Research on the Equity and Influencing Factors of Medical and Health Resources Allocation in the Context of COVID-19: A Case of Taiyuan, China
Abstract
:1. Introduction
2. Materials and Methods
2.1. Study Area
2.2. Methods
2.2.1. Gini Coefficient
2.2.2. Theil Index
2.2.3. Agglomeration Degree
2.2.4. Grey Relational Analysis
2.3. Data Source
3. Results
3.1. Equity of Medical and Health Resources Allocation in Taiyuan
3.1.1. Equity Based on Gini Coefficient
3.1.2. Equity Based on Theil Index
3.1.3. Equity Based on Agglomeration Degree
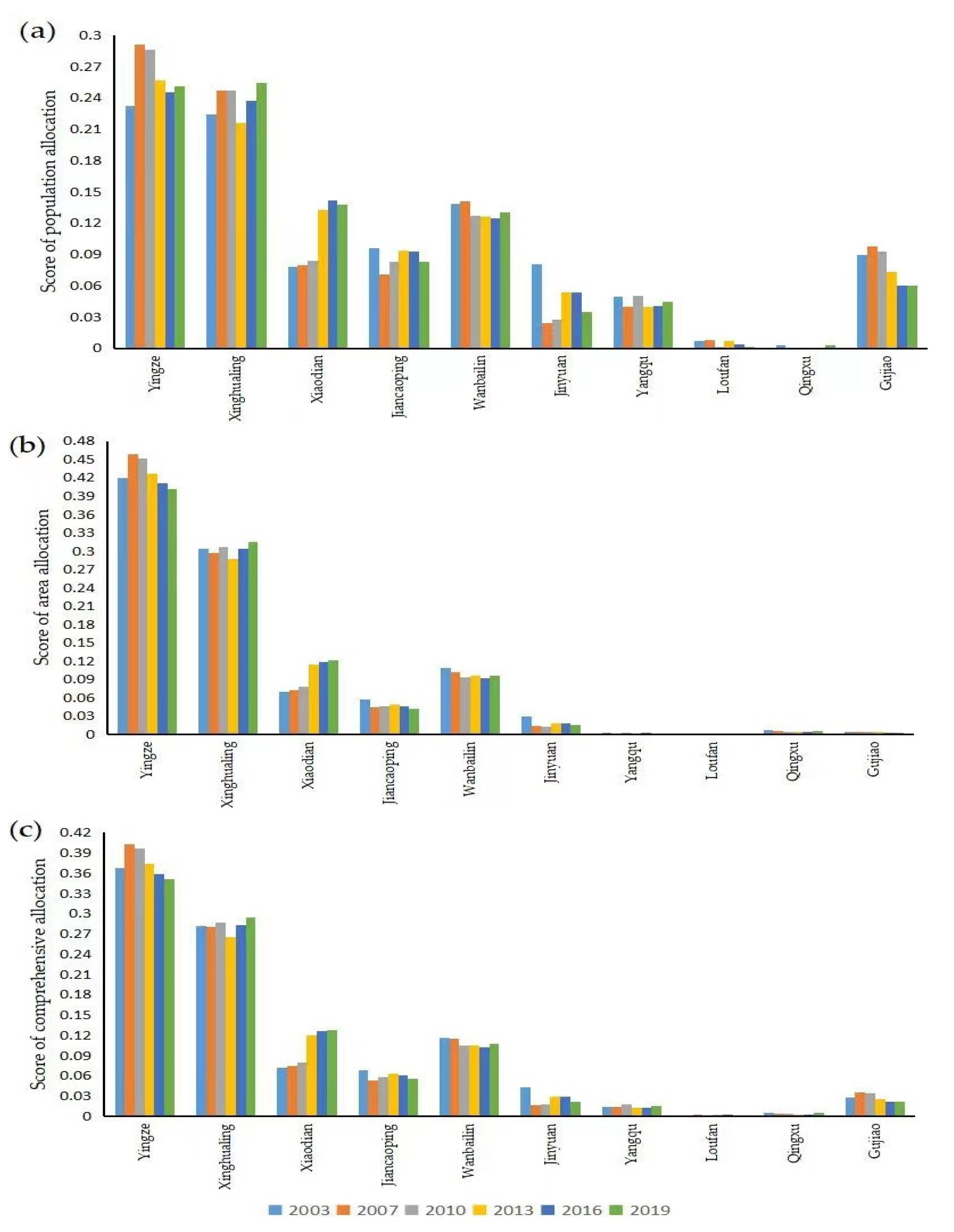
3.1.4. Comprehensive Evaluation of Medical and Health Resources Allocation in Taiyuan
3.2. Influencing Factors and Mechanism of Medical and Health Resources Allocation
3.2.1. Economy
3.2.2. Population
3.2.3. Society
4. Discussion
5. Conclusions
Author Contributions
Funding
Institutional Review Board Statement
Informed Consent Statement
Data Availability Statement
Acknowledgments
Conflicts of Interest
Appendix A
| Year | Yingze | Xinghualing | Xiaodian | Jiancaoping | Wanbailin | Jinyuan | Yangqu | Loufan | Qingxu | Gujiao | ||
|---|---|---|---|---|---|---|---|---|---|---|---|---|
| PAD | 2003 | 8.88 | 6.68 | 3.40 | 2.47 | 3.53 | 1.33 | 0.15 | 0.19 | 1.05 | 0.28 | |
| 2007 | 8.71 | 6.55 | 3.79 | 2.48 | 3.57 | 1.37 | 0.14 | 0.19 | 0.98 | 0.27 | ||
| 2010 | 8.54 | 6.60 | 4.01 | 2.41 | 3.53 | 1.33 | 0.14 | 0.19 | 0.98 | 0.27 | ||
| 2013 | 8.46 | 6.65 | 4.02 | 2.31 | 3.53 | 1.31 | 0.14 | 0.19 | 1.01 | 0.27 | ||
| 2016 | 8.68 | 6.67 | 4.03 | 2.22 | 3.52 | 1.32 | 0.14 | 0.19 | 1.03 | 0.26 | ||
| 2019 | 8.54 | 6.64 | 4.29 | 2.13 | 3.54 | 1.37 | 0.14 | 0.18 | 1.02 | 0.25 | ||
| Beds | HRAD | 2003 | 14.13 | 9.69 | 2.53 | 2.02 | 3.53 | 1.49 | 0.11 | 0.07 | 0.25 | 0.25 |
| 2007 | 17.20 | 10.34 | 2.46 | 1.71 | 3.44 | 0.51 | 0.09 | 0.07 | 0.27 | 0.23 | ||
| 2010 | 16.82 | 10.84 | 2.85 | 1.76 | 3.01 | 0.41 | 0.12 | 0.05 | 0.26 | 0.21 | ||
| 2013 | 14.69 | 10.27 | 3.99 | 1.81 | 2.98 | 0.76 | 0.10 | 0.05 | 0.25 | 0.18 | ||
| 2016 | 14.93 | 10.20 | 4.15 | 1.78 | 2.87 | 0.81 | 0.11 | 0.05 | 0.22 | 0.16 | ||
| 2019 | 14.54 | 11.48 | 4.09 | 1.52 | 3.05 | 0.40 | 0.10 | 0.05 | 0.23 | 0.15 | ||
| HRAD/PAD | 2003 | 1.59 | 1.45 | 0.74 | 0.82 | 1.00 | 1.12 | 0.76 | 0.34 | 0.23 | 0.86 | |
| 2007 | 1.97 | 1.58 | 0.65 | 0.69 | 0.96 | 0.37 | 0.67 | 0.37 | 0.28 | 0.85 | ||
| 2010 | 1.97 | 1.64 | 0.71 | 0.73 | 0.85 | 0.31 | 0.87 | 0.27 | 0.26 | 0.79 | ||
| 2013 | 1.74 | 1.54 | 0.99 | 0.78 | 0.84 | 0.58 | 0.71 | 0.27 | 0.25 | 0.66 | ||
| 2016 | 1.72 | 1.53 | 1.03 | 0.80 | 0.82 | 0.61 | 0.76 | 0.24 | 0.21 | 0.62 | ||
| 2019 | 1.70 | 1.73 | 0.95 | 0.71 | 0.86 | 0.29 | 0.74 | 0.26 | 0.23 | 0.61 | ||
