Women Are More Infected and Seek Care Faster but Are Less Severely Ill: Gender Gaps in COVID-19 Morbidity and Mortality during Two Years of a Pandemic in Israel
Abstract
1. Introduction
2. Materials and Methods
2.1. Data Sources
2.2. Data Analysis
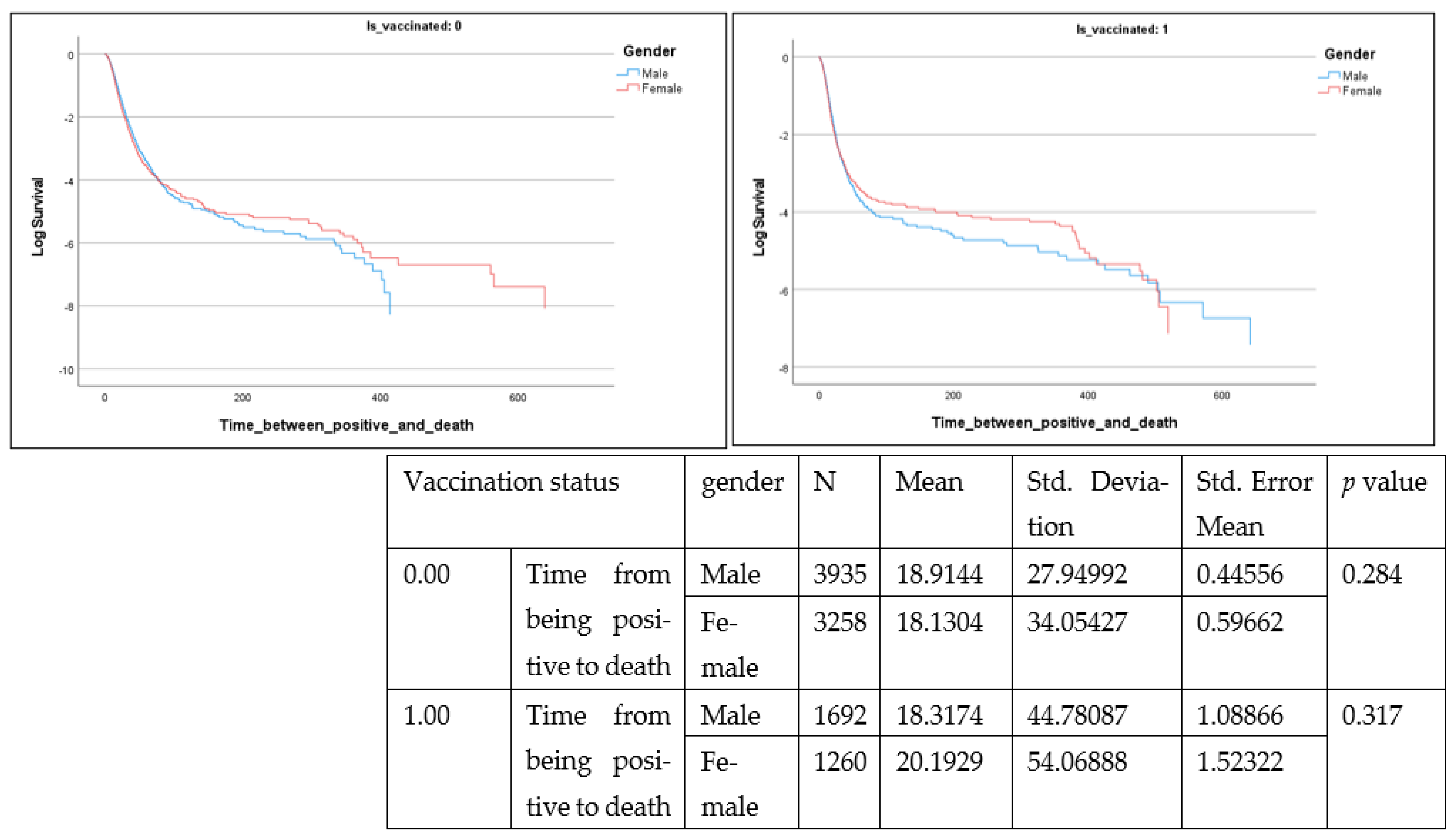
3. Results
4. Discussion
5. Limitations of This Study
6. Conclusions
Author Contributions
Funding
Institutional Review Board Statement
Informed Consent Statement
Data Availability Statement
Conflicts of Interest
References
- COVID-19 Map—Johns Hopkins Coronavirus Resource Center. Available online: https://coronavirus.jhu.edu/map.html (accessed on 17 April 2020).
