Niche, Interspecific Association and Community Stability of Understory Vegetation in Artificial Sand-Fixing Forests of the Mu Us Sandy Land
Abstract
1. Introduction
2. Results
2.1. Analysis of Ecological Niche Characteristics of Plants in Understory of Different Sand-Fixing Shrub Forests
2.1.1. Niche Width
2.1.2. Niche Overlap
2.2. Overall Association of Plants in Understory of Different Sand-Fixing Shrub Forests
2.3. Interspecific Associations of Plants in Understory of Different Sand-Fixing Shrub Forests
2.3.1. Association Coefficient
2.3.2. Interspecific Correlation
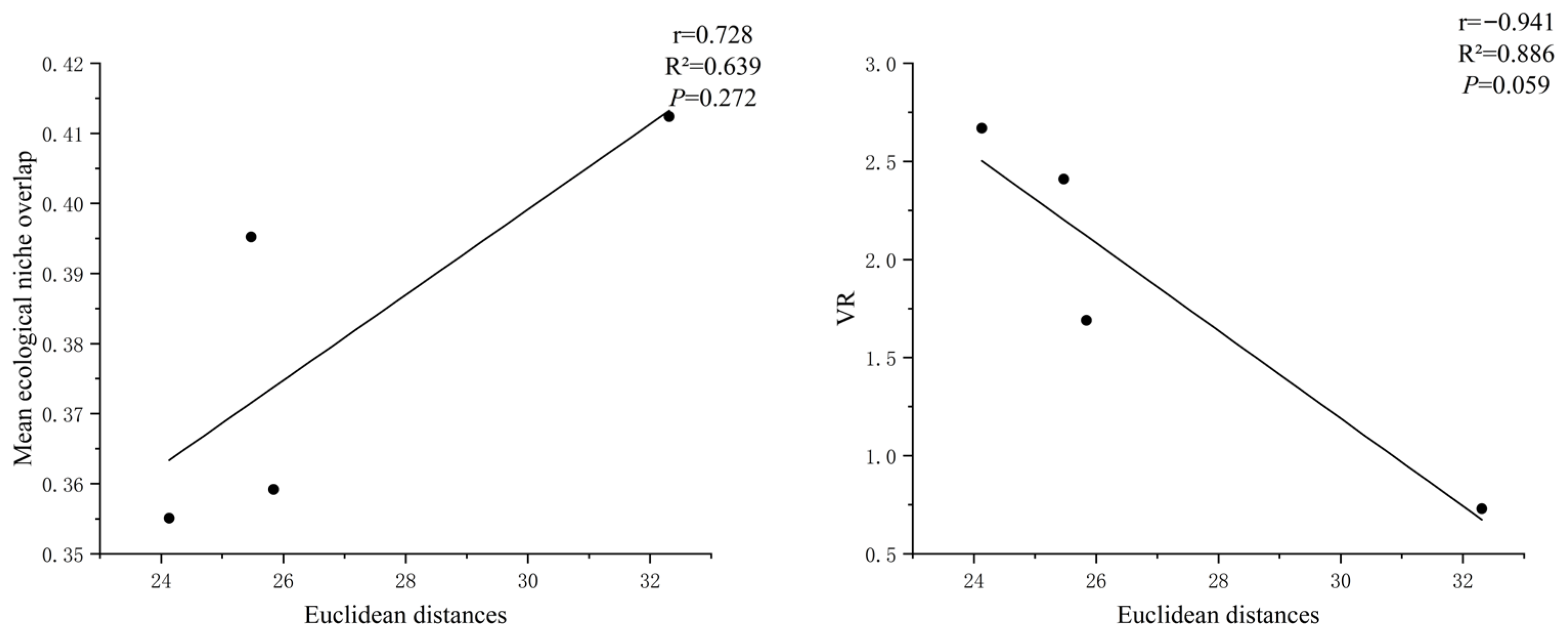
2.4. The Stability of Understory Communities in Different Sand-Fixing Shrub Forests and Its Correlation with the Ecological Niche Overlap and Variance Ratio
3. Discussion
3.1. Ecological Niche Characteristics of Plant Communities Under Different Sand-Fixing Shrub Forests
3.2. The Interspecific Associations Characteristics of Plant Communities Under Different Sand-Fixing Shrub Forests
3.3. The Stability of Plant Communities Under Different Sand-Fixing Shrub Forests the Stability of Plant Communities Under Different Sand-Fixing Shrub Forests and Its Correlation with the Mean Ecological Niche Overlap and Variance Ratio
4. Materials and Methods
4.1. Overview of the Study Area
4.2. Plot Setup and Survey Methodology
4.3. Computational Formula
4.3.1. Importance Value
4.3.2. Overall Association
4.3.3. Interspecific Association
4.3.4. Interspecific Correlation
4.3.5. Niche Characteristics
4.3.6. Community Stability
4.4. Data Analysis
5. Conclusions
Author Contributions
Funding
Data Availability Statement
Conflicts of Interest
References
- Zeng, G.; Ye, M.; Li, M.; Chen, W.; He, Q.; Pan, X.; Zhang, X.; Che, J.; Qian, J.; Lv, Y. The Relationships between Plant Community Stability and Diversity across Different Grassland Types and Their Association with Environmental Factors in the Habahe Forest Area, Xinjiang. Diversity 2024, 16, 499. [Google Scholar] [CrossRef]
- Wang, Y.; Chen, J.; Zhang, L.; Feng, L.; Yan, L.; Li, F.; Zhao, X.; Yu, L.; Liu, N. Relationship between diversity and stability of a karst plant community. Ecol. Evol. 2022, 12, e9254. [Google Scholar] [CrossRef]
- Luo, Z.; Zhou, Y.; Liu, N.; Wang, L.; Liu, Y.; Shan, B.; Liu, M.; Chen, C.; Yang, C.; Sun, D. Ecological niche and interspecific association of the main fishes in the coastal waters of Hainan Island, China. Fishes 2023, 8, 511. [Google Scholar] [CrossRef]
- Wasof, S.; Lenoir, J.; Gallet-Moron, E.; Jamoneau, A.; Brunet, J.; Cousins, S.A.; De Frenne, P.; Diekmann, M.; Hermy, M.; Kolb, A. Ecological niche shifts of understorey plants along a latitudinal gradient of temperate forests in north-western Europe. Glob. Ecol. Biogeogr. 2013, 22, 1130–1140. [Google Scholar] [CrossRef]
- Martínez, I.; Wiegand, T.; González-Taboada, F.; Obeso, J.R. Spatial associations among tree species in a temperate forest community in North-western Spain. For. Ecol. Manag. 2010, 260, 456–465. [Google Scholar] [CrossRef]
