Alpine Grassland Growth and Its Ecological Responses to Environmental Impacts: Insights from a Comprehensive Growth Index and SHAP-Based Analysis
Abstract
1. Introduction
2. Materials and Methods
2.1. Study Area
2.2. Data Collection
2.2.1. Remote Sensing Data
2.2.2. Vegetation Data
2.2.3. Environmental Datasets
2.3. Methodology
2.3.1. Vegetation Indices Calculation
2.3.2. Regression Analysis
2.3.3. Principal Component Analysis
2.3.4. Vegetation Growth Analysis
2.3.5. Combination of Machine Learning Models and SHAP
3. Results
3.1. CGI Model Construction
3.2. Spatiotemporal Dynamics and Trends of Alpine Grassland CGI
3.2.1. CGI Spatiotemporal Distribution
3.2.2. CGI Spatiotemporal Variation
3.3. Driving Factors of Alpine Grassland CGI
3.3.1. Machine Learning Models Construction
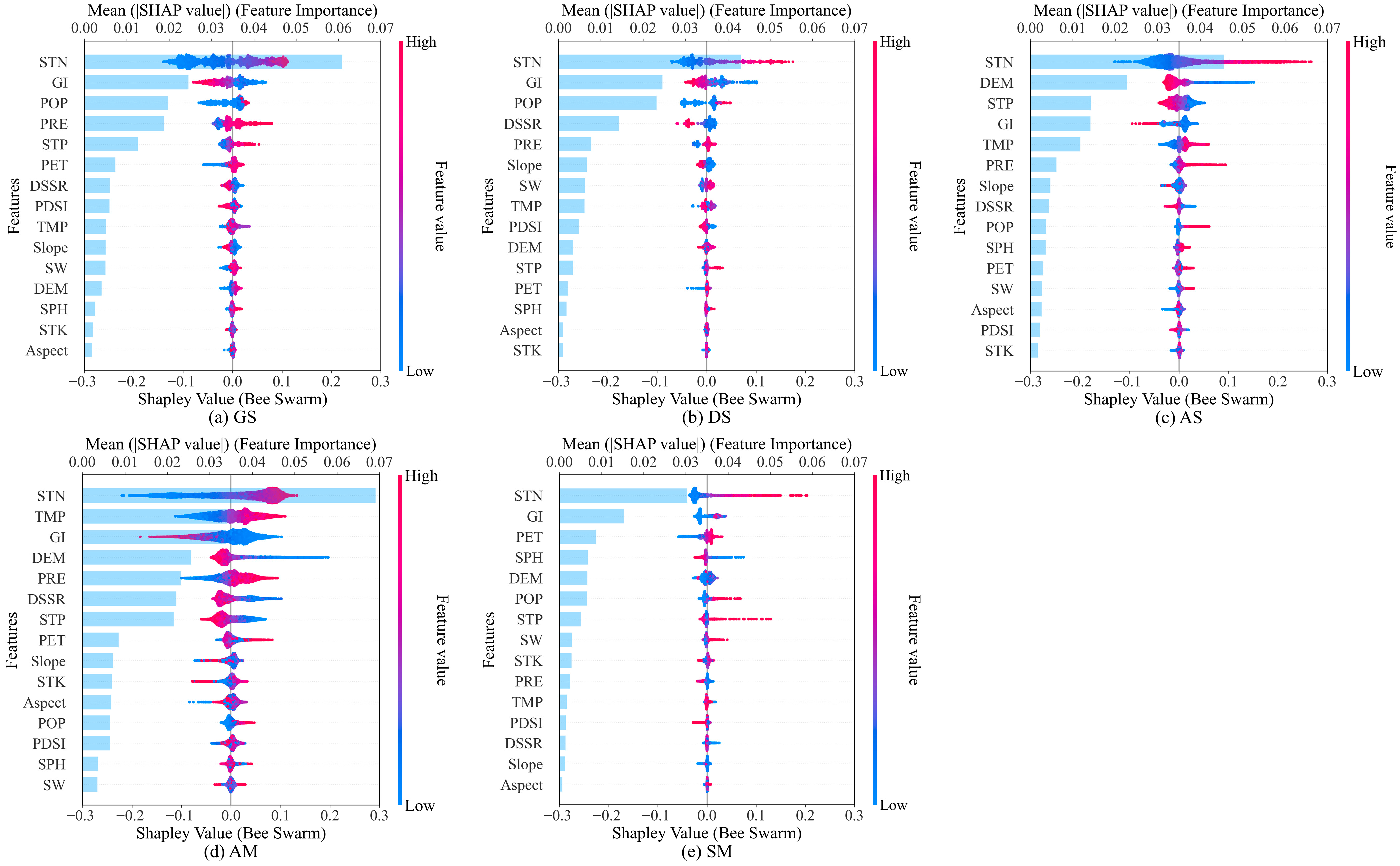
3.3.2. Key Environmental Factors Identification by SHAP
3.3.3. Dependence Between Key Driving Factors and CGI
4. Discussion
4.1. The Potential of the CGI Model in Alpine Grassland Growth Monitoring
4.2. The Spatiotemporal Variation in the Alpine Grassland Growth
4.3. The Heterogeneity of Environmental Factors Affecting the Alpine Grassland Growth
5. Conclusions
Author Contributions
Funding
Data Availability Statement
Conflicts of Interest
References
- Yan, L.; Li, Y.; Wang, L.; Zhang, X.; Wang, J.; Wu, H.; Yan, Z.; Zhang, K.; Kang, X. Grazing significantly increases root shoot ratio but decreases soil organic carbon in Qinghai-Tibetan Plateau grasslands: A hierarchical meta-analysis. Land Degrad. Dev. 2020, 31, 2369–2378. [Google Scholar] [CrossRef]
- Zhang, Z.; Zhao, Y.; Lin, H.; Li, Y.; Fu, J.; Wang, Y.; Sun, J.; Zhao, Y. Comprehensive analysis of grazing intensity impacts alpine grasslands across the Qinghai–Tibetan Plateau: A meta-analysis. Front. Plant Sci. 2023, 13, 1083709. [Google Scholar] [CrossRef] [PubMed]
- Zhang, Z.; Liu, Y.; Sun, J.; Wu, G.-L. Suitable duration of grazing exclusion for restoration of a degraded alpine meadow on the eastern Qinghai–Tibetan Plateau. Catena 2021, 207, 105582. [Google Scholar] [CrossRef]
- Chen, J.; Yan, F.; Lu, Q. Spatiotemporal Variation of Vegetation on the Qinghai–Tibet Plateau and the Influence of Climatic Factors and Human Activities on Vegetation Trend (2000–2019). Remote Sens. 2020, 12, 3150. [Google Scholar] [CrossRef]
- Rao, X.; Li, H.; Zhang, S.; Luo, M.; Liu, Z.; Zhang, J. Suitability analysis of remote sensing monitoring methods for grassland vegetation growth. Chin. J. Eco-Agric. 2021, 29, 2084–2092. (In Chinese) [Google Scholar] [CrossRef]
- Wang, Y.; Qin, R.; Cheng, H.; Liang, T.; Zhang, K.; Chai, N.; Gao, J.; Feng, Q.; Hou, M.; Liu, J.; et al. Can machine learning algorithms successfully predict grassland aboveground biomass? Remote Sens. 2022, 14, 3843. [Google Scholar] [CrossRef]
- Lin, X.; Chen, J.; Lou, P.; Yi, S.; Qin, Y.; You, H.; Han, X. Improving the estimation of alpine grassland fractional vegetation cover using optimized algorithms and multi-dimensional features. Plant Methods 2021, 17, 96. [Google Scholar] [CrossRef] [PubMed]
- Pettorelli, N.; Vik, J.O.; Mysterud, A.; Gaillard, J.-M.; Tucker, C.J.; Stenseth, N.C. Using the satellite-derived NDVI to assess ecological responses to environmental change. Trends Ecol. Evol. 2005, 20, 503–510. [Google Scholar] [CrossRef] [PubMed]
