Efficacy of Aromatherapy at Relieving the Work-Related Stress of Nursing Staff from Various Hospital Departments during COVID-19
Abstract
1. Introduction
2. Materials and Methods
2.1. Participants
2.2. Experimental Procedures
2.3. Experimental Procedures
2.4. Physiological Parameters
2.5. Subjective Measures
2.6. Statistical Analysis
3. Results
3.1. Effect of the Intervention on Physiological Measures
3.2. Effect of the Intervention on Subjective Measures
3.3. Correlation Test
4. Discussion
5. Conclusions
Author Contributions
Funding
Institutional Review Board Statement
Informed Consent Statement
Data Availability Statement
Conflicts of Interest
References
- Chou, L.P.; Li, C.Y.; Hu, S.C. Job stress and burnout in hospital employees: Comparisons of different medical professions in a regional hospital in Taiwan. BMJ Open. 2014, 4, e004185. [Google Scholar] [CrossRef] [PubMed]
- Lin, S.H.; Liao, W.C.; Chen, M.Y.; Fan, J.Y. The impact of shift work on nurses’ job stress, sleep quality and self-perceived health status. J Nurs Manag. 2014, 22, 604–612. [Google Scholar] [CrossRef] [PubMed]
- Khamisa, N.; Oldenburg, B.; Peltzer, K.; Ilic, D. Work related stress, burnout, job satisfaction and general health of nurses. Int. J. Environ. Res. Public Health 2015, 12, 652–666. [Google Scholar] [CrossRef] [PubMed]
- Clarke, J.R.; Lerner, J.C.; Marella, W. The role for leaders of health care organizations in patient safety. Am. J. Med. Qual. 2007, 22, 311–318. [Google Scholar] [CrossRef]
- Sarafis, P.; Rousaki, E.; Tsounis, A.; Malliarou, M.; Lahana, L.; Bamidis, P.; Niakas, D.; Papastavrou, E.; Papastavrou, E. The impact of occupational stress on nurses’ caring behaviors and their health related quality of life. BMC Nurs. 2016, 15, 56. [Google Scholar] [CrossRef]
- Jang, H.J.; Kim, O.; Kim, S.; Kim, M.S.; Choi, J.A.; Kim, B.; Dan, H.; Jung, H. Factors affecting physical and mental fatigue among female hospital nurses: The Korea Nurses’ Health Study. Healthcare 2021, 9, 201. [Google Scholar] [CrossRef]
- Warshawsky, N.E.; Havens, D.S. Nurse manager job satisfaction and intent to leave. Nurs. Econ. 2014, 32, 32–39. [Google Scholar] [PubMed]
- Bulbuloglu, S.; Kapikiran, G.; Saritas, S. Perceived and sources of occupational stress in surgical intensive care nurses. Proc. Singapore Healthc. 2021, 30, 200–205. [Google Scholar] [CrossRef]
- Lai, J.; Ma, S.; Wang, Y.; Cai, Z.; Hu, J.; Wei, N.; Wu, J.; Du, H.; Chen, T.; Li, R.; et al. Factors associated with mental health outcomes among health care workers exposed to coronavirus disease 2019. JAMA Netw Open. 2020, 3, e203976. [Google Scholar] [CrossRef]
- Catton, H. Global challenges in health and health care for nurses and midwives everywhere. Int. Nurs. Rev. 2020, 67, 4–6. [Google Scholar] [CrossRef]
- Mo, Y.; Deng, L.; Zhang, L.; Lang, Q.; Liao, C.; Wang, N.; Qin, M.; Huang, H.; Huang, H. Work stress among Chinese nurses to support Wuhan in fighting against COVID-19 epidemic. J. Nurs. Manag. 2020, 28, 1002–1009. [Google Scholar] [CrossRef] [PubMed]
- González-Gil, M.T.; González-Blázquez, C.; Parro-Moreno, A.I.; Pedraz-Marcos, A.; Palmar-Santos, A.; Otero-García, L.; Navarta-Sánchez, M.V.; Alcolea-Cosín, M.T.; Argüello-López, M.T.; Canalejas-Pérez, C.; et al. Nurses’ perceptions and demands regarding COVID-19 care delivery in critical care units and hospital emergency services. Intensiv. Crit. Care Nurs. 2021, 62, 102966. [Google Scholar] [CrossRef] [PubMed]
