Abstract
The purpose of this study is to determine whether home care service quality affects users’ voluntary cooperation/participation through self-determination. For this purpose, survey data from 358 long-term care service users in Korea were analyzed by applying a structural equation model. Data collection was conducted from February to March 2019. Data collection was conducted in February–March 2019. The results showed that home care quality did not directly affect users’ voluntary cooperation/participation in the service delivery process, and self-determination fully mediated the relationship between quality and cooperation/participation. Based on these results, the importance of providing appropriate information, reflecting users’ voices, and the attitude and role of experts was emphasized in order to promote user participation/cooperation through self-determination.
1. Introduction
Korea has entered an aging society, with 14.3% of its population aged 65 and over in 2018, and this is expected to reach 18.4% by 2023 [1]. Korea’s aging population is aging at an unprecedented rate. Older adults prefer to age in place, requiring a high level of community support [2]. In response, the Korean government is focusing on building community care [3], and the importance of the long-term care insurance system for the elderly, which has been in place since 2008, is expected to grow.
Korea’s long-term care system operates based on the principle of social insurance. This is different from the care system that was previously selectively provided to low-income older adults in the form of public assistance. Specifically, in terms of service users, services that were previously only provided to older adults below a certain income standard can now be used by anyone, regardless of income. In the past, the system was funded solely by taxes, but the long-term care insurance system is funded by social insurance and a certain amount of co-payment. As for the delivery system, care services provided by public assistance were mainly handled by non-profit corporations, but now individuals can also run organizations. Services have also expanded to include various services, such as home care, home bathing, and home nursing. This can be said to be a similar trend to the social welfare service delivery model, which developed from a professionalism model to a consumerism model based on economics, giving users a choice [4,5]. This means that users can choose which services they want to receive and from whom, based on their needs, as opposed to having a professional determine what services they need through an assessment. The aforementioned changes in coverage, co-payments, and reduced barriers to entry for service providers will play a major role in this transformation.
These services are available to anyone who has a need for care due to geriatric diseases, etc., and emphasizes the user’s right to choose by applying market principles. In other words, this is a similar trend to the evolution of the social welfare service delivery model from a professionalism model to a consumerism model based on an economic perspective, giving users the right to choose [4,5].
However, the commoditization of services and the expansion of options alone cannot be considered to provide services that truly reflect the interests of users [6]. Therefore, the co-production model, in which experts and users share the decision-making process, is gaining attention [7,8]. Especially in cases where long-term support is needed, needs are constantly changing, or services have a major impact on the user’s quality of life, the co-production model is more appropriate than the traditional provider-centric or consumer model [9]. This co-production model emphasizes service user participation and cooperation for several reasons. First, because service users are the most knowledgeable about their needs [10], utilizing them as collaborators helps to improve services to ensure that the goals of the service are well met [11]. Second, because home care services are provided in the user’s home and are tailored to their individual needs, interaction is inevitable [12], and that interaction determines the amount and nature of the care and the work of service providers [13]. In other words, client cooperation facilitates successful interactions with service providers at the service encounter [14]. Third, participation encompasses both the user’s suggestions, ideas, complaints, suggestions, etc., for the development of the organization’s policies, which makes the service organization more aware of the problems they have so that they can create better services [15].
So, what makes users cooperate and engage in the service process? Previous research has shown that service quality influences users’ willingness to participate and cooperate [11,16]. Other studies have reported that quality affects self-determination [17], and that self-determination at the service contact point affects service users’ cooperation and participation [14,18]. In this context, self-determination is a widely used concept in the field of motivation theory, referring to the ability to make choices and determine actions on one’s own, without being coerced by rewards or external pressures [19,20].
Self-determination theory argues that motivation is made possible by understanding our innate psychological needs [21]. Self-determination theory is composed of several mini-theories, of which the basic psychological needs theory consists of autonomy, competence, and relatedness. Autonomy is the most important concept and is the belief that one is the subject and regulator of one’s own actions [18]. Competence is more focused on the psychological motivation aspect and is the belief that one can interact effectively with the environment [20], a similar concept to self-efficacy, as proposed by Bandura (1986) [22]. Finally, in addition to being competent and free, humans also seek to feel meaningfully connected to others in a social context [20,23], which is the relatedness need.