- Feng, X.; Tian, J.; Wu, J.; Wu, G.; Ren, Y.; He, C.; Bao, W.; Yu, T. Exploring the spatio-temporal distribution characteristics and the impacts of climate change and human activities on global grassland based on kNDVI. Environ. Res. 2025, 279, 121884. [Google Scholar] [CrossRef]
- Ma, C.; Xie, Y.; Duan, H.; Wang, X.; Bie, Q.; Guo, Z.; He, L.; Qin, W. Spatial quantification method of grassland utilization intensity on the Qinghai–Tibetan Plateau: A case study on the Selinco Basin. J. Environ. Manag. 2022, 302, 114073. [Google Scholar] [CrossRef]
- Xu, M.; Cao, C.; Tong, Q.; Li, Z.; Zhang, H.; He, Q.; Gao, M.; Zhao, J.; Zheng, S.; Chen, W.; et al. Remote sensing-based shrub above-ground biomass and carbon storage mapping in Mu Us Desert, China. Sci. China Technol. Sci. 2010, 53, 176–183. [Google Scholar] [CrossRef]
- Qi, J.; Huete, A.R.; Kerr, Y.H.; Sorooshian, S. A modified soil adjusted vegetation index. Remote Sens. Environ. 1994, 48, 119–126. [Google Scholar] [CrossRef]
- Gitelson, A.A.; Gritz, Y.; Merzlyak, M.N. Relationships between leaf chlorophyll content and spectral reflectance and algorithms for non-destructive chlorophyll assessment in higher plant leaves. J. Plant Physiol. 2003, 160, 271–282. [Google Scholar] [CrossRef]
- Vincini, M.; Frazzi, E. Comparing narrow- and broad-band vegetation indices to estimate leaf chlorophyll content in planophile crop canopies. Precis. Agric. 2011, 12, 334–344. [Google Scholar] [CrossRef]
- Gao, S.; Yan, K.; Liu, J.; Pu, J.; Zou, D.; Qi, J.; Mu, X.; Yan, G. Assessment of remote-sensed vegetation indices for estimating forest chlorophyll concentration. Ecol. Indic. 2024, 162, 112001. [Google Scholar] [CrossRef]
- Du, K.; Shao, Y.; Yao, N.; Yu, H.; Ma, S.; Mao, X.; Wang, L.; Wang, J. Alpine meadow fractional vegetation cover estimation using UAV-aided Sentinel-2 imagery. Sensors 2025, 25, 4506. [Google Scholar] [CrossRef]
- Fan, L.; Zhao, J.; Xu, X.; Liang, D.; Yang, G.; Feng, H.; Yang, H.; Wang, Y.; Chen, G.; Wei, P. Hyperspectral-based estimation of leaf nitrogen content in corn using optimal selection of multiple spectral variables. Sensors 2019, 19, 2898. [Google Scholar] [CrossRef] [PubMed]
- Fan, Y.; Feng, H.; Liu, Y.; Feng, H.; Yue, J.; Jin, X.; Chen, R.; Bian, M.; Ma, Y.; Yang, G. Transferability of models for predicting potato plant nitrogen content from remote sensing data and environmental variables across years and regions. Eur. J. Agron. 2024, 161, 127388. [Google Scholar] [CrossRef]
- Zhao, X.; Na, X. Study on remote sensing monitoring of crop growth based on comprehensive index: A case study of the Songnen Plain. Geogr. Geo-Inf. Sci. 2022, 38, 34–39. (In Chinese) [Google Scholar] [CrossRef]
- Li, Q.; Cheng, J.; Yan, J.; Zhang, G.; Ling, H. Comparison of satellite-derived vegetation indices for assessing vegetation dynamics in Central Asia. Water 2025, 17, 684. [Google Scholar] [CrossRef]
- Chen, B.; Zhang, X.; Tao, J.; Wu, J.; Wang, J.; Shi, P.; Zhang, Y.; Yu, C. The impact of climate change and anthropogenic activities on alpine grassland over the Qinghai–Tibet Plateau. Agric. For. Meteorol. 2014, 189–190, 11–18. [Google Scholar] [CrossRef]
- Yao, T.; Xue, Y.; Chen, D.; Chen, F.; Thompson, L.; Cui, P.; Koike, T.; Lau, W.K.M.; Lettenmaier, D.; Mosbrugger, V.; et al. Recent Third Pole’s rapid warming accompanies cryospheric melt and water cycle intensification and interactions between monsoon and environment. Bull. Am. Meteorol. Soc. 2019, 100, 423–444. [Google Scholar] [CrossRef]