- Gao, W.; Zheng, C.; Liu, X.; Lu, Y.; Chen, Y.; Wei, Y.; Ma, Y. NDVI-based vegetation dynamics and their responses to climate change and human activities from 1982 to 2020: A case study in the Mu Us Sandy Land, China. Ecol. Indic. 2022, 137, 108745. [Google Scholar] [CrossRef]
- Zhang, M.; Wu, X. The rebound effects of recent vegetation restoration projects in Mu Us Sandy land of China. Ecol. Indic. 2020, 113, 106228. [Google Scholar] [CrossRef]
- Zhang, P.; Shao, G.; Zhao, G.; Le Master, D.C.; Parker, G.R.; Dunning, J.B., Jr.; Li, Q. China’s forest policy for the 21st century. Science 2000, 288, 2135–2136. [Google Scholar] [CrossRef]
- Pei, Y.; Huang, L.; Shao, M.A.; Jia, X.; Tang, X.; Zhang, Y.; Pan, Y. Water sources used by artificial Salix psammophila in stands of different ages based on stable isotope analysis in northeastern Mu Us Sandy Land. Catena 2023, 226, 107087. [Google Scholar] [CrossRef]
- Ri, X.; Yang, J.; Zhao, L.-Q.; Qing, H.; Yao, Z.-Y.; Zhu, L.; Wu, Y.-H.; Tian, J.-B.; Cao, X.-P.; Yang, L. Establishment, development, and decline of Salix psammophila communities: Changes in soil conditions and floristic composition in dune slacks. Glob. Ecol. Conserv. 2020, 22, e00967. [Google Scholar] [CrossRef]
- Pang, Y.; Wu, B.; Jia, X.; Xie, S. Wind-proof and sand-fixing effects of Artemisia ordosica with different coverages in the Mu Us Sandy Land, northern China. J. Arid. Land 2022, 14, 877–893. [Google Scholar] [CrossRef]
- Zhang, J.; Zhang, Y.; Fan, D.; Qin, S.; Jia, X.; Wu, B.; Chen, D.; Gao, H.; Zhu, L. Effects of sand dune stabilization on the spatial pattern of Artemisia ordosica population in Mu Us Desert, Northwest China. PLoS ONE 2015, 10, e0129728. [Google Scholar] [CrossRef] [PubMed]
- Zhou, Z.; Yu, M.; Ding, G.; Gao, G.; He, Y.; Wang, G. Effects of Hedysarum leguminous plants on soil bacterial communities in the Mu Us Desert, northwest China. Ecol. Evol. 2020, 10, 11423–11439. [Google Scholar] [CrossRef]
- Xie, L.; He, X.; Wang, K.; Hou, L.; Sun, Q. Spatial dynamics of dark septate endophytes in the roots and rhizospheres of Hedysarum scoparium in northwest China and the influence of edaphic variables. Fungal Ecol. 2017, 26, 135–143. [Google Scholar] [CrossRef]
- Zhu, Z.; Shao, M.; Jia, X.; Zhao, C. Rainfall partitioning characteristics and simulation of typical shelter forest in Chinese Mu Us Sandy Land. Sci. Total Environ. 2024, 945, 174091. [Google Scholar] [CrossRef]
- Zhao, P.; Qiu, K.; Xie, Y.; Zhao, X.; Chen, L.; Liu, W.; Li, H.; Meng, W.; Hu, X.; He, Y.; et al. Spatial heterogeneity of soil nutrients under different sand-fixing shrubs in the southern margin of the Mu Us Sandy Land. Acta Agrestia Sin. 2021, 29, 2040–2048. (In Chinese) [Google Scholar]
- Hirobe, M.; Ohte, N.; Karasawa, N.; Zhang, G.-s.; Wang, L.-h.; Yoshikawa, K. Plant species effect on the spatial patterns of soil properties in the Mu-us desert ecosystem, Inner Mongolia, China. Plant Soil 2001, 234, 195–205. [Google Scholar] [CrossRef]
