Epithelial Ovarian Cancer—Varied Treatment Results
Abstract
1. Introduction
2. Materials and Methods
2.1. Study Design
2.2. Statistical Analysis
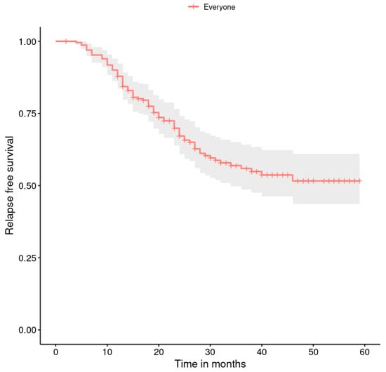
3. Results
4. Discussion
4.1. Strengths of the Study
4.2. Limitations of the Study
5. Conclusions
Author Contributions
Funding
Institutional Review Board Statement
Informed Consent Statement
Data Availability Statement
Conflicts of Interest
References
- Cabasag, C.J.; Fagan, P.J.; Ferlay, J.; Vignat, J.; Laversanne, M.; Liu, L.; van der Aa, M.A.; Bray, F.; Soerjomataram, I. Ovarian cancer today and tomorrow: A global assessment by world region and Human Development Index using GLOBOCAN 2020. Int. J. Cancer 2022, 151, 1535–1541. [Google Scholar] [CrossRef]
- Gaona-Luviano, P.; Adriana, L.; Medina-Gaona Magaña-Pérez, K. Epidemiology of ovarian cancer. Chin. Clin. Oncol. 2020, 9, 47. [Google Scholar] [CrossRef] [PubMed]
- Didkowska Joanna, W.U. Zachorowania i Zgony na Nowotwory Złośliwe w Polsce; Krajowy Rejestr Nowotworów, Centrum Onkologii, Instytut im. Marii Skłodowskiej–Curie: Kraków, Poland, 2021. [Google Scholar]
- Berek, J.S.; Renz, M.; Kehoe, S.; Kumar, L.; Friedlander, M. Cancer of the ovary, fallopian tube, and peritoneum: 2021 update. Int. J. Gynecol. Obstet. 2021, 155 (Suppl. 1), 61–85. [Google Scholar] [CrossRef] [PubMed]
- Hosmer, D.W.; Lemeshow, S.; Sturdivant, R.X. Applied Logistic Regression, 3rd ed.; John Wiley & Sons, Inc.: Hoboken, NJ, USA, 2013. [Google Scholar] [CrossRef]
- Brun, J.L.; Feyler, A.; Chêne, G.; Saurel, J.; Brun, G.; Hockè, C. Long-term results and prognostic factors in patients with epithelial ovarian cancer. Gynecol. Oncol. 2000, 78, 21–27. [Google Scholar] [CrossRef]
- Gibson, S.J.; Fleming, G.F.; Temkin, S.M.; Chase, D.M. The application and outcome of standard of care treatment in elderly women with ovarian cancer: A literature review over the last 10 years. Front. Oncol. 2016, 6, 63. [Google Scholar] [CrossRef]
- Efstathiou, E.; Dimopoulos, M.A.; Bozas, G.; Kastritis, E.; Moulopoulos, L.; Rodolakis, A.; Vlahos, G.; Gika, D.; Papadimitriou, C.; Bamias, A. Advanced epithelial ovarian cancer in the elderly: Chemotherapy tolerance and outcome. Anticancer. Res. 2007, 27, 611–617. [Google Scholar]
- Markman, M.; Bundy, B.N.; Alberts, D.S.; Fowler, J.M.; Clark-Pearson, D.L.; Carson, L.F.; Wadler, S.; Sickel, J. Phase III Trial of Standard-Dose Intravenous Cisplatin Plus Paclitaxel Versus Moderately High-Dose Carboplatin Followed by Intravenous Paclitaxel and Intraperitoneal Cisplatin in Small-Volume Stage III Ovarian Carcinoma: An Intergroup Study of the Gynecologic Oncology Group, Southwestern Oncology Group, and Eastern Cooperative Oncology Group. J. Clin. Oncol. 2001, 19, 1001–1007. [Google Scholar] [CrossRef] [PubMed]
- Muggia, F.M.; Braly, P.S.; Brady, M.F.; Sutton, G.; Niemann, T.H.; Lentz, S.L.; Alvarez, R.D.; Kucera, P.R.; Small, J.M. Phase III Randomized Study of Cisplatin Versus Paclitaxel Versus Cisplatin and Paclitaxel in Patients With Suboptimal Stage III or IV Ovarian Cancer: A Gynecologic Oncology Group Study. J. Clin. Oncol. 2000, 18, 106. [Google Scholar] [CrossRef]