This relational need is even more important in care relationships [24], because care is not just about physical care, but also about caring for psychological, emotional, and developmental needs [25], and care providers and recipients become interdependent and relational beings [26]. In other words, a strong relationship between service providers and users facilitates the exchange of information about each other, and helps them to identify mutual needs and discover opportunities to create new values based on trust in each other [27]. This, in turn, is conducive to user participation and cooperation.
The self-determination theory has been used to understand the psychological motivations of customers or service users in a variety of fields, including education [28,29,30], service marketing [17,18,31,32], and social services [33,34,35]. In the context of older adults, self-determination theory has been applied in a variety of fields, including research on aging, adaptation, and leisure among community-dwelling older adults [36], research on the effectiveness of nursing home programs [32], and the motivation to use mobile health applications [37]. However, there is a lack of research on the care of older adults living in the community. In addition, studies on user participation and cooperation in social services have mainly focused on theoretical discussions [7,8,10,38] and have not empirically confirmed whether self-determination affects user participation and cooperation. Therefore, this study aims to examine whether self-determination mediates the relationship between service quality and participation and cooperation, based on basic psychological needs theory.
2. Materials and Methods
2.1. Research Model
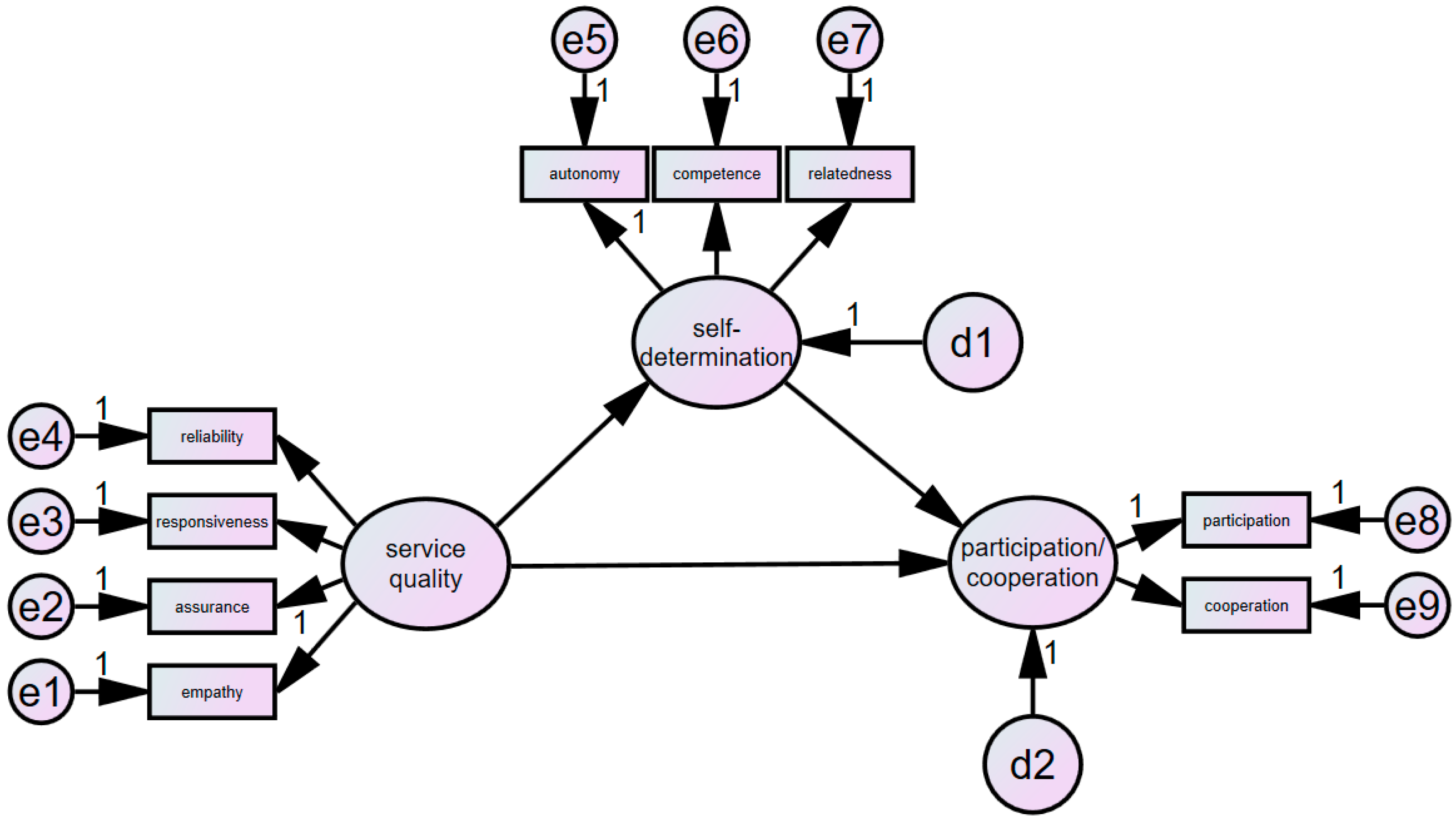
A research model was set up, as shown in Figure 1. The research questions of this study are as follows.