- Zhang, D.; Chen, X.; Fu, G.; Yang, Z.; Song, J.; Tong, X. Dissimilar evolution of soil dissolved organic matter chemical properties during revegetation with arbor and shrub in desertified land of the Mu Us Desert. Sci. Total Environ. 2022, 815, 152904. [Google Scholar] [CrossRef] [PubMed]
- Liu, L.; Bai, Y.; Qiao, Y.; Miao, C.; She, W.; Qin, S.; Zhang, Y. Water-use characteristics of two dominant plant species in different community types in the Mu Us Desert. Catena 2023, 221, 106803. [Google Scholar] [CrossRef]
- Gao, Q.; Dang, X.; Meng, Z.; Liu, Y.; Lou, J.; Yan, Y.; Zhang, X. Effects of Drought on the Water Use Strategies of Pure and Mixed Shrubs in the Mu Us Sandy Land. Plants 2024, 13, 3261. [Google Scholar] [CrossRef]
- Sun, Y.; Zhang, Y.; Feng, W.; Qin, S.; Liu, Z.; Bai, Y.; Yan, R.; Fa, K. Effects of xeric shrubs on soil microbial communities in a desert in northern China. Plant Soil 2017, 414, 281–294. [Google Scholar] [CrossRef]
- Shi, L.; Yang, L.; Peng, B.; Hua, D.; Sun, Z.; He, L. Characteristics of inter-root soil bacterial community structure and diversity of different sand-fixing shrubs at the southeastern edge of the Mu Us Desert, China. Ann. Microbiol. 2024, 74, 27. [Google Scholar] [CrossRef]
- Gu, L.; Gong, Z.-w.; Li, W.-z. Niches and interspecific associations of dominant populations in three changed stages of natural secondary forests on Loess Plateau, PR China. Sci. Rep. 2017, 7, 6604. [Google Scholar] [CrossRef] [PubMed]
- Lou, K.E.; Qu, W.J.; Wang, L.; Wang, X.; Gao, Y.G.; Zhang, B.; You, W.X.; Yang, X.G. Root architecture characteristics of four dominant annual herbs in Tengger Desert, China. Chin. J. Appl. Ecol. 2024, 35, 3015–3022. (In Chinese) [Google Scholar]
- Ma, Y.; Wang, Y.; Li, G.; Liang, T.; Zou, M.; Yan, J.; Ma, H. HunShanDaKe sand east edge of vegetation ecological niche and interspecific association studies. IOP Conf. Ser. Earth Environ. Sci. 2019, 351, 012045. [Google Scholar] [CrossRef]
- Xiang, X.; De, K.J.; Lin, W.; Feng, T.; Li, F.; Wei, X. The ecological niche characteristics and interspecific associations of plant species in the alpine meadow of the Tibetan Plateau affected plant species diversity under nitrogen addition. PeerJ 2024, 12, e18526. [Google Scholar] [CrossRef] [PubMed]
- Han, Y.; Wu, J.; Tian, Y.; Zha, T.; Jia, X.; Bourque, C.P.-A.; Wu, Y.; Bai, Y.; Ma, J.; Zhang, M. Light energy partitioning and photoprotection in an exotic species (Salix psammophila) grown in a semi-arid area of northwestern China. Forests 2018, 9, 341. [Google Scholar] [CrossRef]
- Su, J.J.; Liu, Y.P.; Liu, L.Y.; Wu, T.Z.; Rong, W.W.; Chu, G.M.; Wang, M. Niche and interspecific correlation of herbaceous plants in the Altay desert region. Pratacult. Sci. 2024, 41, 2217–2228. (In Chinese) [Google Scholar]