- Liu, C.; Li, W.; Wang, W.; Zhou, H.; Liang, T.; Hou, F.; Xu, J.; Xue, P. Quantitative spatial analysis of vegetation dynamics and potential driving factors in a typical alpine region on the northeastern Tibetan Plateau using Google Earth Engine. Catena 2021, 206, 105500. [Google Scholar] [CrossRef]
- Xie, H.H.; Wu, Q.G.; Hu, J.Y.; Yu, L.F.; Bie, P.F.; Wang, H.; Deng, D.Z. Changes in soil physical and chemical properties during the process of alpine meadow degradation along the eastern Qinghai–Tibet Plateau. Eurasian Soil Sci. 2018, 51, 1440–1446. [Google Scholar] [CrossRef]
- Wu, X.; Liu, H.; Li, X.; Ciais, P.; Babst, F.; Guo, W.; Zhang, C.; Magliulo, V.; Pavelka, M.; Liu, S.; et al. Differentiating drought legacy effects on vegetation growth over the temperate Northern Hemisphere. Glob. Change Biol. 2018, 24, 504–516. [Google Scholar] [CrossRef]
- Wang, H.; Zhan, J.; Wang, C.; Liu, W.; Yang, Z.; Liu, H.; Bai, C. Greening or browning? Macro-variation and drivers of different vegetation types on the Qinghai–Tibetan Plateau from 2000 to 2021. Front. Plant Sci. 2022, 13, 1045290. [Google Scholar] [CrossRef]
- Xia, Z.; Liao, K.; Guo, L.; Wang, B.; Huang, H.; Chen, X.; Fang, X.; Zu, K.; Luo, Z.; Shen, F.; et al. Determining dominant factors of vegetation change with machine learning and multisource data in the Ganjiang River Basin, China. Land 2025, 14, 76. [Google Scholar] [CrossRef]
- Kolluru, V.; John, R.; Chen, J.; Xiao, J.; Amirkhiz, R.G.; Giannico, V.; Kussainova, M. Optimal ranges of social–environmental drivers and their impacts on vegetation dynamics in Kazakhstan. Sci. Total Environ. 2022, 847, 157562. [Google Scholar] [CrossRef] [PubMed]
- Qiao, Y.; Chen, H.; Jiang, Y. Quantifying the impacts of lithology on vegetation restoration using a random forest model in a karst trough valley, China. Ecol. Eng. 2020, 156, 105973. [Google Scholar] [CrossRef]
- Gao, G.; Feng, Q.; Xu, E.; Hao, Y.; Wang, R.; Jing, W.; Ren, X.; Shi, J.; Wu, B.; Wen, Y.; et al. Carbon dioxide and water exchanges of a Qinghai spruce forest ecosystem in the Qilian Mountains, Northwestern China. J. Hydrol. 2025, 662, 133987. [Google Scholar] [CrossRef]
- Zhang, X.; Wang, G.; Xue, B.; A, Y. Changes in vegetation cover and its influencing factors in the Inner Mongolia reach of the Yellow River Basin from 2001 to 2018. Environ. Res. 2022, 215, 114253. [Google Scholar] [CrossRef]
- Ming, L.; Wang, Y.; Liu, G.; Meng, L.; Chen, X. Analysis of vegetation dynamics from 2001 to 2020 in China’s Ganzhou rare earth mining area using time-series remote sensing and SHAP-enhanced machine learning. Ecol. Inform. 2024, 84, 102887. [Google Scholar] [CrossRef]
- Geng, Y.; Wang, Z.; Liang, C.; Fang, J.; Baumann, F.; Kühn, P.; Scholten, T.; He, J.S. Effect of geographical range size on plant functional traits and the relationships between plant, soil and climate in Chinese grasslands. Glob. Ecol. Biogeogr. 2012, 21, 416–427. [Google Scholar] [CrossRef]
- Simovic, I.; Ocokoljic, M.; Obratov-Petkovic, D.; Vilotic, D. Genetic variability of bilaterally symmetrical fruits of Norway maple in function of species biodiversity conservation. Turk. J. Agric. For. 2015, 39, 387–393. [Google Scholar] [CrossRef]
- Gao, F.; Anderson, M.C.; Zhang, X.; Yang, Z.; Alfieri, J.G.; Kustas, W.P.; Mueller, R.; Johnson, D.M.; Prueger, J.H. Toward mapping crop progress at field scales through fusion of Landsat and MODIS imagery. Remote Sens. Environ. 2017, 188, 9–25. [Google Scholar] [CrossRef]