- Vom Steeg, L.G.; Klein, S.L. SeXX Matters in Infectious Disease Pathogenesis. PLoS Pathog. 2016, 12, e1005374. [Google Scholar] [CrossRef] [PubMed]
- Ursin, R.L.; Klein, S.L. Sex Differences in Respiratory Viral Pathogenesis and Treatments. Annu. Rev. Virol. 2021, 8, 393–414. [Google Scholar] [CrossRef] [PubMed]
- Ingersoll, M.A. Sex differences shape the response to infectious diseases. PLoS Pathog. 2017, 13, e1006688. [Google Scholar] [CrossRef] [PubMed]
- Alghamdi, I.; Hussain, I.; Alghamdi, M.; Almalki, S.; Alghamdi, M.; Elsheemy, M. The pattern of Middle East respiratory syndrome coronavirus in Saudi Arabia: A descriptive epidemiological analysis of data from the Saudi Ministry of Health. Int. J. Gen. Med. 2014, 7, 417–423. [Google Scholar] [CrossRef]
- Karlberg, J.; Chong, D.S.Y.; Lai, W.Y.Y. Do Men Have a Higher Case Fatality Rate of Severe Acute Respiratory Syndrome than Women Do? Am. J. Epidemiol. 2004, 159, 229–231. [Google Scholar] [CrossRef] [PubMed]
- Jin, J.M.; Bai, P.; He, W.; Wu, F.; Liu, X.F.; Han, D.M.; Liu, S.; Yang, J.K. Gender Differences in Patients with COVID-19: Focus on Severity and Mortality. Front. Public Health 2020, 8, 152. [Google Scholar] [CrossRef]
- Klein, S.L.; Dhakal, S.; Ursin, R.L.; Deshpande, S.; Sandberg, K.; Mauvais-Jarvis, F. Biological sex impacts COVID-19 outcomes. PLoS Pathog. 2020, 16, e1008570. [Google Scholar] [CrossRef] [PubMed]
- Márquez, E.J.; Trowbridge, J.; Kuchel, G.A.; Banchereau, J.; Ucar, D. The lethal sex gap: COVID-19. Immun. Ageing 2020, 17, 13. [Google Scholar] [CrossRef]
- Green, M.S.; Nitzan, D.; Schwartz, N.; Niv, Y.; Peer, V. Sex differences in the case-fatality rates for COVID-19—A comparison of the age-related differences and consistency over seven countries. PLoS ONE 2021, 16, e0250523. [Google Scholar] [CrossRef]
- Sieber, P.; Flury, D.; Güsewell, S.; Albrich, W.C.; Boggian, K.; Gardiol, C.; Schlegel, M.; Sieber, R.; Vernazza, P.; Kohler, P. Characteristics of patients with Coronavirus Disease 2019 (COVID-19) and seasonal influenza at time of hospital admission: A single center comparative study. BMC Infect. Dis. 2021, 21, 27. [Google Scholar] [CrossRef]
- Gadi, N.; Wu, S.C.; Spihlman, A.P.; Moulton, V.R. What’s Sex Got to Do with COVID-19? Gender-Based Differences in the Host Immune Response to Coronaviruses. Front. Immunol. 2020, 11, 2147. [Google Scholar] [CrossRef] [PubMed]
- Guan, W.J.; Ni, Z.Y.; Hu, Y.; Liang, W.H.; Qu, C.Q.; He, J.X.; Liu, L.; Shan, H.; Lei, C.L.; Hui, D.S.C.; et al. Clinical Characteristics of coronavirus disease 2019 in China. N. Engl. J. Med. 2020, 382, 1708–1720. [Google Scholar] [CrossRef] [PubMed]
- Zhao, S.; Cao, P.; Chong, M.K.; Gao, D.; Lou, Y.; Ran, J.; Wang, K.; Wang, W.; Yang, L.; He, D.; et al. The time-varying serial interval of the coronavirus disease (COVID-19) and its gender-specific difference: A data-driven analysis using public surveillance data in Hong Kong and Shenzhen, China from January 10 to February 15, 2020. Infect. Control Hosp. Epidemiol. 2020, 10, 1–8. [Google Scholar]
