Modulation of the Intensity of the Spectral Components of Polychromatic Light within Certain Regions in Space by Passive Methods by Strategically Using Material Optical Properties and Texture
Abstract
:1. Introduction
2. Materials and Methods
2.1. Virtual Rooms
2.2. Material Types and Optical Properties
2.2.1. Spectral Reflectance
2.2.2. Specularity and Roughness
2.2.3. Simulated Case Scenarios
2.3. Active Wall Texture
- Light source position in world coordinates
- Focal point position in world coordinates
- Intersection point of ray with active wall in world coordinates
2.4. Spatial Distribution
3. Results
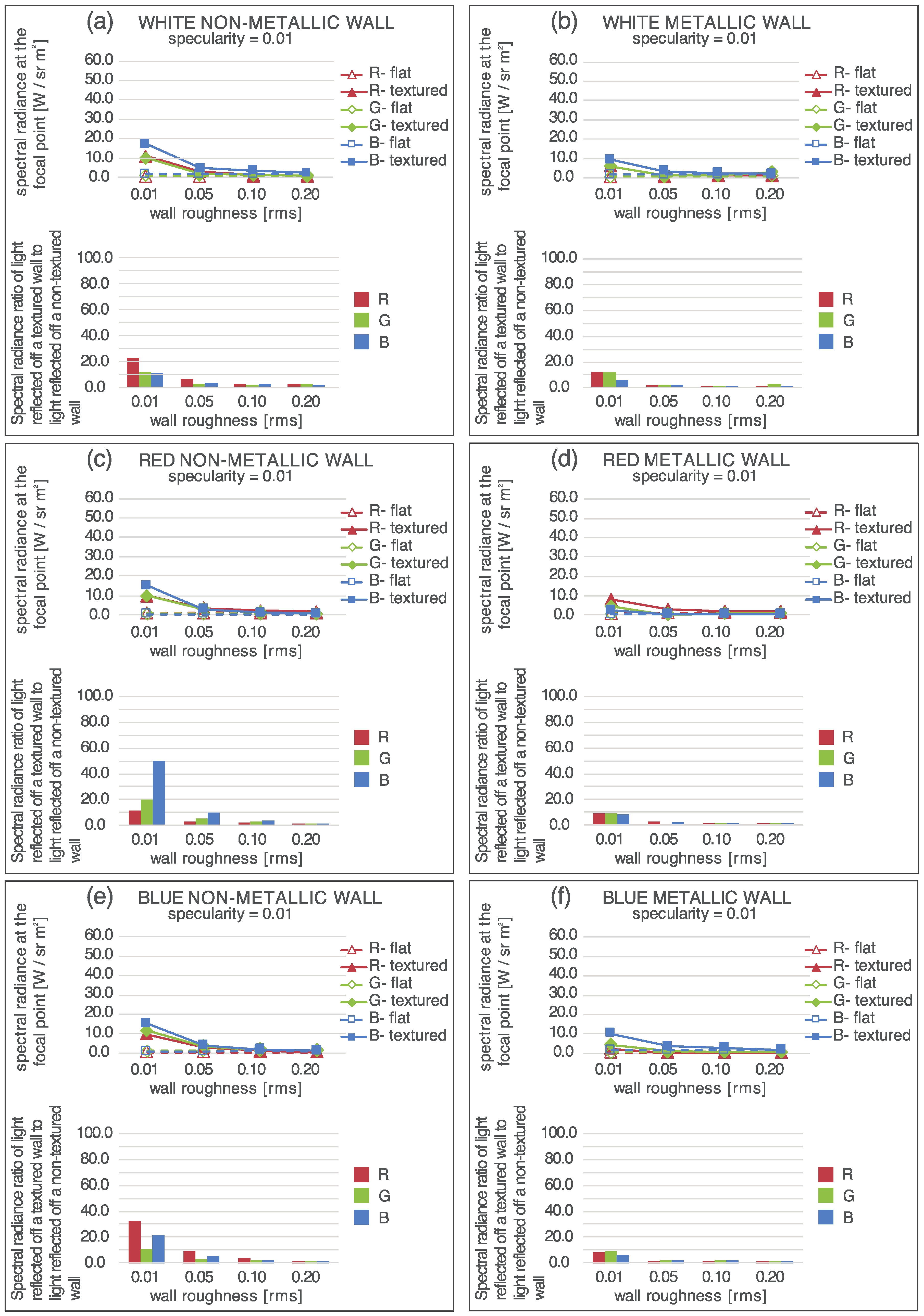
3.1. Spectral Radiance Values at the Focal Point
- Figure 8a shows that the highest radiance value reached 50.00 W/sr/m2 when light was reflected off the white opaque non-metallic active textured wall with 0.09 specularity and 0.01 roughness conditions;
- Figure 8d shows that the second highest radiance value reached 40.00 W/sr/m2 when light is reflected off the red metallic active textured wall with 0.09 specularity and 0.01 roughness conditions;
- Figure 8c shows that the third highest radiance value reached 35.00 W/sr/m2 when light is reflected off the red opaque non-metallic active textured wall with 0.09 specularity and 0.01 roughness conditions.
