Are All Societies Ready for Digital Tools? Feasibility Study on the Use of Mobile Application in Polish Early Breast Cancer Patients Treated with Perioperative Chemotherapy
Abstract
1. Introduction
2. Materials and Methods
2.1. Study Design and Participants
2.2. Measures
2.3. Data Analysis
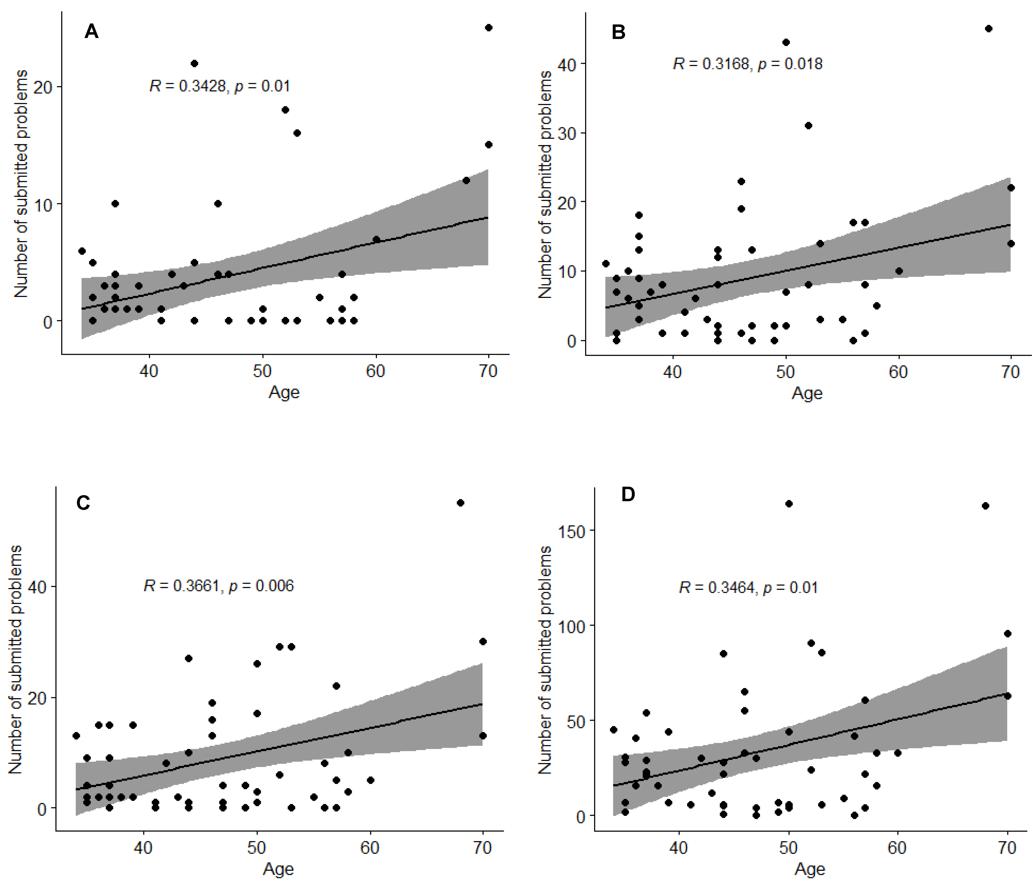
3. Results
3.1. Enrolment
3.2. Participants’ Characteristics
3.3. Participant Engagement with the App and Questionnaire
3.4. Nursing Interventions
3.5. Post-Study Observations
4. Discussion
Limitations of the Study
5. Conclusions
Supplementary Materials
Author Contributions
Funding
Institutional Review Board Statement
Informed Consent Statement
Data Availability Statement
Conflicts of Interest
Appendix A. Patient’s Satisfaction Survey
| “Patient’s Satisfaction Survey” | |||||||||
| 1. In your opinion, how difficult it is to use the in-app side-effects-reporting module? | |||||||||
| Very easy | Rather easy | Difficult to say | Rather difficult | Very difficult | |||||
| 2. In your opinion, did the possibility of using the in-app side-effects-reporting module improve your safety during chemotherapy? | |||||||||
| Definitely yes | Rather yes | Difficult to say | Rather no | Definitely no | |||||
| 3. Are you satisfied with the support you received in response to submitted answers? | |||||||||
| Definitely yes | Rather yes | Difficult to say | Rather no | Definitely no | |||||
| 4. Did you feel in control of the situation, when using the in-app side-effects-reporting module? | |||||||||
| Definitely yes | Rather yes | Difficult to say | Rather no | Definitely no | |||||
| 5. In your opinion, did the possibility of using the in-app side-effects-reporting module improve your well-being during chemotherapy? | |||||||||
| Definitely yes | Rather yes | Difficult to say | Rather no | Definitely no | |||||
| 6. In your opinion, did the use of the in-app side-effects-reporting module improve the treatment of bothersome side effects of chemotherapy? | |||||||||
| Definitely yes | Rather yes | Difficult to say | Rather no | Definitely no | |||||
| 7. How do you assess the waiting time for the reaction of the medical staff in response to submitted answers about feeling unwell? | |||||||||
| Very short | Rather short | Difficult to say | Rather long | Very long | |||||
| 8. Did the support provided to you by the medical staff meet your expectations? | |||||||||
| Definitely yes | Rather yes | Difficult to say | Rather no | Definitely no | |||||
| 9. Did you require hospital admission due to exacerbation of chemotherapy-related side effects? | |||||||||
| no | yes | ||||||||
| 10. Is there anything that you would like to change in the in-app side-effects-reporting module? Please write below: | |||||||||
| Age: | Sex: | ||||||||
