\({\ell_0}\) Optimization with Robust Non-Oracular Quantum Search
Abstract
:1. Introduction
2. Review of Quantum Search Algorithms and Their Limitations
2.1. Notations
2.2. Grover’s Algorithm and Its Limitations
| Algorithm 1 Grover’s algorithm [15] |
|
2.3. Non-Oracular Quantum Search and Its limitations
| Algorithm 2 Non-oracular Quantum Search (NQS) [13] |
|
3. Robust Non-Oracular Quantum Search
3.1. Methodology
- (i)
- Initialization: We randomly select an initial benchmark state from . Additionally, we pre-specify a learning rate .
- (ii)
- Updating: We treat as an initial guess of the solution state and run Algorithm 1 over with iterations on q quantum nodes, where m is a positive integer. We denote the q independent outputs as , which are states in , with . Next, we choose the state with the smallest loss, denoted as , among the q candidates and compare it with in terms of their state loss . If , we update the benchmark state to ; if not, remains unchanged.
- (iii)
- Iteration and output: Initiating with , we continue with the step of updating. Post every iteration, m is incremented by one unit. The RNQS procedure halts when the condition is met, where and are positive constants and may depend on the learning rate . Based on our experiments, the rule-of-thumb recommendations are , , and . After the final iteration, we assess the quantum register on q occasions using the most recent q superpositions. The result is the state exhibiting the least loss among the q potential states.
| Algorithm 3 Robust Non-oracular Quantum Search (RNQS) |
|
3.2. Inspirations of Minimum Voting
4. Experiments
4.1. Minimum Voting versus Majority Voting
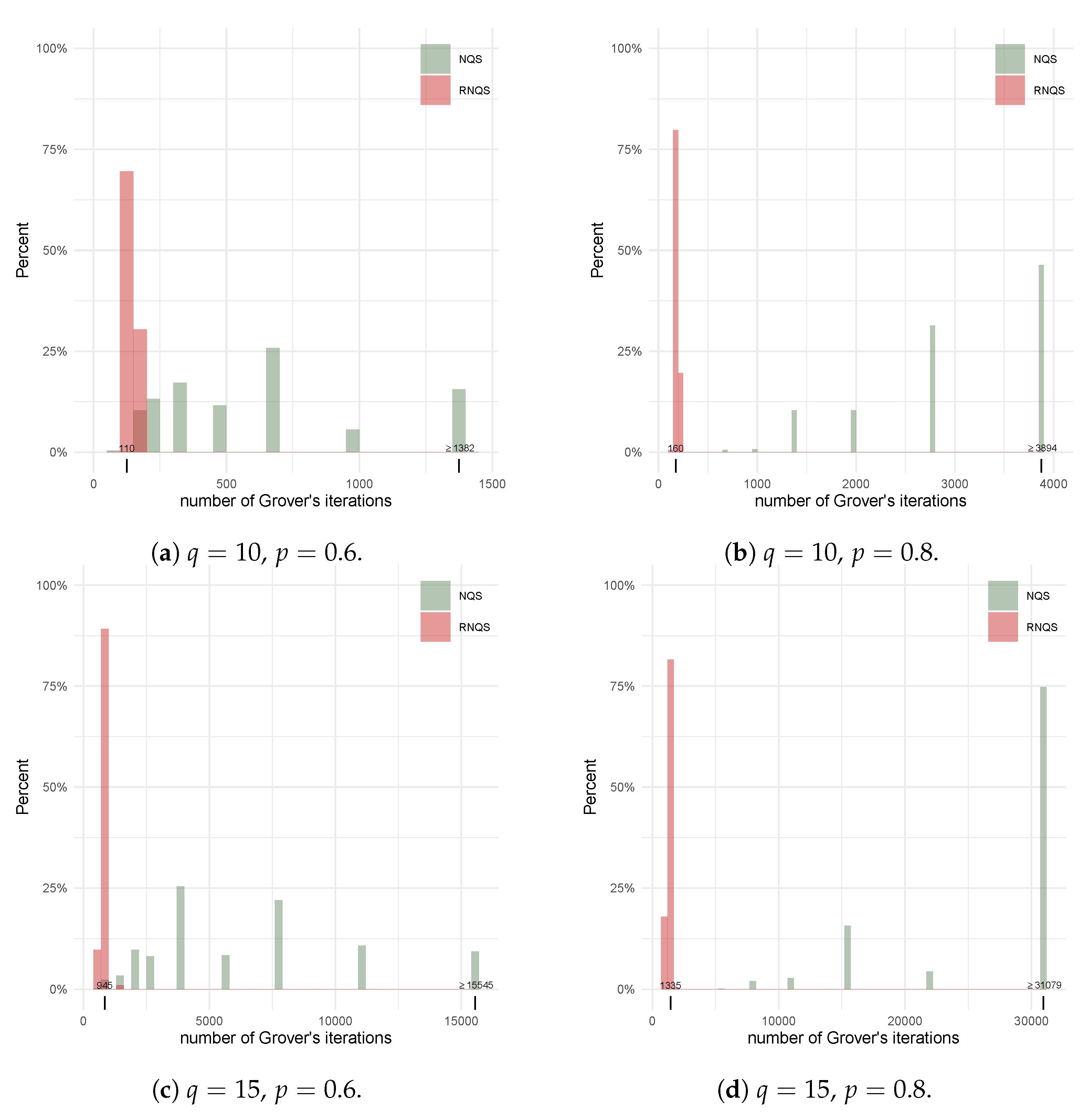
4.2. RNQS versus NQS: Accuracy and Computational Cost
4.3. RNQS versus NQS: Robustness Analysis
4.4. Application to Best Subset Selection for High-Dimension Linear Regression
5. Conclusions
Author Contributions
Funding
Institutional Review Board Statement
Informed Consent Statement
Data Availability Statement
Conflicts of Interest
Abbreviations
| NQS | Non-oracular Quantum Search |
| RNQS | Robust Non-oracular Quantum Search |
References
- Nielsen, M.A.; Chuang, I.L. Quantum Computation and Quantum Information; Cambridge University Press: Cambridge, UK, 2010. [Google Scholar]
- Jin, C.; Jin, S.W. Prediction approach of software fault-proneness based on hybrid artificial neural network and quantum particle swarm optimization. Appl. Soft Comput. 2015, 35, 717–725. [Google Scholar] [CrossRef]
- Zhou, N.R.; Xia, S.H.; Ma, Y.; Zhang, Y. Quantum particle swarm optimization algorithm with the truncated mean stabilization strategy. Quantum Inf. Process. 2022, 21, 42. [Google Scholar] [CrossRef]