- Figure 8a shows that the highest radiance value reached 50.00 W/sr/m2 when light is reflected off the white opaque non-metallic active textured wall with 0.09 specularity and 0.01 roughness conditions;
- Figure 8c shows that the second highest radiance value reached 30.00 W/sr/m2 when light is reflected off the red opaque non-metallic active textured wall with 0.09 specularity and 0.01 roughness conditions;
- Figure 8d shows that the third highest radiance value reached 26.00 W/sr/m2 when light is reflected off the red metallic active textured wall with 0.09 specularity and 0.01 roughness conditions.
- Figure 8a shows that the highest radiance value reached 60.00 W/sr/m2 when light is reflected off the white opaque non-metallic active textured wall with 0.09 specularity and 0.01 roughness conditions;
- Figure 8f shows that the second highest radiance value reached 55.00 W/sr/m2 when light is reflected off the blue metallic active textured wall with 0.09 specularity and 0.01 roughness conditions;
- Figure 8b shows that the third highest radiance value reached 35.00 W/sr/m2 when light is reflected off the white metallic active textured wall with 0.09 specularity and 0.01 roughness conditions.
3.2. Reflection off the Opaque Non-Metallic Active Wall
3.3. Reflection from a Metallic Wall
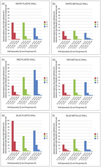
3.4. The Effect of the Material Type in Combination with Specularity–Roughness Properties on Spectral Radiances
- Figure 9e shows that the highest ratio of the red spectrum radiance of light reflected off the textured wall to the red spectrum radiance of the light reflected off the non-textured walls 100.00, and is reached when light is reflected off a cyan opaque non-metallic wall with 0.09 specularity and 0.01 roughness conditions;
- Figure 9c shows that the highest ratio of the green spectrum radiance of light reflected off the textured wall to the green spectrum radiance of the light reflected off the non-textured wall is 60.00, and is reached when light is reflected off a red-yellowish opaque non-metallic wall with 0.09 specularity and 0.01 roughness conditions;
- Figure 9c shows that the highest ratio of the blue spectrum radiance of light reflected off the textured wall to the blue spectrum radiance of the light reflected off the non-textured wall is 83.33, and is reached when light is reflected off a red-yellowish opaque non-metallic wall with 0.09 specularity and 0.01 roughness conditions;
- Figure 9e shows that the lowest ratio of the red spectrum radiance of light reflected off the textured active wall to the red spectrum radiance of the light reflected off the non-textured wall is 1.33, and is reached when light is reflected off a cyan metallic wall with 0.09 specularity and 0.01 roughness conditions;
- Figure 9e shows that the lowest ratio of the green spectrum radiance of light reflected off the textured wall to the green spectrum radiance of the light reflected off the non-textured wall is 1.20, and is reached when light is reflected off a cyan metallic wall with 0.09 specularity and 0.01 roughness conditions;
- Figure 9e shows that the lowest ratio of the blue spectrum radiance of light reflected off the textured wall to the blue spectrum radiance of the light reflected off the non-textured wall is 1.25, and is reached when light is reflected off a cyan metallic wall with 0.09 specularity and 0.01 roughness conditions.
