Uncertainty Analysis of Business Interruption Losses in the Philippines Due to the COVID-19 Pandemic
Abstract
:1. Introduction
2. Materials and Methods
2.1. Overview of Pandemic Impact Modeling
2.2. Economic Input–Output Model
2.3. Uncertainty Analysis
2.4. Data Sources
2.4.1. Input–Output Data (2000, 2006, 2012, 2018)
2.4.2. Workforce Disruption Scenarios
2.4.3. Telework Data
3. Results
3.1. Processing the I–O Data for Uncertainty Analysis
3.2. Dirichlet Parameters
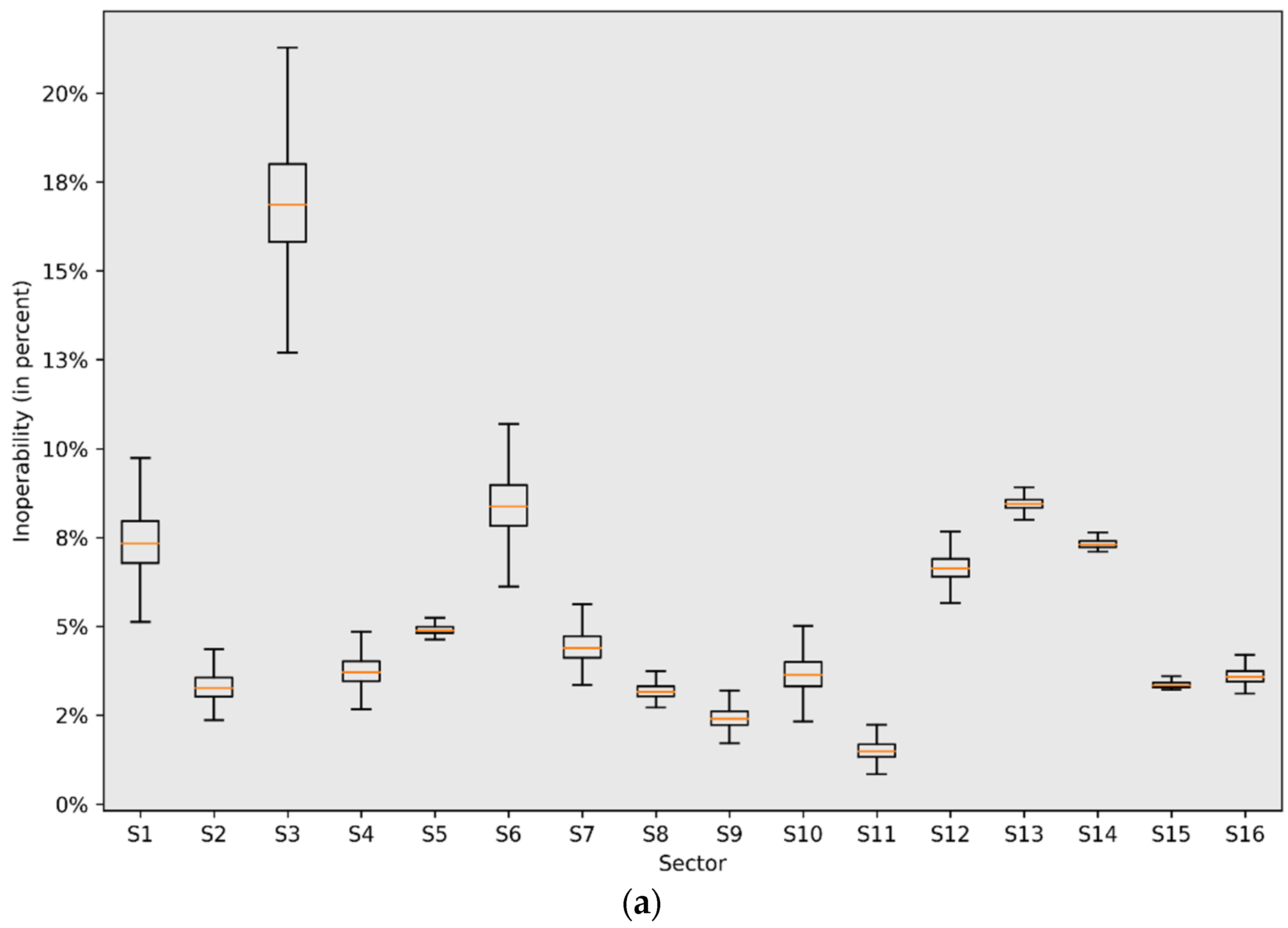
3.3. Description of Scenarios and Visualization of Results
4. Discussion
4.1. Specific Findings on Philippine I–O Sectors
4.2. Uncertainty Analysis
5. Conclusions
Supplementary Materials
Author Contributions
Funding
Acknowledgments
Conflicts of Interest
| 1 | COVID-19, or coronavirus disease 2019, a contagious disease caused by a virus, the severe acute respiratory syndrome coronavirus 2 (SARS-CoV-2). |
| 2 | In the field of epidemiology, the basic reproduction number (R0) is a parameter used to describe the expected number of people that can be infected by a sick individual. It is used extensively in the mathematical formulations for the “Susceptible Infected Removed” (SIR) model and extensions (Anderson and May 1992). |
| 3 | For reference, USD 1 is equivalent to approximately PhP 50 in year 2020. |
| 4 | It should be noted that for the 2018 IO, the Operating Surplus is not included. The Operating Surplus is removed from the IO matrices. |
| 5 | In the grouping of the industries in the Philippine IO, wholesale and retail trade is combined with repair of motor vehicles and motorcycles. |
References
- Albala-Bertrand, Jose M. 1993. The Political Economy of Large Natural Disasters: With Special Reference to Developing Countries. Oxford: Clarendon Press. [Google Scholar]
