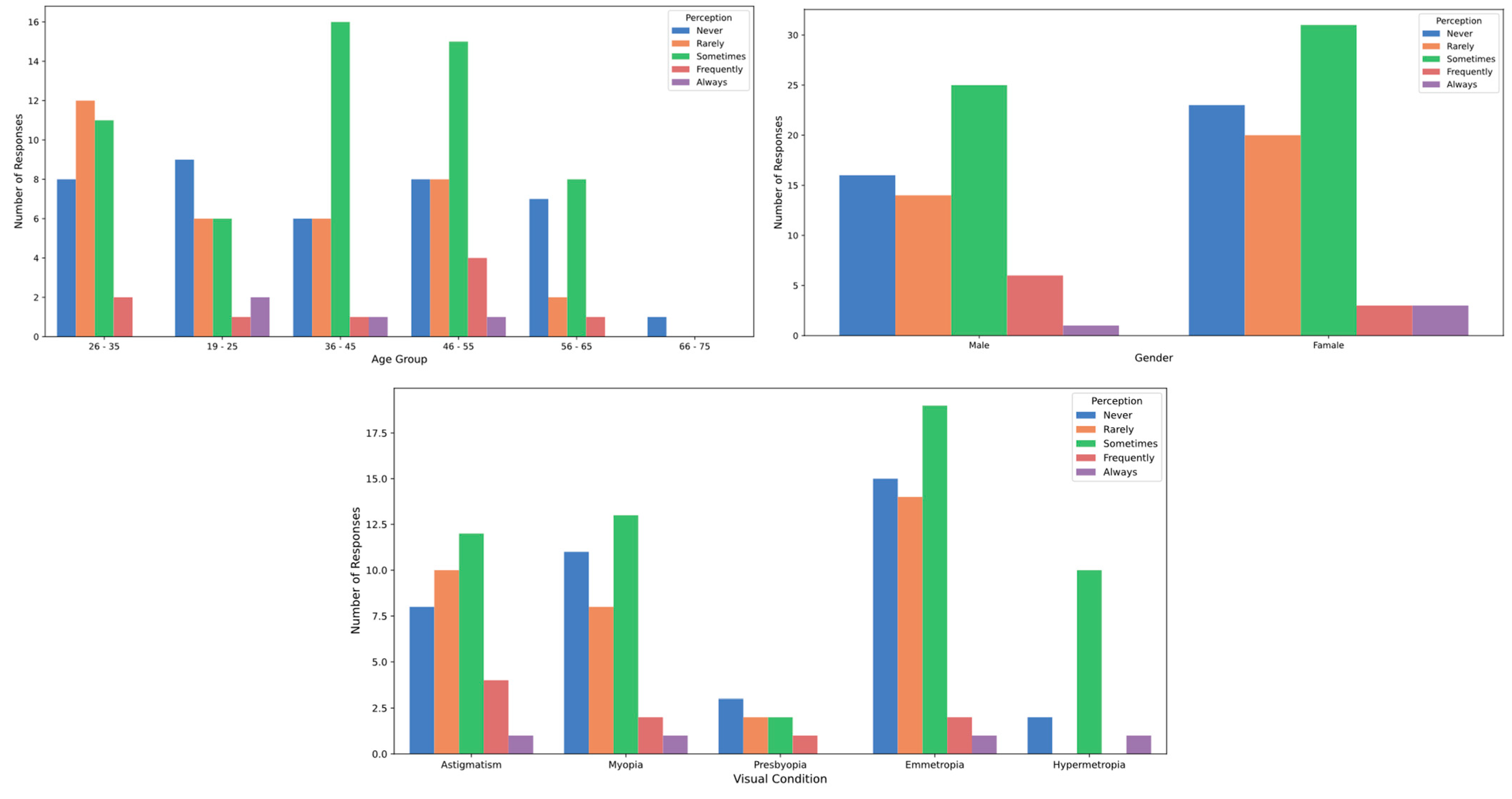
3.2. Perception About the Festival Lights
3.3. Improvement Proposals
4. Conclusions
Supplementary Materials
Author Contributions
Funding
Institutional Review Board Statement
Informed Consent Statement
Data Availability Statement
Conflicts of Interest
References
- Cudny, W.; Korec, P.; Rouba, R. Resident’s perception of festivals—The case study of Lodz. Sociol. Rev. 2012, 44, 704–728. [Google Scholar]
- Brown, G.; Chalip, L.; Jago, L.; Mules, T. The Sydney Olympics and Brand Australia. In Destination Branding: Creating the Unique Destination Proposition; Morgan, N.J., Pritchard, A., Pride, R., Eds.; Butterworth-Heinemann: Oxford, UK, 2002; pp. 163–185. [Google Scholar]
- Kaplanidou, K.; Karadakis, K.; Gibson, H.; Thapa, B.; Walker, M.; Geldenhuys, S.; Coetzee, W. Quality of life, event impacts, and mega-event support among South African residents before and after the 2010 FIFA World Cup. J. Travel Res. 2013, 52, 631–645. [Google Scholar] [CrossRef]
- Duffy, M.; Mair, J. Future trajectories of festival research. Tour. Stud. 2021, 21, 9–23. [Google Scholar] [CrossRef]
- De Almeida, M.L.; Brito, M.P.; Wanderley, L.S.O. Social practices and placemaking: The case of the Bons Sons festival, in Portugal. Int. J. Event Festival Manag. 2023, 15, 24–42. [Google Scholar] [CrossRef]
- Pereira, L.; Jerónimo, C.; Sempiterno, M.; Lopes da Costa, R.; Dias, Á.; António, N. Events and Festivals Contribution for Local Sustainability. Sustainability 2021, 13, 1520. [Google Scholar] [CrossRef]
- Getz, D. Event tourism: Definition, evolution, and research. Tour. Manag. 2008, 29, 403–428. [Google Scholar] [CrossRef]
- Getz, D. The nature and scope of festival studies. Int. J. Event Manag. Res. 2010, 5, 1–47. [Google Scholar] [CrossRef]
- Getz, D.; Page, S.J. Progress and prospects for event tourism research. Tour. Manag. 2014, 52, 593–631. [Google Scholar] [CrossRef]
- Harvey, D. The urban face of capitalism. In Our Changing Cities; Hunt, J.F., Ed.; Johns Hopkins University Press: Baltimore, NJ, USA, 1991; pp. 50–66. [Google Scholar]
- Agarwal, S.; Brunt, P. Social exclusion and English seaside resorts. Tour. Manag. 2006, 27, 654–670. [Google Scholar] [CrossRef]
- Chang, K.-C.; Hsieh, T. From Having Fun to Applause: The Study of Relationships among Festival Benefits, Festival Identity and Festival Support by Viewpoints of the Hosts and Guests. Sustainability 2017, 9, 2240. [Google Scholar] [CrossRef]
- Jago, L.; Chalip, L.; Brown, G.; Mules, T.; Shameem, A. Building events into destination branding: Insights from experts. Event Manag. 2003, 8, 3–14. [Google Scholar] [CrossRef]
- Piva, E.; Cerutti, S.; Prats, L.; Raj, R. Enhancing Brand Image through Events and Cultural Festivals: The Perspective of the Stresa Festival’s Visitors. Almatourism J. Tour. Cult. Territ. Dev. 2017, 8, 99–116. [Google Scholar] [CrossRef]