- Hao, A.; Xue, X.; Peng, F.; You, Q.; Liao, J.; Duan, H.; Huang, C.; Dong, S. Different vegetation and soil degradation characteristics of a typical grassland in the Qinghai–Tibet Plateau. Acta Ecol. Sin. 2020, 40, 964–975. (In Chinese) [Google Scholar] [CrossRef]
- Dong, S.; Shang, Z.; Gao, J.; Boone, R. Enhancing sustainability of grassland ecosystems through ecological restoration and grazing management in an era of climate change on the Qinghai–Tibetan Plateau. Agric. Ecosyst. Environ. 2021, 287, 106684. [Google Scholar] [CrossRef]
- Wang, S.; Dai, E.; Jia, L.; Wang, Y.; Huang, A.; Liao, L.; Cai, L.; Fan, D. Assessment of multiple factors and interactions affecting grassland degradation on the Tibetan Plateau. Ecol. Indic. 2023, 154, 110509. [Google Scholar] [CrossRef]
- Kuang, X.; Jiao, J. Review on climate change on the Tibetan Plateau during the last half century. J. Geophys. Res. Atmos. 2016, 121, 3979–4007. [Google Scholar] [CrossRef]
- Cao, S.; He, Y.; Zhang, L.; Chen, Y.; Yang, W.; Yao, S.; Sun, Q. Spatiotemporal characteristics of drought and its impact on vegetation in Northwest China. Ecol. Indic. 2021, 133, 108420. [Google Scholar] [CrossRef]
- Huang, X.; Chen, C.; Yao, B.; Ma, Z.; Zhou, H. Spatiotemporal dynamics of the carbon budget and the response to grazing in Qinghai grasslands. Front. Plant Sci. 2021, 12, 775015. [Google Scholar] [CrossRef]
- Zhang, C.; Brodylo, D.; Rahman, M.; Rahman, M.A.; Douglas, T.A.; Comas, X. Using an object-based machine learning ensemble approach to upscale evapotranspiration measured from eddy covariance towers in a subtropical wetland. Sci. Total Environ. 2022, 831, 154969. [Google Scholar] [CrossRef]
- Xia, J.; Ma, M.; Liang, T.; Wu, C.; Yang, Y.; Zhang, L.; Zhang, Y.; Yuan, W. Estimates of grassland biomass and turnover time on the Tibetan Plateau. Environ. Res. Lett. 2018, 13, 014020. [Google Scholar] [CrossRef]
- Liu, J.; Huang, X.; He, X.; Shen, K. Estimation of grassland yield and carrying capacity in Qinghai Province based on MODIS data. Pratacult. Sci. 2018, 35, 2520–2529. (In Chinese) [Google Scholar] [CrossRef]
- Zhang, X. Vegetation Map of the People’s Republic of China (1:1,000,000); Geological Publishing House: Beijing, China, 2007. [Google Scholar]
- Wang, Q.; Moreno-Martínez, Á.; Muñoz-Marí, J.; Campos-Taberner, M.; Camps-Valls, G. Estimation of vegetation traits with kernel NDVI. ISPRS J. Photogramm. Remote Sens. 2023, 195, 408–417. [Google Scholar] [CrossRef]
- Huete, A.; Didan, K.; Miura, T.; Rodriguez, E.P.; Gao, X.; Ferreira, L.G. Overview of the radiometric and biophysical performance of the MODIS vegetation indices. Remote Sens. Environ. 2002, 83, 195–213. [Google Scholar] [CrossRef]
- Chen, Y.; Qiu, Y.; Zhang, Z.; Zhang, J.; Chen, C.; Han, J.; Liu, D. Estimating salt content of vegetated soil at different depths with Sentinel-2 data. PeerJ 2020, 8, e10585. [Google Scholar] [CrossRef] [PubMed]
- Akaike, H. Information theory and an extension of the maximum likelihood principle. In Selected Papers of Hirotugu Akaike; Parzen, E., Tanabe, K., Kitagawa, G., Eds.; Springer: New York, NY, USA, 1998; pp. 199–213. [Google Scholar]
- Cao, Y.; Qian, D.; Wang, C. Quantitative traceability study on the water quality driving forces across cities in the Xiang River Basin. Water Supply 2023, 23, 3761–3774. [Google Scholar] [CrossRef]