- Ali, Jalal, and Joost R. Santos. 2015. Modeling the ripple effects of IT-based incidents on interdependent economic systems. Systems Engineering 18: 146–61. [Google Scholar] [CrossRef]
- Anderson, Roy M., and Robert May. 1992. Infectious Diseases of Humans: Dynamics and Control. Oxford: Oxford University Press. [Google Scholar]
- Anderson, Roy M., Hans Heesterbeek, Don Klinkenberg, and T. Déirdre Hollingsworth. 2020. How will country-based mitigation measures influence the course of the COVID-19 epidemic? The Lancet 394: 931–34. [Google Scholar] [CrossRef]
- Aviso, Kathleen B., Divina Amalin, Michael Angelo B. Promentilla, Joost R. Santos, Krista Danielle S. Yu, and Raymond R. Tan. 2015. Risk assessment of the economic impacts of climate change on the implementation of mandatory biodiesel blending programs: A fuzzy inoperability input–output modeling (IIM) approach. Biomass and Bioenergy 83: 436–47. [Google Scholar] [CrossRef]
- Bick, Alexander, Adam Blandin, and Karel Mertens. 2020. Work from Home after the COVID-19 Outbreak. Available online: https://www.dallasfed.org/-/media/documents/research/papers/2020/wp2017r1.pdf (accessed on 26 July 2022).
- Centers for Disease Control and Prevention. 2007. Interim Pre-Pandemic Planning Guidance: Community Strategy for Pandemic Influenza Mitigation in the United States: Early, Targeted, Layered Use of Nonpharmaceutical Interventions. Available online: https://stacks.cdc.gov/view/cdc/11425 (accessed on 24 July 2022).
- Centers for Disease Control and Prevention. 2017. Community Mitigation Guidelines to Prevent Pandemic Influenza—United States, 2017. Available online: https://stacks.cdc.gov/view/cdc/45220 (accessed on 24 July 2022).
- Centers for Disease Control and Prevention. 2018. Past Pandemics. Available online: https://www.cdc.gov/flu/pandemic-resources/basics/past-pandemics.html (accessed on 24 July 2022).