- Mo, P.; Xing, Y.; Xiao, Y.U.; Deng, L.; Zhao, Q.; Wang, H.; Xiong, Y.; Cheng, Z.; Gao, S.; Liang, K.; et al. Clinical characteristics of refractory COVID-19 pneumonia in Wuhan, China. Clin. Infect. Dis. 2021, 73, e4208–e4213. [Google Scholar] [CrossRef] [PubMed]
- Acheampong, D.O.; Barffour, I.K.; Boye, A.; Aninagyei, E.; Ocansey, S.; Morna, M.T. Male predisposition to severe COVID-19: Review of evidence and potential therapeutic prospects. Biomed. Pharmacother. 2020, 131, 110748. [Google Scholar] [CrossRef]
- Kocher, K.; Delot-Vilain, A.; Spencer, D.; LoTempio, J.; Délot, E.C. Paucity and Disparity of Publicly Available Sex-Disaggregated Data for the COVID-19 Epidemic Hamper Evidence-Based Decision-Making. Arch. Sex. Behav. 2021, 50, 407–426. [Google Scholar] [CrossRef]
- de Souza, A.P.G.; Mota, C.M.D.M.; Rosa, A.G.F.; de Figueiredo, C.J.J.; Candeias, A.L.B. A spatial-temporal analysis at the early stages of the COVID-19 pandemic and its determinants: The case of Recife neighborhoods, Brazil. PLoS ONE 2022, 17, e0268538. [Google Scholar] [CrossRef]
- Danielsen, A.C.; Boulicault, M.; Gompers, A.; Rushovich, T.; Lee, K.M.N.; Richardson, S.S. How Cumulative Statistics Can Mislead: The Temporal Dynamism of Sex Disparities in COVID-19 Mortality in New York State. Int. J. Environ. Res. Public Health 2022, 19, 14066. [Google Scholar] [CrossRef]
- Bwire, G.M. Coronavirus: Why Men are More Vulnerable to Covid-19 Than Women? SN Compr. Clin. Med. 2020, 2, 874–876. [Google Scholar] [CrossRef]
- Thompson, A.E.; Anisimowicz, Y.; Miedema, B.; Hogg, W.; Wodchis, W.P.; Aubrey-Bassler, K. The influence of gender and other patient characteristics on health care-seeking behaviour: A QUALICOPC study. BMC Fam. Pract. 2016, 17, 38. [Google Scholar] [CrossRef]
- De La Vega, R.; Ruíz-Barquín, R.; Boros, S.; Szabo, A. Could attitudes toward COVID-19 in Spain render men more vulnerable than women? Glob. Public Health 2020, 15, 1278–1291. [Google Scholar] [CrossRef]
- Sackett, D.L.; Haynes, R.B.; Tugwell, P. Clinical Epidemiology: A Basic Science for Clinical Medicine; Little, Brown and Company: Boston, MA, USA, 1985. [Google Scholar]
- Aleksanyan, Y.; Weinman, J.P. Women, men and COVID-19. Soc. Sci. Med. 2022, 294, 114698. [Google Scholar] [CrossRef] [PubMed]
- Tabata, S.; Imai, K.; Kawano, S.; Ikeda, M.; Kodama, T.; Miyoshi, K.; Obinata, H.; Mimura, S.; Kodera, T.; Kitagaki, M.; et al. Clinical characteristics of COVID-19 in 104 people with SARS-CoV-2 infection on the Diamond Princess cruise ship: A retrospective analysis. Lancet Infect. Dis. 2020, 20, 1043–1050. [Google Scholar] [CrossRef] [PubMed]
- Krause, P.R.; Fleming, T.R.; Peto, R.; Longini, I.M.; Figueroa, J.P.; Sterne JA, C.; Cravioto, A.; Rees, H.; Higgins JP, T.; Boutron, I.; et al. Considerations in boosting COVID-19 vaccine immune responses. Lancet 2021, 398, 1377–1380. [Google Scholar] [CrossRef] [PubMed]