- Yan, M.; Lu, J.; Ma, Y.; Ma, C. Remote sensing evidence on marginality, fragmentation and spatiotemporal heterogeneity of vegetation evolution in the Yinshan Mountains (1984–2022). Ecol. Indic. 2025, 171, 113193. [Google Scholar] [CrossRef]
- Liaw, A.; Wiener, M. Classification and regression by RandomForest. R News 2002, 2, 18–22. [Google Scholar]
- Jia, Z.; Zhang, Z.; Cheng, Y.; Buhebaoyin; Borjigin, S.; Quan, Z. Grassland biomass spatiotemporal patterns and response to climate change in eastern Inner Mongolia based on XGBoost estimates. Ecol. Indic. 2024, 158, 111554. [Google Scholar] [CrossRef]
- Ke, G.; Meng, Q.; Finley, T.; Wang, T.; Chen, W.; Ma, W.; Ye, Q.; Liu, T.-Y. LightGBM: A highly efficient gradient boosting decision tree. In Proceedings of the 31st International Conference on Neural Information Processing Systems, Long Beach, CA, USA, 4–9 December 2017; pp. 3149–3157. [Google Scholar]
- Li, X.; Chen, J.; Chen, Z.; Lan, Y.; Ling, M.; Huang, Q.; Li, H.; Han, X.; Yi, S. Explainable machine learning-based fractional vegetation cover inversion and performance optimization: A case study of an alpine grassland on the Qinghai–Tibet Plateau. Ecol. Inform. 2024, 82, 102768. [Google Scholar] [CrossRef]
- Tang, Y.; Zhou, Y.; Cheng, M.; Sun, C. Comprehensive growth index (CGI): A comprehensive indicator from UAV-observed data for winter wheat growth monitoring. Agronomy 2023, 13, 2883. [Google Scholar] [CrossRef]
- Feng, H.; Tao, H.; Li, Z.; Yang, G.; Zhao, C. Comparison of UAV RGB imagery and hyperspectral remote sensing data for monitoring winter wheat growth. Remote Sens. 2022, 14, 3811. [Google Scholar] [CrossRef]
- Gu, H.; Xue, C.; Wang, G.; Lan, Y.; Wang, H.; Song, C. UAV-based multispectral inversion of integrated cotton growth. Agronomy 2024, 14, 2903. [Google Scholar] [CrossRef]
- McGonigle, T.P.; Turner, W.G. Grasslands and croplands have different microbial biomass carbon levels per unit of soil organic carbon. Agriculture 2017, 7, 57. [Google Scholar] [CrossRef]
- Dong, S.; Xu, Y.; Li, S.; Shen, H.; Yang, M.; Xiao, J. Restoration actions associated with payment for ecosystem services promote economic returns of alpine grasslands in China. J. Clean. Prod. 2024, 458, 142439. [Google Scholar] [CrossRef]
- Yang, F.; Xu, J.; Zhao, X.; Wang, X.; Xiong, Y. Assessment of the grassland ecological compensation policy in Qinghai, China. Agriculture 2022, 12, 1479. [Google Scholar] [CrossRef]
- Liu, M.; Bai, L.; Khan, H.S.; Li, H. Influence of grassland ecological compensation policy on herdsmen’s income and income gap. Agriculture 2023, 13, 775. [Google Scholar] [CrossRef]
- Shen, X.; An, R.; Feng, L.; Ye, N.; Zhu, L.; Li, M. Vegetation changes in the Three-River Headwaters Region of the Tibetan Plateau. Ecol. Indic. 2018, 93, 804–812. [Google Scholar] [CrossRef]
- Hao, A.; Duan, H.; Wang, X.; Zhao, G.; You, Q.; Peng, F.; Du, H.; Liu, F.; Li, C.; Lai, C.; et al. Different responses of alpine meadow and alpine steppe to climatic and anthropogenic disturbance on the Qinghai–Tibetan Plateau. Glob. Ecol. Conserv. 2021, 27, e01512. [Google Scholar] [CrossRef]
- Tang, L.; Sherman, R.; Liu, S.; Liu, Q.; Wang, X.; Su, X.; Zhang, Y.; Li, Y.; Wu, Y.; Zhao, H.; et al. Changes in vegetation composition and plant diversity with rangeland degradation in the alpine region of the Qinghai–Tibet Plateau. Rangel. J. 2015, 37, 107–117. [Google Scholar] [CrossRef]
- Zhao, Y.; Chen, H.; Sun, H.; Yang, F. Soil nutrients directly or indirectly affect desert ecosystem stability under drought stress in the Qaidam Basin. Plants 2024, 13, 1849. [Google Scholar] [CrossRef]