- Chen, Jiangzhuo, Anil Vullikanti, Joost Santos, Srinivasan Venkatramanan, Stefan Hoops, Henning Mortveit, Bryan Lewis, Wen You, Stephen Eubank, Madhav Marathe, and et al. 2021. Epidemiological and economic impact of COVID-19 in the US. Scientific Reports 11: 20451. [Google Scholar] [CrossRef] [PubMed]
- Dietzenbacher, Erik. 2006. Multiplier estimates: To bias or not to bias? Journal of Regional Science 46: 773–86. [Google Scholar] [CrossRef]
- Dingel, Jonathan, and Brent Neiman. 2020. How many jobs can be done at home? Journal of Public Economics 189: 104235. [Google Scholar] [CrossRef]
- Eichenbaum, Martin S., Sergio Rebelo, and Mathias Trabandt. 2021. The Macroeconomics of Epidemics. The Review of Financial Studies 34: 5159–87. [Google Scholar] [CrossRef]
- El Haimar, Amine, and Joost R. Santos. 2015. A stochastic recovery model of influenza pandemic effects on interdependent workforce systems. Natural Hazards 77: 987–1011. [Google Scholar] [CrossRef]
- European Foundation for the Improvement of Living and Working Conditions. 2020. Living, Working and COVID-19. Luxembourg: Publications Office of the European Union. [Google Scholar]
- Ferguson, Neil M., Derek A. T. Cummings, Christopher Fraser, James C. Cajka, Philip C. Cooley, and Donald S. Burke. 2006. Strategies for Mitigating an Influenza Pandemic. Nature 442: 448–52. [Google Scholar] [CrossRef]
- Ferguson, Neil M., Daniel Laydon, Gemma Nedjati-Gilani, Natsuko Imai, Kylie Ainslie, Marc Baguelin, Sangeeta Bhatia, Adhiratha Boonyasiri, Zulma Cucunubá, Gina Cuomo-Dannenburg, and et al. 2020. Impact of Non-Pharmaceutical Interventions (NPIs) to Reduce COVID-19 Mortality and Healthcare Demand. Available online: https://www.imperial.ac.uk/media/imperial-college/medicine/sph/ide/gida-fellowships/Imperial-College-COVID19-NPI-modelling-16-03-2020.pdf (accessed on 24 July 2022).
- Foong, Steve Z. Y., Viknesh Andiappan, Kathleen B. Aviso, Nishanth G. Chemmangattuvalappil, Raymond R. Tan, Krista Danielle S. Yu, and Denny K. S. Ng. 2022. A criticality index for prioritizing economic sectors for post-crisis recovery in oleo-chemical industry. Journal of the Taiwan Institute of Chemical Engineers 130: 103957. [Google Scholar] [CrossRef]
- Gaduena, Ammielou, Christopher Ed Caboverde, and John Paul Flaminiano. 2022. Telework potential in the Philippines. The Economic and Labour Relations Review 33: 434–54. [Google Scholar] [CrossRef]
- Generalao, Ian Nicole. 2021. Measuring the telework potential of jobs: Evidence from the international standard classification of occupations. The Philippine Review of Economics 58: 92–127. [Google Scholar] [CrossRef]
- Gerking, Shelby D. 1976. Estimation of Stochastic Input–Output Models: Some Statistical Problems. New York: Springer New York. [Google Scholar]
- Ginsberg, Jeremy, Matthew H. Mohebbi, Rajan S. Patel, Lynnette Brammer, Mark S. Smolinski, and Larry Brilliant. 2009. Detecting influenza epidemics using search engine query data. Nature 457: 1012–14. [Google Scholar] [CrossRef]
- Haimes, Yacov Y., and Pu Jiang. 2001. Leontief-based model of risk in complex interconnected infrastructures. Journal of Infrastructure Systems 7: 1–12. [Google Scholar] [CrossRef]