- Dolić, M.; Antičević, V.; Dolić, K.; Pogorelić, Z. Difference in pandemic-related experiences and factors associated with sickness absence among nurses working in COVID-19 and non-COVID-19 departments. Int. J. Environ. Res. Public Health 2022, 19, 1093. [Google Scholar] [CrossRef] [PubMed]
- Alam, M.; Roongpisuthipong, W.; Kim, N.A.; Goyal, A.; Swary, J.H.; Brindise, R.T.; Iyengar, S.; Pace, N.; West, D.P.; Polavarapu, M.; et al. Utility of recorded guided imagery and relaxing music in reducing patient pain and anxiety, and surgeon anxiety, during cutaneous surgical procedures: A single-blinded randomized controlled trial. J. Am. Acad. Dermatol. 2016, 75, 585–589. [Google Scholar] [CrossRef]
- Yu, B.; Funk, M.; Hu, J.; Feijs, L. Unwind: A musical biofeedback for relaxation assistance. Behav. Inf. Technol. 2018, 37, 800–814. [Google Scholar] [CrossRef]
- Ali, U.; Hasan, S. The effectiveness of relaxation therapy in the reduction of anxiety related symptoms (a case study). Int. J. Psychol. Stud. 2010, 2, 202–208. [Google Scholar] [CrossRef][Green Version]
- Klainin-Yobas, P.; Oo, W.N.; Suzanne Yew, P.Y.; Lau, Y. Effects of relaxation interventions on depression and anxiety among older adults: A systematic review. Aging Ment. Health 2015, 19, 1043–1055. [Google Scholar] [CrossRef]
- Yu, B.; Hu, J.; Funk, M.; Feijs, L. DeLight: Biofeedback through ambient light for stress intervention and relaxation assistance. Pers. Ubiquitous Comput. 2018, 22, 787–805. [Google Scholar] [CrossRef]
- Hur, M.H.; Song, J.A.; Lee, J.; Lee, M.S. Aromatherapy for stress reduction in healthy adults: A systematic review and meta-analysis of randomized clinical trials. Maturitas 2014, 79, 362–369. [Google Scholar] [CrossRef]
- Bowles, E.J. The Chemistry of Aromatherapeutic Oils; Routledge: London, UK, 2020. [Google Scholar]
- Sayorwan, W.; Siripornpanich, V.; Piriyapunyaporn, T.; Hongratanaworakit, T.; Kotchabhakdi, N.; Ruangrungsi, N. The effects of lavender oil inhalation on emotional states, autonomic nervous system, and brain electrical activity. J. Med. Assoc. Thai. 2012, 95, 598–606. [Google Scholar] [PubMed]
- Cho, H.J.; Kwon, K.H. Prior literature analysis: The reduction of employee perceived stress through aromatherapy. J. Ind. Disribution Bus. 2022, 13, 7–16. [Google Scholar]
- Chen, M.C.; Fang, S.H.; Fang, L. The effects of aromatherapy in relieving symptoms related to job stress among nurses. Int. J. Nurs. Pract. 2015, 21, 87–93. [Google Scholar] [CrossRef] [PubMed]
- Pemberton, E.; Turpin, P.G. The effect of essential oils on work-related stress in intensive care unit nurses. Holist. Nurs. Pract. 2008, 22, 97–102. [Google Scholar] [CrossRef] [PubMed]
- Johnson, K.; West, T.; Diana, S.; Todd, J.; Haynes, B.; Bernhardt, J.; Johnson, R. Use of aromatherapy to promote a therapeutic nurse environment. Intensiv. Crit. Care Nurs. 2017, 40, 18–25. [Google Scholar] [CrossRef]
- Chang, K.M.; Shen, C.W. Aromatherapy benefits autonomic nervous system regulation for elementary school faculty in Taiwan. Evid. Based Complement. Altern. Med. 2011, 2011, 946537. [Google Scholar] [CrossRef] [PubMed]
- Liu, S.H.; Lin, T.H.; Chang, K.M. The physical effects of aromatherapy in alleviating work-related stress on elementary school teachers in Taiwan. Evid. Based Complement. Altern. Med. 2013, 2013, 853809. [Google Scholar] [CrossRef] [PubMed]