| Place of residence: | city > 50.000![]() | city < 50.000![]() | rural area![]() | ||||||
| Education: | primary![]() | vocational![]() | lower secondary![]() | secondary![]() | higher![]() | ||||
| Marital status: | in relationship![]() | divorced![]() | widowed![]() | married![]() | single![]() | ||||
| Employment status: | working![]() | unemployed![]() | retired![]() | student/pupil![]() | |||||
| Economic status: | satisfactory![]() | unsatisfactory![]() | |||||||
References
- National Institute of Oncology—National Research Institute; Wojciechowska, K.U.; Barańska, I.; Michałek, P.; Olasek, M.; Miklewska, J.A.D. Cancer in Poland in 2020; National Institute of Oncology—National Research Institute: Warsaw, Poland, 2022; pp. 5–90.
- Cardoso, F.; Kyriakides, S.; Ohno, S.; Penault-Llorca, F.; Poortmans, P.; Rubio, I.T.; Zackrisson, S.; Senkus, E. Early Breast Cancer: ESMO Clinical Practice Guidelines for Diagnosis, Treatment and Follow-Up. Ann. Oncol. 2019, 30, 1194–1220. [Google Scholar] [CrossRef] [PubMed]
- Jongerius, C.; Russo, S.; Mazzocco, K.; Pravettoni, G. Research-Tested Mobile Apps for Breast Cancer Care: Systematic Review. JMIR Mhealth Uhealth 2019, 7, e10930. [Google Scholar] [CrossRef] [PubMed]
- Denis, F.; Yossi, S.; Septans, A.-L.; Charron, A.; Voog, E.; Dupuis, O.; Ganem, G.; Pointreau, Y.; Letellier, C. Improving Survival in Patients Treated for a Lung Cancer Using Self-Evaluated Symptoms Reported Through a Web Application. Am. J. Clin. Oncol. 2017, 40, 464–469. [Google Scholar] [CrossRef] [PubMed]
- Putranto, D.; Rochmawati, E. Mobile Applications for Managing Symptoms of Patients with Cancer at Home: A Scoping Review. Int. J. Nurs. Pract. 2020, 26, e12842. [Google Scholar] [CrossRef]
- Mooney, K.; Iacob, E.; Wilson, C.M.; Lloyd, J.; Nielson, H.; Ward, J.H. Randomized Trial of Remote Cancer Symptom Monitoring during COVID-19: Impact on Symptoms, QoL, and Unplanned Health Care Utilization. J. Clin. Oncol. 2021, 39, 12000. [Google Scholar] [CrossRef]
- Aapro, M.; Bossi, P.; Dasari, A.; Fallowfield, L.; Gascón, P.; Geller, M.; Jordan, K.; Kim, J.; Martin, K.; Porzig, S. Digital Health for Optimal Supportive Care in Oncology: Benefits, Limits, and Future Perspectives. Support. Care Cancer 2020, 28, 4589–4612. [Google Scholar] [CrossRef]
- Kearney, N.; Mccann, L.; Norrie, J.; Taylor, L.; Gray, P.; Mcgee-Lennon, M.; Sage, M.; Miller, M.; Maguire, R. Evaluation of a Mobile Phone-Based, Advanced Symptom Management System (ASyMS © ) in the Management of Chemotherapy-Related Toxicity. Support. Care Cancer 2008, 17, 437–444. [Google Scholar] [CrossRef] [PubMed]
- Suchodolska, G.; Senkus, E. Mobile Applications for Early Breast Cancer Chemotherapy-Related Symptoms Reporting and Management: A Scoping Review. Cancer Treat. Rev. 2022, 105, 102364. [Google Scholar] [CrossRef] [PubMed]