- Elattar, A.; Hatem, M.; Bryant, A.; Dickinson, H.O. Optimal primary surgical treatment for advanced epithelial ovarian cancer. Cochrane Database Syst. Rev. 2009, 8, CD007565. [Google Scholar] [CrossRef]
- Wallace, S.; Kumar, A.; Mc Gree, M.; Weaver, A.; Mariani, A.; Langstraat, C.; Dowdy, S.; Bakkum-Gamez, J.; Cliby, W. Efforts at maximal cytoreduction improve survival in ovarian cancer patients, even when complete gross resection is not feasible. Gynecol. Oncol. 2017, 145, 21–26. [Google Scholar] [CrossRef]
- Bristow, R.E.; Zahurak, M.L.; Ibeanu, O.A. Racial disparities in ovarian cancer surgical care: A population-based analysis. Gynecol. Oncol. 2011, 121, 364–368. [Google Scholar] [CrossRef]
- Rochon, J.; du Bois, A. Clinical research in epithelial ovarian cancer and patients’ outcome. Ann. Oncol. 2011, 22 (Suppl. 7), vii16–vii19. [Google Scholar] [CrossRef] [PubMed]
- du Bois, A.; Harter, P. The role of surgery in advanced and recurrent ovarian cancer. Ann. Oncol. 2006, 17 (Suppl. 10), x234–x240. [Google Scholar] [CrossRef] [PubMed]
- Wimberger, P.; Wehling, M.; Lehmann, N.; Kimmig, R.; Schmalfeldt, B.; Burges, A.; Harter, P.; Pfisterer, J.; du Bois, A. Influence of residual tumor on outcome in ovarian cancer patients with FIGO stage IV disease: An exploratory analysis of the AGO-OVAR (Arbeitsgemeinschaft Gynaekologische Onkologie Ovarian Cancer Study Group). Ann. Surg. Oncol. 2010, 17, 1642–1648. [Google Scholar] [CrossRef] [PubMed]
- Wimberger, P.; Lehmann, N.; Kimmig, R.; Burges, A.; Meier, W.; du Bois, A. Prognostic factors for complete debulking in advanced ovarian cancer and its impact on survival. An exploratory analysis of a prospectively randomized phase III study of the Arbeitsgemeinschaft Gynaekologische Onkologie Ovarian Cancer Study Group (AGO-OVAR). Gynecol. Oncol. 2007, 106, 69–74. [Google Scholar] [CrossRef]
- du Bois, A.; Reuss, A.; Pujade-Lauraine, E.; Harter, P.; Ray-Coquard, I.; Pfisterer, J. Role of surgical outcome as prognostic factor in advanced epithelial ovarian cancer: A combined exploratory analysis of 3 prospectively randomized phase 3 multicenter trials: By the arbeitsgemeinschaft gynaekologische onkologie studiengruppe ovarialkarzinom (AGO-OVAR) and the groupe d’Investigateurs nationaux pour les etudes des cancers de l’Ovaire (GINECO). Cancer 2009, 115, 1234–1244. [Google Scholar] [CrossRef]
- Henderson, J.T.; Webber, E.M.; Sawaya, G.F. Screening for ovarian cancer updated evidence report and systematic review for the US preventive services task force. JAMA J. Am. Med. Assoc. 2018, 319, 595–606. [Google Scholar] [CrossRef]
- Chang, S.J.; Bristow, R.E. Surgical technique of en bloc pelvic resection for advanced ovarian cancer. J. Gynecol. Oncol. 2015, 26, 155. [Google Scholar] [CrossRef]