Figure 1.
Research model.
First, does the quality of home care service affect users’ participation/cooperation?
Second, does users’ self-determination mediate between quality and participation/cooperation?
2.2. Research Subjects and Data Collection
The target population of this study is people aged 65 and over, who use home care services under long-term care insurance. The sampling method was based on the list of organizations disclosed on the website of the long-term care insurance, and the distribution of organizations in 14 cities and counties in Jeollabuk-do was considered and allocated by region. To ensure the ethical protection of research participants, data were collected with the approval of the institutional review board. The data collection period was February–March 2019. Data were collected face-to-face after receiving written consent to participate in the study. Participants filled out a structured questionnaire or answered questions with the help of family members and others. A total of 457 copies of the questionnaire were distributed and a total of 359 data were collected. Of the collected data, 358 data were used in the final analysis, with the exception of one outlier for some variables.
2.3. Definition and Measurement of Variables
2.3.1. Cooperation/Participation
Several scholars describe the concept of participation as the degree to which users are involved in the service delivery process [39] or as a behavior [40], as a temporary member with a certain role and as a co-creator [41]. In this study, cooperation and participation refers to whether the user voluntarily cooperated and participated, in addition to the required behavior in the process of using the service, and the items used in Bettencourt’s (1997) study [15] were modified and supplemented for this study.
Cooperation was measured by three questions about “helping the staff, following the rules and policies of the organization, and treating the staff with respect and kindness”. Participation was measured by three questions about “giving advice on how to help the organization better understand the needs of the users, giving useful ideas to improve the service, and praising the staff when they did a good job”. The response categories ranged from “not at all” to “very much”.
Responses ranged from 1 (not at all) to 5 (very much so), with higher scores indicating higher levels of engagement and cooperation. The reliability of the total six items of the cooperation and participation scale was secured with Cronbach’s α = 0.765.
2.3.2. Self-Determination
Self-determination utilizes a scale developed by Deci and Ryan (2000) to measure basic human psychological needs, applicable to both relationships and life in general [21]. The scale consists of autonomy, competence, and relatedness (http://www.psych.rochester.edu/SDT/measures/needs_scl.html, accessed on 30 October 2023). In this study, it was modified and supplemented by the relationship between home care service users and service providers (social workers and caregivers).
Autonomy was measured with 7 items, including “I feel free to decide how to use the service”, “I use the service in my own way”, and “I don’t have many opportunities to decide the service in my own way (reverse)”. Competence was measured by 6 items, including “I am confident in my ability to use the service” and “Others recognize that I am competent in using the service. Relationship was measured by 6 questions about the relationship with the social worker and 6 questions about the relationship with the caregiver, such as “I get along well with my social worker (caregiver)”, “I get along with my social worker (caregiver)”, “I get along with my social worker (caregiver)”, and “I get along with my social worker (caregiver)”. The response categories ranged from “not at all” to “harmonious”.
The responses were scored on a Likert scale ranging from 1 (not at all) to 5 (very much so). The higher the score, the higher the self-determination, and the reverse questions were recorded and analyzed. The reliability of the 25 items of the self-determination scale was high, with Cronbach’s α = 0.843.