- Sun, L.; Li, H.; Wang, J.; Chen, Y.; Xiong, N.; Wang, Z.; Wang, J.; Xu, J. Impacts of climate change and human activities on NDVI on the Qinghai–Tibet Plateau. Remote Sens. 2023, 15, 587. [Google Scholar] [CrossRef]
- Nie, X.; Xiong, F.; Yang, L.; Li, C.; Zhou, G. Soil nitrogen storage, distribution, and controlling factors in shrublands of the northeastern Tibetan Plateau. Forests 2017, 8, 416. [Google Scholar] [CrossRef]
- Wang, X.; Wang, R.; Gao, J. Precipitation and soil nutrients determine the spatial variability of grassland productivity at large scales in China. Front. Plant Sci. 2022, 13, 996313. [Google Scholar] [CrossRef]
- Kou, D.; Yang, G.; Li, F.; Feng, X.; Zhang, D.; Mao, C.; Zhang, Q.; Peng, Y.; Ji, C.; Zhu, Q.; et al. Progressive nitrogen limitation across the Tibetan alpine permafrost region. Nat. Commun. 2020, 11, 3331. [Google Scholar] [CrossRef]
- Lv, S.; Huang, J.; Liu, H.; Ma, S. Grazing effects on species diversity across scales are related to grassland types. BMC Plant Biol. 2024, 24, 1103. [Google Scholar] [CrossRef]
- Hu, X.; Wang, Z.; Zhang, Y.; Gong, D.; Liu, L.; Li, K. Effectiveness of conservation measures based on assessment of grazing intensity in the Yellow River Source Region. Land 2025, 14, 813. [Google Scholar] [CrossRef]
- Li, Z.; Qu, H.; Li, L.; Zheng, J.; Wei, D.; Wang, F. Effects of climate change on vegetation dynamics on the Qinghai–Tibet Plateau: A causality analysis using empirical dynamic modeling. Heliyon 2023, 9, e16001. [Google Scholar] [CrossRef]
- Sun, J.; Qin, X.; Yang, J. Responses of vegetation dynamics of different alpine grassland types to temperature and precipitation on the Tibetan Plateau. Environ. Monit. Assess. 2015, 188, 20. [Google Scholar] [CrossRef] [PubMed]
- Zha, X.; Niu, B.; Li, M.; Duan, C. Increasing impact of precipitation on alpine grassland productivity over the last two decades on the Tibetan Plateau. Remote Sens. 2022, 14, 3430. [Google Scholar] [CrossRef]
- Li, C.; de Jong, R.; Schmid, B.; Wulf, H.; Schaepman, M.E. Changes in grassland cover and its spatial heterogeneity indicate degradation on the Qinghai–Tibetan Plateau. Ecol. Indic. 2020, 119, 106641. [Google Scholar] [CrossRef]
- Tang, Z.; Zhang, Y.; Lei, M.; Li, Z.; Zhao, G.; Chen, Y.; Zhu, W. Climate-driven effects on NPP in Tibetan Plateau alpine grasslands diminish with increasing elevation. Remote Sens. 2024, 16, 4754. [Google Scholar] [CrossRef]











| Data Type | Band/Index | Wavelength (nm) | Spatial/Temporal Resolution |
|---|---|---|---|
| MOD13Q1 | Red | 620–670 | 250 m/16 d |
| NIR | 841–876 | ||
| EVI | / | ||
| MOD09A1 | Red | 620–670 | 500 m/8 d |
| NIR | 841–876 | ||
| Blue | 459–479 | ||
| Green | 545–565 |
| Type | Year | Number_A | Number_B |
|---|---|---|---|
| AGB | 2005 | 747 | 202 |
| 2006 | 748 | 112 | |
| FVC | 2015 | 342 | 296 |
| 2016 | 561 | 484 |
| Environmental Factor | Resolution | Dataset | |
|---|---|---|---|
| Climate | Precipitation/PRE | 1000 m | China Precipitation, Mean Temperature, and Potential Evapotranspiration Dataset (monthly, 1901–2024), National Tibetan Plateau Data Center (TPDC), Third Pole Environment Data Center (https://data.tpdc.ac.cn). |
| Temperature/TMP | |||
| Potential evapotranspiration/PET | |||