- Wang, X.; Liu, Y.; Li, Y.; Jin, J.; Guo, Q.; Pei, S. Interspecies association and community stability of plants in the core distribution area of Thuja sutchuenensis. Forests 2023, 14, 762. [Google Scholar] [CrossRef]
- He, S.; Li, D.; Yang, X.; Qi, D.; Shang, N.; Liang, C.; Liu, R.; Du, C.; Ding, H.; Ye, B. Interspecific Associations of Dominant Tree Species at Different Structural Levels and Community Stability in the Habitat of Endangered Plant Hopea hainanensis Merr. & Chun. Plants 2025, 14, 2546. [Google Scholar] [CrossRef]
- Jin, S.-S.; Zhang, Y.-Y.; Zhou, M.-L.; Dong, X.-M.; Chang, C.-H.; Wang, T.; Yan, D.-F. Interspecific association and community stability of tree species in natural secondary forests at different altitude gradients in the southern Taihang Mountains. Forests 2022, 13, 373. [Google Scholar] [CrossRef]
- Zhang, L.; Zhang, H.-L.; Chen, Y.; Nizamani, M.M.; Zhou, Q.; Su, X. Analyses of community stability and inter-specific associations between a plant species with extremely small populations (Hopea hainanensis) and its associated species. Front. Ecol. Evol. 2022, 10, 922829. [Google Scholar] [CrossRef]
- Wu, S.; Wen, L.; Dong, S.; Gao, X.; Xu, Y.; Li, S.; Dong, Q.; Wessell, K. The plant interspecific association in the revegetated alpine grasslands determines the productivity stability of plant community across restoration time on Qinghai–Tibetan Plateau. Front. Plant Sci. 2022, 13, 850854. [Google Scholar] [CrossRef] [PubMed]
- Hu, E.C.; Wang, Z.; Li, Z.H.; Bao, H.; Hu, Y.N.; Liu, C.M. Characteristics of understory plant communities and their relationships with stand factors in three artificial shrub forests in the Mu Us Sandy Land. J. West China For. Sci. 2024, 53, 1–7. (In Chinese) [Google Scholar]
- Hu, E.C.; Wang, Z.; Li, Z.H.; Li, Z.F.; Dong, D.W.; Bao, H.; Gao, R.H. Understory plant diversity and its relationship with soil physicochemical properties in different artificial forests in the Mu Us Sandy Land. For. Res. 2024, 37, 174–181. (In Chinese) [Google Scholar]
- Liu, T.; Yan, S.; Su, Y.; Gao, X.; Li, Z.; Wang, X. Study on root morphology and quantitative characteristics of four shrub seedlings. J. Inn. Mong. For. Sci. Technol. 2020, 46, 8–12. (In Chinese) [Google Scholar]
- Li, H.; Shao, L.; Meng, R.; Meng, Z.; Yang, Y.; Li, X. Decadal effects of checkerboard barriers of Salix psammophila on soil grain size distribution and erodibility. Catena 2025, 259, 109411. [Google Scholar] [CrossRef]
- Lai, Z.; Jin, A.; Feng, W.; She, W.; Lang, T.; Liu, Z. Comparative Carbon Allocation and Soil Carbon Storage in Three Revegetated Shrublands in the Mu Us Desert. Forests 2025, 16, 586. [Google Scholar] [CrossRef]
- Kang, S.; Niu, J.; Zhang, Q.; Zhang, X.; Han, G.; Zhao, M. Niche differentiation is the underlying mechanism maintaining the relationship between community diversity and stability under grazing pressure. Glob. Ecol. Conserv. 2020, 24, e01246. [Google Scholar] [CrossRef]