| Health technicians | HRAD | 2003 | 13.95 | 11.53 | 2.24 | 1.95 | 4.01 | 0.81 | 0.06 | 0.06 | 0.26 | 0.23 |
| 2007 | 16.21 | 11.21 | 2.47 | 1.47 | 3.91 | 0.54 | 0.05 | 0.05 | 0.25 | 0.23 | ||
| 2010 | 16.85 | 11.61 | 2.64 | 1.49 | 3.66 | 0.48 | 0.05 | 0.03 | 0.19 | 0.21 | ||
| 2013 | 15.51 | 9.84 | 4.17 | 1.65 | 3.66 | 0.63 | 0.05 | 0.04 | 0.15 | 0.17 | ||
| 2016 | 14.72 | 11.25 | 4.11 | 1.51 | 3.47 | 0.61 | 0.05 | 0.03 | 0.18 | 0.14 | ||
| 2019 | 14.31 | 11.19 | 4.30 | 1.40 | 3.54 | 0.60 | 0.05 | 0.04 | 0.21 | 0.13 | ||
| HRAD/PAD | 2003 | 1.57 | 1.73 | 0.66 | 0.79 | 1.14 | 0.61 | 0.43 | 0.29 | 0.24 | 0.80 | |
| 2007 | 1.86 | 1.71 | 0.65 | 0.59 | 1.09 | 0.39 | 0.39 | 0.27 | 0.25 | 0.85 | ||
| 2010 | 1.97 | 1.76 | 0.66 | 0.62 | 1.04 | 0.36 | 0.34 | 0.18 | 0.20 | 0.79 | ||
| 2013 | 1.83 | 1.48 | 1.04 | 0.72 | 1.03 | 0.48 | 0.33 | 0.20 | 0.15 | 0.63 | ||
| 2016 | 1.70 | 1.69 | 1.02 | 0.68 | 0.99 | 0.46 | 0.36 | 0.18 | 0.17 | 0.54 | ||
| 2019 | 1.68 | 1.69 | 1.00 | 0.66 | 1.00 | 0.44 | 0.38 | 0.20 | 0.21 | 0.54 | ||
| Licensed (assistant) physicians | HRAD | 2003 | 15.08 | 10.03 | 2.60 | 2.13 | 3.69 | 0.85 | 0.08 | 0.06 | 0.35 | 0.20 |
| 2007 | 15.82 | 10.48 | 3.08 | 1.72 | 3.78 | 0.58 | 0.06 | 0.05 | 0.24 | 0.19 | ||
| 2010 | 15.44 | 11.00 | 3.10 | 1.89 | 3.66 | 0.64 | 0.04 | 0.04 | 0.19 | 0.19 | ||
| 2013 | 14.78 | 10.24 | 4.03 | 1.85 | 3.63 | 0.65 | 0.04 | 0.04 | 0.18 | 0.17 | ||
| 2016 | 13.89 | 10.74 | 4.35 | 1.76 | 3.47 | 0.67 | 0.04 | 0.04 | 0.22 | 0.14 | ||
| 2019 | 13.36 | 10.47 | 4.54 | 1.54 | 3.60 | 0.72 | 0.05 | 0.05 | 0.31 | 0.14 | ||
| HRAD/PAD | 2003 | 1.70 | 1.50 | 0.76 | 0.86 | 1.05 | 0.63 | 0.55 | 0.28 | 0.33 | 0.72 | |
| 2007 | 1.82 | 1.60 | 0.81 | 0.69 | 1.06 | 0.43 | 0.42 | 0.28 | 0.25 | 0.70 | ||
| 2010 | 1.81 | 1.67 | 0.77 | 0.79 | 1.03 | 0.48 | 0.31 | 0.21 | 0.19 | 0.72 | ||
| 2013 | 1.75 | 1.54 | 1.00 | 0.80 | 1.03 | 0.50 | 0.28 | 0.24 | 0.17 | 0.62 | ||
| 2016 | 1.60 | 1.61 | 1.08 | 0.79 | 0.99 | 0.51 | 0.30 | 0.24 | 0.22 | 0.53 | ||
| 2019 | 1.57 | 1.58 | 1.06 | 0.72 | 1.02 | 0.53 | 0.34 | 0.27 | 0.30 | 0.56 | ||
| Influencing Factor | Yingze | Xinghualing | Xiaodian | ||||||
| Beds | Health Technicians | Licensed (Assistant) Physicians | Beds | Health Technicians | Licensed (Assistant) Physicians | Beds | Health Technicians | Licensed (Assistant) Physicians | |
| X1 | 0.656 | 0.656 | 0.651 | 0.604 | 0.603 | 0.605 | 0.706 | 0.709 | 0.708 |
| X2 | 0.675 | 0.675 | 0.670 | 0.629 | 0.627 | 0.629 | 0.763 | 0.767 | 0.765 |
| X3 | 0.923 | 0.922 | 0.938 | 0.944 | 0.958 | 0.949 | 0.987 | 0.977 | 0.983 |
| X4 | 0.987 | 0.987 | 0.973 | 0.979 | 0.965 | 0.975 | 0.980 | 0.973 | 0.981 |
| X5 | 0.702 | 0.702 | 0.697 | 0.720 | 0.716 | 0.720 | 0.791 | 0.795 | 0.793 |