- Fjell, M.; Langius-Eklöf, A.; Nilsson, M.; Wengström, Y.; Sundberg, K. Reduced Symptom Burden with the Support of an Interactive App during Neoadjuvant Chemotherapy for Breast Cancer—A Randomized Controlled Trial. Breast 2020, 51, 85–93. [Google Scholar] [CrossRef]
- Grašič Kuhar, C.; Gortnar Cepeda, T.; Kovač, T.; Kukar, M.; Ružić Gorenjec, N.; Kuhar, C.G.; Cepeda, T.G.; Kovač, T.; Kukar, M.; Gorenjec, N.R. Mobile App for Symptom Management and Associated Quality of Life During Systemic Treatment in Early Stage Breast Cancer: Nonrandomized Controlled Prospective Cohort Study. JMIR mHealth uHealth 2020, 8, e17408. [Google Scholar] [CrossRef]
- Egbring, M.; Far, E.; Roos, M.; Dietrich, M.; Brauchbar, M.; Kullak-Ublick, G.A.; Trojan, A. A Mobile App to Stabilize Daily Functional Activity of Breast Cancer Patients in Collaboration with the Physician: A Randomized Controlled Clinical Trial. J. Med. Internet Res. 2016, 18, e238. [Google Scholar] [CrossRef] [PubMed]
- Singleton, A.C.; Raeside, R.; Hyun, K.K.; Partridge, S.R.; Di Tanna, G.L.; Hafiz, N.; Tu, Q.; Tat-Ko, J.; Sum, S.C.M.; Sherman, K.A.; et al. Electronic Health Interventions for Patients with Breast Cancer: Systematic Review and Meta-Analyses. J. Clin. Oncol. 2022, 68, 2257–2271. [Google Scholar] [CrossRef]
- Çınar, D.; Karadakovan, A.; Erdoğan, A.P. Effect of Mobile Phone App-Based Training on the Quality of Life for Women with Breast Cancer. Eur. J. Oncol. Nurs. 2021, 52, 101960. [Google Scholar] [CrossRef] [PubMed]
- Chung, I.Y.; Jung, M.; Park, Y.R.; Cho, D.; Chung, H.; Min, Y.H.; Park, H.J.; Lee, M.; Lee, S.B.; Chung, S.; et al. Exercise Promotion and Distress Reduction Using a Mobile App-Based Community in Breast Cancer Survivors. Front. Oncol. 2019, 9, 1505. [Google Scholar] [CrossRef] [PubMed]
- Cairo, J.; Williams, L.; Bray, L.; Goetzke, K.; Perez, A.C. Evaluation of a Mobile Health Intervention to Improve Wellness Outcomes for Breast Cancer Survivors. J. Patient-Centered Res. Rev. 2020, 7, 313. [Google Scholar] [CrossRef] [PubMed]
- Groen, W.G.; Kuijpers, W.; Oldenburg, H.S.; Wouters, M.W.; Aaronson, N.K.; van Harten, W.H. Empowerment of Cancer Survivors Through Information Technology: An Integrative Review. J. Med. Internet Res. 2015, 17, e270. [Google Scholar] [CrossRef]
- Kuijpers, W.; Groen, W.G.; Loos, R.; Oldenburg, H.S.A.; Wouters, M.W.J.M.; Aaronson, N.K.; van Harten, W.H. An Interactive Portal to Empower Cancer Survivors: A Qualitative Study on User Expectations. Support. Care Cancer Off. J. Multinatl. Assoc. Support. Care Cancer 2015, 23, 2535–2542. [Google Scholar] [CrossRef]
