Transcriptional and Biochemical Characterization of Cytosolic Pyruvate Kinases in Arabidopsis thaliana
Abstract
1. Introduction
2. Results
2.1. Selection of Pyruvate Kinase Candidates to be Involved in Cytosolic Glycolysis
2.2. Pyruvate Kinase Genes Show an Isoform-Specific Expression Pattern
2.3. Cytosolic Pyruvate Kinases Respond to Cold Stress
2.4. Pyruvate Kinase Expression Follows a Diurnal Course
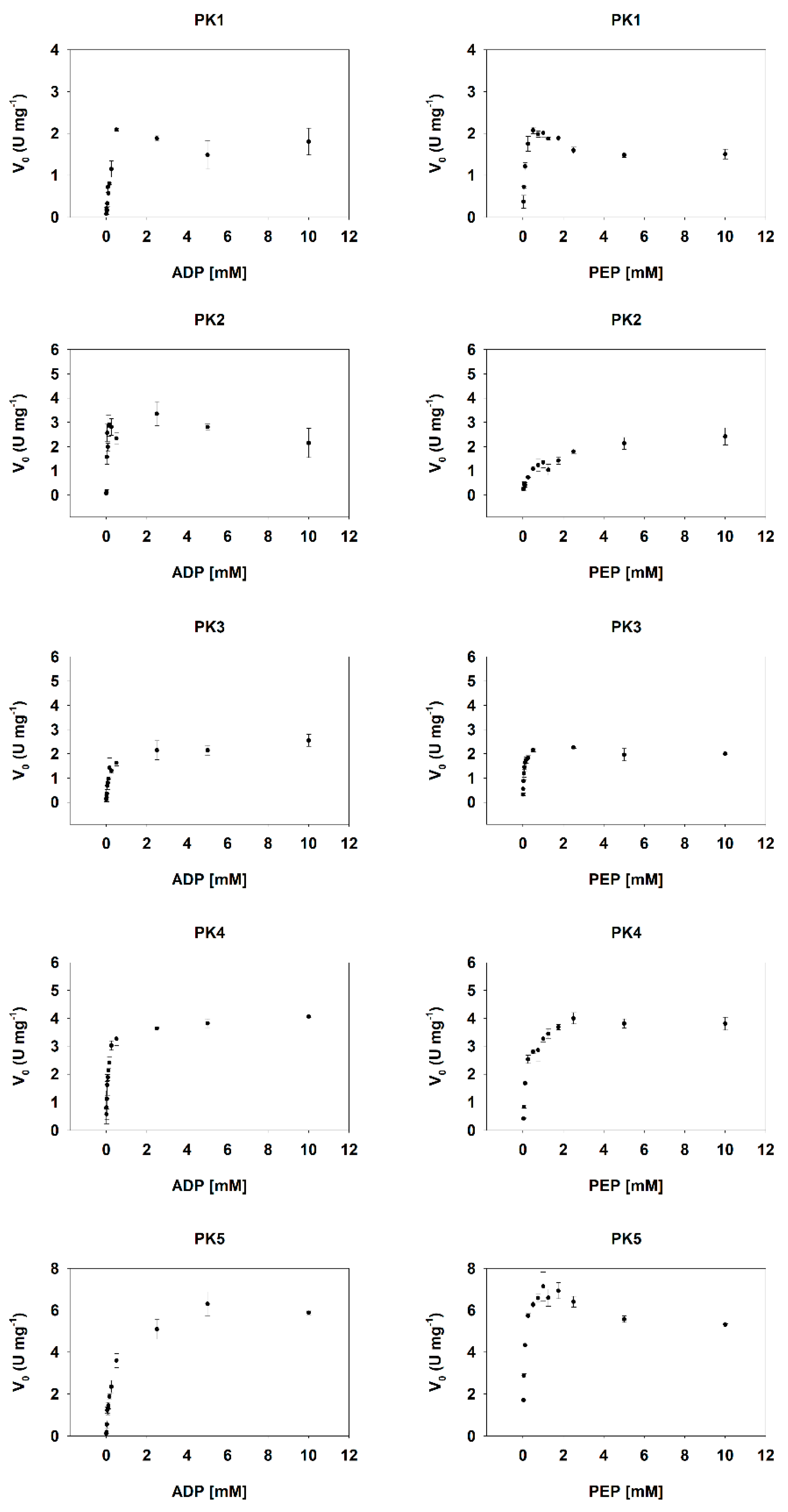
2.5. Kinetic Characterization of Cytosolic Pyruvate Kinases
2.6. Allosteric Effects on Pyruvate Kinase Enzyme Activity
2.7. Effects of Subgroup Complex Formation
3. Discussion
3.1. Arabidopsis thaliana Five Cytosolic Pyruvate Kinases Form Two Functional Subgroups
3.2. Pyruvate Kinase Enzymes are Localized to the Cytosol
3.3. Cytosolic Pyruvate Kinase Genes are Expressed in a Tissue-Specific and Developmental-Specific Manner
3.4. Cytosolic Pyruvate Kinases are Vital for Energy Allocation
3.5. Pyruvate Kinase Enzymes are Differently Regulated by Metabolites
3.6. Cytosolic Pyruvate Kinases are Regulated by Subgroup Association and Dissociation
4. Materials and Methods
4.1. Assaying Tissue-Specific Pyruvate Kinase Expression by Promoter-GUS Fusion
4.2. Determination of Protein Localization in Nicotiana benthamiana
4.3. Generation of Promoter-ß-Glucuronidase Fusion Constructs
4.4. Generation of 5x His-Tagged Fusion Constructs
4.5. Protein Purification by Metal Chelate Affinity Chromatography
4.6. Desalting of Purified Protein by Size Exclusion Chromatography
4.7. Kinetic Characterization of Pyruvate Kinases
Author Contributions
Funding
Acknowledgments
Conflicts of Interest
Appendix A





| Name | Sequence |
|---|---|
| prom_cPK1_NcoI_for | ggccatggaatgaatgtttttgcagtat |
| prom_cPK1_XmaI_rev | ccccgggttttttctccttctcaagtt |
| prom_cPK2_TOPO_for | cacctactatcagctattagaattatatatc |
| prom_cPK2_TOPO_rev | cgctaagtgagaaaaaaaacag |
| prom_cPK3_TOPO_for | caccctctgtgatggatccaagtag |
| prom_cPK3_TOPO_rev | gtaaatctccaaaaacctaatc |
| prom_cPK4_TOPO_for | caccatttaccgaagtgggttagatcgg |
| prom_cPK4_TOPO_rev | agttgctgatcagaattcggaga |
| prom_cPK5_TOPO_for | cacctccttctagttttacgaaca |
| prom_cPK5_TOPO_rev | cttcggtgacggaagggagagagatc |
| cPK2_NdeI_for | gggcatatgatggcgatgatagagcaaagg |
| cPK2_NdeI_rev | ccccatatgtcacttgacggtcaagatcttgatca |
| cPK3_NdeI_for | gggcatatgatgtcgaacatagacatagaag |
| cPK3_BamHI_rev | cccggatcctacttcaccacacagatcttg |
| cPK1_TOPO_for | caccacccatatgatgtcgaacatagacatagaaggg |
| cPK1_TOPO_rev | ggtcatatgtcacttaaccacacagatcttaa |
