Inhibition or Facilitation? Contrasted Inter-Specific Interactions in Sphagnum under Laboratory and Field Conditions
Abstract
1. Introduction
2. Materials and Methods
2.1. Study Site
2.2. Experimental Design
2.3. Growth and Biochemical Trait Measurement
2.4. Data Processing and Statistical Analysis
3. Results
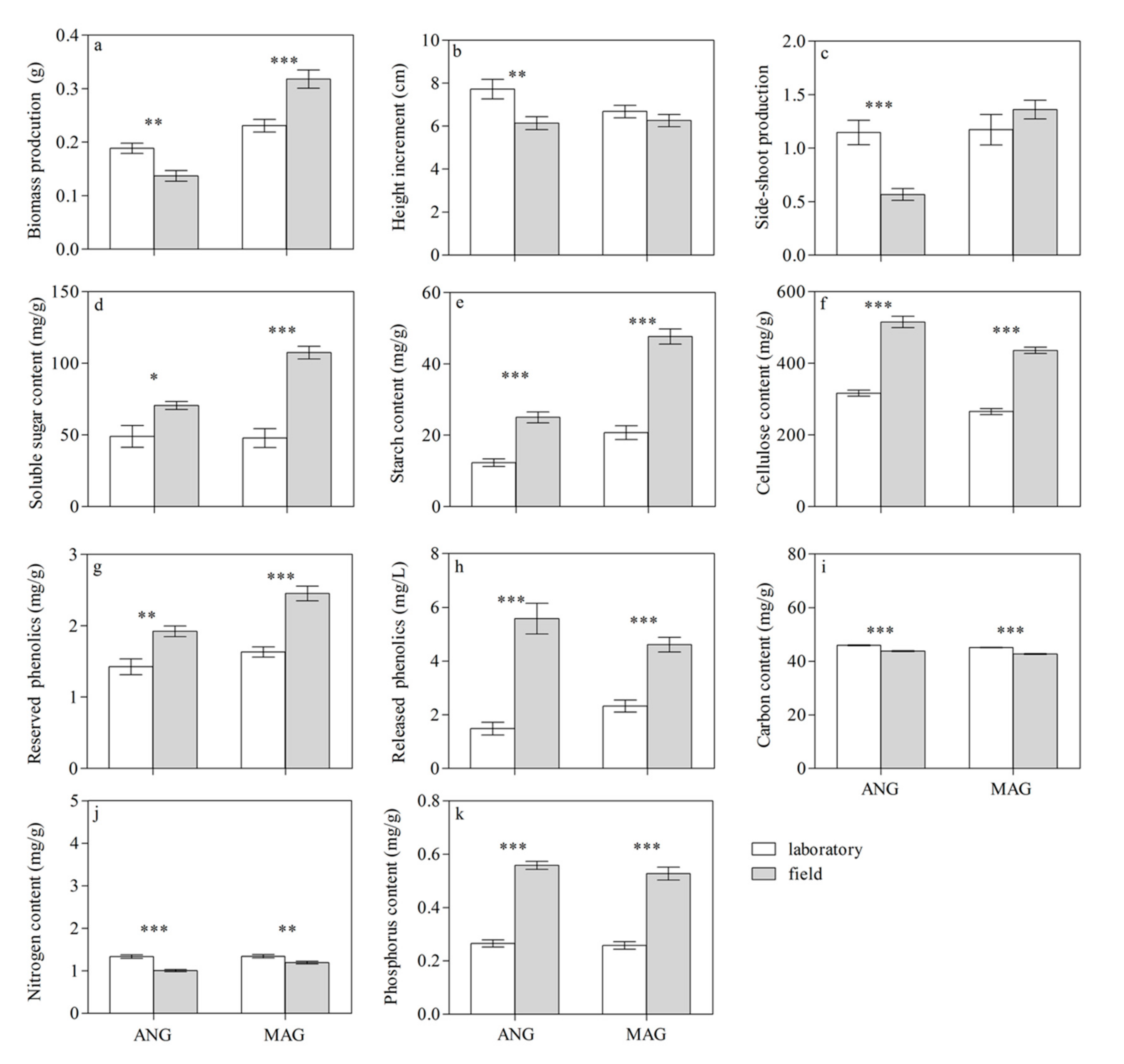
3.1. Responses of Morphological and Biochemical Traits to Culture Conditions and Neighbors
3.2. Phenolic Responses to the Neighbor
3.3. Phenotypic Plasticity
3.4. Relative Interaction Intensity (RII)
4. Discussion
4.1. Allelopathy and Resource Competition
4.2. Phenotypic Responses to Total Inter-Specific Interaction
Author Contributions
Funding
Conflicts of Interest
References
- Wardle, D.A.; Karban, R.; Callaway, R.M. The ecosystem and evolutionary contexts of allelopathy. Trends Ecol. Evol. 2011, 26, 655–662. [Google Scholar] [CrossRef]
- Rice, E.L. Allelopathy; Academic Press: New York, NY, USA, 1983. [Google Scholar]
- Whitehead, J.; Wittemann, M.; Cronberg, N. Allelopathy in bryophytes—A review. Lindbergia 2018, 41, 01097. [Google Scholar] [CrossRef]
- Clymo, R.S. Peat. In Ecosystems of the World; Gore, A.J.P., Ed.; Elsevier: Amsterdam, The Netherlands, 1983; pp. 159–224. [Google Scholar]
- Clymo, R.S. The limits to peat bog growth. Philos. Trans. R. Soc. Lond. B Biol. Sci. 1984, 303, 605–654. [Google Scholar] [CrossRef]
- Breemen, N.V. How Sphagnum bogs down other plants. Trends Ecol. Evol. 1995, 10, 270–275. [Google Scholar] [CrossRef]
- Verhoeven, J.T.A.; Liefveld, W.M. The ecological significance of organochemical compounds in Sphagnum. Acta Bot. Neerl. 1997, 46, 117–130. [Google Scholar] [CrossRef]
- Jassey, V.E.J.; Gilbert, D.; Binet, P.; Toussaint, M.L.; Chiapusio, G. Effect of a temperature gradient on Sphagnum fallax and its associated living microbial communities: A study under controlled conditions. Can. J. Microbiol. 2011, 57, 226–235. [Google Scholar] [CrossRef]
- Jassey, V.E.J.; Chiapusio, G.; Binet, P.; Buttler, A.; Laggoun-Défarge, F.; Delarue, F.; Bernard, N.; Mitchell, E.A.D.; Toussaint, M.L.; Francez, A.J.; et al. Above-and belowground linkages in Sphagnum peatland: Climate warming affects plant-microbial interactions. Glob. Chang. Biol. 2013, 19, 811–823. [Google Scholar] [CrossRef]
- Fenner, N.; Freeman, C. Drought-induced carbon loss in peatlands. Nat. Geosci. 2011, 4, 895–900. [Google Scholar] [CrossRef]