2.3.3. Service Quality
Service quality refers to the user’s subjective evaluation of the service and was measured using Cronin and Taylor’s (1992) SERVPERF model [42]. In the SERVPERF model, quality is composed of five dimensions, including tangibles, which are related to the physical conditions of the organization; reliability, which is the ability to perform the service accurately; responsiveness, which is the ability to help quickly and actively; assurance, which is the ability to give trust and confidence in the service, such as the knowledge and courteous manners of the staff; and empathy, which is the care and attention that the organization provides to the user, and good communication [42]. However, this study did not measure tangibility, which is a quality measure of an organization’s facilities and equipment, given that the place where services are provided is the user’s home.
A total of 16 questions were used to measure reliability, consisting of 5 questions on reliability, 3 questions on responsiveness, 4 questions on certainty, and 4 questions on empathy. The response categories were scored on a Likert scale ranging from 1 (not at all) to 5 (very much so). Higher scores indicate higher quality. The reliability of the 16-item quality scale was found to be very high, with a Cronbach’s α = 0.956.
2.4. Methods
The data were analyzed using IBM’s SPSS 25.0 and AMOS 25.0 programs. First, the data were checked for outliers and missing values and checked for normality, and the characteristics of the research subjects and the main variables were checked through frequency analysis and descriptive statistics. After confirming whether the research model was suitable for applying the structural model through a measurement model, the structural model was verified using a structural equation model.
3. Result
3.1. Characteristics of Research Subjects and Main Variables
The general characteristics of the subjects and the characteristics of the main variables are shown in Table 1. Of the 358 participants, 264 (73.7%) were female and 94 (26.3%) were male. The majority of the respondents were in their 80s, 178 (49.7%), and the average age was 81.51 years old. In terms of education, 151 (42.2%) had no education, 111 (31.0%) had a high school diploma, 54 (15.1%) had a high school diploma or higher, and 42 (11.7%) had a college degree. In terms of household type, 169 (47.2%) were living alone, and the average weekly usage time was 12.6 h.
Table 1.
Characteristics of research subjects and main variables.
For service quality, the highest score was 4.31, for certainty. Among the self-determination dimensions, relationship was the highest, at 4.10, followed by autonomy at 3.52, and competence at 3.50. Cooperation was found to be 3.76, and the participation score was 3.39. The skewness of the main variables ranged from −0.977 to 0.009 and the kurtosis ranged from −0.397 to 3.302, indicating that the data were normal according to Kline’s (2005) criteria [43].
3.2. Measurement Model
The goodness of fit of the measurement model was χ2 = 74.410 (df = 24, p = 0.000), but the χ2 statistic is sensitive to the sample size and overestimates the discrepancy between the model and the data [44]. Therefore, we further checked the model fit, which is not sensitive to the sample size. An RMR (RMSR) of 0.05 or less, an RMSEA of 0.08 or less, and a GFI of 0.9 or more are considered a good model fit [45]. In this study, the absolute fit index of the measurement model was found to be RMR = 0.015 (RMSR = 0.042), RMSEA = 0.074, and GFI = 0.957.
Next, to verify the construct validity of the variables, we examined the convergent validity, which refers to the agreement of the observed variables measuring the latent variable, and discriminant validity, which refers to the difference between the different latent variables. The standardized factor loadings of service quality ranged from 0.708 to 0.902, with AVE = 0.881 and concept reliability = 0.967. In addition, the standardized factor loadings of self-determination ranged from 0.492 to 0.747, and although the standardized factor loadings of autonomy did not meet the criterion, the AVE = 0.697 and conceptual reliability = 0.870 indicated that the focus validity was secured. The standardized factor loadings of cooperation and participation ranged from 0.650 to 0.860, with AVE = 0.725 and conceptual reliability = 0.838, indicating that all variables included in the study were convergent. The results of the measurement model are presented in Table 2.
Table 2.
Convergent validity of observed variables.
As for discriminant validity, we compared the AVE and ∅2 values between all variables, as shown in Table 3, and found that the AVE value was greater than the ∅2 value, and [∅ ± 2 × S.E.] did not contain 1. Therefore, the discriminant validity of the input latent variables was secured.
Table 3.
Discriminant validity of observed variables.
3.3. Structural Model
The results of the structural model analysis are as follows. The fit of the structural model was χ2 = 74.410 (df = 24, p = 0.000), RMR = 0.015 (RMSR = 0.042), RMSEA = 0.074, GFI = 0.957, NFI = 0.953, IFI = 0.968, TLI = 0.952, CFI = 0.968. The path coefficients and significance results of each path, as identified in the structural model analysis, are shown in Table 4.
