Weed Seed Decay in No-Till Field and Planted Riparian Buffer Zone
Abstract
1. Introduction
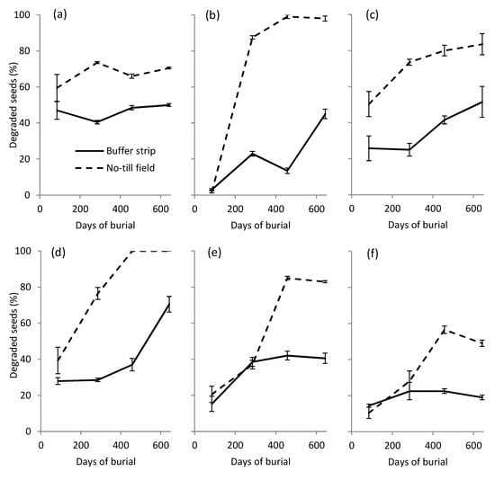
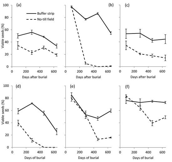
2. Results
2.1. Fate of the Buried Seeds
2.2. Soil Microbial Activity
3. Discussion
4. Materials and Methods
4.1. Experimental Site
4.2. Seed Burial and Classification
4.3. Soil Microbial Activity
Author Contributions
Funding
Conflicts of Interest
References
- Lingenfelter, D.D.; Hartwig, N.L. Introduction to Weeds and Herbicides. Agric. Commun. Mark. PA State Univ. 2013, 1–38. [Google Scholar]
- Dekker, J. Soil Weed Seed Banks and Weed Management. J. Crop Prod. 2011, 2, 139–166. [Google Scholar] [CrossRef]
- Chee-Sanford, J.C.; Williams, M.M.; Davis, A.S.; Sims, G.K. Do microorganisms influence seed-bank dynamics? Weed Sci. 2006, 54, 575–587. [Google Scholar] [CrossRef]
- Nelson, E.B. The seed microbiome: Origins, interactions, and impacts. Plant Soil 2018, 422, 7–34. [Google Scholar] [CrossRef]
- Greenfield, L.G. The microbial decomposition of seeds. In Proceedings of the Agronomy Society of New Zealand Seed Symposium, Palmerston North, New Zealand, 12 February 1999; pp. 47–51. [Google Scholar]
- Kennedy, A.C. Soil Microorganisms for Weed Management. J. Crop Prod. 1999, 2, 123–138. [Google Scholar] [CrossRef]
- Hobbs, P.R.; Sayre, K.; Gupta, R. The role of conservation agriculture in sustainable agriculture. Philos. Trans. R. Soc. B Biol. Sci. 2008, 363, 543–555. [Google Scholar] [CrossRef]
- Montgomery, D.R. Soil erosion and agricultural sustainability. Proc. Natl. Acad. Sci. USA 2007, 104, 13268–13272. [Google Scholar] [CrossRef]
- Farooq, M.; Flower, K.C.; Jabran, K.; Wahid, A.; Siddique, K.H.M. Crop yield and weed management in rainfed conservation agriculture. Soil Tillage Res. 2011, 117, 172–183. [Google Scholar] [CrossRef]
- Jorgensen, M.H. The Effect of Tillage on the Weed Control: An Adaptive Approach. In Biological Approaches for Controlling Weeds; Radhakrisnan, R., Ed.; InTech: London, UK, 2018; pp. 17–25. [Google Scholar]
- Johansen, C.; Haque, M.E.; Bell, R.W.; Thierfelder, C.; Esdaile, R.J. Conservation agriculture for small holder rainfed farming: Opportunities and constraints of new mechanized seeding systems. Field Crops Res. 2012, 132, 18–32. [Google Scholar] [CrossRef]
- Vahid Eslami, S. Recent Advances in Weed Management; Chauhan, B.S., Mahajan, G., Eds.; Springer: New York, NY, USA, 2014; pp. 87–124. ISBN 9781493910199. [Google Scholar]
- Kassam, A.; Friedrich, T.; Derpsch, R. Global spread of Conservation Agriculture. Int. J. Environ. Stud. 2019, 76, 29–51. [Google Scholar] [CrossRef]
- Nichols, V.; Verhulst, N.; Cox, R.; Govaerts, B. Weed dynamics and conservation agriculture principles: A review. Field Crops Res. 2015, 183, 56–68. [Google Scholar] [CrossRef]
- Giller, K.E.; Witter, E.; Corbeels, M.; Tittonell, P. Conservation agriculture and smallholder farming in Africa: The heretics’ view. Field Crops Res. 2009, 114, 23–34. [Google Scholar] [CrossRef]
- Derksen, D.A.; Anderson, R.L.; Blackshaw, R.E.; Maxwell, B. Weed Dynamics and Management Strategies for Cropping Systems in the Northern Great Plains. Agron. J. 2002, 94, 174. [Google Scholar] [CrossRef]
- Singh, V.P.; Barman, K.K.; Singh, R.; Sharma, A.R. Weed Management in Conservation Agriculture Systems. In Conservation Agriculture; Springer International Publishing: Cham, Germany, 2015; pp. 39–77. [Google Scholar]
- Bajwa, A.A. Sustainable weed management in conservation agriculture. Crop Prot. 2014, 65, 105–113. [Google Scholar] [CrossRef]
- Chauhan, B.S.; Singh, R.G.; Mahajan, G. Ecology and management of weeds under conservation agriculture: A review. Crop Prot. 2012, 38, 57–65. [Google Scholar] [CrossRef]