| cPK4_TOPO_for | caccaaccatatgatgcattcaagtcatctcc |
| cPK4_TOPO_rev | aacggatccctaatcctctagctcgatgattt |
| cPK5_TOPO_for | caccaaccatatgatgcattccagtcatcttct |
| cPK5_TOPO_rev | gttggatccttaatcctcaagctcaatga |
References
- Schwender, J.; Ohlrogge, J.B.; Shachar-Hill, Y. A flux model of glycolysis and the oxidative pentosephosphate pathway in developing Brassica napus embryos. J. Biol. Chem. 2003, 278, 29442–29453. [Google Scholar] [CrossRef]
- Flugge, U.-I. Phosphate Translocators in Plastids. Annu. Rev. Plant Physiol. Plant Mol. Biol. 1999, 50, 27–45. [Google Scholar] [CrossRef]
- Weber, A.P.M. Solute transporters as connecting elements between cytosol and plastid stroma. Curr. Opin. Plant Biol. 2004, 7, 247–253. [Google Scholar] [CrossRef]
- Flügge, U.-I.; Häusler, R.E.; Ludewig, F.; Gierth, M. The role of transporters in supplying energy to plant plastids. J. Exp. Bot. 2011, 62, 2381–2392. [Google Scholar] [CrossRef]
- Andre, C.; Froehlich, J.E.; Moll, M.R.; Benning, C. A heteromeric plastidic pyruvate kinase complex involved in seed oil biosynthesis in Arabidopsis. Plant Cell 2007, 19, 2006–2022. [Google Scholar] [CrossRef] [PubMed]
- Jurica, M.S.; Mesecar, A.; Heath, P.J.; Shi, W.; Nowak, T.; Stoddard, B.L. The allosteric regulation of pyruvate kinase by fructose-1,6-bisphosphate. Structure 1998, 6, 195–210. [Google Scholar] [CrossRef]
- Turner, W.L.; Knowles, V.L.; Plaxton, W.C. Cytosolic pyruvate kinase: Subunit composition, activity, and amount in developing castor and soybean seeds, and biochemical characterization of the purified castor seed enzyme. Planta 2005, 222, 1051–1062. [Google Scholar] [CrossRef] [PubMed]
- Hu, Z.; Plaxton, W.C. Purification and characterization of cytosolic pyruvate kinase from leaves of the castor oil plant. Arch. Biochem. Biophys. 1996, 333, 298–307. [Google Scholar] [CrossRef] [PubMed]
- Singh, D.K.; Malhotra, S.P.; Singh, R. Purification and characterization of cytosolic pyruvate kinase from developing seeds of Brassica campestris L. Indian J. Biochem. Biophys. 2000, 37, 51–58. [Google Scholar] [PubMed]
- Smith, C.R.; Knowles, V.L.; Plaxton, W.C. Purification and characterization of cytosolic pyruvate kinase from Brassica napus (rapeseed) suspension cell cultures: Implications for the integration of glycolysis with nitrogen assimilation. Eur. J. Biochem. 2000, 267, 4477–4485. [Google Scholar] [CrossRef] [PubMed]