- Capuano, A.; Rossi, F.; Paolisso, G. Covid-19 Kills More Men Than Women: An Overview of Possible Reasons. Front. Cardiovasc. Med. 2020, 7, 131. [Google Scholar] [CrossRef] [PubMed]
- Zintel, S.; Flock, C.; Arbogast, A.L.; Forster, A.; von Wagner, C.; Sieverding, M. Gender differences in the intention to get vaccinated against COVID-19: A systematic review and meta-analysis. J. Public Health 2022, 17, 1–25. [Google Scholar] [CrossRef]
- Purkayastha, D.; Vanroelen, C.; Bircan, T.; Vantyghem, M.A.; Gantelet Adsera, C. Work, Health and COVID-19: A Literature Review. SSRN Electron. J. 2021, 25, 634–653. [Google Scholar] [CrossRef]
- Mantovani, A.; Dalbeni, A.; Beatrice, G. Coronavirus disease 2019 (COVID-19): We don’t leave women alone. Int. J. Public Health 2020, 65, 235–236. [Google Scholar] [CrossRef]
- Wenham, C.; Smith, J.; Morgan, R. Gender and COVID-19 Working Group. COVID-19: The gendered impacts of the outbreak. Lancet 2020, 395, 846–848. [Google Scholar] [CrossRef]
- Forsblom, E.; Silén, S.; Kortela, E.; Ahava, M.; Kreivi, H.-R.; Holmberg, V.; Järvinen, A.; Hästbacka, J.; Kivivuori, S.-M.; Meretoja, A. Male predominance in disease severity and mortality in a low Covid-19 epidemic and low case-fatality area—A population-based registry study. Infect. Dis. 2021, 53, 789–799. [Google Scholar] [CrossRef]
- Gerhold, L. COVID-19: Risk Perception and Coping Strategies. PsyArXiv 2020, 1–11. [Google Scholar] [CrossRef]





| Age Group | Gender | Num. of Testes | Num. of Confirmed Cases | % of Confirmed Cases among Individuals Tested | Num. of Hospitalized | % of Hospitalized among Those Confirmed Cases | Num. of Deceased Cases | % of Deceased Cases among Those Confirmed Cases | Num. of Intubated Cases | % of Intubated Cases among Those Confirmed Cases | Num. of Severe and Critically Ill | % of Severe and Critically Ill among Those Confirmed Cases |
|---|---|---|---|---|---|---|---|---|---|---|---|---|
| 0–9 | Male | 3,604,318 | 396,475 | 11 | 2771 | 0.699 | 7 | 0.002 | 28 | 0.007 | 100 | 0.025 |
| 0–9 | Female | 3,614,679 | 303,633 | 8.4 | 2254 | 0.742 | 4 | 0.001 | 13 | 0.004 | 63 | 0.021 |
| 10–19 | Male | 3,612,414 | 400,978 | 11.1 | 965 | 0.241 | 7 | 0.002 | 23 | 0.006 | 70 | 0.017 |
| 10–19 | Female | 3,592,314 | 366,416 | 10.2 | 1090 | 0.297 | 7 | 0.002 | 20 | 0.005 | 62 | 0.017 |
| 20–29 | Male | 3,607,403 | 223,659 | 6.2 | 1524 | 0.681 | 24 | 0.011 | 49 | 0.022 | 207 | 0.093 |
| 20–29 | Female | 3,584,826 | 308,295 | 8.6 | 4861 | 1.577 | 21 | 0.007 | 54 | 0.018 | 247 | 0.080 |
| 30–39 | Male | 3,585,475 | 211,543 | 5.9 | 2163 | 1.022 | 50 | 0.024 | 94 | 0.044 | 568 | 0.269 |
| 30–39 | Female | 3,614,929 | 303,654 | 8.4 | 4937 | 1.626 | 35 | 0.012 | 92 | 0.030 | 546 | 0.180 |
| 40–49 | Male | 3,632,673 | 188,899 | 5.2 | 3469 | 1.836 | 115 | 0.061 | 241 | 0.128 | 1308 | 0.692 |
| 40–49 | Female | 3,617,795 | 264,099 | 7.3 | 3444 | 1.304 | 74 | 0.028 | 138 | 0.052 | 896 | 0.339 |
| 50–59 | Male | 3,567,629 | 124,867 | 3.5 | 4735 | 3.792 | 366 | 0.293 | 518 | 0.415 | 2160 | 1.730 |