- Hu, Y.; Wang, H.; Jia, H.; Pen, M.; Liu, N.; Wei, J.; Zhou, B. Ecological niche and interspecific association of plant communities in alpine desertification grasslands: A case study of Qinghai Lake Basin. Plants 2022, 11, 2724. [Google Scholar] [CrossRef]
- Han, M.; Guo, Y.; Zhang, C.; Qi, W.; Cheng, L.; Feng, Y.; Song, Y.; Yang, W. Multivariate analysis of soil particle size distribution and Spatial correlation with soil moisture characteristics in different vegetation types of Mu Us Sandy Land. Sci. Rep. 2025, 15, 25659. [Google Scholar] [CrossRef] [PubMed]
- Zhang, Q.; Jia, B.; Li, T.; Li, W. Research on the sustainability of “greening” process in the Mu Us Sandy Land based on the spatiotemporal stability of ecological land. PLoS ONE 2024, 19, e0292469. [Google Scholar] [CrossRef] [PubMed]
- Jia, F.; Lu, R.; Gao, S.; Li, J.; Liu, X. Holocene aeolian activities in the southeastern Mu Us Desert, China. Aeolian Res. 2015, 19, 267–274. [Google Scholar] [CrossRef]
- Sun, Z.; Mao, Z.; Yang, L.; Liu, Z.; Han, J.; Wanag, H.; He, W. Impacts of climate change and afforestation on vegetation dynamic in the Mu Us Desert, China. Ecol. Indic. 2021, 129, 108020. [Google Scholar] [CrossRef]
- Yu, X.; Huang, Y.; Li, E.; Li, X.; Guo, W. Effects of rainfall and vegetation to soil water input and output processes in the Mu Us Sandy Land, northwest China. Catena 2018, 161, 96–103. [Google Scholar] [CrossRef]
- Xuan, R.Z.; She, W.W.; Guo, Y.P.; Qin, H.; Qiao, Y.G.; Yuan, X.Y.; Qin, S.G.; Zhang, Y.Q. Effects of water and nitrogen addition on the functional diversity and ecosystem multifunctionality of Artemisia ordosica community in the Mu Us Desert. Acta Ecol. Sin. 2025, 45, 11831–11844. (In Chinese) [Google Scholar] [CrossRef]
- Meng, S.W.; Liu, L.P.; Liu, W.J.; Sagesa; Niuwurina; Wang, H.J.; Siqingbilige. Radial growth dynamics of Mongolian pine and itsrelationship with climatic factors in Mu Us Sandy Land, Inner Mongolia of northern China. J. Beijing For. Univ. 2025, 47, 10−18. (In Chinese) [Google Scholar]
- Zhang, Z.; Liu, Y.F.; Cui, Z.; Huang, Z.; Liu, Y.; Leite, P.A.; Zhao, J.; Wu, G.L. Shrub encroachment impaired the structure and functioning of alpine meadow communities on the Qinghai–Tibetan Plateau. Land Degrad. Dev. 2022, 33, 2454–2463. [Google Scholar] [CrossRef]
- Schluter, D. A variance test for detecting species associations, with some example applications. Ecology 1984, 65, 998–1005. [Google Scholar] [CrossRef]
- Hurlbert, S.H. A coefficient of interspecific assciation. Ecology 1969, 50, 1–9. [Google Scholar] [CrossRef]
- Chai, Z.; Sun, C.; Wang, D.; Liu, W. Interspecific associations of dominant tree populations in a virgin old-growth oak forest in the Qinling Mountains, China. Bot. Stud. 2016, 57, 23. [Google Scholar] [CrossRef] [PubMed]
- Liu, Q.; Zhang, Q.; Yan, Y.; Zhang, X.; Niu, J.; Svenning, J.-C. Ecological restoration is the dominant driver of the recent reversal of desertification in the Mu Us Desert (China). J. Clean. Prod. 2020, 268, 122241. [Google Scholar] [CrossRef]