| X6 | 0.794 | 0.794 | 0.786 | 0.846 | 0.838 | 0.844 | 0.875 | 0.882 | 0.878 |
| X7 | 0.989 | 0.988 | 0.990 | 0.995 | 0.984 | 0.994 | 0.988 | 0.986 | 0.992 |
| X8 | 0.989 | 0.991 | 0.981 | 0.990 | 0.987 | 0.993 | 0.992 | 0.990 | 0.993 |
| X9 | 0.977 | 0.976 | 0.989 | 0.982 | 0.993 | 0.987 | 0.981 | 0.974 | 0.979 |
| X10 | 0.976 | 0.979 | 0.976 | 0.991 | 0.980 | 0.988 | 0.993 | 0.989 | 0.997 |
| X11 | 0.985 | 0.984 | 0.993 | 0.991 | 0.994 | 0.996 | 0.990 | 0.983 | 0.991 |
| X12 | 0.563 | 0.563 | 0.560 | 0.604 | 0.602 | 0.604 | 0.564 | 0.564 | 0.564 |
| X13 | 0.963 | 0.962 | 0.979 | 0.983 | 0.982 | 0.984 | 0.989 | 0.990 | 0.988 |
| X14 | 0.969 | 0.968 | 0.985 | 0.983 | 0.988 | 0.986 | 0.980 | 0.988 | 0.985 |
| X15 | 0.927 | 0.930 | 0.917 | 0.978 | 0.968 | 0.975 | 0.893 | 0.900 | 0.897 |
| X16 | 0.973 | 0.973 | 0.963 | 0.973 | 0.960 | 0.969 | 0.969 | 0.979 | 0.973 |
| Influencing Factor | Jiancaoping | Wanbailin | Jinyuan | ||||||
| Beds | Health Technicians | Licensed (Assistant) Physicians | Beds | Health Technicians | Licensed (Assistant) Physicians | Beds | Health Technicians | Licensed (Assistant) Physicians | |
| X1 | 0.663 | 0.657 | 0.662 | 0.622 | 0.623 | 0.625 | 0.840 | 0.858 | 0.861 |
| X2 | 0.677 | 0.671 | 0.676 | 0.652 | 0.654 | 0.657 | 0.858 | 0.878 | 0.882 |
| X3 | 0.971 | 0.969 | 0.975 | 0.976 | 0.978 | 0.976 | 0.972 | 0.970 | 0.971 |
| X4 | 0.840 | 0.828 | 0.837 | 0.924 | 0.928 | 0.934 | 0.837 | 0.855 | 0.859 |
| X5 | 0.613 | 0.608 | 0.613 | 0.640 | 0.641 | 0.644 | 0.730 | 0.740 | 0.742 |
| X6 | 0.656 | 0.650 | 0.655 | 0.677 | 0.679 | 0.682 | 0.816 | 0.832 | 0.836 |
| X7 | 0.967 | 0.951 | 0.961 | 0.949 | 0.957 | 0.970 | 0.932 | 0.958 | 0.964 |
| X8 | 0.926 | 0.911 | 0.921 | 0.973 | 0.965 | 0.950 | 0.948 | 0.977 | 0.983 |
| X9 | 0.982 | 0.988 | 0.984 | 0.983 | 0.986 | 0.989 | 0.956 | 0.985 | 0.990 |
| X10 | 0.924 | 0.909 | 0.920 | 0.921 | 0.927 | 0.939 | 0.927 | 0.953 | 0.959 |
| X11 | 0.953 | 0.937 | 0.948 | 0.961 | 0.969 | 0.983 | 0.913 | 0.938 | 0.943 |
| X12 | 0.610 | 0.605 | 0.610 | 0.537 | 0.537 | 0.538 | 0.619 | 0.624 | 0.625 |
| X13 | 0.973 | 0.970 | 0.975 | 0.947 | 0.952 | 0.954 | 0.915 | 0.940 | 0.946 |
| X14 | 0.974 | 0.971 | 0.976 | 0.920 | 0.926 | 0.938 | 0.897 | 0.920 | 0.925 |
| X15 | 0.835 | 0.823 | 0.831 | 0.922 | 0.928 | 0.940 | 0.851 | 0.870 | 0.873 |
| X16 | 0.884 | 0.871 | 0.879 | 0.906 | 0.912 | 0.923 | 0.928 | 0.954 | 0.960 |
| Influencing Factor | Qingxu | Yangqu | Loufan | ||||||
| Beds | Health Technicians | Licensed (Assistant) Physicians | Beds | Health Technicians | Licensed (Assistant) Physicians | Beds | Health Technicians | Licensed (Assistant) Physicians | |