- Cai, Y.; Li, S.; Jiao, G.; Sheng, Z.; Wu, Y.; Shao, G.; Xie, L.; Peng, C.; Xu, J.; Tang, S.; et al. OsPK2 encodes a plastidic pyruvate kinase involved in rice endosperm starch synthesis, compound granule formation and grain filling. Plant Biotechnol. J. 2018, 16, 1878–1891. [Google Scholar] [CrossRef] [PubMed]
- Ye, J.; Mancuso, A.; Tong, X.; Ward, P.S.; Fan, J.; Rabinowitz, J.D.; Thompson, C.B. Pyruvate kinase M2 promotes de novo serine synthesis to sustain mTORC1 activity and cell proliferation. Proc. Natl. Acad. Sci. USA 2012, 109, 6904–6909. [Google Scholar] [CrossRef] [PubMed]
- Giegé, P.; Heazlewood, J.L.; Roessner-Tunali, U.; Millar, A.H.; Fernie, A.R.; Leaver, C.J.; Sweetlove, L.J. Enzymes of glycolysis are functionally associated with the mitochondrion in Arabidopsis cells. Plant Cell 2003, 15, 2140–2151. [Google Scholar] [CrossRef] [PubMed]
- Tang, G.-Q.; Hardin, S.C.; Dewey, R.; Huber, S.C. A novel C-terminal proteolytic processing of cytosolic pyruvate kinase, its phosphorylation and degradation by the proteasome in developing soybean seeds. Plant J. 2003, 34, 77–93. [Google Scholar] [CrossRef]
- Winter, D.; Vinegar, B.; Nahal, H.; Ammar, R.; Wilson, G.V.; Provart, N.J. An “Electronic Fluorescent Pictograph” browser for exploring and analyzing large-scale biological data sets. PLoS ONE 2007, 2, e718. [Google Scholar] [CrossRef]
- Schwacke, R.; Fischer, K.; Ketelsen, B.; Krupinska, K.; Krause, K. Comparative survey of plastid and mitochondrial targeting properties of transcription factors in Arabidopsis and rice. Mol. Genet. Genomics 2007, 277, 631–646. [Google Scholar] [CrossRef]
- Huson, D.H.; Scornavacca, C. Dendroscope 3: An interactive tool for rooted phylogenetic trees and networks. Syst. Biol. 2012, 61, 1061–1067. [Google Scholar] [CrossRef]
- Turner, W.L.; Plaxton, W.C. Purification and characterization of cytosolic pyruvate kinase from banana fruit. Biochem. J. 2000, 352 Pt 3, 875–882. [Google Scholar] [CrossRef]
- Plaxton, W.C. Purification of Pyruvate Kinase from Germinating Castor Bean Endosperm 1. Plant Physiol. 1988, 86, 1064–1069. [Google Scholar] [CrossRef]
- Fernie, A.R.; Carrari, F.; Sweetlove, L.J. Respiratory metabolism: Glycolysis, the TCA cycle and mitochondrial electron transport. Curr. Opin. Plant Biol. 2004, 7, 254–261. [Google Scholar] [CrossRef]
- Penfield, S.; Graham, S.; Graham, I.A. Storage reserve mobilization in germinating oilseeds: Arabidopsis as a model system. Biochem. Soc. Trans. 2005, 33, 380–383. [Google Scholar] [CrossRef] [PubMed]