- Wang, J.; Liu, J.J.; Liu, C.; Ding, X.Y.; Wang, Y. Species niche and interspecific associations alter flora structure along a fertilization gradient in an alpine meadow of Tianshan Mountain, Xinjiang. Ecol. Indic. 2023, 147, 109953. [Google Scholar] [CrossRef]
- Godron, M.; Daget, P.; Poissonet, J. Some aspects of heterogeneity in grasslands of Cantal. Stat. Ecol. 1972, 3, 397–415. [Google Scholar]






| Community Type | Abbreviation | Latin Name | Species Type | Importance Value (%) | Niche Width |
|---|---|---|---|---|---|
| understory herbaceous plant community of S. psammophila | Lc | Leymus chinensis | DS | 16.34 | 4.07 |
| Ao | Artemisia ordosica | DS | 19.18 | 3.6 | |
| Pt | Parthenocissus tricuspidata | DS | 14.13 | 3.27 | |
| Ct | Cynanchum thesioides | AS | 5.72 | 2.29 | |
| Ta | Teloxys aristata | DS | 13.4 | 2.27 | |
| Ip | Ixeris polycephala | AS | 2.33 | 2 | |
| Cs | Cleistogenes songorica | AS | 1.37 | 1.8 | |
| Gd | Grubovia dasyphylla | AS | 8.57 | 1.6 | |
| Sv | Setaria viridis | AS | 2.62 | 1.47 | |
| Aa | Aster altaicus | AS | 5.3 | 1 | |
| Ch | Corispermum hyssopifolium | AS | 2.27 | 1 | |
| Cc | Cynanchum chinense | AS | 1.71 | 1 | |
| Ck | Cynanchum komarovii | AS | 1.98 | 1 | |
| Tl | Thermopsis lanceolata | AS | 1.95 | 1 | |
| Ac | Asparagus cochinchinensis | AS | 0.32 | 1 | |
| Sb | Stipa breviflora | AS | 2.8 | 1 | |
| understory herbaceous plant community of A. ordosica | Ee | Euphorbia esula | DS | 32.59 | 3.12 |
| Pt | Parthenocissus tricuspidata | DS | 25.98 | 2.85 | |
| Ed | Elymus dahuricus | DS | 20.25 | 2.74 | |
| Sv | Setaria viridis | AS | 7.82 | 2.67 | |
| Gd | Grubovia dasyphylla | AS | 3.92 | 1.8 | |
| Ta | Teloxys aristata | AS | 2.78 | 1.47 | |
| Ct | Cynanchum thesioides | AS | 0.73 | 1 | |
| Cs | Cleistogenes songorica | AS | 4.06 | 1 | |
| Pte | Polygala tenuifolia | AS | 0.77 | 1 | |
| Sb | Stipa breviflora | AS | 1.09 | 1 | |
| understory herbaceous plant community of C. fruticosum | Gd | Grubovia dasyphylla | DS | 21.17 | 3.58 |
| Sv | Setaria viridis | AS | 6.68 | 3.52 | |
| Ao | Artemisia ordosica | DS | 20.32 | 2.88 | |
| Aa | Aster altaicus | DS | 14.12 | 2 | |
| Ch | Corispermum hyssopifolium | DS | 32.42 | 1.22 | |
| Cc | Cynanchum chinense | AS | 2.46 | 1 | |
| Ip | Ixeris polycephala | AS | 1.95 | 1 | |
| Sc | Silene conoidea | AS | 0.89 | 1 | |
| understory herbaceous plant community of A. fruticosa | Ch | Corispermum hyssopifolium | DS | 50.5 | 2.27 |
| Ct | Cynanchum thesioides | DS | 15.89 | 2 | |
| Pa | Phragmites australis | DS | 28.12 | 1.6 | |
| Cf | Corethrodendron fruticosum | AS | 5.49 | 1 |
| Community Type | ST2 | σT2 | Variance Ratio (VR) | df | Test Statistic (W) | χ2 Critical Value | p | Test Results |
|---|---|---|---|---|---|---|---|---|
| understory community of S. psammophila | 5.44 | 2.40 | 2.67 | 5 | 11.33 | (1.145, 11.071) | 0.025 | Significant positive association |