- Chang, D.; Pastuck, T.; Rosen, R.; Hollmann, S.; Babic, T.; Stapars, A. Violet and Blue Light: Impact of High-Energy Light on Vision and Health. J. Ophthalmic Stud. 2020, 3, 1–8. [Google Scholar]
- Andriolo, U.; Gonçalves, G. Impacts of a massive beach music festival on a coastal ecosystem—A showcase in Portugal. Sci. Total Environ. 2023, 861, 160733. [Google Scholar] [CrossRef]
- Harding, G.F.; Harding, P.F. Photosensitive epilepsy and image safety. Appl. Ergon. 2010, 41, 504–508. [Google Scholar] [CrossRef]
- Van Bommel, W.; Van Den Beld, G. Lighting for work: A review of visual and biological effects. Light. Res. Technol. 2004, 36, 255–266. [Google Scholar] [CrossRef]
- Enoch, J.; Jones, L.; Taylor, D.J.; Bronze, C.; Kirwan, J.F.; Jones, P.R.; Crabb, D.P. How do different lighting conditions affect the vision and quality of life of people with glaucoma? A systematic review. Eye 2020, 34, 138–154. [Google Scholar] [CrossRef]
- Li, H.C.; Sun, P.-L. Visual Characteristics of Afterimage under Dark Surround Conditions. Energies 2021, 14, 1404. [Google Scholar] [CrossRef]
- Contín, M.A.; Benedetto, M.M.; Quinteros-Quintana, M.L.; Guido, M.E. Light pollution: The possible consequences of excessive illumination on retina. Eye 2016, 30, 255–263. [Google Scholar] [CrossRef]
- Hatori, M.; Gronfier, C.; Van Gelder, R.N.; Bernstein, P.S.; Carreras, J.; Panda, S.; Marks, F.; Sliney, D.; Hunt, C.E.; Hirota, T.; et al. Global rise of potential health hazards caused by blue light-induced circadian disruption in modern aging societies. NPJ Aging Mech. Dis. 2017, 3, 9. [Google Scholar] [CrossRef]
- Hipólito, V.; Coelho, J.M.P. Blue Light and Eye Damage: A Review on the Impact of Digital Device Emissions. Photonics 2023, 10, 560. [Google Scholar] [CrossRef]
- Munsamy, A.J.; Moodley, M.; Khan, Z.; Govender, K.; Nkwanyana, M.; Cele, S.; Radebe, M. Evidence on the effects of digital blue light on the eye: A scoping review. Afr. Vis. Eye Health 2022, 81, 9. [Google Scholar] [CrossRef]
- Lunn, R.M.; Blask, D.E.; Coogan, A.N.; Figueiro, M.G.; Gorman, M.R.; Hall, J.E.; Hansen, J.; Nelson, R.J.; Panda, S.; Smolensky, M.H.; et al. Health consequences of electric lighting practices in the modern world: A report on the National Toxicology Program’s workshop on shift work at night, artificial light at night, and circadian disruption. Sci. Total Environ. 2017, 607–608, 1073–1084. [Google Scholar] [CrossRef]
- Cho, Y.; Ryu, S.H.; Lee, B.R.; Kim, K.H.; Lee, E.; Choi, J. Effects of artificial light at night on human health: A literature review of observational and experimental studies applied to exposure assessment. Chronobiol. Int. 2015, 32, 1294–1310. [Google Scholar] [CrossRef]
- Walker, W.H.; Borniger, J.C.; Gaudier-Diaz, M.M.; Meléndez-Fernández, O.H.; Pascoe, J.L.; Devries, A.C.; Nelson, R.J. Acute exposure to low-level light at night is sufficient to induce neurological changes and depressive-like behavior. Mol. Psychiatry 2020, 25, 1080–1093. [Google Scholar] [CrossRef]