- Mei-Ling, C.H.E.N.; Yueh-Er, C.H.E.N.; Hui-Fang, L.E.E. The effect of bergamot essential oil aromatherapy on improving depressive mood and sleep quality in postpartum women: A randomized controlled trial. J. Nurs. Res. 2022, 30, e201. [Google Scholar]
- Watanabe, E.; Kuchta, K.; Kimura, M.; Rauwald, H.W.; Kamei, T.; Imanishi, J. Effects of bergamot (Citrus bergamia (Risso) Wright & Arn.) essential oil aromatherapy on mood states, parasympathetic nervous system activity, and salivary cortisol levels in 41 healthy females. Complement. Med. Res. 2015, 22, 43–49. [Google Scholar] [CrossRef]
- Sakurada, T.; Mizoguchi, H.; Kuwahata, H.; Katsuyama, S.; Komatsu, T.; Morrone, L.A.; Corasaniti, M.T.; Bagetta, G.; Sakurada, S. Intraplantar injection of bergamot essential oil induces peripheral antinociception mediated by opi oid mechanism. Pharmacol. Biochem. Behav. 2011, 97, 436–443. [Google Scholar] [CrossRef]
- Kuwahata, H.; Komatsu, T.; Katsuyama, S.; Corasaniti, M.T.; Bagetta, G.; Sakurada, S.; Sakurada, T.; Takahama, K. Peripherally injected linalool and bergamot essential oil attenuate mechanical allodynia via inhibiting spinal ERK phosphorylation. Pharmacol. Biochem. Behav. 2013, 103, 735–741. [Google Scholar] [CrossRef] [PubMed]
- Pereira, I.; Severino, P.; Santos, A.C.; Silva, A.M.; Souto, E.B. Linalool bioactive properties and potential applicability in drug delivery systems. Colloids Surf B Biointerfaces 2018, 171, 566–578. [Google Scholar] [CrossRef] [PubMed]
- Dugo, G.; Cotroneo, A.; Verzera, A.; Donato, M.G.; Duce, R.D.; Licandro, G.; Crispo, F. Genuineness characters of Calabrian bergamot essential oil. Flavour Fragr. J. 1991, 6, 39–56. [Google Scholar] [CrossRef]
- Sawamura, M.; Onishi, Y.; Ikemoto, J.; Tu, N.T.M.; Phi, N.T.L. Characteristic odour components of bergamot (Citrus bergamia Risso) essential oil. Flavour Fragr. J. 2006, 21, 609–615. [Google Scholar] [CrossRef]
- Marzocchi, S.; Baldi, E.; Crucitti, M.C.; Toselli, M.; Caboni, M.F. Effect of harvesting time on volatile compounds composition of bergamot (Citrus × Bergamia) essential oil. Flavour Fragr. J. 2019, 34, 426–435. [Google Scholar] [CrossRef]
- Scuteri, D.; Crudo, M.; Rombolà, L.; Watanabe, C.; Mizoguchi, H.; Sakurada, S.; Sakurada, T.; Greco, R.; Corasaniti, M.T.; Morrone, L.A.; et al. Antinociceptive effect of inhalation of the essential oil of bergamot in mice. Fitoterapia 2018, 129, 20–24. [Google Scholar] [CrossRef]
- Hawkins, J.R.; Weatherby, N.; Wrye, B.; Ujcich Ward, K.U. Bergamot aromatherapy for medical office–induced anxiety among children with an autism spectrum disorder: A randomized, controlled, blinded clinical trial. Holist. Nurs. Pract. 2019, 33, 285–294. [Google Scholar] [CrossRef]
- Kerr, D.; Hegg, M.; Mohebbi, M. Effects of diffused essential oils for reducing stress and improving mood for clinical nurses: An interventional time series study. Nurs. Forum. 2021, 56, 305–312. [Google Scholar] [CrossRef]
- Navarra, M.; Mannucci, C.; Delbò, M.; Calapai, G. Citrus Bergamia essential oil: From basic research to clinical application. Front. Pharmacol. 2015, 6, 36. [Google Scholar] [CrossRef]
- Dzedzickis, A.; Kaklauskas, A.; Bucinskas, V. Human emotion recognition: Review of sensors and methods. Sensors 2020, 20, 592. [Google Scholar] [CrossRef]
- Lang, P.J.; Greenwald, M.K.; Bradley, M.M.; Hamm, A.O. Looking at pictures: Affective, facial, visceral, and behavioral reactions. Psychophysiology 1993, 30, 261–273. [Google Scholar] [CrossRef]