| X1 | 0.917 | 0.907 | 0.903 | 0.885 | 0.879 | 0.871 | 0.873 | 0.870 | 0.874 |
| X2 | 0.926 | 0.916 | 0.911 | 0.890 | 0.884 | 0.876 | 0.883 | 0.879 | 0.883 |
| X3 | 0.993 | 0.981 | 0.976 | 0.996 | 0.991 | 0.980 | 0.997 | 0.996 | 0.994 |
| X4 | 0.988 | 0.989 | 0.989 | 0.987 | 0.978 | 0.967 | 0.963 | 0.958 | 0.964 |
| X5 | 0.855 | 0.847 | 0.842 | 0.812 | 0.807 | 0.801 | 0.863 | 0.859 | 0.863 |
| X6 | 0.913 | 0.903 | 0.899 | 0.856 | 0.850 | 0.843 | 0.854 | 0.850 | 0.854 |
| X7 | 0.994 | 0.987 | 0.982 | 0.995 | 0.989 | 0.977 | 0.989 | 0.984 | 0.991 |
| X8 | 0.984 | 0.995 | 0.991 | 0.989 | 0.996 | 0.988 | 0.995 | 0.996 | 0.992 |
| X9 | 0.988 | 0.995 | 0.991 | 0.987 | 0.995 | 0.991 | 0.997 | 0.996 | 0.995 |
| X10 | 0.983 | 0.972 | 0.967 | 0.982 | 0.973 | 0.962 | 0.975 | 0.970 | 0.977 |
| X11 | 0.965 | 0.954 | 0.949 | 0.962 | 0.954 | 0.944 | 0.979 | 0.974 | 0.981 |
| X12 | 0.877 | 0.868 | 0.863 | 0.837 | 0.832 | 0.825 | 0.871 | 0.867 | 0.871 |
| X13 | 0.990 | 0.993 | 0.988 | 0.989 | 0.985 | 0.973 | 0.939 | 0.935 | 0.940 |
| X14 | 0.995 | 0.992 | 0.988 | 0.987 | 0.978 | 0.967 | 0.987 | 0.982 | 0.989 |
| X15 | 0.803 | 0.795 | 0.790 | 0.788 | 0.783 | 0.777 | 0.799 | 0.795 | 0.798 |
| X16 | 0.995 | 0.986 | 0.981 | 0.984 | 0.976 | 0.964 | 0.978 | 0.973 | 0.979 |
| Influencing Factor | Gujiao | ||||||||
| Beds | Health Technicians | Licensed (Assistant) Physicians | |||||||
| X1 | 0.960 | 0.961 | 0.964 | ||||||
| X2 | 0.965 | 0.963 | 0.965 | ||||||
| X3 | 0.967 | 0.964 | 0.957 | ||||||
| X4 | 0.814 | 0.819 | 0.819 | ||||||
| X5 | 0.620 | 0.624 | 0.621 | ||||||
| X6 | 0.729 | 0.734 | 0.732 | ||||||
| X7 | 0.957 | 0.959 | 0.967 | ||||||
| X8 | 0.952 | 0.955 | 0.961 | ||||||
| X9 | 0.986 | 0.978 | 0.981 | ||||||
| X10 | 0.884 | 0.888 | 0.891 | ||||||
| X11 | 0.963 | 0.965 | 0.972 | ||||||
| X12 | 0.687 | 0.691 | 0.689 | ||||||
| X13 | 0.939 | 0.946 | 0.947 | ||||||
| X14 | 0.952 | 0.956 | 0.962 | ||||||
| X15 | 0.682 | 0.688 | 0.685 | ||||||
| X16 | 0.936 | 0.940 | 0.944 | ||||||
References
- Xu, T.W. Global health security: Threats, challenges and responses. Chin. Int. Strat. Rev. 2019, 2, 87–104. Available online: https://kns.cnki.net/kcms/detail/detail.aspx?dbcode=CCJD&dbname=CCJDLAST2&filename=LZJG201902008&uniplatform=NZKPT&v=mXfT-6guiU3SIaCmXpFedvhw0SocTcXws7Lsoz2EeymvU7emgU7OGgBVCBsYovPj (accessed on 12 March 2022).
- Li, Y.H.; Wu, W.H.; Liu, Y.S. Evolution of global major disasters during past century and its enlightenments to human resilience building. Bull. Chin. Acad. Sci. 2020, 35, 345–352. Available online: http://www.bulletin.cas.cn/zgkxyyk/ch/reader/create_pdf.aspx?file_no=20200316&flag=1&year_id=2020&quarter_id=3 (accessed on 15 March 2022).