- Haimes, Yacov Y., Barry M. Horowitz, James H. Lambert, Joost R. Santos, Chenyang Lian, and Kenneth G. Crowther. 2005a. Inoperability input-output model for interdependent infrastructure sectors. I: Theory and methodology. Journal of Infrastructure Systems 11: 67–79. [Google Scholar] [CrossRef]
- Haimes, Yacov Y., Barry M. Horowitz, James H. Lambert, Joost R. Santos, Kenneth G. Crowther, and Chenyang Lian. 2005b. Inoperability input-output model for interdependent infrastructure sectors. II: Case studies. Journal of Infrastructure Systems 11: 80–92. [Google Scholar] [CrossRef]
- Haleem, Abid, Mohd Javaid, and Raju Vaishya. 2020. Effects of COVID-19 pandemic in daily life. Current Medicine Research and Practice 10: 78–79. [Google Scholar] [CrossRef]
- Harris, Charles R., Jarrod Millman, Stefan J. van der Walt, Ralf Gommers, Pauli Virtanen, David Cournapeau, Eric Wieser, Julian Taylor, Sebastian Berg, Nathaniel J. Smith, and et al. 2020. Array programming with NumPy. Nature 585: 357–62. [Google Scholar] [CrossRef]
- Huzar, Timothy. 2020. COVID-19 Suppression Only Viable Strategy at the Current Time. Available online: https://www.medicalnewstoday.com/articles/covid-19-suppression-only-viable-strategy-at-the-current-time#COVID-19 (accessed on 24 July 2022).
- ILO (International Labour Organization). 2020. COVID-19 Labour Market Impact in the Philippines: Assessment and National Policy Responses. Available online: https://www.ilo.org/wcmsp5/groups/public/---asia/---ro-bangkok/---ilo-manila/documents/publication/wcms_762209.pdf (accessed on 24 July 2022).
- James, Alex, Shaun C. Hendy, Michael J. Plan, and Nicholas Steyn. 2020. Suppression and Mitigation Strategies for Control of COVID-19 in New Zealand. Available online: https://cpb-ap-se2.wpmucdn.com/blogs.auckland.ac.nz/dist/d/75/files/2017/01/Supression-and-Mitigation-Strategies-New-Zealand-TPM-1.pdf (accessed on 24 July 2022).
- Jansen, Pieter S. M. Kop. 1994. Analysis of multipliers in stochastic input-output models. Regional Science and Urban Economics 24: 55–74. [Google Scholar] [CrossRef]
- Kaplan, Stanley, and B. John Garrick. 1981. On the quantitative definition of risk. Risk Analysis 1: 11–27. [Google Scholar] [CrossRef]
- Leontief, W. 1936. Quantitative input and output relations in the economic system of the United States. Review of Economics and Statistics 18: 105–25. [Google Scholar] [CrossRef]
- MacKenzie, Cameron A., Joost R. Santos, and Kash Barker. 2012. Measuring changes in international production from a disruption: Case study of the Japanese earthquake and tsunami. International Journal of Production Economics 138: 293–302. [Google Scholar] [CrossRef]
- Messenger, Jon C. 2019. Conclusions and recommendations for policy and practice. In Telework in the 21st Century. Edited by Jon C. Messenger. Cheltenham: Edward Elgar Publishing, pp. 286–16. [Google Scholar]
- Miller, Ronald E., and Peter D. Blair. 2009. Input-Output Analysis: Foundations and Extensions, 2nd ed. Cambridge: Cambridge University Press. [Google Scholar]
- National Statistical Coordination Board. 2006a. Input-Output Accounts of the Philippines, 2000; Makati City: National Statistical Coordination Board. Available online: https://psa.gov.ph/sites/default/files/IO2000_Publication_0.pdf (accessed on 30 June 2022).