- Appelhans, B.M.; Luecken, L.J. Heart rate variability as an index of regulated emotional responding. Rev. Gen. Psychol. 2006, 10, 229–240. [Google Scholar] [CrossRef]
- Task Force of the European Society of Cardiology. Heart rate variability: Standards of measurement, physiological interpretation, and clinical use. Circulation 1996, 93, 1043–1065. [Google Scholar] [CrossRef]
- Benoliel, J.Q.; McCorkle, R.; Georgiadou, F.; Denton, T.; Spitzer, A. Measurement of stress in clinical nursing. Cancer Nurs. 1990, 13, 221–228. [Google Scholar] [CrossRef] [PubMed]
- Tsai, S.L.; Chen, M.L. A test of the reliability and validity of nurse stress checklist. Nurs. Res. 1996, 4, 355–362. [Google Scholar]
- Lin, T.C.; Lin, H.S.; Cheng, S.F.; Wu, L.M.; Ou-Yang, M.C. Work stress, occupational burnout and depression levels: Clinical study of paediatric intensive care unit nurses in Taiwan. J. Clin. Nurs. 2016, 25, 1120–1130. [Google Scholar] [CrossRef] [PubMed]
- Kristensen, T.S.; Borritz, M.; Villadsen, E.; Christensen, K.B. The Copenhagen Burnout Inventory: A new tool for the assessment of burnout. Work Stress. 2005, 19, 192–207. [Google Scholar] [CrossRef]
- Yeh, W.Y.; Cheng, Y.W.; Chen, M.J.; Chiu, A.W.H. Development and validation of an occupational burnout inventory. Taiwan J. Public Health 2008, 27, 349–364. [Google Scholar]
- Lo, E.V.; Wei, Y.H.; Hwang, B.F. Association between occupational burnout and heart rate variability: A pilot study in a high-tech company in Taiwan. Medicine 2020, 99, e18630. [Google Scholar] [CrossRef]
- Cohen, J. A power primer. Psychol. Bull. 1992, 112, 155–159. [Google Scholar] [CrossRef]
- Ni, C.H.; Hou, W.H.; Kao, C.C.; Chang, M.L.; Yu, L.F.; Wu, C.C.; Chen, C. The anxiolytic effect of aromatherapy on patients awaiting ambulatory surgery: A randomized controlled trial. Evid. Based Complement. Alternat. Med. 2013, 2013, 927419. [Google Scholar] [CrossRef]
- Montibeler, J.; Domingos, T.D.S.; Braga, E.M.; Gnatta, J.R.; Kurebayashi, L.F.S.; Kurebayashi, A.K. Effectiveness of aromatherapy massage on the stress of the surgical center nursing team: A pilot study. Rev. Esc. Enferm. USP 2018, 52, 03348. [Google Scholar] [CrossRef] [PubMed]







| Indicator | Unit | Clinical Significance |
|---|---|---|
| SYS | mmHg | Systolic blood pressure |
| DIA | mmHg | Diastolic blood pressure |
| HR | BPM | Average heartbeat (beats per minute) |
| HRV | ms | Indicator for total activities of autonomic nervous system |
| HF | ms2 | Frequency of 0.15–0.4 Hz that reflects activities of the parasympathetic nervous system |
| LF | ms2 | Frequency of 0.04–0.15 Hz that reflects activities of the sympathetic nervous system |
| HF | % | Normalised HF, which is a quantitative indicator of activities of the parasympathetic nervous system |
| LF | % | Normalised LF, which is a quantitative indicator of activities of the sympathetic nervous system |
| LF/HF | Ratio of LF to HF, reflects the regulatory responses of the sympathetic versus parasympathetic nervous systems |
| Demographics | Categories | Frequency | Percentage (%) |
|---|---|---|---|
| Sex | Female | 26 | 100 |
| Age | 21–30 | 11 | 42.30 |
| 31–40 | 5 | 19.23 | |
| 41–50 | 9 | 34.62 | |
| >51 | 1 | 3.85 | |
| Department | General | 10 | 38.47 |
| Palliative care | 7 | 26.92 | |
| ObGyn | 5 | 19.23 | |