3.5. The Effect of the Wall Spectral Reflectance in Combination with Specularity–Roughness Properties on Spectral Radiances
- Figure 10c shows that the highest ratio of the red spectrum radiance of light reflected off the textured opaque non-metallic wall to the red spectrum radiance of the light reflected off the textured metallic wall is 4.04 with a cyan active wall reflectance and with 0.01 specularity and a 0.01 roughness conditions;
- Figure 10c shows that the highest ratio of the green spectrum radiance of light reflected off the textured opaque non-metallic wall to the green spectrum radiance of the light reflected off the textured metallic wall is 2.56 with a cyan active wall reflectance and a 0.01 specularity and a 0.01 roughness;
- Figure 10b shows that the highest ratio of the blue spectrum radiance of light reflected off the textured opaque non-metallic wall to the blue spectrum radiance of the light reflected off the textured metallic wall is 6.00 with a red-yellowish active wall reflectance and with a 0.01 specularity and a 0.01 roughness.
4. Discussion
5. Conclusions
Acknowledgments
Conflicts of Interest
References
- Rea, M.S. The lumen seen in a new light: Making distinctions between light, lighting and neuroscience. Light. Res. Technol. 2015, 47, 259–280. [Google Scholar] [CrossRef]
- Dangol, R.; Islam, M.S.; Hyävrinen, M.; Bhushal, P.; Puolakka, M.; Halolen, L. User acceptance studies for LED office lighting: Preference, naturalness and colourfulness. Light. Res. Technol. 2015, 47, 36–53. [Google Scholar] [CrossRef]
- Baniya, R.R.; Dangol, R.; Bhusal, P.; Wilm, A.; Baur, E.; Puolakka, M.; Halonen, L. User-acceptance studies for simplified light-emitting diode spectra. Light. Res. Technol. 2015, 47, 177–191. [Google Scholar] [CrossRef]
- Szabó, F.; Kéri, R.; Schanda, J.; Csuti, P.; Mihálykó-Orbán, E. A study of preferred colour rendering of light sources: Home lighting. Light. Res. Technol. 2016, 48, 103–125. [Google Scholar] [CrossRef]
- Kuijsters, A.; Redi, J.; de Ruyter, B.; Seuntiëns, P.; Heynderickx, I. Affective ambiences created with lighting for older people. Light. Res. Technol. 2015, 47, 859–875. [Google Scholar] [CrossRef]
- Borisuit, A.; Linhart, F.; Scartezzini, J.-L.; Münch, M. Effects of realistic office daylighting and electric lighting conditions on visual comfort, alertness and mood. Light. Res. Technol. 2015, 47, 192–209. [Google Scholar] [CrossRef]
- Denk, E.; Jimenez, P.; Schulz, B. The impact of light source technology and colour temperature on the well-being, mental state and concentration of shop assistants. Light. Res. Technol. 2015, 47, 419–433. [Google Scholar] [CrossRef]
- Aries, M.B.C.; Begemann, S.H.A.; Zonneveldt, L.; Tenner, A.D. Retinal illuminance from vertical daylight openings in office spaces. In Proceedings of the Right Light 5 (RL5 2002), Nice, France, 29–31 May 2002; ECEEE: Stockholm, Sweden, 2002; pp. 75–80. [Google Scholar]
- Wilkins, A.J. A physiological basis for visual discomfort: Application in lighting design. Light. Res. Technol. 2016, 48, 44–54. [Google Scholar] [CrossRef]