- National Statistical Coordination Board. 2006b. Input-Output Accounts of the Philippines, 2014; Makati City: National Statistical Coordination Board. Available online: https://psa.gov.ph/sites/default/files/NSCB%202006_IO%20%281%29_0.pdf (accessed on 30 June 2022).
- OECD. 2020. Productivity Gains from Teleworking in the Post COVID-19 Era: How Can Public Policies Make It Happen? Tackling Coronavirus (COVID-19): Contributing to a Global Effort. Available online: https://read.oecd-ilibrary.org/view/?ref=135_135250-u15liwp4jd&title=Productivity-gains-from-teleworking-in-the-post-COVID-19-era (accessed on 30 June 2022).
- Okuyama, Yasuhide, and Joost R. Santos. 2014. Disaster Impact and Input-Output Analysis. Economic Systems Research 26: 1–12. [Google Scholar] [CrossRef]
- Okuyama, Yasuhide, and Krista Danielle Yu. 2019. Return of the inoperability. Economic Systems Research 31: 467–80. [Google Scholar] [CrossRef]
- Orsi, Mark J., and Joost R. Santos. 2010. Probabilistic Modeling of workforce-based disruptions and input-output analysis of interdependent ripple effects. Economic Systems Research 22: 3–18. [Google Scholar] [CrossRef]
- Philippine Statistics Authority. 2017. PSA Releases the 65 × 65 2012 Input-Output Tables. Available online: https://psa.gov.ph/statistics/input-output/node/128892 (accessed on 18 July 2022).
- Philippine Statistics Authority. 2018. Input-Output Accounts of the Philippines. Available online: https://psa.gov.ph/sites/default/files/2018%20Input-Output%20Accounts%20Publication.pdf (accessed on 18 July 2022).
- Pueyo, Tomas. 2020. Coronavirus: The Hammer and the Dance, What the Next 18 Months Can Look Like, If Leaders Buy Us Time. Available online: https://medium.com/@tomaspueyo/coronavirus-the-hammer-and-the-dance-be9337092b56 (accessed on 24 July 2022).
- Rose, A. 2004. Economic Principles, Issues, and Research Priorities in Hazard Loss Estimation. Edited by Yasuhide Okuyama and Stephanie E. Chang. Modeling Spatial and Economic Impacts of Disasters. New York: Springer, pp. 13–36. [Google Scholar]
- Santos, Joost. 2006. Inoperability input-output modeling of disruptions to interdependent economic systems. Systems Engineering 9: 20–34. [Google Scholar] [CrossRef]
- Santos, Joost. 2020a. Reflections on the impact of “flatten the curve” on interdependent workforce sectors. Environment Systems and Decisions 40: 185–88. [Google Scholar] [CrossRef]
- Santos, Joost. 2020b. Using input-output analysis to model the impact of pandemic mitigation and suppression measures on the workforce. Sustainable Production and Consumption 23: 249–55. [Google Scholar] [CrossRef]
- Santos, Joost, and Yacov Y. Haimes. 2004. Modeling the demand reduction input-output inoperability due to terrorism of interconnected infrastructures. Risk Analysis 24: 1437–51. [Google Scholar] [CrossRef]
- Santos, Joost R., Larissa May, and Amine El Haimar. 2013. Risk-based input-output analysis of influenza epidemic consequences on interdependent workforce sectors. Risk Analysis 33: 1620–35. [Google Scholar] [CrossRef]
- Santos, Joost R., Lucia Castro Herrera, Krista Danielle S. Yu, Sheree Ann T. Pagsuyoin, and Raymond R. Tan. 2014a. State of the art in risk analysis of workforce criticality influencing disaster preparedness for interdependent systems. Risk Analysis 34: 1056–69. [Google Scholar] [CrossRef] [PubMed]
- Santos, Joost R., Sheree T. Pagsuyoin, Lucia C. Herrera, Raymond R. Tan, and Krista Danielle Yu. 2014b. Analysis of drought risk management strategies using dynamic inoperability input–output modeling and event tree analysis. Environment Systems and Decisions 34: 492–506. [Google Scholar] [CrossRef]
- Taubenberger, Jeffrey K., and David M. Morens. 2006. 1918 Influenza: The mother of all pandemics. Emerging Infectious Diseases 12: 15–22. [Google Scholar] [CrossRef]
- Ten Raa, Thijs, and Jose Manuel Rueda-Cantuche. 2007. Stochastic analysis of input–output multipliers on the basis of use and make tables. Review of Income and Wealth 53: 318–34. [Google Scholar]
- US Department of Labor. 2020. Guidance on Preparing Workplaces for COVID-19. Available online: https://www.osha.gov/Publications/OSHA3990.pdf (accessed on 25 May 2020).