- Lai, K.Y.; Sarkar, C.; Ni, M.Y.; Gallacher, J.; Webster, C. Exposure to light at night (LAN) and risk of obesity: A systematic review and meta-analysis of observational studies. Environ. Res. 2020, 187, 109637. [Google Scholar] [CrossRef]
- Walker, W.H.; Bumgarner, J.R.; Walton, J.C.; Liu, J.A.; Meléndez-Fernández, O.H.; Nelson, R.J.; DeVries, A.C. Light Pollution and Cancer. Int. J. Mol. Sci. 2020, 21, 9360. [Google Scholar] [CrossRef]
- Muscogiuri, G.; Poggiogalle, E.; Barrea, L.; Tarsitano, M.G.; Garifalos, F.; Liccardi, A.; Pugliese, G.; Savastano, S.; Colao, A.; Alviggi, C.; et al. Exposure to artificial light at night: A common link for obesity and cancer? Eur. J. Cancer 2022, 173, 263–275. [Google Scholar] [CrossRef]
- Ma, S.; Alsabawi, Y.; El-Serag, H.B.; Thrift, A.P. Exposure to Light at Night and Risk of Cancer: A Systematic Review, Meta-Analysis, and Data Synthesis. Cancers 2024, 16, 2653. [Google Scholar] [CrossRef]
- Silva, A.M.; Leal, B. Photosensitivity and epilepsy: Current concepts and perspectives—A narrative review. Seizure 2017, 50, 209–218. [Google Scholar] [CrossRef]
- Fisher, R.S.; Acharya, J.N.; Baumer, F.M.; French, J.A.; Parisi, P.; Solodar, J.H.; Szaflarski, J.P.; Thio, L.L.; Tolchin, B.; Wilkins, A.J.; et al. Visually sensitive seizures: An updated review by the Epilepsy Foundation. Epilepsia 2022, 63, 739–768. [Google Scholar] [CrossRef] [PubMed]
- Marangoni, L.F.B.; Davies, T.; Smyth, T.; Rodríguez, A.; Hamann, M.; Duarte, C.; Pendoley, K.; Berge, J.; Maggi, E.; Levy, O. Impacts of artificial light at night in marine ecosystems—A review. Glob. Chang. Biol. 2022, 28, 5346–5367. [Google Scholar] [CrossRef] [PubMed]
- Mayer-Pinto, M.; Jones, T.M.; Swearer, S.E.; Robert, K.A.; Bolton, D.K.; Aulsebrook, A.E.; Dafforn, K.A.; Dickerson, A.L.; Dimovski, A.M.; Hubbard, N.; et al. Light pollution: A landscape-scale issue requiring cross-realm consideration. UCL Open Environ. 2022, 4, e036. [Google Scholar] [CrossRef]
- Burt, C.S.; Kelly, J.F.; Trankina, G.E.; Silva, C.L.; Khalighifar, A.; Jenkins-Smith, H.C.; Fox, A.S.; Fristrup, K.M.; Horton, K.G. The effects of light pollution on migratory animal behavior. Trends Ecol. Evol. 2023, 38, 355–368. [Google Scholar] [CrossRef] [PubMed]
- Longcore, T. Light pollution. In Encyclopedia of Biodiversity, 3rd ed.; Scheiner, S.M., Ed.; Academic Press: Cambridge, MA, USA, 2024; pp. 369–379. [Google Scholar] [CrossRef]
- Pereira, J.P.G.L. Where the Things Always Happen: Um Estudo Sobre Festivais de Música e Desenvolvimento Local. Master’s Thesis, Universidade do Porto, Porto, Portugal, 2016; p. 139. [Google Scholar]
- Caetano, J.; Portugal, J.P.; Portugal, M.N.; Salgueiro, L. Gestão de Eventos; Escolar Editora: Vila Franca de Xira, Portugal, 2018; ISBN 9789725925164. [Google Scholar]