- Comission Internationale de l’Eclairage. Ocular Lighting Effects on Human Physiology and Behaviour; Technical Report; Report No. 158; CIE: Vienna, Austria, 2004. [Google Scholar]
- Aries, M.B.C.; Aarts, M.P.J.; van Hoof, J. Daylight and health: A review of the evidence and consequences for the built environment. Light. Res. Technol. 2015, 47, 6–27. [Google Scholar] [CrossRef]
- Van Bommel, W.J.M.; van den Beld, G.J. Lighting for work: A review of visual and biological effects. Light. Res. Technol. 2004, 36, 255–269. [Google Scholar] [CrossRef]
- Lewy, A.J.; Wehr, T.A.; Goodwin, F.K.; Newsome, D.A.; Markey, S.P. Light suppresses melatonin secretion in human. Science 1980, 210, 1267–1269. [Google Scholar] [CrossRef] [PubMed]
- Rea, M.S.; Bullough, J.D.; Figueiro, M.G. Phototransduction for human melatonin suppression. J. Pineal Res. 2002, 32, 209–213. [Google Scholar] [CrossRef] [PubMed]
- Kronauer, R.E.; Czeisler, C.A. Understanding the use of light to control the circadian pacemaker in humans. In Light and Biological Rhythms in Man, 1st ed.; Wetterberg, L., Ed.; Pergamon Press: Tarrytown, NY, USA, 1993; pp. 179–233. [Google Scholar]
- Gronfier, C.; Wright, K.P.; Kronauer, R.E.; Jewett, M.E.; Czeisler, C.A. Efficacy of a single sequence of intermittent bright light pulses for delaying circadian phase in humans. Am. J. Physiol. Endocrinol. Metab. 2004, 287, E174–E181. [Google Scholar] [CrossRef] [PubMed]
- Jewett, M.E.; Rimmer, D.W.; Duffy, J.F.; Klerman, E.B.; Kronauer, R.E.; Czeisler, C.A. Human circadian pacemaker is sensitive to light throughout subjective day without evidence of transients. Am. J. Physiol. 1997, 273, R1800–R1809. [Google Scholar] [CrossRef] [PubMed]
- Warman, V.L.; Dijk, D.J.; Warman, G.R.; Arendt, J.; Skene, D.J. Phase advancing human circadian rhythms with short wavelength light. Neurosci. Lett. 2003, 342, 37–40. [Google Scholar] [CrossRef]
- Wright, H.R.; Lack, L.C. Effect of light wavelength on suppression and phase delay of the melatonin rhythm. Chronobiol. Int. 2001, 18, 801–808. [Google Scholar] [CrossRef] [PubMed]
- Wright, H.R.; Lack, L.C.; Kennaway, D.J. Differential effects of light wavelength in phase advancing the melatonin rhythm. J. Pineal Res. 2004, 36, 140–144. [Google Scholar] [CrossRef] [PubMed]
- Cajochen, C.; Zeitzer, J.M.; Czeisler, C.A.; Dijk, D.J. Dose–response relationship for light intensity and ocular and electroencephalographic correlates of human alertness. Behav. Brain Res. 2000, 115, 75–83. [Google Scholar] [CrossRef]
- Cajochen, C.; Munch, M.; Kobialka, S.; Krauchi, K.; Steiner, R.; Oelhafen, P.; Orgul, S.; Wirz-Justice, A. High sensitivity of human melatonin, alertness, thermoregulation and heart rate to short wavelength light. J. Clin. Endocrinol. Metab. 2005, 90, 1311–1316. [Google Scholar] [CrossRef] [PubMed]
- Scheer, F.A.; Van Doornen, L.J.; Buijs, R.M. Light and diurnal cycle affect human heart rate: Possible role for the circadian pacemaker. J. Biol. Rhythm. 1999, 14, 202–212. [Google Scholar] [CrossRef] [PubMed]
- Scheer, F.A.; Van Doornen, L.J.; Buijs, R.M. Light and diurnal cycle affect autonomic cardiac balance in human; possible role for the biological clock. Auton. Neurosci. 2004, 110, 44–48. [Google Scholar] [CrossRef] [PubMed]