- U.S. Department of Health And Human Services. Definitions; Common Terminology Criteria for Adverse Events; National Institutes of Health, National Cancer Institute, Eds.; Qeios: London, UK, 2020; Volume 2009. [Google Scholar]
- Armbruster, C.; Knaub, M.; Farin-Glattacker, E.; von der Warth, R. Predictors of Adherence to Cancer-Related MHealth Apps in Cancer Patients Undergoing Oncological or Follow-Up Treatment—A Scoping Review. Int. J. Environ. Res. Public Health 2022, 19, 13689. [Google Scholar] [CrossRef]
- Crafoord, M.-T.; Fjell, M.; Sundberg, K.; Nilsson, M.; Langius-Eklof, A. Engagement in an Interactive App for Symptom Self-Management during Treatment in Patients with Breast or Prostate Cancer: Mixed Methods Study. J. Med. Internet Res. 2020, 22, e17058. [Google Scholar] [CrossRef]
- Lu, C.; Hu, Y.; Xie, J.; Fu, Q.; Leigh, I.; Governor, S.; Wang, G. The Use of Mobile Health Applications to Improve Patient Experience: Cross-Sectional Study in Chinese Public Hospitals. JMIR mHealth uHealth 2018, 6, e126. [Google Scholar] [CrossRef]
- Coolbrandt, A.; Wildiers, H.; Aertgeerts, B.; Van der Elst, E.; Laenen, A.; Dierckx de Casterlé, B.; van Achterberg, T.; Milisen, K. Characteristics and Effectiveness of Complex Nursing Interventions Aimed at Reducing Symptom Burden in Adult Patients Treated with Chemotherapy: A Systematic Review of Randomized Controlled Trials. Int. J. Nurs. Stud. 2014, 51, 495–510. [Google Scholar] [CrossRef] [PubMed]
- Brown, T.; Cruickshank, S.; Noblet, M. Specialist Breast Care Nurses for Support of Women with Breast Cancer. Cochrane Database Syst. Rev. 2021, 2, CD005634. [Google Scholar] [CrossRef] [PubMed]
- Williams, P.D.; Williams, K.; Lafaver-Roling, S.; Johnson, R.; Williams, A.R. An Intervention to Manage Patient-Reported Symptoms during Cancer Treatment. Clin. J. Oncol. Nurs. 2011, 15, 253–258. [Google Scholar] [CrossRef] [PubMed]
- Aranda, S.; Jefford, M.; Yates, P.; Gough, K.; Seymour, J.; Francis, P.; Baravelli, C.; Breen, S.; Schofield, P. Impact of a Novel Nurse-Led Prechemotherapy Education Intervention (ChemoEd) on Patient Distress, Symptom Burden, and Treatment-Related Information and Support Needs: Results from a Randomised, Controlled Trial. Ann. Oncol. 2012, 23, 222–231. [Google Scholar] [CrossRef]
- AshaRani, P.V.; Jue Hua, L.; Roystonn, K.; Siva Kumar, F.D.; Peizhi, W.; Ying Jie, S.; Shafie, S.; Chang, S.; Jeyagurunathan, A.; Boon Yiang, C.; et al. Readiness and Acceptance of EHealth Services for Diabetes Care in the General Population: Cross-Sectional Study. J. Med. Internet Res. 2021, 23, e26881. [Google Scholar] [CrossRef]
- Bossuyt, P.; Pouillon, L.; Bonnaud, G.; Danese, S.; Peyrin-biroulet, L. E-Health in Inflammatory Bowel Diseases: More Challenges than Opportunities ? Dig. Liver Dis. 2017, 49, 1320–1326. [Google Scholar] [CrossRef]