Table 4.
Structural model analysis results.
Specifically, the path from quality to self-determination was positively related and statistically significant (β = 0.827, p = 0.000), meaning that the higher the quality of the home care service, the higher the self-determination. The path from self-determination to cooperation and participation also showed a positive relationship and was statistically significant (β = 0.485, p = 0.006). This means that the higher the level of self-determination among users, the higher the level of cooperation and participation. However, the path from quality to cooperation and engagement is not statistically significant. Therefore, we can say that self-determination fully mediates the relationship between quality and cooperation and participation, and that good quality alone does not lead to users’ voluntary cooperation and participation.
The results of the statistical significance of the mediating effects using the bootstrapping method are shown in Table 5. The total effect of the path from quality to participation and cooperation was 0.424, the direct effect was 0.023, and the indirect effect was 0.401. The indirect effect is significant at the 0.05 level, as the bootstrapping bias corrected (BC) is not zero between the lower and upper bounds (0.47~1.120), with a 95% confidence interval [45]. Therefore, the indirect effect of self-determination on the path between quality and participation and cooperation is statistically significant.
Table 5.
Effect decomposition.
4. Discussion
The purpose of this study is to determine whether home care service quality affects users’ voluntary cooperation and participation through self-determination. For this purpose, data from 358 long-term care service users in Korea were analyzed using the structural equation model.
The main findings of this study are as follows. First, the quality of home care services does not directly affect users’ voluntary cooperation and participation in the service delivery process. This means that the quality of services provided by caregivers or social workers alone is not sufficient to elicit active cooperation and participation from users.
Second, quality was found to affect self-determination. This is consistent with the results of a study examining the relationship between service quality and self-determination using data on daycare center users, which showed that service quality affects self-determination behaviour [46]. It is also consistent with a study that examined the relationship between service quality and satisfaction mediated by self-determination in a model of mobile banking users, and found that service quality influences self-determination [17].
Third, self-determination was found to influence cooperation and participation, i.e., self-determination, which consists of users’ autonomy, relatedness, and competence, was found to increase cooperation and participation at service encounters. These findings support Morgan and Hunt’s (1994) study, which argued that relationship development variables such as commitment and trust can explain service user cooperation [27], and are consistent with a study that found that hospital service users’ self-determination (autonomy, competence, and relatedness) influenced customer engagement [18].
Fourth, we find that self-determination mediates the relationship between quality and cooperation and participation. In other words, the direct path from quality to cooperation and participation was not statistically significant, and self-determination fully mediated the relationship between quality and cooperation and participation. This is similar to existing research results showing that service quality does not directly affect users’ voluntary actions, such as participation and cooperation, and that participation and cooperation require a medium that triggers voluntary actions such as satisfaction and trust with the service [11,16]. In other words, while providing good quality services is a prerequisite, good quality alone does not lead to voluntary cooperation and participation. User participation and cooperation can be implemented only when users have the mindset that they can choose and use services according to their own will and maintain a good relationship with the service provider.
The significance and implications of this study are as follows. First, we found that self-determination is an important variable that can explain the process from quality to cooperation and participation in a more concrete way. Until now, the discussion of user participation and cooperation in the care sector has only been theoretical. However, the significance of this study is that it empirically verifies the factors that lead to user participation and cooperation. Self-determination theory has mostly been applied in the fields of education [28,29,30], service marketing [18,31,32], and social services [33,34,35], but this study validates the utility of self-determination theory in the field of community-based older adult care.
Therefore, service providers should provide appropriate information to increase users’ autonomy and show support and encouragement for their choices. It is more effective to present a few options that are suitable for the person than to present too many options. When selecting options, the social worker or caregiver should prioritize the interests of the person, rather than the interests of the organization or the convenience of the service delivery. Given the importance of interaction in enhancing self-determination [21], efforts should be made to ensure that the service user–provider relationship is supportive.
In addition, users must be involved in all stages of service assessment, planning, monitoring, and evaluation, and their opinions must be actively reflected so that they can experience competence. Of course, currently, users’ participation and cooperation are encouraged in the above stages, but user participation in long-term care services is still at the stage of nominal formal participation or users being informed about services. In other words, services are still planned and led by professionals such as social workers. In order to promote user participation, the attitudes and roles of professionals, such as recognition and encouragement of participation, along with institutional arrangements that ensure user participation activities, are important [47]. Therefore, it is necessary to establish a structure for direct user participation at all stages of service assessment, planning, monitoring, and evaluation, and service providers should have confidence in the competence of users and support them in making decisions on an equal footing.