- Peiretti, M.; Bristow, R.E.; Zapardiel, I.; Gerardi, M.; Zanagnolo, V.; Biffi, R.; Landoni, F.; Bocciolone, L.; Aletti, G.D.; Maggioni, A. Rectosigmoid resection at the time of primary cytoreduction for advanced ovarian cancer. A multi-center analysis of surgical and oncological outcomes. Gynecol. Oncol. 2012, 126, 220–223. [Google Scholar] [CrossRef]
- Cliby, W.A.; Powell, M.A.; Al-Hammadi, N.; Chen, L.; Miller, J.P.; Roland, P.Y.; Mutch, D.G.; Bristow, R.E. Ovarian cancer in the United States: Contemporary patterns of care associated with improved survival. Gynecol. Oncol. 2015, 136, 11–17. [Google Scholar] [CrossRef]
- Cowan, R.A.; Chi, D.S.; Fagotti, A.; Scambia, G. Point/Counterpoint: Primary Debulking Surgery vs. Neoadjuvant Chemotherapy for Newly Diagnosed Advanced Ovarian Cancer. Oncology 2017, 31, 453–458. [Google Scholar] [PubMed]








| Characteristic | Value, n (%) |
|---|---|
| Year of measurement | |
| 2018 | 58 (19.9) |
| 2019 | 66 (22.7) |
| 2020 | 71 (24.4) |
| 2021 | 96 (33.0) |
| Place of first intervention | |
| SKPP | 192 (66.0) |
| Other hospitals | 99 (34.0) |
| Type of first intervention | |
| SKPP | |
| PDS–laparotomy | 83 (43.2) |
| Laparoscopy | 70 (36.5) |
| Biopsy–laparotomy | 22 (11.5) |
| No operation | 17 (8.9) |
| Other hospitals | |
| PDS–laparotomy | 47 (47.5) |
| Laparoscopy | 7 (7.1) |
| Biopsy–laparotomy | 40 (40.4) |
| No operation | 5 (5.1) |
| Final decision | |
| PDS after laparotomy or laparoscopy | 168 (57.7) |
| NACT after laparotomy | 38 (13.1) |
| NACT after laparoscopy | 47 (16.2) |
| Chemotherapy | 19 (6.5) |
| NACT without primary surgery | 13 (4.5) |
| Drop-out | 2 (0.7) |
| No intervention | 4 (1.4) |
| FIGO staging system (n = 289) | |
| I | 44 (15.2) |
| II | 21 (7.3) |
| III | 125 (43.3) |
| IV | 77 (26.6) |
| Non-staging | 22 (7.6) |
| Histopathology | |
| HGSC | 215 (74.1) |
| Other types | 75 (25.9) |
| Stage of cytoreduction (n = 237) | |
| Total (R0) | 115 (48.5) |
| Optimal (R1) | 44 (18.6) |
| Suboptimal (R2) | 78 (32.9) |
| First relapse | 100 (34.4) |
| Second relapse | 43 (14.8) |
| Third relapse | 24 (8.2) |
| Fourth relapse | 8 (2.7) |
| Fifth relapse | 3 (1.0) |
| Sixth relapse | 1 (0.3) |
| Genetic test results (n = 75) | |
| BRCA (−) | 59 (78.7) |
| BRCA (+) | 16 (21.3) |
| Time from first to second relapse (months)—n = 43, Me (min–max) | 7.00 (1.00; 28.00) |
| Time from second to third relapse (months)—n = 24, Me (min–max) | 3.00 (1.00; 11.00) |
| Time from third to fourth relapse (months)—n = 8, Me (min–max) | 4.00 (1.00; 12.00) |
| Characteristic, n (%) | SKPP Patients | Transferred Patients | Cramer’s V (95% CI) | p |
|---|---|---|---|---|
| FIGO | ||||
| I or II | 45 (23.7) | 20 (20.2) | 0.037 | |
| III or IV | 136 (71.6) | 66 (66.7) | 0.15 (0.05; 0.28) | |
| Non-staging | 9 (4.7) | 13 (13.1) | ||
| Type of first intervention | ||||
| PDS–laparotomy | 83 (43.2) | 47 (47.5) | <0.001 | |
| Laparoscopy | 70 (36.5) | 7 (7.1) | 0.41 (0.32; 0.51) | |
| Exploratory laparotomy | 22 (11.5) | 40 (40.4) | ||
| No operation | 17 (8.9) | 5 (5.1) | ||
| Final decision | ||||
| PDS after laparoscopy or laparotomy | 108 (56.8) | 60 (63.2) | <0.001 1 | |