- Kremer, R.J.; Li, J. Developing weed-suppressive soils through improved soil quality management. Soil Tillage Res. 2003, 72, 193–202. [Google Scholar] [CrossRef]
- Gallandt, E.R.; Liebman, M.; Huggins, D.R. Improving soil quality: Implications for weed management. J. Crop Prod. 1999, 2, 95–121. [Google Scholar] [CrossRef]
- Parr, F.J.; Papendick, I.R.; Hornick, B.S.; Meyer, E.R. Soil Quality: Attributes and relationship to alternative and sustainable agriculture. Am. J. Altern. Agric. 1992, 7, 5–11. [Google Scholar] [CrossRef]
- Bissett, A.; Richardson, A.E.; Baker, G.; Thrall, P.H. Long-term land use effects on soil microbial community structure and function. Appl. Soil Ecol. 2011, 51, 66–78. [Google Scholar] [CrossRef]
- Rowell, M.J.; Florence, L.Z. Characteristics associated with differences between undisturbed and industrially-disturbed soils. Soil Biol. Biochem. 1993, 25, 1499–1511. [Google Scholar] [CrossRef]
- Long, R.L.; Panetta, F.D.; Steadman, K.J.; Probert, R.; Bekker, R.M.; Brooks, S.; Adkins, S.W. Seed Persistence in the Field May Be Predicted by Laboratory-Controlled Aging. Weed Sci. 2008, 56, 523–528. [Google Scholar] [CrossRef]
- Thompson, K.; Bakker, J.P.; Bekker, R.M. The Soil Seed Banks of North West Europe: Methodology, Density and Longevity; Cambridge University Press: Cambridge, UK, 1997; ISBN 9780521495196. [Google Scholar]
- Egley, G.H.; Chandler, J.M. Germination and Viability of Weed Seeds after 2.5 Years in a 50-Year Buried Seed Study. Weed Sci. 1978, 26, 230–239. [Google Scholar] [CrossRef]
- Warwick, S.I.; Black, L.D. The biology of Canadian weeds. 61. Sorghum halepense (L.) Pers. Can. J. Plant Sci. 1983, 63, 997–1014. [Google Scholar] [CrossRef]
- Gardarin, A.; Dürr, C.; Mannino, M.R.; Busset, H.; Colbach, N. Seed mortality in the soil is related to seed coat thickness. Seed Sci. Res. 2010, 20, 243–256. [Google Scholar] [CrossRef]
- Lewis, J. Longevity of Crop and Weed Seeds: Survival after 20 Years in Soil. Weed Res. 1973, 13, 179–191. [Google Scholar] [CrossRef]
- Masin, R.; Zuin, M.C.; Otto, S.; Zanin, G. Seed longevity and dormancy of four summer annual grass weeds in turf. Weed Res. 2006, 46, 362–370. [Google Scholar] [CrossRef]
- MOSS, S.R. The survival of Alopecurus myosuroides Huds. seeds in soil. Weed Res. 1985, 25, 201–211. [Google Scholar] [CrossRef]
- Davis, A.S.; Schutte, B.J.; Iannuzzi, J.; Renner, K.A. Chemical and Physical Defense of Weed Seeds in Relation to Soil Seedbank Persistence. Weed Sci. 2008, 56, 676–684. [Google Scholar] [CrossRef]
- Bewley, J.D.; Bradford, K.J.; Kent, J.; Hilhorst, H.W.M.; Nonogaki, H. Seeds: Physiology of Development, Germination and Dormancy; Springer: New York, NY, USA, 2013; ISBN 1461446929. [Google Scholar]
- Gómez-Maqueo, X.; Gamboa-deBuen, A. The Dynamics of Plant Cell Wall In Muro Modifications and its Physiological Implications on Seed Germination. In New Challenges in Seed Biology—Basic and Translational Research Driving Seed Technology; Araújo, S., Balestrazzi, A., Eds.; InTech: London, UK, 2016; pp. 155–177. [Google Scholar]
- Reis, D.; Vian, B.; Roland, J.C. Cellulose-Glucuronoxylans and plant cell wall structure. Micron 1994, 25, 171–187. [Google Scholar] [CrossRef]
- Haughn, G.W.; Western, T.L. Arabidopsis seed coat mucilage is a specialized cell wall that can be used as a model for genetic analysis of plant cell wall structure and function. Front. Plant Sci. 2012, 3, 1–5. [Google Scholar] [CrossRef]
- Dalling, J.W.; Davis, A.S.; Schutte, B.J.; Elizabeth Arnold, A. Seed survival in soil: Interacting effects of predation, dormancy and the soil microbial community. J. Ecol. 2011, 99, 89–95. [Google Scholar] [CrossRef]
- FAO. World Reference Base for Soil Resources. World Soil Resources Report 103; FAO: Rome, Italy, 2006; Volume 43, ISBN 9251055114.