| Downward surface shortwave radiation/DSSR Palmer drought severity index/PDSI | 4500 m | TerraClimate Dataset (monthly, 1958–2024), GEE (https://developers.google.com/earth-engine/datasets/catalog/IDAHO_EPSCOR_TERRACLIMATE, accessed on 26 July 2025). | |
| Topography | DEM | 30 m | Copernicus Global 30 m Digital Elevation Model (GLO-30 DEM), released by the European Space Agency (ESA), GEE (https://developers.google.com/earth-engine/datasets/catalog/COPERNICUS_DEM_GLO30, accessed on 26 July 2025). |
| Slope | |||
| Aspect | |||
| Soil | Soil total nitrogen/STN | 250 m | Basic Soil Property Dataset of High-Resolution China Soil Information Grids (2010–2018), National Tibetan Plateau Data Center (TPDC), Third Pole Environment Data Center (https://data.tpdc.ac.cn). |
| Soil total potassium/STK | |||
| Soil total phosphorus/STP | |||
| Soil PH/SPH | |||
| Soil water/SW | 0.1° | ERA5-Land Monthly Aggregated Dataset (Since 1950), GEE (https://developers.google.com/earth-engine/datasets/catalog/ECMWF_ERA5_LAND_MONTHLY_AGGR, accessed on 26 July 2025). | |
| Anthropogenic activity | Grazing intensity/GI | 250 m | Long-term High-resolution Grazing Intensity Dataset (yearly, 2001–2024), National Science and Technology Infrastructure of China (https://www.nesdc.org.cn/). |
| Population/POP | 1000 m | LandScan Global 1 km Population Dataset, ORNL, U.S. Department of Energy (yearly, 2000–2023), GEE (https://developers.google.com/earth-engine/datasets/catalog/projects_sat-io_open-datasets_ORNL_LANDSCAN_GLOBAL?hl=zh-cn, accessed on 26 July 2025). | |
| Index | Formula | Application |
|---|---|---|
| Kernel normalized difference vegetation index (kNDVI) | | Sensitive to canopy structural and biochemical properties (e.g., LAI and chlorophyll) and alleviates NDVI saturation [46]. |
| Enhanced vegetation index (EVI) | Enhances sensitivity under high-biomass conditions and reduces atmospheric effects [47]. | |
| Ratio vegetation index (RVI) | Effective for estimating shrub aboveground biomass in arid and semi-arid regions [11]. | |
| Modified soil-adjusted vegetation index (MSAVI) | Minimizes bare soil influence and highlights sparse vegetation [12]. | |
| Green chlorophyll index (GCI) | Sensitive to chlorophyll content [13]. | |
| Chlorophyll vegetation index (CVI) | Indicates chlorophyll content and canopy biochemical status [14]. | |
| Green normalized difference vegetation index (GNDVI) | Reflects chlorophyll content and is strongly associated with FVC in alpine meadows [15,16]. | |
| Normalized difference vegetation index green-blue (NDVIgreen-blue) | Sensitive to leaf nitrogen content based on green–blue spectral information [17]. |
| CGI Difference | Level |
|---|---|
| <−0.0503 | poor growth |
| −0.0503–−0.0082 | relatively poor growth |
| −0.0082–0.0339 | stable growth |
| 0.0339–0.0760 | relatively good growth |
| >0.0760 | good growth |
| β | Zc | Level |
|---|---|---|
| β < −0.0005 | Zc < −1.96 | significant decrease |
| β < −0.0005 | −1.96 ≤ Zc < 1.96 | slight decrease |
| −0.0005 ≤ β < 0.0005 | −1.96 ≤ Zc < 1.96 | stable |
| β ≥ 0.0005 | −1.96 ≤ Zc < 1.96 | slight increase |
| β ≥ 0.0005 | Zc ≥ 1.96 | significant increase |
| Model | Parameters | Scale |
|---|---|---|
| RF | max_depth | (5, 8) |
| min_samples_split | (2, 10) | |
| min_samples_leaf | (5, 15) | |
| XGBoost | learning_rate | (0.01, 0.1) |
| max_depth | (5, 8) | |
| subsample | (0.5, 0.9) | |
| min_child_weight | (10, 20) | |
| colsample_bytree | (0.2, 0.9) | |
| LightGBM | learning_rate | (0.01, 0.1) |
| max_depth | (5, 8) | |