| 50–59 | Female | 3,612,021 | 169,765 | 4.7 | 3772 | 2.222 | 191 | 0.113 | 249 | 0.147 | 1493 | 0.879 |
| 60–69 | Male | 3,653,652 | 84,034 | 2.3 | 6319 | 7.520 | 947 | 1.127 | 885 | 1.053 | 3139 | 3.735 |
| 60–69 | Female | 3,576,867 | 107,306 | 3 | 4646 | 4.330 | 524 | 0.488 | 467 | 0.435 | 2119 | 1.975 |
| 70–79 | Male | 3,735,333 | 44,824 | 1.2 | 6714 | 14.979 | 1550 | 3.458 | 993 | 2.215 | 3603 | 8.038 |
| 70–79 | Female | 3,512,667 | 52,690 | 1.5 | 5483 | 10.406 | 975 | 1.850 | 560 | 1.063 | 2626 | 4.984 |
| 80–89 | Male | 3,516,000 | 17,580 | 0.5 | 5439 | 30.939 | 1795 | 10.210 | 613 | 3.487 | 2943 | 16.741 |
| 80–89 | Female | 3,518,286 | 24,628 | 0.7 | 5949 | 24.155 | 1647 | 6.688 | 464 | 1.884 | 3006 | 12.206 |
| 90+ | Male | 4,099,000 | 4099 | 0.1 | 1796 | 43.816 | 803 | 19.590 | 130 | 3.172 | 990 | 24.152 |
| 90+ | Female | 3,978,000 | 7956 | 0.2 | 2700 | 33.937 | 1070 | 13.449 | 130 | 1.634 | 1479 | 18.590 |
| Gender | First Dose | Second Dose | Third Dose | Fourth Dose |
|---|---|---|---|---|
| Male | 3,273,901 | 2,881,961 | 2,166,722 | 351,205 |
| Female | 3,372,618 | 2,979,819 | 2,252,895 | 373,638 |
| Vaccinated per total male population | 0.68198 | 0.599647 | 0.470637 | 0.078054 |
| Vaccinated per total female population | 0.704551 | 0.622494 | 0.470637 | 0.078054 |
| Relative risk (Fraction of vaccinated males/Fraction of vaccinated females) | 0.967 | 0.963 | 0.958 | 0.936 |
Publisher’s Note: MDPI stays neutral with regard to jurisdictional claims in published maps and institutional affiliations. |
© 2022 by the authors. Licensee MDPI, Basel, Switzerland. This article is an open access article distributed under the terms and conditions of the Creative Commons Attribution (CC BY) license (https://creativecommons.org/licenses/by/4.0/).
Share and Cite
Kaim, A.; Shetrit, S.B.; Saban, M. Women Are More Infected and Seek Care Faster but Are Less Severely Ill: Gender Gaps in COVID-19 Morbidity and Mortality during Two Years of a Pandemic in Israel. Healthcare 2022, 10, 2355. https://doi.org/10.3390/healthcare10122355
Kaim A, Shetrit SB, Saban M. Women Are More Infected and Seek Care Faster but Are Less Severely Ill: Gender Gaps in COVID-19 Morbidity and Mortality during Two Years of a Pandemic in Israel. Healthcare. 2022; 10(12):2355. https://doi.org/10.3390/healthcare10122355
Chicago/Turabian StyleKaim, Arielle, Shani Ben Shetrit, and Mor Saban. 2022. "Women Are More Infected and Seek Care Faster but Are Less Severely Ill: Gender Gaps in COVID-19 Morbidity and Mortality during Two Years of a Pandemic in Israel" Healthcare 10, no. 12: 2355. https://doi.org/10.3390/healthcare10122355
APA StyleKaim, A., Shetrit, S. B., & Saban, M. (2022). Women Are More Infected and Seek Care Faster but Are Less Severely Ill: Gender Gaps in COVID-19 Morbidity and Mortality during Two Years of a Pandemic in Israel. Healthcare, 10(12), 2355. https://doi.org/10.3390/healthcare10122355