- WHO (World Health Organization). 2007. WHO Activities in Avian Influenza and Pandemic Influenza Preparedness (January–December 2006). Available online: https://apps.who.int/iris/bitstream/handle/10665/70696/WHO_CDS_EPR_GIP_2007.3_eng.pdf?sequence=1 (accessed on 25 July 2022).
- WHO (World Health Organization). 2020. Impact of COVID-19 on People’s Livelihoods, Their Health and Our Food Systems. Available online: https://www.who.int/news/item/13-10-2020-impact-of-covid-19-on-people’s-livelihoods-their-health-and-our-food-systems (accessed on 11 July 2022).
- Yu, Derrick Ethelbhert C., Krista Danielle S. Yu, and Raymond R. Tan. 2020a. Implications of the pandemic-induced electronic equipment demand surge on essential technology metals. Cleaner and Responsible Consumption 1: 100005. [Google Scholar] [CrossRef]
- Yu, Krista Danielle S., and Kathleen B. Aviso. 2020. Modelling the Economic Impact and Ripple Effects of Disease Outbreak. Process Integration and Optimization for Sustainability 4: 183–86. [Google Scholar] [CrossRef]
- Yu, Krista Danielle S., Kathleen B. Aviso, Joost R. Santos, and Raymond R. Tan. 2020b. The Economic Impact of Lockdowns: A Persistent Inoperability Input-Output Approach. Economies 8: 109. [Google Scholar] [CrossRef]





| Sector Code | Sector |
|---|---|
| S1 | Agriculture, forestry, and fishing |
| S2 | Mining and quarrying |
| S3 | Manufacturing |
| S4 | Electricity, steam, water and waste management |
| S5 | Construction |
| S6 | Wholesale and retail trade; repair of motor vehicles and motorcycles |
| S7 | Transportation and storage |
| S8 | Accommodation and food service activities |
| S9 | Information and communication |
| S10 | Financial and insurance activities |
| S11 | Real estate and ownership of dwellings |
| S12 | Professional and business services |
| S13 | Public Administration and Defense; Compulsory social security |
| S14 | Education |
| S15 | Human health and social work activities |
| S16 | Other services |
| Sector Code | Sector | wi | xi | wi/xi |
|---|---|---|---|---|
| S1 | Agriculture, forestry, and fishing | 580,692 | 3,460,982 | 17% |
| S2 | Mining and quarrying | 23,593 | 245,169 | 10% |
| S3 | Manufacturing | 959,037 | 10,938,541 | 9% |
| S4 | Electricity, steam, water and waste management | 92,438 | 897,255 | 10% |
| S5 | Construction | 576,094 | 3,008,314 | 19% |
| S6 | Wholesale and retail trade; repair of motor vehicles and motorcycles | 975,807 | 4,667,591 | 21% |
| S7 | Transportation and storage | 241,220 | 1,737,302 | 14% |
| S8 | Accommodation and food service activities | 127,419 | 1,074,371 | 12% |
| S9 | Information and communication | 156,760 | 1,051,165 | 15% |
| S10 | Financial and insurance activities | 427,069 | 2,743,564 | 16% |
| S11 | Real estate and ownership of dwellings | 56,837 | 1,530,595 | 4% |
| S12 | Professional and business services | 725,200 | 2,008,912 | 36% |
| S13 | Public Administration and Defense; Compulsory social security | 612,367 | 1,265,078 | 48% |
| S14 | Education | 559,598 | 857,562 | 65% |
| S15 | Human health and social work activities | 84,287 | 460,131 | 18% |