- Kwon, C.Y.; Lee, B. Systematic review of mind–body modalities to manage the mental health of healthcare workers during the COVID-19 Era. Healthcare 2022, 10, 1027. [Google Scholar] [CrossRef] [PubMed]
- Araja, D.; Berkis, U.; Murovska, M. COVID-19 pandemic-revealed consistencies and inconsistencies in healthcare: A medical and organizational view. Healthcare 2022, 10, 1018. [Google Scholar] [CrossRef]
- Bonsaksen, T.; Chiu, V.; Leung, J.; Schoultz, M.; Thygesen, H.; Price, D.; Ruffolo, M.; Geirdal, A. Students’ mental health, well-being, and loneliness during the COVID-19 Pandemic: A cross-national study. Healthcare 2022, 10, 996. [Google Scholar] [CrossRef] [PubMed]
- Jing, H.B.; Hu, B. The mechanism of people’s distress in the public crisis and its implications. Public Manag. Res. 2006, 21, 129–149. Available online: https://www.sinoss.net/uploadfile/2010/1130/8141.pdf (accessed on 20 March 2022).
- Dolan, P.; Gudex, C.; Kind, P.; Williams, A. Valuing health states: A comparison of methods. J. Health Econ. 1996, 15, 209–231. [Google Scholar] [CrossRef]
- Dolan, P.; Cookson, R. A qualitative study of the extent to which health gain matters when choosing between groups of patients. Health Policy 2000, 51, 19–30. [Google Scholar] [CrossRef]
- Dolan, P.; Olsen, J.A. Equity in health: The importance of different health streams. J. Health Econ. 2001, 20, 823–834. [Google Scholar] [CrossRef]
- Dolan, P.; Tsuchiya, A. Health priorities and public preferences: The relative importance of past health experience and future health prospects. J. Health Econ. 2005, 24, 703–714. [Google Scholar] [CrossRef]
- Dolan, P.; Tsuchiya, A. Severity of illness and priority setting: Worrisome criticism of inconvenient finding?—A reply to Erik Nord. J. Health Econ. 2006, 25, 173–174. Available online: https://ideas.repec.org/a/eee/jhecon/v25y2006i1p173-174.html (accessed on 26 March 2022). [CrossRef]
- Musgrove, P. Measurement of equity in health. World Health Stat. Q. 1986, 39, 325–335. Available online: https://apps.who.int/iris/bitstream/handle/10665/48980/WHSQ_1986_Vol.39_no4_p325-335_eng-fre.pdf (accessed on 10 April 2022). [PubMed]
- Saxena, S.; Thornicroft, G.; Knapp, M.; Whiteford, H. Resources for mental health: Scarcity, inequity, and inefficiency. Lancet 2007, 370, 878–889. [Google Scholar] [CrossRef]
- Le Grand, J. Inequalities in health: Some international comparisons. Eur. Econ. Rev. 1987, 31, 182–191. [Google Scholar] [CrossRef]
- Erdenee, O.; Paramita, S.A.; Yamazaki, C.; Koyama, H. Distribution of health care resources in Mongolia using the Gini coefficient. Hum. Resour. Health 2017, 15, 56. Available online: https://human-resources-health.biomedcentral.com/articles/10.1186/s12960-017-0232-1 (accessed on 16 April 2022). [CrossRef] [Green Version]
- Woldemichael, A.; Takian, A.; Sari, A.A.; Olyaeemanesh, A. Inequalities in healthcare resources and outcomes threatening sustainable health development in Ethiopia: Panel data analysis. BMJ Open 2019, 9, 1136–1153. [Google Scholar] [CrossRef] [Green Version]
- Elamir, E.A.H. On estimation of some abbreviated social welfare measures. Qual. Quant. 2013, 47, 1561–1576. Available online: https://linkspringer.53yu.com/article/10.1007/s11135-011-9609-8 (accessed on 24 April 2022). [CrossRef]
- Drezner, T.; Drezner, Z.; Guyse, J. Equitable service by a facility: Minimizing the Gini coefficient. Comput. Oper. Res. 2009, 36, 3240–3246. [Google Scholar] [CrossRef]
- Xu, Z.; Lei, X. Analysis on equity of health human resource allocation in Hubei Province based on the Gini coefficient and a HRDI mode. J. Phys. Conf. Ser. 2021, 1941, 012063. Available online: https://iopscience.iop.org/article/10.1088/1742-6596/1941/1/012063/meta (accessed on 26 April 2022).
- Sakai, R.; Wang, W.; Yamaguchi, N.; Tamura, H.; Goto, R.; Kawachi, I. The impact of Japan’s 2004 postgraduate training program on intra-prefectural distribution of pediatricians in Japan. PLoS ONE 2013, 8, e77045. [Google Scholar] [CrossRef] [Green Version]
- Tao, Y.; Henry, K.; Zou, Q.; Zhong, X. Methods for measuring horizontal equity in health resource allocation: A comparative study. Health Econ. Rev 1186, 4, 10. Available online: https://linkspringer.53yu.com/article/10.1186/s13561-014-0010-x (accessed on 28 April 2022). [CrossRef] [PubMed] [Green Version]
- Shinjo, D.; Aramaki, T. Geographic distribution of healthcare resources, healthcare service provision, and patient flow in Japan: A cross sectional study. Soc. Sci. Med. 2012, 75, 1954–1963. [Google Scholar] [CrossRef] [PubMed]
- Izutsu, M.; Suzuki, E.; Izutsu, Y.; Doi, H. Trends in geographic distribution of nursing staff in Japan from 2000 to 2010: A multilevel analysis. Acta Med. Okayama 2014, 68, 101–110. Available online: https://ousar.lib.okayama-u.ac.jp/files/public/5/52523/20160528114639272918/K0004902_fulltext.pdf (accessed on 11 May 2022). [PubMed]
- Sari, A.A.; Rezaei, S.; Rad, E.H.; Dehghanian, N.; Chavehpour, Y. Regional disparity in physical resources in the health sector in Iran: A comparison of two time periods. Iran. J. Public Health 2015, 44, 848–854. Available online: https://wwwncbi.53yu.com/pmc/articles/PMC4524310/ (accessed on 16 May 2022).