- Leegood, R.C.; Walker, R.P. Regulation and roles of phosphoenolpyruvate carboxykinase in plants. Arch. Biochem. Biophys. 2003, 414, 204–210. [Google Scholar] [CrossRef]
- Auslender, E.L.; Dorion, S.; Dumont, S.; Rivoal, J. Expression, purification and characterization of Solanum tuberosum recombinant cytosolic pyruvate kinase. Protein Expr. Purif. 2015, 110, 7–13. [Google Scholar] [CrossRef] [PubMed]
- Guy, C. Cold Acclimation and Freezing Stress Tolerance: Role of Protein Metabolism. Annu. Rev. Plant Physiol. 1990, 41, 187–223. [Google Scholar] [CrossRef]
- Guy, R.D.; Vanlerberghe, G.C.; Turpin, D.H. Significance of Phosphoenolpyruvate Carboxylase during Ammonium Assimilation: Carbon Isotope Discrimination in Photosynthesis and Respiration by the N-Limited Green Alga Selenastrum minutum. Plant Physiol. 1989, 89, 1150–1157. [Google Scholar] [CrossRef]
- Renaut, J.; Hausman, J.F.; Wisniewski, M. Proteomics and low-temperature studies: Bridging the gap between gene expression and metabolism. Physiol. Plant. 2006, 126, 97–109. [Google Scholar] [CrossRef]
- Wang, X.; Li, W.; Li, M.; Welti, R. Profiling lipid changes in plant response to low temperatures. Physiol. Plant. 2006, 126, 90–96. [Google Scholar] [CrossRef]
- Muller, B.; Pantin, F.; Génard, M.; Turc, O.; Freixes, S.; Piques, M.; Gibon, Y. Water deficits uncouple growth from photosynthesis, increase C content, and modify the relationships between C and growth in sink organs. J. Exp. Bot. 2011, 62, 1715–1729. [Google Scholar] [CrossRef]
- Kaplan, F.; Kopka, J.; Sung, D.Y.; Zhao, W.; Popp, M.; Porat, R.; Guy, C.L. Transcript and metabolite profiling during cold acclimation of Arabidopsis reveals an intricate relationship of cold-regulated gene expression with modifications in metabolite content. Plant J. 2007, 50, 967–981. [Google Scholar] [CrossRef]
- Carpenter, J.F.; Crowe, J.H. The mechanism of cryoprotection of proteins by solutes. Cryobiology 1988, 25, 244–255. [Google Scholar] [CrossRef]
- Heber, U.; Tyankova, L.; Santarius, K.A. Stabilization and inactivation of biological membranes during freezing in the presence of amino acids. Biochim. Biophys. Acta 1971, 241, 578–592. [Google Scholar] [CrossRef]
- Yancey, P.H.; Clark, M.E.; Hand, S.C.; Bowlus, R.D.; Somero, G.N. Living with water stress: Evolution of osmolyte systems. Science 1982, 217, 1214–1222. [Google Scholar] [CrossRef]
- Plaxton, W.C. The Organization and Regulation of Plant Glycolysis. Annu. Rev. Plant Physiol. Plant Mol. Biol. 1996, 47, 185–214. [Google Scholar] [CrossRef] [PubMed]