- Bu, Z.J.; Rydin, H.; Chen, X. Direct and interaction-mediated effects of environmental changes on peatland bryophytes. Oecologia 2011, 166, 555–563. [Google Scholar] [CrossRef]
- Ma, J.Z.; Bu, Z.J.; Zheng, X.X.; Ge, J.L.; Wang, S.Z. Shading enhances the competitive advantage of Sphagnum fallax in a simulation experiment. Mires Peat 2015, 16, 1–17. [Google Scholar]
- Turetsky, M.R.; Bond-Lamberty, B.; Euskirchen, E.; Talbot, J.; Frolking, S.; Mcguire, A.D.; Tuittila, E.S. The resilience and functional role of moss in boreal and arctic ecosystems. N. Phytol. 2012, 196, 49–67. [Google Scholar] [CrossRef] [PubMed]
- Ingerpuu, N.; Vellak, K. Growth depends on neighbors: Experiments with three Sphagnum L. species. J. Bryol. 2013, 35, 27–32. [Google Scholar] [CrossRef]
- Bu, Z.J.; Sundberg, S.; Feng, L.; Li, H.K.; Zhao, H.Y.; Li, H.C. The Methuselah of plant diaspores: Sphagnum spores can survive in nature for centuries. N. Phytol. 2017, 214, 1398–1402. [Google Scholar] [CrossRef] [PubMed]
- Michel, P.; Burritt, D.J.; Lee, W.G. Bryophytes display allelopathic interactions with tree species in native forest ecosystems. Oikos 2011, 120, 1272–1280. [Google Scholar] [CrossRef]
- Callaway, R.M. Positive Interactions and Interdependence in Plant Communities; Springer: Dordrecht, The Netherlands, 2007. [Google Scholar]
- Rydin, H. Competition among bryophytes. Adv. Bryol. 1997, 6, 135–168. [Google Scholar]
- Mulder, C.P.H.; Uliassi, D.D.; Doak, D.F. Physical stress and diversity-productivity relationships: The role of positive interactions. Proc. Natl. Acad. Sci. USA 2001, 98, 6704–6708. [Google Scholar] [CrossRef]
- Okland, R.H.; Okland, T. Population biology of the clonal moss Hylocomium splendens in Norwegian boreal spruce forests. II. effects of density. J. Ecol. 1996, 84, 63–69. [Google Scholar] [CrossRef]
- Qin, F.C.; Liu, S.; Yu, S.X. Effects of allelopathy and competition for water and nutrients on survival and growth of tree species in Eucalyptus urophylla plantations. For. Ecol. Manag. 2018, 424, 387–395. [Google Scholar] [CrossRef]
- Liu, C.; Bu, Z.J.; Mallik, A.; Rochefort, L.; Hu, X.F.; Yu, Z. Resource competition and allelopathy in two peat mosses: Implication for niche differentiation. Plant Soil 2020, 446, 229–242. [Google Scholar] [CrossRef]
- Rudolph, H.; Samland, J. Occurrence and metabolism of sphagnum acid in the cell walls of bryophytes. Phytochemistry 1985, 24, 745–749. [Google Scholar] [CrossRef]