- Agenzia Regionale per la Prevenzione e Protezione Ambientale del Veneto. La Grafica Faggian Carta dei Suoli della Provincia di Padova; Agenzia Regionale per la Prevenzione e Protezione Ambientale del Veneto: Provincia di Padova, Itally, 2013; ISBN 9788875041632. [Google Scholar]
- Soil Survey Staff. Keys to Soil Taxonomy; U.S. Department of Agriculture: Washington, DC, USA, 2010; ISBN 016085427X.
- Stevanato, P.; Bertaggia, M.; Stellin, F.; Rizzi, V.; Piffanelli, P.; Angelini, E.; Bertazzon, N.; Fornasier, F.; Squartini, A.; Saccomani, M.; et al. Soil biological and biochemical traits linked to nutritional status in grapevine. J. Soil Sci. Plant Nutr. 2014, 14, 421–432. [Google Scholar] [CrossRef][Green Version]
- Borza, J.K.; Westerman, P.R.; Liebman, M. Comparing Estimates of Seed Viability in Three Foxtail (Setaria) Species Using the Imbibed Seed Crush Test with and Without Additional Tetrazolium Testing. Weed Technol. 2007, 21, 518–522. [Google Scholar] [CrossRef]
- Concheri, G.; Tiozzo, S.; Stevanato, P.; Morari, F.; Berti, A.; Polese, R.; Borin, M.; Squartini, A. Fertimetro, a Principle and Device to Measure Soil Nutrient Availability for Plants by Microbial Degradation Rates on Differently-Spiked Buried Threads. Soil Syst. 2019, 3, 3. [Google Scholar] [CrossRef]
- Concheri, G.; Tiozzo, S.; Stevanato, P.; Squartini, A. The nutrient-primed incremented substrate degradation principle. A novel method and an automated tool to assess and correct agricultural soil de fi ciencies to optimize its fertility and crop productivity. Appl. Soil Ecol. 2018, 123, 686–692. [Google Scholar] [CrossRef]






| Site | Texture (%) Clay Silt Sand | pH | C (%) | N (%) | C/N | Cc (%) | CEC (cmoL(+)kg) | ||
|---|---|---|---|---|---|---|---|---|---|
| BS | 29 | 31 | 40 | 8.37 | 1.81 | 0.18 | 10.2 | 28.3 | 28.5 |
| NT | 31 | 31 | 38 | 8.45 | 1.36 | 0.13 | 10.3 | 28.6 | 26.3 |
© 2020 by the authors. Licensee MDPI, Basel, Switzerland. This article is an open access article distributed under the terms and conditions of the Creative Commons Attribution (CC BY) license (http://creativecommons.org/licenses/by/4.0/).
Share and Cite
Nikolić, N.; Squartini, A.; Concheri, G.; Stevanato, P.; Zanin, G.; Masin, R. Weed Seed Decay in No-Till Field and Planted Riparian Buffer Zone. Plants 2020, 9, 293. https://doi.org/10.3390/plants9030293
Nikolić N, Squartini A, Concheri G, Stevanato P, Zanin G, Masin R. Weed Seed Decay in No-Till Field and Planted Riparian Buffer Zone. Plants. 2020; 9(3):293. https://doi.org/10.3390/plants9030293
Chicago/Turabian StyleNikolić, Nebojša, Andrea Squartini, Giuseppe Concheri, Piergiorgio Stevanato, Giuseppe Zanin, and Roberta Masin. 2020. "Weed Seed Decay in No-Till Field and Planted Riparian Buffer Zone" Plants 9, no. 3: 293. https://doi.org/10.3390/plants9030293
APA StyleNikolić, N., Squartini, A., Concheri, G., Stevanato, P., Zanin, G., & Masin, R. (2020). Weed Seed Decay in No-Till Field and Planted Riparian Buffer Zone. Plants, 9(3), 293. https://doi.org/10.3390/plants9030293