- Zhou, N.R.; Zhang, T.F.; Xie, X.W.; Wu, J.Y. Hybrid quantum–classical generative adversarial networks for image generation via learning discrete distribution. Signal Process. Image Commun. 2023, 110, 116891. [Google Scholar] [CrossRef]
- Grover, L.K. Quantum mechanics helps in searching for a needle in a haystack. Phys. Rev. Lett. 1997, 79, 325. [Google Scholar] [CrossRef]
- Boyer, M.; Brassard, G.; Høyer, P.; Tapp, A. Tight bounds on quantum searching. Fortschritte Der Phys. Prog. Phys. 1998, 46, 493–505. [Google Scholar] [CrossRef]
- Kwiat, P.; Mitchell, J.; Schwindt, P.; White, A. Grover’s search algorithm: An optical approach. J. Mod. Opt. 2000, 47, 257–266. [Google Scholar] [CrossRef]
- Long, G.L. Grover algorithm with zero theoretical failure rate. Phys. Rev. A 2001, 64, 022307. [Google Scholar] [CrossRef]
- Høyer, P.; Neerbek, J.; Shi, Y. Quantum complexities of ordered searching, sorting, and element distinctness. Algorithmica 2002, 34, 429–448. [Google Scholar]
- Biham, E.; Biham, O.; Biron, D.; Grassl, M.; Lidar, D.A. Grover’s quantum search algorithm for an arbitrary initial amplitude distribution. Phys. Rev. A 1999, 60, 2742–2745. [Google Scholar] [CrossRef]
- Biham, E.; Kenigsberg, D. Grover’s quantum search algorithm for an arbitrary initial mixed state. Phys. Rev. A 2002, 66, 062301. [Google Scholar] [CrossRef]
- Brassard, G.; Høyer, P.; Mosca, M.; Tapp, A. Quantum Amplitude Amplification and Estimation. arXiv 2000, arXiv:quant-ph/0005055. [Google Scholar]
- Chen, J.; Park, C.; Ke, Y. Learning High Dimensional Multi-response Linear Models with Non-oracular Quantum Search. In Proceedings of the 2022 IEEE International Conference on Quantum Computing and Engineering (QCE), Broomfield, CO, USA, 18–23 September 2022; pp. 1–12. [Google Scholar] [CrossRef]
- Bennett, C.H.; Bernstein, E.; Brassard, G.; Vazirani, U. Strengths and weaknesses of quantum computing. SIAM J. Comput. 1997, 26, 1510–1523. [Google Scholar] [CrossRef]
- Grover, L.K. A fast quantum mechanical algorithm for database search. In Proceedings of the Twenty-Eighth Annual ACM Symposium on Theory of Computing, Philadelphia, PA, USA, 22–24 May 1996; ACM: New York, NY, USA, 1996; pp. 212–219. [Google Scholar]
- Beale, E.; Kendall, M.; Mann, D. The discarding of variables in multivariate analysis. Biometrika 1967, 54, 357–366. [Google Scholar] [CrossRef] [PubMed]
- Hocking, R.; Leslie, R. Selection of the best subset in regression analysis. Technometrics 1967, 9, 531–540. [Google Scholar] [CrossRef]