Finally, this study is limited in generalizability because the sample selection was limited to home care service users in Jeollabuk-do, Korea. In addition, the quantitative approach did not allow us to explore a wider range of variables affecting service user cooperation and engagement, nor did it allow us to explore participants’ perspectives in more depth. We hope that future research will address these limitations.
5. Conclusions
In order to promote user participation and cooperation through service quality and self-determination in long-term care services, a representative older adult care system in Korea, appropriate information should be provided to increase user autonomy. In addition, users’ voices should be actively reflected so that they can experience competence, and the attitudes and roles of professionals such as recognizing and encouraging users’ participation and cooperation are important.
Author Contributions
Conceptualization, H.C.; methodology and analysis, H.C. and J.K.; writing—original draft preparation, H.C.; writing—review and editing, J.K.; All authors have read and agreed to the published version of the manuscript.
Funding
This research received no external funding.
Institutional Review Board Statement
This study was conducted in accordance with the Declaration of Helsinki and approved by the Institutional Review Board of Chonbuk National University (IRB NO: JBUN 2018-12-012-001, 24 January 2019).
Informed Consent Statement
Informed consent was obtained from all participants involved in the study.
Data Availability Statement
The authors own this data and agree to make the materials and data available to the journal and other researchers upon request.
Conflicts of Interest
The authors declare no conflicts of interest.
References
- Kosis. 2023. Available online: https://kosis.kr/ (accessed on 7 November 2023).
- Jeste, D.V.; Blazer, D.G., 2nd; Buckwalter, K.C.; Cassidy, K.K.; Fishman, L.; Gwyther, L.P.; Levin, S.M.; Phillipson, C.; Rao, R.R.; Schmeding, E. Age-friendly communities initiative: Public health approach to promoting successful aging. Am. J. Geriatr. Psychiatry 2016, 24, 1158–1170. [Google Scholar] [CrossRef] [PubMed]
- Sung, S.; Park, M.; Kim, J.; Jeon, S.; Sung, A.; Lee, E.; Oh, D.; Park, J.; Park, J.; Kim, K. Current Status of Traditional Korean Medicine Services in Public Sector: A Study for Integrating Traditional Korean Medicine into Community Care System. Healthcare 2021, 9, 493. [Google Scholar] [CrossRef] [PubMed]
- Hood, C. A Public Management for All Seasons? Public Adm. 1991, 39, 3–19. [Google Scholar] [CrossRef]
- Jones, K. The Making of Social Policy in Britain: From the Poor Law to New Labour, 3rd ed.; Continuum: London, UK, 2005. [Google Scholar]
- Cowden, S.; Singh, G. The “User” Friend, Foe or Fetish? A Critical Exploration of User Involvement in Health and Social Care. Crit. Soc. Policy 2007, 27, 5–23. [Google Scholar] [CrossRef]
- Choi, H.; Choi, Y.J. Application of the Co-production Model in the Process of Care Home Closure—The Case of England. J. Korean Soc. Welf. Adm. 2017, 19, 199–255. [Google Scholar] [CrossRef]
- Sanetta, H.J.; Shen, X.; Margaret, M. Meaningful engagement and person-centered residential dementia care: A critical interpretive synthesis. Scand. J. Occup. Ther. 2019, 26, 343–355. [Google Scholar] [CrossRef]
- Hunter, S.; Ritchie, P. Co-Production and Personalisation in Social Care: Changing Relationships in the Provision of Social Care. In Co-Production and Personalisation in Social Care: Changing Relationships in the Provision of Social Care; Jessica Kingsley Publishers: London, UK; Philadelphia, PA, USA, 2007. [Google Scholar]
- Kim, Y.D. Issues on User Participation in Korean Disability Services: Implications from UK Community Care. Korea J. Soc. Welf. 2005, 57, 363–387. [Google Scholar]