- Scheer, F.A.; Buijs, R.M. Light affects morning salivary cortisol in humans. J. Clin. Endocrinol. Metab. 1999, 84, 3395–3398. [Google Scholar] [CrossRef] [PubMed]
- Gooley, J.J.; Rajaratnam, S.M.; Brainard, G.C.; Kronauer, R.E.; Czeisler, C.A.; Lockley, S.W. Spectral responses of the human circadian system depend on the irradiance and duration of exposure to light. Sci. Transl. Med. 2010, 2, 31–33. [Google Scholar] [CrossRef] [PubMed]
- Sahin, L.; Figueiro, M.G. Alerting effects of short-wavelength (blue) and long-wavelength (red) lights in the afternoon. Physiol. Behav. 2013, 116–117, 1–7. [Google Scholar] [CrossRef] [PubMed]
- Münch, M.; Scheuermaier, K.D.; Zhang, R.; Dunne, S.P.; Guzik, A.M.; Silva, E.J.; Ronda, J.M.; Duffy, J.F. Effects on subjective and objective alertness and sleep in response to evening light exposure in older subjects. Behav. Brain Res. 2011, 224, 272–278. [Google Scholar] [CrossRef] [PubMed]
- Berson, D.M.; Dunn, F.A.; Takao, M. Phototransduction by retinal ganglion cells that set the circadian clock. Science 2002, 295, 1070–1073. [Google Scholar] [CrossRef] [PubMed]
- Rea, M.S.; Figueiro, M.; Bierman, A.; Bullough, J.D. Circadian light. J. Circadian Rhythm. 2010, 8, 2. [Google Scholar] [CrossRef] [PubMed]
- Brainard, G.C.; Hanifin, J.P.; Greeson, J.M.; Byrne, B.; Glickman, G.; Gerner, E.; Rollag, M.D. Action spectrum for melatonin regulation in humans: Evidence for a novel circadian photoreceptor. J. Neurosci. 2001, 21, 6405–6412. [Google Scholar] [PubMed]
- Thapan, K.; Arendt, J.; Skene, D.J. An action spectrum for melatonin suppression: Evidence for a novel non-rod, non-cone photoreceptor system in humans. J. Physiol. 2001, 535, 261–267. [Google Scholar] [CrossRef] [PubMed]
- Hattar, S.; Lucas, R.J.; Mrosovsky, N.; Thompson, S.; Douglas, R.H.; Hankins, M.W.; Lem, J.; Biel, M.; Hofmann, F.; Foster, R.G.; et al. Melanopsin and rod-cone photoreceptive systems account for all major accessory visual functions in mice. Nature 2003, 424, 75–81. [Google Scholar] [CrossRef] [PubMed]
- Panda, S.; Provencio, I.; Tu, D.C.; Pires, S.S.; Rollag, M.D.; Castrucci, A.M.; Pletcher, M.T.; Sato, T.K.; Wiltshire, T.; Andahazy, M.; et al. Melanopsin is required for non-image-forming photopic responses in blind mice. Science 2003, 301, 525–527. [Google Scholar] [CrossRef] [PubMed]
- Rea, M. Light—Much more than vision. In Proceedings of the EPRI/LRO 5th International Lighting Research Symposium on Light and Human Health, Orlando, FL, USA, 3–5 November 2002; The Lighting Research Office of the Electric Power Research Institute: Palo Alto, CA, USA, 2002; pp. 1–15. [Google Scholar]
- Figueiro, M.G.; Bierman, A.; Plitnick, B.; Rea, M.S. Preliminary evidence that both blue and red light can induce alertness at night. BMC Neurosci. 2009, 10, 105. [Google Scholar] [CrossRef] [PubMed]
- Figueiro, M.G.; Bullough, J.D.; Bierman, A.; Rea, M.S. Retinal mechanisms determine the subadditive response to polychromatic light by the human circadian system. Neurosci. Lett. 2008, 438, 242–245. [Google Scholar] [CrossRef] [PubMed]