- Wen, J.N.; Yang, Y.H.; Jiang, Y.; Li, L.G.; Wang, X.Y.; Cui, X.G. Analysis on equity of Ningxia’s health resource allocation based on Gini coefficient and index of dissimilarity. Chin. Health Econ. 2016, 35, 61–64. Available online: http://www.cqvip.com/qk/90045x/20164/668310636.html (accessed on 23 May 2022).
- O’Loughlin, R.; Kelly, A. Equity in resource allocation in the Irish health service: A policy Delphi study. Health Policy 2004, 67, 271–280. [Google Scholar] [CrossRef]
- Van Doorslaer, E.; Masseria, C.; Koolman, X. Inequalities in access to medical care by income in developed countries. CMAJ 2006, 174, 177–183. [Google Scholar] [CrossRef] [Green Version]
- Wiseman, V.; Lagarde, M.; Batura, N.; Lin, S.; Irava, W.; Roberts, G. Measuring inequalities in the distribution of the Fiji Health Workforce. Int. J. Equity Health 2017, 16, 115. Available online: https://linkspringer.53yu.com/article/10.1186/s12939-017-0575-1 (accessed on 27 May 2022). [CrossRef] [Green Version]
- Hanvoravongchai, P.; Chavez, I.; Rudge, J.W.; Touch, S.; Putthasri, W.; Chau, P.; Phommasack, B.; Singhasivanon, P.; Coker, R. An analysis of health system resources in relation to pandemic response capacity in the Greater Mekong Subregion. Int. J. Health Geogr. 2012, 11, 53. Available online: https://ij-healthgeographics.biomedcentral.com/articles/10.1186/1476-072X-11-53 (accessed on 29 May 2022). [CrossRef] [Green Version]
- Stentzel, U.; Piegsa, J.; Fredrich, D.; Hoffmann, W.; Van den Berg, N. Accessibility of general practitioners and selected specialist physicians by car and by public transport in a rural region of Germany. BMC Health Serv. Res. 2016, 16, 587. Available online: https://linkspringer.53yu.com/article/10.1186/s12913-016-1839-y (accessed on 3 June 2022). [CrossRef] [Green Version]
- Asante, A.D.; Zwi, A.B. Factors influencing resource allocation decisions and equity in the health system of Ghana. Public Health 2009, 123, 371–377. [Google Scholar] [CrossRef] [PubMed]
- Horev, T.; Pesis-Katz, I.; Mukamel, D.B. Trends in geographic disparities in allocation of health care resources in the US. Health Policy 2004, 68, 223–232. [Google Scholar] [CrossRef] [PubMed]
- Xie, X.; Wu, Q.; Hao, Y.; Yin, H.; Fu, W.Q.; Ning, N.; Xu, L.; Liu, C.J.; Li, Y.; Kang, Z.; et al. Identifying determinants of socioeconomic inequality in health service utilization among patients with chronic non-communicable diseases in China. PLoS ONE 2014, 9, e100231. [Google Scholar] [CrossRef] [PubMed]
- Love-Koh, J.; Griffin, S.; Kataika, E.; Revill, P.; Sibandze, S.; Walker, S. Methods to promote equity in health resource allocation in low-and middle-income countries: An overview. Global. Health 2020, 16, 6. Available online: https://linkspringer.53yu.com/article/10.1186/s12992-019-0537-z (accessed on 7 June 2022). [CrossRef] [PubMed]
- Shi, B.; Fu, Y.; Bai, X.; Zhang, X.Y.; Zheng, J.; Wang, Y.P.; Li, Y.; Zhang, L.J. Spatial Pattern and Spatial Heterogeneity of Chinese Elite Hospitals: A Country-Level Analysis. Front. Public Health 2021, 9, 710810. Available online: https://wwwncbi.53yu.com/pmc/articles/pmc8481595/ (accessed on 9 June 2022). [CrossRef] [PubMed]
- Ding, L.; Zhang, N.; Mao, Y. Addressing the maldistribution of health resources in Sichuan Province, China: A county-level analysis. PLoS ONE 2021, 16, e0250526. [Google Scholar] [CrossRef] [PubMed]
- Mueller, D.B.; Poluta, M.; Mutshekwane, N. Health technology assessment to inform allocation of healthcare resources. South. Afr. J. Public Health 2018, 3, 9–11. Available online: https://hdl.handle.net/10520/EJC-1dbaa6e1f2 (accessed on 13 June 2022).
- Liu, L.; Luo, D.; Bi, C.W.; Chen, X. Study on the medical and health resource allocation of Tianjin Based on Gini coefficient and agglomeration degree. Chin. Health Econ. 2019, 38, 48–50. Available online: http://www.cnki.com.cn/Article/CJFDTotal-WEIJ201905018.htm (accessed on 13 June 2022).
- Sun, J.; Luo, H. Evaluation on equality and efficiency of health resources allocation and health services utilization in China. Int. J. Equity Health 2017, 16, 127. Available online: https://equityhealthj.biomedcentral.com/articles/10.1186/s12939-017-0614-y (accessed on 13 June 2022). [CrossRef] [Green Version]
- Liu, W.; Liu, Y.; Twum, P.; Li, S.X. National equity of health resource allocation in China: Data from 2009 to 2013. Int. J. Equity Health 2016, 15, 68. Available online: https://equityhealthj.biomedcentral.com/articles/10.1186/s12939-016-0357-1 (accessed on 15 June 2022). [CrossRef] [Green Version]
- Chen, A.Q.; Xu, A.J.; Xue, C.B. A research on equity of health resource allocation in Jiangsu Province based on Gini coefficient and focality. Chin. J. Health Stat. 2018, 35, 527–529. Available online: https://wenku.baidu.com/view/01160fee03020740be1e650e52ea551811a6c972?fr=xueshu_top (accessed on 15 June 2022).