- Choi, H.G. The Effect of Service Quality on Customer Satisfaction, Trust, and Voluntary Behavioral Intention in the Local Government. Acad. Cust. Satisf. Manag. 2014, 16, 143–165. [Google Scholar]
- Iwamoto, S. Developing a Theory of Community Caring for Public Health Nursing. Healthcare 2023, 11, 349. [Google Scholar] [CrossRef]
- Kim, S. A Study on the Labor Experiences of Care Service Workers: Focused on emotional labor and relation-based labor. Women’s Stud. 2012, 82, 103–136. [Google Scholar]
- Bitner, M.J.; Farana, W.T.; Hubbert, A.R.; Zeithaml, V.A. Customer contributions and roles in service delivery. Int. J. Serv. Ind. Manag. 1997, 8, 193–205. [Google Scholar] [CrossRef]
- Bettencourt, L.A. Customer Voluntary Performance: Customer as Partners in Service Delivery. J. Retail. 1997, 73, 383–406. [Google Scholar] [CrossRef]
- Lee, Y.K. The Effects of Customer Perception of Customer Contact Employees’ Prosocial Behavior on Employee Service Quality Evaluation, Customer Satisfaction, and Voluntary Behavior of Customers. Korea Mark. Rev. 2001, 16, 105–125. [Google Scholar]
- Inan, D.I.; Hidayanto, A.N.; Juita, R.; Soemawilaga, F.F.; Melinda, F.; Puspacinantya, P.; Amalia, Y. Service quality and self-determination theory towards continuance usage intention of mobile banking. J. Sci. Technol. Policy Manag. 2023, 14, 303–328. [Google Scholar] [CrossRef]
- Suh, M.S.; Ahn, J.W.; Rho, T.S. A study on the voluntary determinants of customer participation and effects on service quality in service encounter—Focused on self-determination theory. J. Consum. Cult. 2010, 13, 61–94. [Google Scholar] [CrossRef]
- Deci, E.L. The Psychology of Self-Determination; DC Healt: Lexington, MA, USA, 1980. [Google Scholar]
- Deci, E.L. Why We Do What We Do: Understanding Self-Motivation; Penguin Book: New York, NY, USA, 1995. [Google Scholar]
- Deci, E.L.; Ryan, R.M. The ‘what’ and ‘Why’ of goal pursuits: Human needs and the self-determination of behavior. Psychol. Inq. 2000, 11, 227–268. [Google Scholar] [CrossRef]
- Bandura, A. Regulation of Cognitive Processes through Perceived Self-efficacy. Dev. Psychol. 1986, 25, 729–735. [Google Scholar] [CrossRef]
- Standage, M.; Duda, J.L.; Ntoumanis, N. A Model of Contextual Motivation in Physical Education: Using Constructs from Self-determination and Achievement Goal Theories to predict Physical Activity Intentions. J. Educ. Psychol. 2003, 95, 97–110. [Google Scholar] [CrossRef]
- Cho, H.R.; Yeo, Y.H. The Effect of Quality of In-home Care Service on Performance: Multi-mediating effect of the relationship between client and care-giver/social worker. J. Korean Gerontol. Soc. 2020, 40, 913–933. [Google Scholar] [CrossRef]
- Standing, G. Care Work: Overcoming Insecurity and Neglect. In Care Work: The Quest for Security; Daly, M., Ed.; International Labour Office: Geneva, Switzerland, 2001; pp. 15–32. [Google Scholar]
- Kittay, E.F. Love’s Labor: Essays in Women, Equality and Dependency; Routledge: New York, NY, USA; London, UK, 1999. [Google Scholar]
- Morgan, R.M.; Hunt, S.D. The Commitment-Trust Theory of Relationship Marketing. J. Mark. 1994, 58, 20–38. [Google Scholar] [CrossRef]
- Niemiec, C.P.; Ryan, R.M. Autonomy, competence, and relatedness in the classroom: Applying self-determination theory to educational practice. Theory Res. Educ. 2009, 7, 133–144. [Google Scholar] [CrossRef]
- Ryan, R.M.; Deci, E.L. Definitions, theory, practices, and future directions. Contemp. Educ. Psychol. 2020, 61, 101860. [Google Scholar] [CrossRef]
- Guay, F. Applying self-determination theory to education: Regulations types, psychological needs, and autonomy supporting behaviors. Can. J. Sch. Psychol. 2022, 37, 75–92. [Google Scholar] [CrossRef]