- Figueiro, M.G.; Rea, M.S.; Bullough, J.D. Circadian effectiveness of two polychromatic lights in suppressing human nocturnal melatonin. Neurosci. Lett. 2006, 406, 293–297. [Google Scholar] [CrossRef] [PubMed]
- Viola, A.U.; James, L.M.; Schlangen, L.J.M.; Dijk, D.J. Blue-enriched white light in the workplace improves self-reported alertness, performance and sleep quality. Scand. J. Work Environ. Health 2008, 34, 297–306. [Google Scholar] [CrossRef] [PubMed]
- Mills, P.R.; Tomkins, S.C.; Schlangen, L.J.M. The effect of high correlated colour temperature office lighting on employee wellbeing and work performance. J. Circadian Rhythm. 2007, 5, 2–10. [Google Scholar] [CrossRef] [PubMed]
- Revell, V.L.; Skene, D.J. Light-induced melatonin suppression in humans with polychromatic and monochromatic light. Chronobiol. Int. 2007, 24, 1125–1137. [Google Scholar] [CrossRef] [PubMed]
- Smith, M.R.; Eastman, C.I. Phase delaying the human circadian clock with blue-enriched polychromatic light. Chronobiol. Int. 2009, 26, 709–725. [Google Scholar] [CrossRef] [PubMed]
- Rea, M.S.; Revell, V.L.; Eastman, C.I. Phase advancing the human circadian clock with blue-enriched polychromatic light. Sleep Med. 2009, 10, 287–294. [Google Scholar]
- Phipps-Nelson, J.; Redman, J.R.; Dijk, D.J.; Rajaratnam, S.M. Daytime exposure to bright light, as compared to dim light, decreases sleepiness and improves psychomotor vigilance performance. Sleep 2003, 26, 695–700. [Google Scholar] [CrossRef] [PubMed]
- Van de walle, G.; Balteau, E.; Phillips, C.; Degueldre, C.; Moreau, V.; Sterpenich, V.; Albouy, G.; Darsaud, A.; Desseilles, M.; Dang-Vu, T.T.; et al. Daytime light exposure dynamically enhances brain responses. Curr. Biol. 2006, 16, 1616–1621. [Google Scholar] [CrossRef] [PubMed]
- Partonen, T.; Lönnqvist, J. Bright light improves vitality and alleviates distress in healthy people. J. Affect. Disord. 2000, 57, 55–61. [Google Scholar] [CrossRef]
- Rea, M.S.; Figueiro, M.G.; Bullough, J.D.; Bierman, A. A model of human circadian system. Brain Res. Rev. 2005, 50, 213–228. [Google Scholar] [CrossRef] [PubMed]
- Youngstedt, S.D.; Kline, C.E.; Elliott, J.A.; Zielinski, M.R.; Devlin, T.M.; Moore, T.A. Circadian Phase-Shifting Effects of Bright Light, Exercise, and Bright Light + Exercise. J. Circadian Rhythm. 2016, 14, 2. [Google Scholar]
- Aoki, H.; Yamada, N.; Ozeki, Y.; Yamane, H.; Kato, N. Minimum light intensity required to suppress nocturnal melatonin concentration inhuman saliva. Neurosci. Lett. 1998, 252, 91–94. [Google Scholar] [CrossRef]
- McIntyre, I.M.; Norman, T.R.; Burrows, G.D.; Armstrong, S.M. Human melatonin suppression by light is intensity dependent. J. Pineal Res. 1989, 6, 149–156. [Google Scholar] [CrossRef] [PubMed]
- McIntyre, I.M.; Norman, T.R.; Burrows, G.D.; Armstrong, S. Quantal melatonin suppression by exposure to low intensity light in man. Life Sci. 1989, 45, 327–332. [Google Scholar] [CrossRef]
- Rea, M.S.; Bullough, J.D.; Figueiro, M.G. Human melatonin suppression by light: A case for scotopic efficiency. Neurosci. Lett. 2001, 299, 45–48. [Google Scholar] [CrossRef]