- Hofstede, J.; de Bie, J.; van Wijngaarden, B.; Heijmans, M. Knowledge, Use and Attitude toward EHealth among Patients with Chronic Lung Diseases. Int. J. Med. Inform. 2014, 83, 967–974. [Google Scholar] [CrossRef]
- Anglada-Martínez, H.; Rovira-Illamola, M.; Martin-Conde, M.; Sotoca-Momblona, J.M.; Codina-Jané, C. MHealth Intervention to Improve Medication Management in Chronically Ill Patients: Analysis of the Recruitment Process. Postgrad. Med. 2016, 128, 427–431. [Google Scholar] [CrossRef]
- Wootton, B.M.; Titov, N.; Dear, B.F.; Spence, J.; Kemp, A. The Acceptability of Internet-Based Treatment and Characteristics of an Adult Sample with Obsessive Compulsive Disorder: An Internet Survey. PLoS ONE 2011, 6, e20548. [Google Scholar] [CrossRef]
- Handa, S.; Okuyama, H.; Yamamoto, H.; Nakamura, S.; Kato, Y. Effectiveness of a Smartphone Application as a Support Tool for Patients Undergoing Breast Cancer Chemotherapy: A Randomized Controlled Trial. Clin. Breast Cancer 2020, 20, 201–208. [Google Scholar] [CrossRef]
- Ruiz-Casado, A.; Álvarez-Bustos, A.; de Pedro, C.G.; Méndez-Otero, M.; Romero-Elías, M. Cancer-Related Fatigue in Breast Cancer Survivors: A Review. Clin. Breast Cancer 2021, 21, 10–25. [Google Scholar] [CrossRef] [PubMed]
- Servaes, P.; Verhagen, C.; Bleijenberg, G. Fatigue in Cancer Patients during and after Treatment: Prevalence, Correlates and Interventions. Eur. J. Cancer 2002, 38, 27–43. [Google Scholar] [CrossRef] [PubMed]
- Álvarez-Bustos, A.; de Pedro, C.G.; Romero-Elías, M.; Ramos, J.; Osorio, P.; Cantos, B.; Maximiano, C.; Méndez, M.; Fiuza-Luces, C.; Méndez-Otero, M.; et al. Prevalence and Correlates of Cancer-Related Fatigue in Breast Cancer Survivors. Support. Care Cancer Off. J. Multinatl. Assoc. Support. Care Cancer 2021, 29, 6523–6534. [Google Scholar] [CrossRef] [PubMed]
- Hajj, A.; Chamoun, R.; Salameh, P.; Khoury, R.; Hachem, R.; Sacre, H.; Chahine, G.; Kattan, J.; Rabbaa Khabbaz, L. Fatigue in Breast Cancer Patients on Chemotherapy: A Cross-Sectional Study Exploring Clinical, Biological, and Genetic Factors. BMC Cancer 2022, 22, 16. [Google Scholar] [CrossRef]
- Furlong, E.; Darley, A.; Fox, P.; Buick, A.; Kotronoulas, G.; Miller, M.; Flowerday, A.; Miaskowski, C.; Patiraki, E.; Katsaragakis, S.; et al. Adaptation and Implementation of a Mobile Phone-Based Remote Symptom Monitoring System for People With Cancer in Europe. JMIR Cancer 2019, 5, e10813. [Google Scholar] [CrossRef]
- Basch, E.; Kris, M.G.; Scher, H.I.; Hudis, C.A.; Sabbatini, P.; Rogak, L.; Atkinson, T.M.; Chou, J.F.; Dulko, D.; Sit, L.; et al. Symptom Monitoring With Patient-Reported Outcomes During Routine Cancer Treatment: A Randomized Controlled Trial. J. Clin. Oncol. 2016, 34, 557–565. [Google Scholar] [CrossRef]