- Efroymson, M. Stepwise regression—A backward and forward look. In Proceedings of the Eastern Regional Meetings of the Institute of Mathematical Statistics, Long Island, NY, USA, 27–29 April 1966; pp. 27–29. [Google Scholar]
- Tibshirani, R. Regression shrinkage and selection via the lasso. J. R. Stat. Soc. Ser. B 1996, 58, 267–288. [Google Scholar] [CrossRef]
- Hazimeh, H.; Mazumder, R. Fast best subset selection: Coordinate descent and local combinatorial optimization algorithms. Oper. Res. 2020, 68, 1517–1537. [Google Scholar] [CrossRef]





| Accuracy | Algorithm | NQS | RNQS | ||||||||||||
|---|---|---|---|---|---|---|---|---|---|---|---|---|---|---|---|
| Quantile | 5% | 10% | 25% | 50% | 75% | 90% | 95% | 5% | 10% | 25% | 50% | 75% | 90% | 95% | |
| 176 | 176 | 349 | 492 | 694 | 1382 | 1382 | 110 | 110 | 110 | 110 | 160 | 160 | 160 | ||
| 1382 | 1951 | 3894 | 5503 | 7778 | 10,995 | 15,545 | 675 | 945 | 945 | 945 | 945 | 945 | 945 | ||
| - | - | - | - | - | - | - | 4960 | 4960 | 4960 | 6980 | 6980 | 6980 | 6980 | ||
| 1382 | 1382 | 2756 | 2756 | 5503 | 7778 | 10,995 | 160 | 160 | 160 | 160 | 160 | 230 | 230 | ||
| 15,317.5 | 15,545 | 21,979 | 43,947 | ≥62,146 | ≥62,146 | ≥62,146 | 945 | 945 | 1335 | 1335 | 1335 | 1335 | 1335 | ||
| - | - | - | - | - | - | - | 6980 | 6980 | 6980 | 6980 | 9840 | 9840 | 9840 | ||
Disclaimer/Publisher’s Note: The statements, opinions and data contained in all publications are solely those of the individual author(s) and contributor(s) and not of MDPI and/or the editor(s). MDPI and/or the editor(s) disclaim responsibility for any injury to people or property resulting from any ideas, methods, instructions or products referred to in the content. |
© 2023 by the authors. Licensee MDPI, Basel, Switzerland. This article is an open access article distributed under the terms and conditions of the Creative Commons Attribution (CC BY) license (https://creativecommons.org/licenses/by/4.0/).
Share and Cite
Zhang , T.; Ke, Y. \({\ell_0}\) Optimization with Robust Non-Oracular Quantum Search. Technologies 2023, 11, 148. https://doi.org/10.3390/technologies11050148
Zhang T, Ke Y. \({\ell_0}\) Optimization with Robust Non-Oracular Quantum Search. Technologies. 2023; 11(5):148. https://doi.org/10.3390/technologies11050148
Chicago/Turabian StyleZhang , Tianyi, and Yuan Ke. 2023. "\({\ell_0}\) Optimization with Robust Non-Oracular Quantum Search" Technologies 11, no. 5: 148. https://doi.org/10.3390/technologies11050148
APA StyleZhang , T., & Ke, Y. (2023). \({\ell_0}\) Optimization with Robust Non-Oracular Quantum Search. Technologies, 11(5), 148. https://doi.org/10.3390/technologies11050148