| NACT after laparotomy | 17 (8.9) | 21 (22.1) | 0.28 (0.20; 0.38) | |
| NACT after laparoscopy | 43 (22.6) | 4 (4.2) | ||
| Chemotherapy | 14 (7.4) | 5 (5.3) | ||
| NACT without primary surgery | 8 (4.2) | 5 (5.3) | ||
| Stage of cytoreduction | ||||
| Total (R0) | 81 (45.5) | 34 (57.6) | 0.060 | |
| Optimal (R1) | 31 (17.4) | 13 (22.0) | - | |
| Suboptimal (R2) | 66 (37.1) | 12 (20.3) |
| Characteristic, n (%) | 2018 Group | 2019 Group | 2020 Group | 2021 Group | Cramer’s V (95% CI) | p |
|---|---|---|---|---|---|---|
| FIGO staging system | ||||||
| I or II | 11 (19.0) | 14 (21.2) | 11 (15.9) | 29 (30.2) | 0.069 1 | |
| III or IV | 38 (65.5) | 49 (74.2) | 55 (79.7) | 60 (62.5) | - | |
| Non-staging | 9 (15.5) | 3 (4.5) | 3 (4.3) | 7 (7.3) | ||
| Type of first intervention | ||||||
| PDS–laparotomy | 16 (27.6) | 30 (45.5) | 39 (54.9) | 45 (46.9) | 0.003 1 | |
| Laparoscopy | 25 ( ) | 11 (16.7) | 17 (23.9) | 24 (25.0) | 0.17 (0.14; 0.26) | |
| Exploratory laparotomy | 14 (24.1) | 22 (33.3) | 11 (15.5) | 15 (15.6) | ||
| No operation | 3 (5.2) | 3 (4.5) | 4 (5.6) | 12 (12.5) | ||
| Final decision | ||||||
| PDS after laparoscopy or laparotomy | 34 (64.2) | 29 (43.9) | 41 (57.7) | 64 (67.4) | <0.001 1 | |
| NACT after laparotomy | 4 (7.5) | 19 (28.8) | 9 (12.7) | 6 (6.3) | ||
| NACT after laparoscopy | 9 (17.0) | 11 (16.7) | 17 (23.9) | 10 (10.5) | 0.27 (0.23; 0.35) | |
| Chemotherapy | 3 (5.7) | 6 (9.1) | 0 (0.0) | 10 (10.5) | ||
| NACT without primary surgery | 3 (5.7) | 1 (1.5) | 4 (5.6) | 5 (5.3) | ||
| Place of first intervention | ||||||
| SKPP | 36 (62.1) | 42 (63.6) | 54 (76.1) | 60 (62.5) | - | 0.232 |
| Other hospitals | 22 (37.9) | 24 (36.4) | 17 (23.9) | 36 (37.5) | ||
| Stage of cytoreduction | ||||||
| Total (R0) | 20 (43.5) | 28 (53.8) | 26 (41.3) | 41 (53.9) | 0.308 | |
| Optimal (R1) | 7 (15.2) | 7 (13.5) | 18 (28.6) | 12 (15.8) | - | |
| Suboptimal (R2) | 19 (41.3) | 17 (32.7) | 19 (30.2) | 23 (30.3) |
| Characteristic, n (%) | Result of the Operation | p | ||
|---|---|---|---|---|
| R0 | R1 | R2 | ||
| FIGO | ||||
| I or II | 55 (48.2) | 1 (2.3) | 1 (1.3) | <0.001 |
| III, IV, or no staging | 59 (51.8) | 43 (97.7) | 77 (98.7) | |
| Place of first intervention | ||||
| SKPP | 81 (70.4) | 31 (70.5) | 66 (84.6) | 0.060 |
| Other | 34 (29.6) | 13 (29.5) | 12 (15.4) | |
| Characteristic | Time from First to Second Relapse (Months), n = 43 | p 1 | Time from Second to Third Relapse (Months), n = 24 | p 2 | Time from Third to Fourth Relapse (Months), n = 8 | p 3 |
|---|---|---|---|---|---|---|
| FIGO | ||||||
| III | 7.00 (2.00; 28.00) | 0.788 | 3.00 (1.00; 5.00) | 0.009 | 4.00 (2.00; 8.00) | - |
| IV | 7.00 (1.00; 16.00) | 5.00 (2.00; 11.00) | - | |||
| Place of first intervention | ||||||
| SKPP | 7.00 (2.00; 28.00) | 0.306 | 4.00 (1.00; 11.00) | 0.431 | 4.00 (2.00; 5.00) | 0.885 |
| Other | 7.00 (1.00; 14.00) | 3.00 (1.00; 7.00) | 5.50 (1.00; 12.00) |
| Variable | HR | 95% CI | p |
|---|---|---|---|