- de Jong, N.; Courtens, A.M.; Abu-Saad, H.H.; Schouten, H.C. CE TEST: Fatigue in Patients With Breast Cancer Receiving Adjuvant Chemotherapy: A Review of the Literature. Cancer Nurs. 2002, 25, 298–299. [Google Scholar] [CrossRef]
- Mast, M.E. Correlates of Fatigue in Survivors of Breast Cancer. Cancer Nurs. 1998, 21, 136–142. [Google Scholar] [CrossRef]
- Haghighat, S.; Akbari, M.E. Factors Predicting Fatigue in Breast Cancer Patients. Support. Care Cancer 2003, 11, 533–538. [Google Scholar] [CrossRef]
- Bower, J.E.; Ganz, P.A.; Desmond, K.A.; Rowland, J.H.; Meyerowitz, B.E.; Belin, T.R. Fatigue in Breast Cancer Survivors: Occurrence, Correlates, and Impact on Quality of Life. J. Clin. Oncol. Off. J. Am. Soc. Clin. Oncol. 2000, 18, 743–753. [Google Scholar] [CrossRef]
- Woo, B.; Dibble, S.L.; Piper, B.F.; Keating, S.B.; Weiss, M.C. Differences in Fatigue by Treatment Methods in Women with Breast Cancer. Oncol. Nurs. Forum 1998, 25, 915–920. [Google Scholar] [PubMed]
- Donovan, K.A.; Jacobsen, P.B.; Andrykowski, M.A.; Winters, E.M.; Balducci, L.; Malik, U.; Kenady, D.; McGrath, P. Course of Fatigue in Women Receiving Chemotherapy and/or Radiotherapy for Early Stage Breast Cancer. J. Pain Symptom Manag. 2004, 28, 373–380. [Google Scholar] [CrossRef] [PubMed]
- Sultan, A.; Choudhary, V.; Parganiha, A. Worsening of Rest-Activity Circadian Rhythm and Quality of Life in Female Breast Cancer Patients along Progression of Chemotherapy Cycles. Chronobiol. Int. 2017, 34, 609–623. [Google Scholar] [CrossRef] [PubMed]
- Harbeck, N.; Fasching, P.A.; Wuerstlein, R.; Degenhardt, T.; Lüftner, D.; Kates, R.E.; Schumacher, J.; Räth, P. Signi Fi Cantly Longer Time to Deterioration of Quality of Life Due to CANKADO PRO-React EHealth Support in HR D HER2 L Metastatic Breast Cancer Patients Receiving Palbociclib and Endocrine Therapy: Primary Outcome Analysis of the Multicenter Randomized. Ann. Oncol. 2023, 34, 660–669. [Google Scholar] [CrossRef] [PubMed]






| Breast cancer type: | ||
| HER2+ | 21 | 29.2% |
| luminal A | 12 | 16.6% |
| luminal B | 19 | 26.4% |
| TNBC | 20 | 27.8% |
| Breast cancer stage: | ||
| IA | 11 | 15.3% |
| IB | 3 | 4.2% |
| IIA | 27 | 37.5% |
| IIB | 14 | 19.4% |
| IIIA | 6 | 8.3% |
| IIIB | 6 | 8.3% |
| IIIC | 5 | 6.9% |
| Chemotherapy setting: | ||
| neoadjuvant | 53 | 74% |
| adjuvant | 19 | 26% |
| Chemotherapy regimen: | ||
| anthracycline + taxane-based: | 58 | 80.6% |
| neoadjuvant: | 48 | 66.7% |
| 12xPXL>>4xAC | 15 | 20.8% |
| 12xPXL>>4xddAC | 15 | 20.8% |
| 12xPXL+carboplatin>>4xddAC | 7 | 9.7% |
| 4xddAC>>12xPXL + T | 5 | 6.9% |
| 4xAC>>12xPXL + T | 6 | 8.3% |
| adjuvant: | 10 | 13.9% |
| 12xPXL>>4xAC | 6 | 8.3% |
| 12xPXL>>4xddAC | 1 | 1.4% |
| 4xAC>>12xPXL + T | 1 | 1.4% |
| 4xddAC>>12xPXL | 1 | 1.4% |
| 4xddAC>>12xPXL + T | 1 | 1.4% |
| anthracycline- or taxane-based: | 14 | 19.4% |