| ICU | 4 | 15.38 | |
| Work experience | <1 year | 2 | 7.69 |
| 1–15 years | 12 | 46.15 | |
| >15 years | 12 | 46.15 | |
| Education level | Polytechnic diploma | 8 | 30.77 |
| University degree | 15 | 57.69 | |
| Post-graduate degree | 3 | 11.54 | |
| Nursing grade | N1 | 3 | 11.54 |
| N2 | 9 | 34.62 | |
| N3 | 6 | 23.08 | |
| N4 | 5 | 19.23 | |
| Nurse Practitioner | 3 | 11.54 |
| Parameter | Pre (n = 26) | Post (n = 26) | t | Cohen’s d | p |
|---|---|---|---|---|---|
| SYS | 120.27 ± 33.59 | 119.96 ± 27.26 | 0.100 | 2.128 | 0.921 |
| DIA | 80.42 ± 16.76 | 80.42 ± 12.93 | 0.000 | 0.000 | 1.000 |
| HR | 79.84 ± 14.06 | 81.88 ± 10.14 | −0.786 | 0.154 | 0.439 |
| HRV | 90.77 ± 39.86 | 100.58 ± 78.31 | −0.621 | 0.121 | 0.540 |
| LF% | 59.35 ± 13.83 | 64.96 ± 14.70 | −1.422 | 0.279 | 0.167 |
| HF% | 40.65 ± 13.83 | 35.04 ± 14.70 | 1.422 | 0.279 | 0.167 |
| LF/HF | 1.84 ± 1.25 | 2.39 ± 1.64 | −1.368 | 0.267 | 0.183 |
| Parameter | Pre (n = 26) | Post (n = 26) | t | Cohen’s d | p |
|---|---|---|---|---|---|
| Total Score of NSC | 145.15 ± 32.66 | 138.27 ± 36.30 | 1.651 | 0.299 | 0.069 |
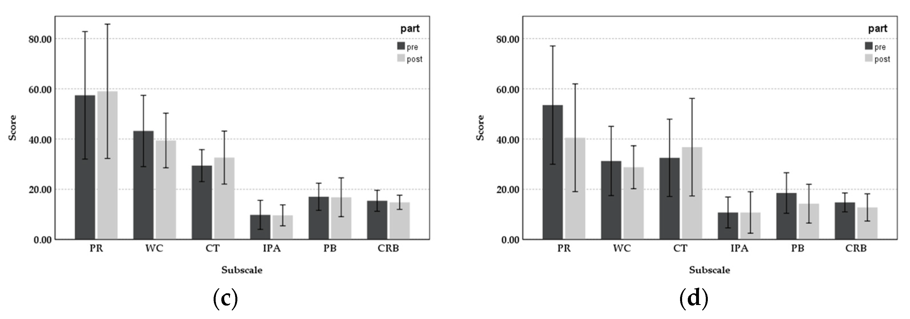
| Personal response (PR) | 61.81 ± 18.90 | 59.50 ± 19.07 | 0.638 | 0.125 | 0.215 |
| Work concerns (WC) | 46.00 ± 13.93 | 42.08 ± 14.83 | 1.982 | 0.389 | 0.029 * |
| Competence (CT) | 29.69 ± 8.74 | 28.88 ± 12.26 | −0.459 | 0.091 | 0.325 |
| Incompleteness personal arrangement (IPA) | 10.92 ± 4.69 | 10.50 ± 4.32 | 0.441 | 0.086 | 0.332 |
| Total Score of CBI | 33.54 ± 5.45 | 30.31 ± 7.73 | 2.241 | 0.439 | 0.017 * |
| Personal burnout (PB) | 17.65 ± 3.51 | 15.46 ± 4.57 | 2.652 | 0.525 | 0.007 ** |
| Client-related burnout (CRB) | 15.88 ± 3.56 | 14.85 ± 3.82 | 1.281 | 0.251 | 0.106 |
Disclaimer/Publisher’s Note: The statements, opinions and data contained in all publications are solely those of the individual author(s) and contributor(s) and not of MDPI and/or the editor(s). MDPI and/or the editor(s) disclaim responsibility for any injury to people or property resulting from any ideas, methods, instructions or products referred to in the content. |
© 2023 by the authors. Licensee MDPI, Basel, Switzerland. This article is an open access article distributed under the terms and conditions of the Creative Commons Attribution (CC BY) license (https://creativecommons.org/licenses/by/4.0/).
Share and Cite
Hung, C.-L.; Lin, Y.-L.; Chou, C.-M.; Wang, C.-J. Efficacy of Aromatherapy at Relieving the Work-Related Stress of Nursing Staff from Various Hospital Departments during COVID-19. Healthcare 2023, 11, 157. https://doi.org/10.3390/healthcare11020157
Hung C-L, Lin Y-L, Chou C-M, Wang C-J. Efficacy of Aromatherapy at Relieving the Work-Related Stress of Nursing Staff from Various Hospital Departments during COVID-19. Healthcare. 2023; 11(2):157. https://doi.org/10.3390/healthcare11020157
Chicago/Turabian StyleHung, Chi-Lun, Yun-Ling Lin, Chin-Mei Chou, and Ching-Ju Wang. 2023. "Efficacy of Aromatherapy at Relieving the Work-Related Stress of Nursing Staff from Various Hospital Departments during COVID-19" Healthcare 11, no. 2: 157. https://doi.org/10.3390/healthcare11020157
APA StyleHung, C.-L., Lin, Y.-L., Chou, C.-M., & Wang, C.-J. (2023). Efficacy of Aromatherapy at Relieving the Work-Related Stress of Nursing Staff from Various Hospital Departments during COVID-19. Healthcare, 11(2), 157. https://doi.org/10.3390/healthcare11020157