- Zeitzer, J.M.; Dijk, D.J.; Kronauer, R.; Brown, E.; Czeisler, C. Sensitivity of the human circadian pacemaker to nocturnal light: Melatonin phase resetting and suppression. J. Physiol. 2000, 526, 695–702. [Google Scholar] [CrossRef] [PubMed]
- Davidn, H.F. Color constancy. Vis. Res. 2011, 51, 674–700. [Google Scholar]
- Nair, M.G.; Ganesan, A.R.; Ramamurthy, K. Daylight enhancement using laser cut panels integrated with a profiled Fresnel collector. Light. Res. Technol. 2015, 47, 1017–1028. [Google Scholar] [CrossRef]
- Paroncini, M.; Calcagni, B.; Corvaro, F. Monitoring of a light-pipe system. Sol. Energy 2007, 88, 1180–1186. [Google Scholar] [CrossRef]
- Ward Larson, G.; Shakespeare, R. Rendering with Radiance, 1st ed.; Space & Light: Davis, CA, USA, 2003; p. 13. [Google Scholar]
- Angelopoulou, E.; Poger, S. Color of specular highlights. In Proceedings of the SPIE 5007 on Human Vision and Electronic Imaging VIII, Santa Clara, CA, USA, 17 June 2003; Rogowitz, B.E., Pappas, T.N., Eds.; SPIE: Santa Clara, CA, USA, 2003; pp. 298–309. [Google Scholar]
- Barrera, R.G. El color de los metales. Rev. Mex. Fís. 1981, 3, 411–447. (In Spanish) [Google Scholar]











| Non-Metallic | Metal | ||||
|---|---|---|---|---|---|
| Reflectance | Specularity | Roughness | Reflectance | Specularity | Roughness |
| - | - | 0.01 | - | - | 0.01 |
| R: 0.50 | - | 0.05 | R: 0.50 | - | 0.05 |
| R: 0.60 | 0.01 | 0.1 | R: 0.60 | 0.01 | 0.1 |
| R: 0.10 | - | 0.2 | R: 0.10 | - | 0.2 |
| G: 0.50 | - | 0.01 | G: 0.50 | - | 0.01 |
| G: 0.30 | 0.05 | 0.05 | G: 0.30 | 0.05 | 0.05 |
| G: 0.30 | - | 0.1 | G: 0.30 | - | 0.1 |
| - | - | 0.2 | - | - | 0.2 |
| B: 0.50 | - | - | B: 0.50 | - | - |
| B: 0.10 | 0.09 | 0.01 | B: 0.10 | 0.09 | 0.01 |
| B: 0.60 | - | 0.05 | B: 0.60 | - | 0.05 |
| - | - | 0.1 | - | - | 0.1 |
| - | - | 0.2 | - | - | 0.2 |
© 2018 by the author. Licensee MDPI, Basel, Switzerland. This article is an open access article distributed under the terms and conditions of the Creative Commons Attribution (CC BY) license (http://creativecommons.org/licenses/by/4.0/).
Share and Cite
Lira-Oliver, A. Modulation of the Intensity of the Spectral Components of Polychromatic Light within Certain Regions in Space by Passive Methods by Strategically Using Material Optical Properties and Texture. Technologies 2018, 6, 11. https://doi.org/10.3390/technologies6010011
Lira-Oliver A. Modulation of the Intensity of the Spectral Components of Polychromatic Light within Certain Regions in Space by Passive Methods by Strategically Using Material Optical Properties and Texture. Technologies. 2018; 6(1):11. https://doi.org/10.3390/technologies6010011
Chicago/Turabian StyleLira-Oliver, Adriana. 2018. "Modulation of the Intensity of the Spectral Components of Polychromatic Light within Certain Regions in Space by Passive Methods by Strategically Using Material Optical Properties and Texture" Technologies 6, no. 1: 11. https://doi.org/10.3390/technologies6010011
APA StyleLira-Oliver, A. (2018). Modulation of the Intensity of the Spectral Components of Polychromatic Light within Certain Regions in Space by Passive Methods by Strategically Using Material Optical Properties and Texture. Technologies, 6(1), 11. https://doi.org/10.3390/technologies6010011