- Scasta, J.D.; Trostle, C.L.; Foster, M.A. Evaluating Alfalfa (Medicago sativa L.) cultivars for salt tolerance using laboratory, greenhouse and field methods. J. Agric. Sci. 2012, 4, 90–103. [Google Scholar] [CrossRef]
- Diamond, J.M. Ecology: Laboratory, field and natural experiments. Nature 1983, 304, 586–587. [Google Scholar] [CrossRef]
- Bertness, M.D.; Callaway, R.M. Positive interactions in communities. Trends Ecol. Evol. 1994, 9, 191–193. [Google Scholar] [CrossRef]
- Johansson, L. Effects of activated charcoal in anther cultures. Physiol. Plant. 1983, 59, 397–403. [Google Scholar] [CrossRef]
- Mahall, B.E.; Callaway, R.M. Root communication mechanisms and intracommunity distributions of two mojave desert shrubs. Ecology 1992, 73, 2145–2151. [Google Scholar] [CrossRef]
- Mensuali-Sodi, A.; Panizza, M.; Serra, G.; Tognoni, F. Involvement of activated charcoal in the modulation of abiotic and biotic ethylene levels in tissue cultures. Sci. Hortic. 1993, 54, 49–57. [Google Scholar] [CrossRef]
- Soudzilovskaia, N.A.; Graae, B.J.; Douma, J.C.; Grau, O.; Milbau, A.; Shevtsova, A.; Wolters, L.; Cornelissen, J.H.C. How do bryophytes govern generative recruitment of vascular plants? N. Phytol. 2011, 190, 1019–1031. [Google Scholar] [CrossRef]
- Bu, Z.J.; Zheng, X.X.; Rydin, H.; Moore, T.; Ma, J.Z. Facilitation vs. competition: Does interspecific interaction affect drought responses in Sphagnum? Basic Appl. Ecol. 2013, 14, 574–584. [Google Scholar] [CrossRef]
- Rudolph, H.; Kirchhoff, M.; Gliesmann, S. Sphagnum culture techniques. In Methods in Bryology Nichinan: Hattori Botanical Laboratory; Glime, J.M., Ed.; Hattori Botanical Laboratory: Nichinan, Japan, 1988; pp. 25–34. [Google Scholar]
- Singleton, V.L.; Rossi, J.A. Colorimetry of total phenolics with phosphomolybdic-phosphotungstic acid reagents. Am. J. Enol. Vitic. 1965, 16, 144–158. [Google Scholar]
- Eshghi, S.; Tafazoli, E.; Dokhani, S.; Rahemi, M.; Emam, Y. Changes in carbohydrate contents in shoot tips, leaves and roots of strawberry (Fragaria x ananassa Duch.) during flower-bud differentiation. Sci. Hortic. 2007, 113, 255–260. [Google Scholar] [CrossRef]
- Armas, C.; Ordiales, R.; Pugnaire, F.I. Measuring plant interactions: A new comparative index. Ecology 2004, 85, 2682–2686. [Google Scholar] [CrossRef]