| understory community of A. ordosica | 4.24 | 1.76 | 2.41 | 5 | 12.05 | (1.145, 11.071) | 0.025 | Significant positive association |
| understory community of C. fruticosum | 2.16 | 1.28 | 1.69 | 5 | 8.44 | (1.145, 11.071) | 0.9 | Non-significant positive association |
| understory community of A. fruticosa | 0.64 | 0.88 | 0.73 | 5 | 3.64 | (1.145, 11.071) | 0.9 | Non-significant negative association |
| Community Type | Polynomial | R2 | Intersection Coordinates | Test Results | Euclidean Distance |
|---|---|---|---|---|---|
| understory community of S. psammophila | Y = −0.01X2 + 1.93X + 5.62 | 0.99 | 37.06, 62.94 | Unstable | 24.13 |
| understory community of A. ordosica | Y = −0.01X2 + 1.9X + 3.55 | 0.99 | 38.01, 61.99 | Unstable | 25.47 |
| understory community of C. fruticosum | Y = −0.01X2 + 2.04X−1.92 | 0.99 | 38.27, 61.73 | Unstable | 25.84 |
| understory community of A. fruticosa | Y = −0.01X2 + 1.47X + 3.13 | 0.97 | 42.85, 57.15 | Unstable | 32.31 |
| Species | Species B | |||
|---|---|---|---|---|
| Present | Absent | Total | ||
| Species A | Present | a | b | a + b |
| Absent | c | d | c + d | |
| Total | a + c | b + d | N = a + b + c + d | |
Disclaimer/Publisher’s Note: The statements, opinions and data contained in all publications are solely those of the individual author(s) and contributor(s) and not of MDPI and/or the editor(s). MDPI and/or the editor(s) disclaim responsibility for any injury to people or property resulting from any ideas, methods, instructions or products referred to in the content. |
© 2026 by the authors. Licensee MDPI, Basel, Switzerland. This article is an open access article distributed under the terms and conditions of the Creative Commons Attribution (CC BY) license.
Share and Cite
Ao, H.; Xu, H.; Mi, Y.; Wang, H.; Zhang, L.; Zhang, S.; Gao, H.; Li, S. Niche, Interspecific Association and Community Stability of Understory Vegetation in Artificial Sand-Fixing Forests of the Mu Us Sandy Land. Plants 2026, 15, 191. https://doi.org/10.3390/plants15020191
Ao H, Xu H, Mi Y, Wang H, Zhang L, Zhang S, Gao H, Li S. Niche, Interspecific Association and Community Stability of Understory Vegetation in Artificial Sand-Fixing Forests of the Mu Us Sandy Land. Plants. 2026; 15(2):191. https://doi.org/10.3390/plants15020191
Chicago/Turabian StyleAo, Huricha, Hongbin Xu, Yuqing Mi, Haibing Wang, Lei Zhang, Shengnan Zhang, Haiyan Gao, and Siqi Li. 2026. "Niche, Interspecific Association and Community Stability of Understory Vegetation in Artificial Sand-Fixing Forests of the Mu Us Sandy Land" Plants 15, no. 2: 191. https://doi.org/10.3390/plants15020191
APA StyleAo, H., Xu, H., Mi, Y., Wang, H., Zhang, L., Zhang, S., Gao, H., & Li, S. (2026). Niche, Interspecific Association and Community Stability of Understory Vegetation in Artificial Sand-Fixing Forests of the Mu Us Sandy Land. Plants, 15(2), 191. https://doi.org/10.3390/plants15020191