| S16 | Other services | 98,666 | 592,942 | 17% |
| Sector Code | Sector | (1 − Ti) |
|---|---|---|
| S1 | Agriculture, forestry, and fishing | 0.9191 |
| S2 | Mining and quarrying | 0.8744 |
| S3 | Manufacturing | 0.8257 |
| S4 | Electricity, steam, water and waste management | 0.7252 |
| S5 | Construction | 0.9616 |
| S6 | Wholesale and retail trade; repair of motor vehicles and motorcycles | 0.6058 |
| S7 | Transportation and storage | 0.8038 |
| S8 | Accommodation and food service activities | 0.8332 |
| S9 | Information and communication | 0.3571 |
| S10 | Financial and insurance activities | 0.2264 |
| S11 | Real estate and ownership of dwellings | 0.4763 |
| S12 | Professional and business services | 0.4987 |
| S13 | Public Administration and Defense; Compulsory social security | 0.6366 |
| S14 | Education | 0.4327 |
| S15 | Human health and social work activities | 0.7009 |
| S16 | Other services | 0.7096 |
| Sector Code | Sector | No Telework | With Telework | Difference |
|---|---|---|---|---|
| S1 | Agriculture, forestry, and fishing | 282,719 | 234,678 | 48,041 |
| S2 | Mining and quarrying | 8963 | 7389 | 1574 |
| S3 | Manufacturing | 2,437,518 | 1,728,333 | 709,185 |
| S4 | Electricity, steam, water, and waste management | 45,959 | 30,971 | 14,988 |
| S5 | Construction | 154,412 | 144,782 | 9630 |
| S6 | Wholesale and retail trade; repair of motor vehicles and motorcycles | 577,483 | 365,226 | 212,257 |
| S7 | Transportation and storage | 96,076 | 71,497 | 24,579 |
| S8 | Accommodation and food service activities | 41,300 | 32,588 | 8712 |
| S9 | Information and communication | 55,598 | 23,287 | 32,311 |
| S10 | Financial and insurance activities | 223,999 | 90,589 | 133,410 |
| S11 | Real estate and ownership of dwellings | 38,782 | 20,281 | 18,501 |
| S12 | Professional and business services | 248,541 | 128,356 | 120,185 |
| S13 | Public Administration and Defense; Compulsory social security | 165,688 | 105,437 | 60,251 |
| S14 | Education | 142,433 | 62,043 | 80,390 |
| S15 | Human health and social work activities | 21,650 | 15,134 | 6516 |
| S16 | Other services | 29,239 | 20,423 | 8816 |
| Total | 4,570,360 | 3,081,014 | 1,489,346 |
| Sector Code | Sector | No Telework | With Telework | Difference |
|---|---|---|---|---|
| S1 | Agriculture, forestry, and fishing | 307,765 | 253,668 | 54,097 |
| S2 | Mining and quarrying | 9804 | 7981 | 1823 |
| S3 | Manufacturing | 2,599,304 | 1,847,460 | 751,844 |
| S4 | Electricity, steam, water, and waste management | 49,449 | 33,269 | 16,180 |
| S5 | Construction | 157,967 | 146,988 | 10,979 |
| S6 | Wholesale and retail trade; repair of motor vehicles and motorcycles | 614,992 | 390,473 | 224,519 |
| S7 | Transportation and storage | 102,952 | 76,081 | 26,871 |
| S8 | Accommodation and food service activities | 43,406 | 33,846 | 9560 |
| S9 | Information and communication | 58,663 | 25,070 | 33,593 |
| S10 | Financial and insurance activities | 238,084 | 99,343 | 138,741 |
| S11 | Real estate and ownership of dwellings | 43,137 | 22,751 | 20,386 |
| S12 | Professional and business services | 256,613 | 133,108 | 123,505 |