| num_leaves | (10, 30) | |
| feature_fraction | (0.2, 0.9) |
| Vegetation Index Combination | Total Score |
|---|---|
| kNDVI, EVI, MSAVI, GNDVI, CVI | 14.8057 |
| kNDVI, MSAVI, GNDVI, CVI, RVI, GCI | 14.5179 |
| kNDVI, MSAVI, GNDVI, NDVIgreen-blue, CVI, RVI, GCI | 14.4377 |
| EVI, MSAVI, GNDVI, CVI, RVI, GCI | 14.3582 |
| MSAVI, GNDVI, CVI, RVI, GCI | 14.2688 |
| Year | Types | R2CGI | R2kNDVI | RMSECGI | RMSEkNDVI |
|---|---|---|---|---|---|
| 2022 | FVC | 0.2475 | 0.2286 | 19.7692 | 20.0160 |
| Grassland Type | Model | Training Set | Testing Set | ||||
|---|---|---|---|---|---|---|---|
| R2 | MAE | RMSE | R2 | MAE | RMSE | ||
| Gramineous Steppe | RF | 0.9482 | 0.0223 | 0.0312 | 0.9082 | 0.2907 | 0.0417 |
| XGBoost | 0.9767 | 0.0156 | 0.0209 | 0.9274 | 0.0261 | 0.0371 | |
| LightGBM | 0.9865 | 0.0118 | 0.0160 | 0.9275 | 0.0261 | 0.0371 | |
| Desert Steppe | RF | 0.9577 | 0.0161 | 0.0239 | 0.9157 | 0.0236 | 0.0379 |
| XGBoost | 0.9736 | 0.0136 | 0.0188 | 0.9427 | 0.0217 | 0.0313 | |
| LightGBM | 0.9609 | 0.0162 | 0.0229 | 0.9318 | 0.0233 | 0.0341 | |
| Alpine Steppe | RF | 0.9129 | 0.0222 | 0.0308 | 0.8952 | 0.0237 | 0.0339 |
| XGBoost | 0.9647 | 0.0143 | 0.0196 | 0.9358 | 0.0184 | 0.0265 | |
| LightGBM | 0.9597 | 0.0149 | 0.0209 | 0.9271 | 0.0195 | 0.0283 | |
| Alpine Meadow | RF | 0.8727 | 0.0394 | 0.0529 | 0.8617 | 0.0411 | 0.0553 |
| XGBoost | 0.9787 | 0.0164 | 0.0216 | 0.9306 | 0.0289 | 0.0392 | |
| LightGBM | 0.9530 | 0.0240 | 0.0321 | 0.9239 | 0.0303 | 0.041 | |
| Saline Meadow | RF | 0.9036 | 0.0131 | 0.0242 | 0.8356 | 0.0178 | 0.0326 |
| XGBoost | 0.9775 | 0.0076 | 0.0117 | 0.8629 | 0.0163 | 0.0297 | |
| LightGBM | 0.9984 | 0.0022 | 0.0031 | 0.857 | 0.0165 | 0.0303 | |
Disclaimer/Publisher’s Note: The statements, opinions and data contained in all publications are solely those of the individual author(s) and contributor(s) and not of MDPI and/or the editor(s). MDPI and/or the editor(s) disclaim responsibility for any injury to people or property resulting from any ideas, methods, instructions or products referred to in the content. |
© 2025 by the authors. Licensee MDPI, Basel, Switzerland. This article is an open access article distributed under the terms and conditions of the Creative Commons Attribution (CC BY) license.
Share and Cite
Li, Y.; Liu, Y.; Li, X.; Yan, J.; Du, Y.; Meng, Y.; Liu, J. Alpine Grassland Growth and Its Ecological Responses to Environmental Impacts: Insights from a Comprehensive Growth Index and SHAP-Based Analysis. Plants 2026, 15, 93. https://doi.org/10.3390/plants15010093
Li Y, Liu Y, Li X, Yan J, Du Y, Meng Y, Liu J. Alpine Grassland Growth and Its Ecological Responses to Environmental Impacts: Insights from a Comprehensive Growth Index and SHAP-Based Analysis. Plants. 2026; 15(1):93. https://doi.org/10.3390/plants15010093
Chicago/Turabian StyleLi, Yanying, Yongmei Liu, Xiaoyu Li, Junjuan Yan, Yuxin Du, Ying Meng, and Jianhong Liu. 2026. "Alpine Grassland Growth and Its Ecological Responses to Environmental Impacts: Insights from a Comprehensive Growth Index and SHAP-Based Analysis" Plants 15, no. 1: 93. https://doi.org/10.3390/plants15010093
APA StyleLi, Y., Liu, Y., Li, X., Yan, J., Du, Y., Meng, Y., & Liu, J. (2026). Alpine Grassland Growth and Its Ecological Responses to Environmental Impacts: Insights from a Comprehensive Growth Index and SHAP-Based Analysis. Plants, 15(1), 93. https://doi.org/10.3390/plants15010093