- Zhang, C.; Zhao, X.H.; Ni, J.; Wu, Y.Y.; Li, X.R. Fairness analysis of health resources allocation in Sichuan Province Based on agglomeration degree. Mod. Prev. Med. 2020, 47, 3530–3535. Available online: http://oldmed.wanfangdata.com.cn/Paper/Detail/PeriodicalPaper_xdyfyx202019020 (accessed on 15 June 2022).
- Yang, S.; Tian, S. Analysis of health resource allocation efficiency of township hospitals in China. J. Phys. Conf. Ser. 2021, 1774, 012021. Available online: https://iopscience.iop.org/article/10.1088/1742-6596/1774/1/012021/meta (accessed on 17 June 2022). [CrossRef]
- Zhang, J.; Cai, J.; He, Z.; Pu, C.; Tang, G. Analysis on the differences of health resources allocation in undeveloped areas of Chongqing, China: A cross-sectional study. J. Serv. Sci. Manag. 2020, 13, 244–260. Available online: https://www.scirp.org/html/4-9202314_99489.htm (accessed on 18 June 2022). [CrossRef] [Green Version]
- Li, X.; Kawamura, K. Methodology for Real-Time Evaluation of Geographic Health Care Resource Allocation: Iwate Prefectural Hospitals. Sci. J. Bus. Manag. 2021, 9, 55. Available online: http://article.sjobm.net/pdf/10.11648.j.sjbm.20210902.11.pdf (accessed on 20 June 2022). [CrossRef]
- Song, X.Q.; Deng, W.; Zhou, P.; Zhang, S.Y.; Wan, J.J.; Liu, Y. The spatial balance of two-level public medical resources and its influencing mechanism -- in the context of hierarchical medical reform. Acta. Geogr. Sin. 2019, 74, 1178–1189. Available online: http://www.cnki.com.cn/Article/CJFDTotal-DLXB201906009.htm (accessed on 20 June 2022).
- Zhang, Y.; Zhang, C.; Wang, Z.Q. Research on the equity and influencing factors of health resource allocation in Xinjiang from 2004 to 2016: A comprehensive perspective based on “population fairness” and “geographical equality”. Chin. Health Ser. Manag. 2019, 36, 499–509. Available online: http://www.cqvip.com/qk/90217x/201907/7002648295.html (accessed on 20 June 2022).
- Tang, L.M.; Gao, X.; Yan, L.N.; Yang, H.M.; Zhou, Z.S.; Niu, Y.J. Analysis on the geographi equity of health resources allocation in Hebei. Chin. Health Econ. 2017, 36, 48–51. Available online: http://www.cqvip.com/qk/90045x/201705/671970793.html (accessed on 22 June 2022).
- Li, Y.D.; Zhang, M.; Xia, X.L.; Liu, H. Research on geographical equity of health resources allocation in Sichuan Province. Chin. Health Econ. 2017, 36, 48–51. Available online: http://www.wsrkx.net/CN/article/downloadArticleFile.do?attachType=PDF&id=151 (accessed on 23 June 2022).
- Wang, L.; Li, J. A Study on equity of health resource allocation in Liaoning Province. J. Northeast. Univ. 2012, 14, 521–525. Available online: http://xuebao.neu.edu.cn/social/CN/article/downloadArticleFile.do?attachType=PDF&id=262 (accessed on 23 June 2022).
- Ge, F.L.; Xu, W. Analysis of influencing factors on resource allocation efficiency of primary medical and health institutions in Shandong Province. Chin. Pharm. 2020, 29, 5–8. Available online: http://www.cqvip.com/qk/83595x/202004/7100843981.html (accessed on 26 June 2022).