- Valladares, F.; Sanchez-Gomez, D.; Zavala, M.A. Quantitative estimation of phenotypic plasticity: Bridging the gap between the evolutionary concept and its ecological applications. J. Ecol. 2006, 94, 1103–1116. [Google Scholar] [CrossRef]
- Feng, L.; Sebastian, S.; Mark, O.; Wu, Y.-H.; Wang, M.; Bu, Z.J. Oxygen-deficiency and allelochemicals affect Sphagnum spore persistence in peatlands. Plant Soil 2018, 432, 403–413. [Google Scholar] [CrossRef]
- Rydin, H. Interspecific competition between sphagnum mosses on a raised bog. Oikos 1993, 66, 413–423. [Google Scholar] [CrossRef]
- Belz, R.G.; Duke, S.O. Herbicides and plant hormesis. Pest Manag. Sci. 2014, 70, 698–707. [Google Scholar] [CrossRef]
- Stark, S.; Kytviita, M.M.; Neumann, A.B. The phenolic compounds in Cladonia lichens are not antimicrobial in soils. Oecologia 2007, 152, 299–306. [Google Scholar] [CrossRef]
- Pizňak, M.; Bačkor, M. Lichens affect boreal forest ecology and plant metabolism. S. Afr. J. Bot. 2019, 124, 530–539. [Google Scholar] [CrossRef]
- Ge, J. Competiiton and Allelopathy Among Three Bryophytes in Hani Peatland of the Changbai Mountains; Northeast Normal University: Changchun, China, 2016. [Google Scholar]
- Huneck, S.; Meinunger, L. Plant Growth Regulatory Acitivities of Bryophytes, a Contribution to the Chemical Ecology of Mosses and Liverworths; Clarendon Press: Oxford, UK, 1990. [Google Scholar]
- Montenegro, G.; Portaluppi, M.C.; Salas, F.A.; Díaz, M.F. Biological properties of the Chilean native moss Sphagnum magellanicum. Biol. Res. 2009, 42, 233–237. [Google Scholar] [CrossRef]
- Glime, J.M. Bryophytes and herbivory. Cryptogamie Bryol. 2006, 27, 191–203. [Google Scholar]
- Granath, G.; Strengbom, J.; Rydin, H. Rapid ecosystem shifts in peatlands: Linking plant physiology and succession. Ecology 2010, 91, 3047–3056. [Google Scholar] [CrossRef]
- Jauhiainen, J.; Wallén, B.; Malmer, N. Potential NH4+ and NO3− uptake in seven Sphagnum species. N. Phytol. 1998, 138, 287–293. [Google Scholar] [CrossRef]





| Source | Sphagnum angustifolium | Sphagnummagellanicum | ||||||||||
|---|---|---|---|---|---|---|---|---|---|---|---|---|
| Condition | ISI | Condition × ISI | Condition | ISI | Condition × ISI | |||||||
| F | p | F | p | F | p | F | p | F | p | F | p | |
| B (g) | 14.62 | 0.001 | 0.30 | 0.746 | 2.22 | 0.131 | 19.00 | 0.001 | 1.93 | 0.167 | 1.05 | 0.367 |
| H (cm) | 10.17 | 0.004 | 2.71 | 0.087 | 1.98 | 0.160 | 1.13 | 0.299 | 0.44 | 0.648 | 1.82 | 0.184 |