- Ferreira, G.N.S.J.J. Avaliação de Impactes Ambientais nos Festivais de Verão; Final Undergraduate Project in Civil Protection Engeneering, ISEC Lisboa: Lisboa, Portugal, 2024; p. 122. [Google Scholar]
- Eiriz, V.; Guimarães, F. Relacionamentos Afetivos com as Marcas: Estudo das Consequências do Amor pela Marca dos Festivais de Verão. ReMark Rev. Bras. Mark. 2016, 15, 432–444. [Google Scholar] [CrossRef]
- Timmons, A. Record 26.5 Million Tourists Visited Portugal in 2023. Travelling Lifestyle 2024. Available online: https://www.travelinglifestyle.net/record-26-5-million-tourists-visited-portugal-in-2023/ (accessed on 23 September 2024).
- EU; Eur-Lex. Regulation (EU) No. 2016/679 of the European Parliament and the Council of 27 April 2016. Available online: https://eur-lex.europa.eu/eli/reg/2016/679/oj (accessed on 3 June 2024).
- Irwin, A. The dark side of light: How artificial lighting is harming the natural world. Nature 2018, 553, 268–270. [Google Scholar] [CrossRef]
- Cougnard-Gregoire, A.; Merle, B.M.J.; Aslam, T.; Seddon, J.M.; Aknin, I.; Klaver, C.C.W.; Garhöfer, G.; Layana, A.G.; Minnella, A.M.; Silva, R.; et al. Blue Light Exposure: Ocular Hazards and Prevention—A Narrative Review. Ophthalmol. Ther. 2023, 12, 755–788. [Google Scholar] [CrossRef]
- Zhang, C.; Zhu, Z.; Zhao, J.; Li, Y.; Zhang, Z.; Zheng, Y. Ubiquitous light-emitting diodes: Potential threats to retinal circadian rhythms and refractive development. Sci. Total Environ. 2023, 862, 160809. [Google Scholar] [CrossRef]
- Ogden, L.E. Artificial light at night: A research field in action. BioScience 2023, 73, 469–475. [Google Scholar] [CrossRef]
- Shaqiri, A.; Pilz, K.S.; Elze, T.; Clarke, A.M. Sex-related differences in vision are heterogeneous. Sci. Rep. 2018, 8, 7521. [Google Scholar] [CrossRef]
- Singh, S.; Keller, P.R.; Busija, L.; McMillan, P.; Makrai, E.; Lawrenson, J.G.; Hull, C.C.; Downie, L.E. Blue-Light Filtering Spectacle Lenses for Visual Performance, Sleep, and Macular Health in Adults. Cochrane Database Syst. Rev. 2023, 8, CD013244. [Google Scholar] [CrossRef] [PubMed]
- Auffret, É.; Gomart, G.; Bourcier, T.; Gaucher, D.; Speeg-Schatz, C.; Sauer, A. Perturbations oculaires secondaires à l’utilisation de supports numériques. Symptômes, prévalence, physiopathologie et prise en charge. J. Fr. Ophtalmol. 2021, 44, 1605–1610. [Google Scholar] [CrossRef] [PubMed]
- Burkhart, K.; Phelps, J.R. Amber Lenses to Block Blue Light and Improve Sleep: A Randomized Trial. Chronobiol. Int. 2009, 26, 1602–1612. [Google Scholar] [CrossRef] [PubMed]
- Esaki, Y.; Takeuchi, I.; Tsuboi, S.; Fujita, K.; Iwata, N.; Kitajima, T. A Double-Blind, Randomized, Placebo-Controlled Trial of Adjunctive Blue-Blocking Glasses for the Treatment of Sleep and Circadian Rhythm in Patients with Bipolar Disorder. Bipolar. Disord. 2020, 22, 739–748. [Google Scholar] [CrossRef]
- Janku, K.; Smotek, M.; Farkova, E.; Koprivova, J. Block the Light and Sleep Well: Evening Blue Light Filtration as a Part of Cognitive Behavioral Therapy for Insomnia. Chronobiol. Int. 2020, 37, 248–259. [Google Scholar] [CrossRef]