- Dholakia, U.M. How Customer Self- Determination Influences Relational Marketing Outcomes: Evidence from Longitudinal Field Studies. J. Mark. Res. 2006, 43, 109–120. [Google Scholar] [CrossRef]
- Li, L.H.; Cheung, K.S.; Tse, W.S. Understanding the shoppers’ perception in retail shopping malls: A self-determination theory perspective. J. Strateg. Mark. 2023, 31, 58–73. [Google Scholar] [CrossRef]
- Dennis, C.B.; McCallion, P.; Ferretti, L.A. Understanding Implementation of Best Practices for Working with the Older Homeless Through the Lens of Self-Determination Theory. J. Gerontol. Soc. Work 2012, 55, 352–366. [Google Scholar] [CrossRef] [PubMed]
- Nagpaul, T.; Chen, J. Self-determination theory as a Framework for understanding needs of youth at-risk: Perspectives of social service professionals and the youth themselves. Child. Youth Serv. Rev. 2019, 99, 328–342. [Google Scholar] [CrossRef]
- Kirzner, R.S.; Miserandino, M. Self-determination Theory and Social Work Values. Res. Soc. Work Pract. 2023, 33, 656–665. [Google Scholar] [CrossRef]
- Dattilo, J.; Mogle, J.; Lorek, A.E.; Freed, S.; Frysinger, M. Using self-determination theory to understand challenges to aging, adaptation, and leisure among community-dwelling older adults. Act. Adapt. Aging 2018, 42, 85–103. [Google Scholar] [CrossRef]
- Janssen, I.I.; Marler, B.W.M. Motivation of Older Adults to Use Mobile Health Applications: A Self-Determination Theory Approach. Master’s Thesis, Tilburg University, Tilburg, The Netherlands, 2023. [Google Scholar]
- Yang, Y.; Chung, Y.S. In search for a distributive user involvement in policy-making process on ageing: A case study of UK Advisory Forum on Ageing. Korea Soc. Policy Rev. 2011, 18, 143–173. [Google Scholar] [CrossRef]
- Dabholkar, P. How to improve perceived service quality by improving customer participation. J. Acad. Mark. Sci. 1990, 18, 483–537. [Google Scholar]
- Cermak, S.P.; Karen, M.F. Customer Participation in Service Specification and Delivery. J. Appl. Bus. Res. 1994, 10, 90–97. [Google Scholar] [CrossRef]
- Namasivayam, K. The consumer as ‘Transient Employees’ Consumer Satisfaction through the Lens of Job-Performance Models. Int. J. Serv. Ind. Manag. 2003, 14, 420–435. [Google Scholar] [CrossRef]
- Cronin, J.J.; Taylor, S.A. Measuring Service Quality: A Reexamination and Extension. J. Mark. 1992, 56, 55–68. [Google Scholar] [CrossRef]
- Kline, T.J. Psychological Testing: A Practical Approach to Design and Evaluation; Sage Publications: Thousand Oaks, CA, USA, 2005. [Google Scholar]
- Woo, J. Professor Jongpil Woo’s Concept and Understanding of the Structural Equation Model; Hannarae Academy: Seoul, Republic of Korea, 2012. [Google Scholar]
- Bea, B.R. Amos 24 Structural Equation Modeling; Cheonglam: Seoul, Republic of Korea, 2017. [Google Scholar]
- Martínez, T.V.; Moliner, C.; Peñarroja, V.; Gracia, E. From service quality in organisations to self-determination at home. J. Intellect. Disabil. Res. 2015, 59, 882–890. [Google Scholar] [CrossRef]
- Joo, H.J. A Study on the Public Welfare Service and Co-production Practice Exploration Focused on Customized Personal Social Service. J. Korean Soc. Welf. Adm. 2020, 22, 69–108. [Google Scholar] [CrossRef]
Disclaimer/Publisher’s Note: The statements, opinions and data contained in all publications are solely those of the individual author(s) and contributor(s) and not of MDPI and/or the editor(s). MDPI and/or the editor(s) disclaim responsibility for any injury to people or property resulting from any ideas, methods, instructions or products referred to in the content. |
© 2024 by the authors. Licensee MDPI, Basel, Switzerland. This article is an open access article distributed under the terms and conditions of the Creative Commons Attribution (CC BY) license (https://creativecommons.org/licenses/by/4.0/).