| SS | 23.18 | 0.001 | 1.22 | 0.314 | 2.27 | 0.125 | 2.14 | 0.157 | 5.80 | 0.009 | 6.09 | 0.007 |
| Sug (mg g−1) | 6.98 | 0.014 | 0.59 | 0.563 | 1.28 | 0.297 | 59.07 | 0.001 | 2.12 | 0.142 | 0.60 | 0.558 |
| Sta (mg g−1) | 81.05 | 0.001 | 10.97 | 0.001 | 1.67 | 0.209 | 86.41 | 0.001 | 1.12 | 0.342 | 0.86 | 0.434 |
| Cel (mg g−1) | 563.8 | 0.001 | 15.58 | 0.001 | 35.26 | 0.001 | 315.3 | 0.001 | 5.17 | 0.014 | 5.41 | 0.011 |
| C (mg g−1) | 108.1 | 0.001 | 2.30 | 0.122 | 5.89 | 0.008 | 342.3 | 0.001 | 6.70 | 0.005 | 8.90 | 0.001 |
| N (mg g−1) | 51.42 | 0.001 | 2.72 | 0.086 | 0.87 | 0.432 | 15.94 | 0.001 | 10.85 | 0.001 | 3.24 | 0.057 |
| P (mg g−1) | 200.3 | 0.001 | 0.62 | 0.548 | 0.96 | 0.396 | 94.98 | 0.001 | 1.43 | 0.260 | 1.13 | 0.339 |
| ResP (mg g−1) | 19.83 | 0.001 | 6.82 | 0.005 | 1.34 | 0.281 | 55.05 | 0.001 | 4.65 | 0.020 | 1.25 | 0.306 |
| RelP (mg g−1) | 46.60 | 0.001 | 2.11 | 0.143 | 0.81 | 0.458 | 52.23 | 0.001 | 4.47 | 0.022 | 0.88 | 0.430 |
Publisher’s Note: MDPI stays neutral with regard to jurisdictional claims in published maps and institutional affiliations. |
© 2020 by the authors. Licensee MDPI, Basel, Switzerland. This article is an open access article distributed under the terms and conditions of the Creative Commons Attribution (CC BY) license (http://creativecommons.org/licenses/by/4.0/).
Share and Cite
Liu, C.; Bu, Z.-J.; Mallik, A.; Chen, Y.-D.; Hu, X.-F.; Lu, F. Inhibition or Facilitation? Contrasted Inter-Specific Interactions in Sphagnum under Laboratory and Field Conditions. Plants 2020, 9, 1554. https://doi.org/10.3390/plants9111554
Liu C, Bu Z-J, Mallik A, Chen Y-D, Hu X-F, Lu F. Inhibition or Facilitation? Contrasted Inter-Specific Interactions in Sphagnum under Laboratory and Field Conditions. Plants. 2020; 9(11):1554. https://doi.org/10.3390/plants9111554
Chicago/Turabian StyleLiu, Chao, Zhao-Jun Bu, Azim Mallik, Yong-Da Chen, Xue-Feng Hu, and Fan Lu. 2020. "Inhibition or Facilitation? Contrasted Inter-Specific Interactions in Sphagnum under Laboratory and Field Conditions" Plants 9, no. 11: 1554. https://doi.org/10.3390/plants9111554
APA StyleLiu, C., Bu, Z.-J., Mallik, A., Chen, Y.-D., Hu, X.-F., & Lu, F. (2020). Inhibition or Facilitation? Contrasted Inter-Specific Interactions in Sphagnum under Laboratory and Field Conditions. Plants, 9(11), 1554. https://doi.org/10.3390/plants9111554