- Knufinke, M.; Fittkau-Koch, L.; Møst, E.I.; Kompier, M.A.; Nieuwenhuys, A. Restricting Short-Wavelength Light in the Evening to Improve Sleep in Recreational Athletes—A Pilot Study. Eur. J. Sport Sci. 2019, 19, 728–735. [Google Scholar] [CrossRef]
- Shechter, A.; Kim, E.W.; St-Onge, M.P.; Westwood, A.J. Blocking Nocturnal Blue Light for Insomnia: A Randomized Controlled Trial. J. Psychiatr. Res. 2018, 96, 196–202. [Google Scholar] [CrossRef]
- Yang, W.; Jeon, J.Y. Effects of correlated colour temperature of LED light on visual sensation, perception, and cognitive performance in a classroom lighting environment. Sustainability 2020, 12, 4051. [Google Scholar] [CrossRef]
- Fu, X.; Feng, D.; Jiang, X.; Wu, T. The Effect of Correlated Color Temperature and Illumination Level of LED Lighting on Visual Comfort during Sustained Attention Activities. Sustainability 2023, 15, 3826. [Google Scholar] [CrossRef]
- Van Bommel, W. Glare. In Springer eBooks; Springer: Berlin/Heidelberg, Germany, 2016; pp. 683–691. [Google Scholar]
- Monger, L.J.; Wilkins, A.J.; Allen, P.M. Pattern glare: The effects of contrast and color. Front. Psychol. 2015, 6, 1651. [Google Scholar] [CrossRef]
- Lin, C.; Chiu, C.; Lee, P.; Chen, K.; He, C.; Hsu, S.; Cheng, K. The Adverse Effects of Air Pollution on the Eye: A Review. Int. J. Environ. Res. Public Health 2022, 19, 1186. [Google Scholar] [CrossRef] [PubMed]
- Mandell, J.T.; Idarraga, M.; Kumar, N.; Galor, A. Impact of Air Pollution and Weather on Dry Eye. J. Clin. Med. 2020, 9, 3740. [Google Scholar] [CrossRef] [PubMed]
- Schiavi, C.; Giannaccare, G. Eye and Pollution. In Springer eBooks; Springer: Berlin/Heidelberg, Germany, 2017; pp. 341–351. [Google Scholar]
- Stefani, O.; Cajochen, C. Should We Re-Think Regulations and Standards for Lighting at Workplaces? A Practice Review on Existing Lighting Recommendations. Front. Psychiatry 2021, 12, 652161. [Google Scholar] [CrossRef] [PubMed]
- Nag, P.K. Lighting Systems. In Design Science and Innovation; Springer: Berlin/Heidelberg, Germany, 2018; pp. 371–404. [Google Scholar]










| A lot | Some | Neutral | Little | None | |
|---|---|---|---|---|---|
| Natural Light | 27 (17.5) | 44 (28.6) | 28 (18.2) | 30 (19.5) | 25 (16.2) |
| n (%) | |||||
| Artificial Light | 14 (9.1) | 42 (27.3) | 39 (25.3) | 36 (23.4) | 23 (14.9) |
| n (%) | |||||
| Stage Light | 22 (14.3) | 36 (23.4) | 37 (24.0) | 33 (21.4) | 26 (16.9) |
| n (%) |
| Never n (%) | Rarely n (%) | Sometimes n (%) | Frequently n (%) | Always n (%) | |
|---|---|---|---|---|---|
| Glare | 42 (27.27) | 38 (24.68) | 61 (39.61) | 9 (5.84) | 4 (2.6) |
| Tearing | 92 (59.74) | 39 (25.32) | 17 (11.04) | 4 (2.6) | 2 (1.3) |
| Temporary vision loss | 90 (58.44) | 43 (27.92) | 13 (8.44) | 5 (3.25) | 3 (1.95) |
| Never n (%) | Rarely n (%) | Sometimes n (%) | Frequently n (%) | Always n (%) | |