| neoadjuvant: | 5 | 6.9% |
| 12xPXL | 1 | 1.4% |
| 4xddAC | 1 | 9.7% |
| 12xPXL + carboplatin + T + P | 3 | 4.2% |
| adjuvant: | 9 | 12.5% |
| 12xPXL + T | 4 | 5.6% |
| 4xTC | 4 | 5.6% |
| 12xPXL | 1 | 1.4% |
| Number of chemotherapy administrations: | ||
| 16 | 56 | 77.8% |
| 12 | 10 | 13.9% |
| 7 * | 1 | 1.4% |
| 4 | 5 | 6.9% |
| Treatment with G-CSF: | ||
| yes | 33 | 46% |
| no | 39 | 54% |
| Coexisting medical conditions: | ||
| no | 36 | 50% |
| yes: | 36 | 50% |
| single condition | 24 | 33.3% |
| multiple conditions | 12 | 16.7% |
| Age | Median | Range |
|---|---|---|
| 46 | (34–70) | |
| Frequency (n) | Percentage (%) | |
| Total | 72 | 100% |
| Gender: | ||
| female | 72 | 100% |
| male | 0 | 0% |
| Marital status: | ||
| married | 52 | 72.2% |
| single | 12 | 16.7% |
| divorced | 3 | 4.2% |
| in relationship | 3 | 4.2% |
| widow | 2 | 2.8% |
| Place of residence: | ||
| city > 50,000 | 27 | 37.5% |
| city < 50,000 | 14 | 19.4% |
| rural area | 31 | 43.1% |
| Education: | ||
| higher | 39 | 54.2% |
| secondary | 17 | 23.6% |
| vocational | 16 | 22.2% |
| Employment status: | ||
| employed | 63 | 87.5% |
| unemployed | 5 | 6.9% |
| retired | 4 | 5.6% |
| Economic status (self-assessed): | ||
| satisfactory | 58 | 80.6% |
| unsatisfactory | 14 | 19.4% |
| 1. In your opinion, how difficult it is to use the in-app side-effects-reporting module? | |||||
| Answer | Very easy | Rather easy | Difficult to say | Rather difficult | Very difficult |
| N (%) | 64 (89) | 6 (8) | 2 (3) | 0 | 0 |
| 2. In your opinion, did the possibility of using the in-app side-effects-reporting module improve your safety during chemotherapy? | |||||
| Answer | Definitely yes | Rather yes | Difficult to say | Rather no | Definitely no |
| N (%) | 44 (61) | 26 (36) | 2 (3) | 0 | 0 |
| 3. Are you satisfied with the support you received in response to submitted answers? | |||||
| Answer | Definitely yes | Rather yes | Difficult to say | Rather no | Definitely no |
| N (%) | 42 (58) | 10 (14) | 20 (28) | 0 | 0 |
| 4. Did you feel in control of the situation, when using the in-app side-effects-reporting module? | |||||
| Answer | Definitely yes | Rather yes | Difficult to say | Rather no | Definitely no |
| N (%) | 30 (42) | 26 (36) | 16 (22) | 0 | 0 |
| 5. In your opinion, did the possibility of using the in-app side effects-reporting-module improve your well-being during chemotherapy? | |||||
| Answer | Definitely yes | Rather yes | Difficult to say | Rather no | Definitely no |
| N (%) | 37 (51) | 32 (45) | 3 (4) | 0 | 0 |
| 6. In your opinion, did the use of the in-app side-effects-reporting module improve the treatment of bothersome side effects of chemotherapy? | |||||
| Answer | Definitely yes | Rather yes | Difficult to say | Rather no | Definitely no |