| Place of first intervention (SKPP vs. other) | 0.99 | 0.65–1.51 | 0.958 |
| FIGO (I or II vs. III, IV, or no staging) | 8.49 | 3.12–23.10 | <0.001 |
| Histopathology (HGSC vs. other) | 0.26 | 0.14–0.51 | <0.001 |
| Type of first intervention (vs. PDS–laparotomy) | |||
| Laparoscopy | 2.28 | 1.38–3.59 | 0.001 |
| Exploratory laparotomy | 1.92 | 1.14–3.24 | 0.015 |
| No operation | 1.59 | 0.70–3.60 | 0.267 |
| Type of first intervention (vs. laparoscopy) | |||
| Exploratory laparotomy | 0.87 | 0.52–1.45 | 0.595 |
| No operation | 0.71 | 0.32–1.60 | 0.411 |
| Final decision (vs. PDS) | |||
| NACT after laparotomy | 2.97 | 1.78–4.52 | <0.001 |
| NACT after laparoscopy | 2.52 | 1.53–4.14 | <0.001 |
| Chemotherapy and NACT without primary surgery | 1.40 | 0.70–2.77 | 0.342 |
| Stage of cytoreduction (vs. total (R0)) | |||
| Optimal (R1) | 4.02 | 2.23–7.25 | <0.001 |
| Suboptimal (R2) | 3.55 | 2.08–6.05 | <0.001 |
| Genetic test results (+ vs. −) | 1.79 | 0.93–3.42 | 0.081 |
| Variable | HR | 95% CI | p |
|---|---|---|---|
| FIGO (I or II vs. III, IV, or no staging) | 2.75 | 0.92–8.23 | 0.071 |
| Histopathology (HGSC vs. other) | 0.46 | 0.19–1.10 | 0.079 |
| Final decision (vs. PDS) | |||
| NACT after laparotomy | 2.81 | 1.58–4.98 | <0.001 |
| NACT after laparoscopy | 1.99 | 1.17–3.39 | 0.011 |
| Chemotherapy and NACT without primary surgery | 1.21 | 0.47–3.11 | 0.696 |
| Stage of cytoreduction (vs. total (R0)) | |||
| Optimal (R1) | 2.43 | 1.30–4.56 | 0.005 |
| Suboptimal (R2) | 1.96 | 1.11–3.46 | 0.020 |
Disclaimer/Publisher’s Note: The statements, opinions and data contained in all publications are solely those of the individual author(s) and contributor(s) and not of MDPI and/or the editor(s). MDPI and/or the editor(s) disclaim responsibility for any injury to people or property resulting from any ideas, methods, instructions or products referred to in the content. |
© 2023 by the authors. Licensee MDPI, Basel, Switzerland. This article is an open access article distributed under the terms and conditions of the Creative Commons Attribution (CC BY) license (https://creativecommons.org/licenses/by/4.0/).
Share and Cite
Millert-Kalińska, S.; Przybylski, M.; Pruski, D.; Stawicka-Niełacna, M.; Mądry, R. Epithelial Ovarian Cancer—Varied Treatment Results. Healthcare 2023, 11, 2043. https://doi.org/10.3390/healthcare11142043
Millert-Kalińska S, Przybylski M, Pruski D, Stawicka-Niełacna M, Mądry R. Epithelial Ovarian Cancer—Varied Treatment Results. Healthcare. 2023; 11(14):2043. https://doi.org/10.3390/healthcare11142043
Chicago/Turabian StyleMillert-Kalińska, Sonja, Marcin Przybylski, Dominik Pruski, Małgorzata Stawicka-Niełacna, and Radosław Mądry. 2023. "Epithelial Ovarian Cancer—Varied Treatment Results" Healthcare 11, no. 14: 2043. https://doi.org/10.3390/healthcare11142043
APA StyleMillert-Kalińska, S., Przybylski, M., Pruski, D., Stawicka-Niełacna, M., & Mądry, R. (2023). Epithelial Ovarian Cancer—Varied Treatment Results. Healthcare, 11(14), 2043. https://doi.org/10.3390/healthcare11142043