| S13 | Public Administration and Defense; Compulsory social security | 167,897 | 106,825 | 61,072 |
| S14 | Education | 143,404 | 62,630 | 80,774 |
| S15 | Human health and social work activities | 21,996 | 15,361 | 6635 |
| S16 | Other services | 30,441 | 21,186 | 9255 |
| Total | 4,845,874 | 3,276,040 | 1,569,834 |
| Sector Code | Sector | No Telework | With Telework | Difference |
|---|---|---|---|---|
| S1 | Agriculture, forestry, and fishing | 337,089 | 276,171 | 60,918 |
| S2 | Mining and quarrying | 10,799 | 8674 | 2125 |
| S3 | Manufacturing | 2,780,086 | 1,972,136 | 807,950 |
| S4 | Electricity, steam, water, and waste management | 53,585 | 35,977 | 17,608 |
| S5 | Construction | 162,628 | 149,988 | 12,640 |
| S6 | Wholesale and retail trade; repair of motor vehicles and motorcycles | 656,070 | 419,259 | 236,811 |
| S7 | Transportation and storage | 111,320 | 81,573 | 29,747 |
| S8 | Accommodation and food service activities | 46,200 | 35,549 | 10,651 |
| S9 | Information and communication | 62,338 | 27,358 | 34,980 |
| S10 | Financial and insurance activities | 254,440 | 109,449 | 144,991 |
| S11 | Real estate and ownership of dwellings | 48,309 | 25,830 | 22,479 |
| S12 | Professional and business services | 265,813 | 138,767 | 127,046 |
| S13 | Public Administration and Defense; Compulsory social security | 170,319 | 108,397 | 61,922 |
| S14 | Education | 144,715 | 63,465 | 81,250 |
| S15 | Human health and social work activities | 22,499 | 15,700 | 6799 |
| S16 | Other services | 31,966 | 22,234 | 9732 |
| Total | 5,158,176 | 3,490,527 | 1,667,649 |
Publisher’s Note: MDPI stays neutral with regard to jurisdictional claims in published maps and institutional affiliations. |
© 2022 by the authors. Licensee MDPI, Basel, Switzerland. This article is an open access article distributed under the terms and conditions of the Creative Commons Attribution (CC BY) license (https://creativecommons.org/licenses/by/4.0/).
Share and Cite
Santos, J.R.; Tapia, J.F.D.; Lamberte, A.; Solis, C.A.; Tan, R.R.; Aviso, K.B.; Yu, K.D.S. Uncertainty Analysis of Business Interruption Losses in the Philippines Due to the COVID-19 Pandemic. Economies 2022, 10, 202. https://doi.org/10.3390/economies10080202
Santos JR, Tapia JFD, Lamberte A, Solis CA, Tan RR, Aviso KB, Yu KDS. Uncertainty Analysis of Business Interruption Losses in the Philippines Due to the COVID-19 Pandemic. Economies. 2022; 10(8):202. https://doi.org/10.3390/economies10080202
Chicago/Turabian StyleSantos, Joost R., John Frederick D. Tapia, Albert Lamberte, Christine Alyssa Solis, Raymond R. Tan, Kathleen B. Aviso, and Krista Danielle S. Yu. 2022. "Uncertainty Analysis of Business Interruption Losses in the Philippines Due to the COVID-19 Pandemic" Economies 10, no. 8: 202. https://doi.org/10.3390/economies10080202
APA StyleSantos, J. R., Tapia, J. F. D., Lamberte, A., Solis, C. A., Tan, R. R., Aviso, K. B., & Yu, K. D. S. (2022). Uncertainty Analysis of Business Interruption Losses in the Philippines Due to the COVID-19 Pandemic. Economies, 10(8), 202. https://doi.org/10.3390/economies10080202