| N (%) | 22 (30) | 23 (32) | 26 (36) | 1 (1) | 0 |
| 7. How do you assess the waiting time for the reaction of the medical staff in response to submitted answers about feeling unwell? | |||||
| Answer | Very short | Rather short | Difficult to say | Rather long | Very long |
| N (%) | 22 (30) | 25 (35) | 25 (35) | 0 | 0 |
| 8. Did the support provided to you by the medical staff meet your expectations? | |||||
| Answer | Definitely yes | Rather yes | Difficult to say | Rather no | Definitely no |
| N (%) | 56 (78) | 11 (15) | 3 (4) | 2 (3) | 0 |
| 9. Did you require hospital admission due to exacerbation of chemotherapy-related side effects? | |||||
| Answer | Yes | No | |||
| N (%) | 5 (7) | 67 (93) | |||
| 10. Is there anything that you would like to change in the in-app side-effects-reporting module? | |||||
| Answer | Yes | No | |||
| N (%) | 10 (14) | 62 (86) | |||
Disclaimer/Publisher’s Note: The statements, opinions and data contained in all publications are solely those of the individual author(s) and contributor(s) and not of MDPI and/or the editor(s). MDPI and/or the editor(s) disclaim responsibility for any injury to people or property resulting from any ideas, methods, instructions or products referred to in the content. |
© 2023 by the authors. Licensee MDPI, Basel, Switzerland. This article is an open access article distributed under the terms and conditions of the Creative Commons Attribution (CC BY) license (https://creativecommons.org/licenses/by/4.0/).
Share and Cite
Suchodolska, G.; Koelmer, A.; Puchowska, M.; Senkus, E. Are All Societies Ready for Digital Tools? Feasibility Study on the Use of Mobile Application in Polish Early Breast Cancer Patients Treated with Perioperative Chemotherapy. Healthcare 2023, 11, 2114. https://doi.org/10.3390/healthcare11142114
Suchodolska G, Koelmer A, Puchowska M, Senkus E. Are All Societies Ready for Digital Tools? Feasibility Study on the Use of Mobile Application in Polish Early Breast Cancer Patients Treated with Perioperative Chemotherapy. Healthcare. 2023; 11(14):2114. https://doi.org/10.3390/healthcare11142114
Chicago/Turabian StyleSuchodolska, Grażyna, Anna Koelmer, Monika Puchowska, and Elżbieta Senkus. 2023. "Are All Societies Ready for Digital Tools? Feasibility Study on the Use of Mobile Application in Polish Early Breast Cancer Patients Treated with Perioperative Chemotherapy" Healthcare 11, no. 14: 2114. https://doi.org/10.3390/healthcare11142114
APA StyleSuchodolska, G., Koelmer, A., Puchowska, M., & Senkus, E. (2023). Are All Societies Ready for Digital Tools? Feasibility Study on the Use of Mobile Application in Polish Early Breast Cancer Patients Treated with Perioperative Chemotherapy. Healthcare, 11(14), 2114. https://doi.org/10.3390/healthcare11142114