| System | Number | Index | Unit | Description |
|---|---|---|---|---|
| Economy | X1 | GDP | million yuan | |
| X2 | per capital GDP | million yuan | ||
| X3 | proportion of secondary industry | % | ||
| X4 | proportion of tertiary industry | % | ||
| X5 | urban per capita disposable income | yuan | ||
| X6 | per capita disposable income of rural residents | yuan | ||
| Population | X7 | total population | million people | |
| X8 | education degree | % | proportion of primary and secondary school students in the total population | |
| X9 | proportion of ageing | % | proportion of the population aged 65 and over to total population | |
| X10 | proportion of children | % | proportion of population under 14 to total population | |
| Society | X11 | urbanization rate | % | proportion of urban population in total population |
| X12 | total retail sales of consumer goods | million yuan | ||
| X13 | fiscal expenditure decentralization | % | proportion of county financial expenditure in Taiyuan financial expenditure | |
| X14 | fiscal revenue decentralization | % | proportion of county financial revenue in Taiyuan financial revenue | |
| X15 | number of participants in basic medical insurance | people | ||
| X16 | highway mileage | kilometer |
| Population Allocation | Area Allocation | |||||
|---|---|---|---|---|---|---|
| Beds | Health Technicians | Licensed (Assistant) Physicians | Beds | Health Technicians | Licensed (Assistant) Physicians | |
| 2003 | 0.258 | 0.192 | 0.180 | 0.896 | 0.907 | 0.905 |
| 2007 | 0.262 | 0.245 | 0.205 | 0.915 | 0.917 | 0.912 |
| 2010 | 0.289 | 0.269 | 0.227 | 0.914 | 0.920 | 0.912 |
| 2013 | 0.224 | 0.203 | 0.194 | 0.906 | 0.911 | 0.909 |
| 2016 | 0.229 | 0.196 | 0.166 | 0.908 | 0.913 | 0.908 |
| 2019 | 0.246 | 0.198 | 0.160 | 0.912 | 0.912 | 0.906 |
| Population Allocation | Area Allocation | ||||||
|---|---|---|---|---|---|---|---|
| Beds | Health Technicians | Licensed (Assistant) Physicians | Beds | Health Technicians | Licensed (Assistant) Physicians | ||
| 2003 | T | 0.0413 | 0.0583 | 0.0461 | 0.5750 | 0.6418 | 0.6200 |
| TW | 0.0143 | 0.0110 | 0.0057 | 0.0462 | 0.0314 | 0.0316 | |
| TA | 0.0270 | 0.0473 | 0.0404 | 0.5289 | 0.6103 | 0.5884 | |
| CW | 0.3455 | 0.1888 | 0.1234 | 0.0803 | 0.0489 | 0.0510 | |
| CA | 0.6545 | 0.8112 | 0.8766 | 0.9197 | 0.9511 | 0.9490 | |
| 2007 | T | 0.0656 | 0.0734 | 0.0619 | 0.6524 | 0.6826 | 0.6705 |
| TW | 0.0099 | 0.0123 | 0.0068 | 0.0247 | 0.0316 | 0.0281 | |
| TA | 0.0557 | 0.0611 | 0.0552 | 0.6277 | 0.6509 | 0.6424 | |
| CW | 0.1512 | 0.1679 | 0.1092 | 0.0378 | 0.0464 | 0.0419 | |
| CA | 0.8488 | 0.8321 | 0.8908 | 0.9622 | 0.9536 | 0.9581 | |
| 2010 | T | 0.0691 | 0.0857 | 0.0680 | 0.6568 | 0.7166 | 0.6856 |
| TW | 0.0097 | 0.0118 | 0.0081 | 0.0180 | 0.0289 | 0.0282 | |
| TA | 0.0594 | 0.0738 | 0.0599 | 0.6388 | 0.6877 | 0.6574 | |
| CW | 0.1404 | 0.1382 | 0.1190 | 0.0275 | 0.0404 | 0.0412 | |
| CA | 0.8596 | 0.8618 | 0.8810 | 0.9725 | 0.9596 | 0.9588 | |
| 2013 | T | 0.0506 | 0.0665 | 0.0624 | 0.6334 | 0.6876 | 0.6799 |
| TW | 0.0064 | 0.0095 | 0.0067 | 0.0281 | 0.0344 | 0.0306 | |
| TA | 0.0442 | 0.0570 | 0.0557 | 0.6053 | 0.6533 | 0.6493 | |
| CW | 0.1273 | 0.1427 | 0.1067 | 0.0444 | 0.0500 | 0.0450 | |
| CA | 0.8727 | 0.8573 | 0.8933 | 0.9556 | 0.9500 | 0.9550 | |
| 2016 | T | 0.0526 | 0.0690 | 0.0584 | 0.6412 | 0.7022 | 0.6795 |
| TW | 0.0083 | 0.0063 | 0.0043 | 0.0308 | 0.0303 | 0.0314 | |
| TA | 0.0443 | 0.0627 | 0.0541 | 0.6104 | 0.6718 | 0.6481 | |
| CW | 0.1582 | 0.0911 | 0.0744 | 0.0481 | 0.0432 | 0.0462 | |
| CA | 0.8418 | 0.9089 | 0.9256 | 0.9519 | 0.9568 | 0.9538 | |
| 2019 | T | 0.0640 | 0.0650 | 0.0498 | 0.6725 | 0.6973 | 0.6622 |
| TW | 0.0066 | 0.0053 | 0.0038 | 0.0207 | 0.0329 | 0.0381 | |
| TA | 0.0574 | 0.0597 | 0.0460 | 0.6519 | 0.6644 | 0.6241 | |
| CW | 0.1027 | 0.0810 | 0.0766 | 0.0307 | 0.0471 | 0.0575 | |
| CA | 0.8973 | 0.9190 | 0.9234 | 0.9693 | 0.9529 | 0.9425 | |
Publisher’s Note: MDPI stays neutral with regard to jurisdictional claims in published maps and institutional affiliations. |
© 2022 by the authors. Licensee MDPI, Basel, Switzerland. This article is an open access article distributed under the terms and conditions of the Creative Commons Attribution (CC BY) license (https://creativecommons.org/licenses/by/4.0/).
Share and Cite
Wu, X.; Zhang, Y.; Guo, X. Research on the Equity and Influencing Factors of Medical and Health Resources Allocation in the Context of COVID-19: A Case of Taiyuan, China. Healthcare 2022, 10, 1319. https://doi.org/10.3390/healthcare10071319
Wu X, Zhang Y, Guo X. Research on the Equity and Influencing Factors of Medical and Health Resources Allocation in the Context of COVID-19: A Case of Taiyuan, China. Healthcare. 2022; 10(7):1319. https://doi.org/10.3390/healthcare10071319
Chicago/Turabian StyleWu, Xueling, Ye Zhang, and Xiaojia Guo. 2022. "Research on the Equity and Influencing Factors of Medical and Health Resources Allocation in the Context of COVID-19: A Case of Taiyuan, China" Healthcare 10, no. 7: 1319. https://doi.org/10.3390/healthcare10071319
APA StyleWu, X., Zhang, Y., & Guo, X. (2022). Research on the Equity and Influencing Factors of Medical and Health Resources Allocation in the Context of COVID-19: A Case of Taiyuan, China. Healthcare, 10(7), 1319. https://doi.org/10.3390/healthcare10071319