- Popova, T.N.; Pinheiro de Carvalho, M.A. Citrate and isocitrate in plant metabolism. Biochim. Biophys. Acta 1998, 1364, 307–325. [Google Scholar] [CrossRef]
- Jefferson, R.A.; Kavanagh, T.A.; Bevan, M.W. GUS fusions: Beta-glucuronidase as a sensitive and versatile gene fusion marker in higher plants. EMBO J. 1987, 6, 3901–3907. [Google Scholar] [CrossRef] [PubMed]
- Nakagawa, T.; Kurose, T.; Hino, T.; Tanaka, K.; Kawamukai, M.; Niwa, Y.; Toyooka, K.; Matsuoka, K.; Jinbo, T.; Kimura, T. Development of series of gateway binary vectors, pGWBs, for realizing efficient construction of fusion genes for plant transformation. J. Biosci. Bioeng. 2007, 104, 34–41. [Google Scholar] [CrossRef] [PubMed]







| Isoform | Vmax (U/mg) | kcat (1/s) | Km (mM) | |
|---|---|---|---|---|
| ADP | PEP | |||
| cPK1 | 1.4 | 1.53 | 0.15 | 0.06 |
| cPK2 | 2.8 | 3.05 | 0.03 | 0.76 |
| cPK3 | 2.2 | 2.4 | 0.14 | 0.17 |
| cPK4 | 3.9 | 4.0 | 0.07 | 0.17 |
| cPK5 | 6.4 | 6.68 | 0.34 | 0.05 |
| Isoform | F1.6BP | Serine | AMP | ATP | Glutamate | Aspartate | Citrate |
|---|---|---|---|---|---|---|---|
| cPK1 | 122% | 99% | 102% | 7% | 85% | 69% | 17% |
| cPK2 | 104% | 112% | 90% | 76% | 99% | 97% | 26% |
| cPK3 | 101% | 99% | 109% | 27% | 102% | 94% | 7% |
| cPK4 | 104% | 100% | 97% | 84% | 100% | 97% | 3% |
| cPK5 | 97% | 101% | 97% | 95% | 100% | 98% | 2% |
© 2020 by the authors. Licensee MDPI, Basel, Switzerland. This article is an open access article distributed under the terms and conditions of the Creative Commons Attribution (CC BY) license (http://creativecommons.org/licenses/by/4.0/).
Share and Cite
Wulfert, S.; Schilasky, S.; Krueger, S. Transcriptional and Biochemical Characterization of Cytosolic Pyruvate Kinases in Arabidopsis thaliana. Plants 2020, 9, 353. https://doi.org/10.3390/plants9030353
Wulfert S, Schilasky S, Krueger S. Transcriptional and Biochemical Characterization of Cytosolic Pyruvate Kinases in Arabidopsis thaliana. Plants. 2020; 9(3):353. https://doi.org/10.3390/plants9030353
Chicago/Turabian StyleWulfert, Sabine, Sören Schilasky, and Stephan Krueger. 2020. "Transcriptional and Biochemical Characterization of Cytosolic Pyruvate Kinases in Arabidopsis thaliana" Plants 9, no. 3: 353. https://doi.org/10.3390/plants9030353
APA StyleWulfert, S., Schilasky, S., & Krueger, S. (2020). Transcriptional and Biochemical Characterization of Cytosolic Pyruvate Kinases in Arabidopsis thaliana. Plants, 9(3), 353. https://doi.org/10.3390/plants9030353