|---|---|---|---|---|---|
| Dry eye | 80 (51.95) | 27 (24.03) | 26 (16.88) | 7 (4.55) | 4 (2.60) |
| Tearing | 84 (54.55) | 39 (25.32) | 22 (14.29) | 6 (3.90) | 3 (1.95) |
| Gritty sensation | 99 (64.29) | 30 (19.48) | 19 (12.34) | 4 82.60) | 2 (1.30) |
| Not Important n (%) | Slightly Important n (%) | Indifferent n (%) | Important n (%) | Very Important n (%) | |
|---|---|---|---|---|---|
| Create areas with reduced lighting for visual rest | 15 (9.74%) | 20 (12.99%) | 39 (25.32%) | 58 (37.66%) | 22 (14.29%) |
| Use high-quality LED lighting | 7 (4.55%) | 8 (5.19%) | 52 (33.77%) | 69 (44.81%) | 18 (11.69%) |
| Use lighting control technology | 6 (3.90%) | 8 (5.19%) | 50 (32.47%) | 70 (45.45%) | 20 (12.99%) |
| Use directional and structured lighting | 5 (3.25%) | 9 (5.84%) | 54 (35.06%) | 72 (46.75%) | 14 (9.09%) |
| Reduce the use of intermittent lights | 5 (3.25%) | 12 (7.79%) | 45 (29.22%) | 49 (31.82%) | 43 (27.92%) |
| Create more shaded areas | 8 (5.19%) | 18 (11.69%) | 47 (30.52%) | 57 (37.01%) | 24 (15.58%) |
| Strategically place lights and diffusers to prevent glare | 7 (4.55%) | 10 (6.49%) | 47 (30.52%) | 68 (44.16%) | 22 (14.29%) |
| Distribute sunglasses and eye protection | 21 (13.64%) | 26 (16.88%) | 38 (24.68%) | 42 (27.27%) | 27 (17.53%) |
| More information and guidance on how to protect vision | 10 (6.49%) | 15 (9.74%) | 38 (24.68%) | 56 (36.36%) | 35 (22.73%) |
Disclaimer/Publisher’s Note: The statements, opinions and data contained in all publications are solely those of the individual author(s) and contributor(s) and not of MDPI and/or the editor(s). MDPI and/or the editor(s) disclaim responsibility for any injury to people or property resulting from any ideas, methods, instructions or products referred to in the content. |
© 2024 by the authors. Licensee MDPI, Basel, Switzerland. This article is an open access article distributed under the terms and conditions of the Creative Commons Attribution (CC BY) license (https://creativecommons.org/licenses/by/4.0/).
Share and Cite
Oliveira, A.P.; Ferreira, G.; Martinez-Perez, C. Effects of Stage Lighting on Visual Comfort at Summer Festivals: A Study in Portugal. Healthcare 2024, 12, 2441. https://doi.org/10.3390/healthcare12232441
Oliveira AP, Ferreira G, Martinez-Perez C. Effects of Stage Lighting on Visual Comfort at Summer Festivals: A Study in Portugal. Healthcare. 2024; 12(23):2441. https://doi.org/10.3390/healthcare12232441
Chicago/Turabian StyleOliveira, Ana Paula, Gonçalo Ferreira, and Clara Martinez-Perez. 2024. "Effects of Stage Lighting on Visual Comfort at Summer Festivals: A Study in Portugal" Healthcare 12, no. 23: 2441. https://doi.org/10.3390/healthcare12232441
APA StyleOliveira, A. P., Ferreira, G., & Martinez-Perez, C. (2024). Effects of Stage Lighting on Visual Comfort at Summer Festivals: A Study in Portugal. Healthcare, 12(23), 2441. https://doi.org/10.3390/healthcare12232441

