Foliar Application of Bamboo-Derived Nano-Biochar Enhances Morphological and Biochemical Responses of Lettuce (Lactuca sativa L.) Under Salt Stress
Abstract
1. Introduction
2. Results
2.1. Characteristics and Physicochemical Properties of BC and n-BC
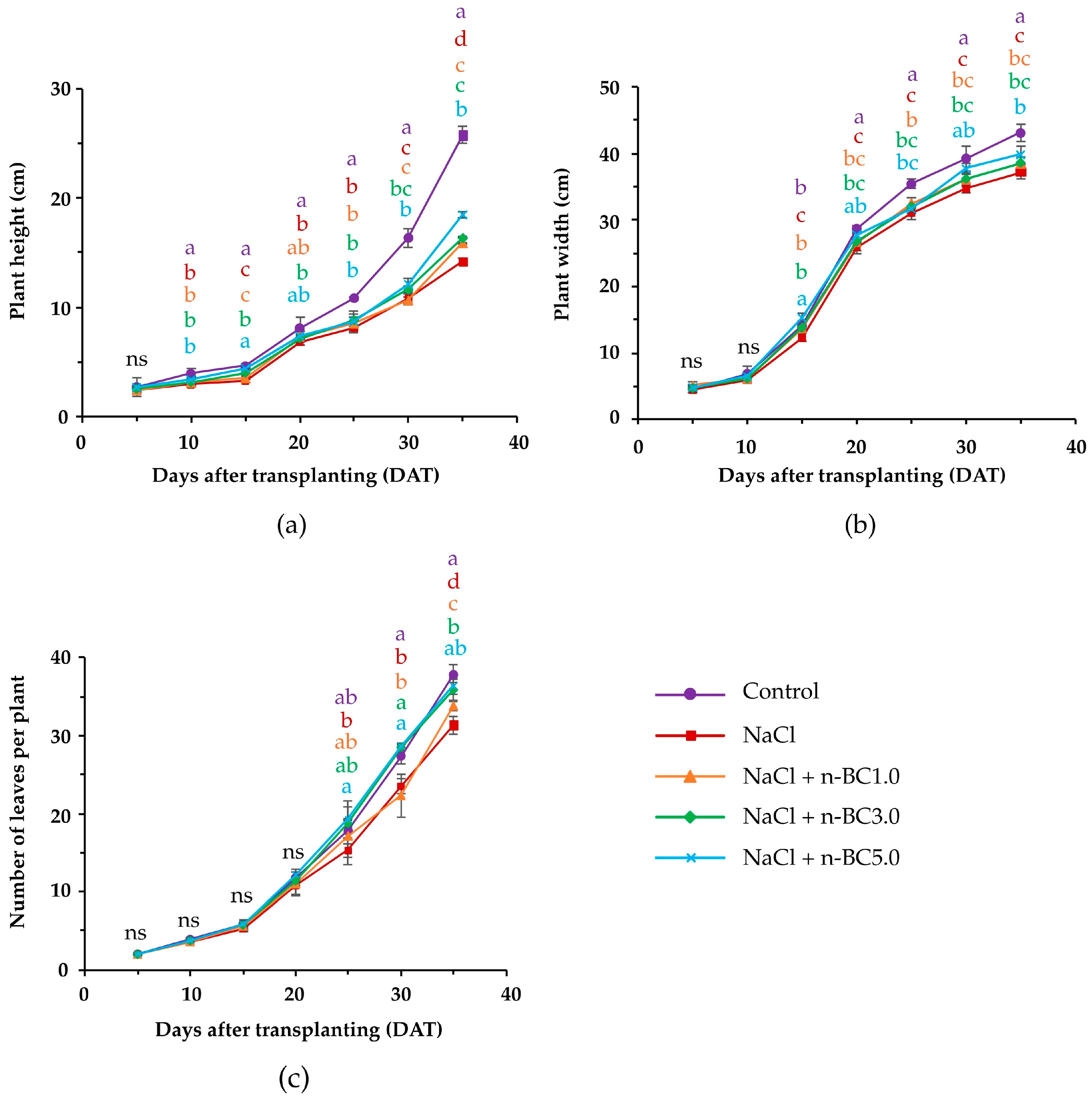
2.2. Morphological Attributes
2.3. Photosynthetic Pigment Contents
2.4. Cation Contents
2.5. Osmolytes, H2O2, and Malondialdehyde (MDA) Contents
2.6. Antioxidant Defense Systems
2.7. Principal Component Analysis (PCA)
3. Discussion
4. Materials and Methods
4.1. Preparation and Charactrization of BC and n-BC
4.2. Plant Materials and Experimental Design
4.3. Measurements of Morphological Attributes
4.4. Determination of Photosynthetic Pigment Content
4.5. Determination of Na+, K+, Ca2+, and Mg2+ Contents
4.6. Determination of Proline, Soluble Sugars, and Soluble Protein Contents
4.7. Determination of H2O2 and MDA Contents
4.8. Determination of Enzymatic Antioxidants
4.9. Determination of Non-Enzymatic Antioxidants and Their Activities
4.10. Statistical Analysis
5. Conclusions
Supplementary Materials
Author Contributions
Funding
Data Availability Statement
Acknowledgments
Conflicts of Interest
Abbreviations
| ABTS | 2,2′-azino-bis(3-ethylbenzothiazoline-6-sulfonic acid) |
| ANOVA | Analysis of variance |
| APX | Ascorbate peroxidase |
| BC | Biochar |
| CA | Cinnamic acid |
| Caro | Carotenoid |
| CAT | Catalase |
| CFA | Caffeic acid |
| Chla | Chlorophyll a |
| Chlb | Chlorophyll b |
| CGA | Chlorogenic acid |
| CRD | Completely randomized design |
| DAT | Day after transplanting |
| DE | Dry extract |
| DLS | Dynamic light scattering |
| DPPH | 2,2-diphenyl-1-picrylhydrazyl |
| DW | Dry weight |
| EC | Electrical conductivity |
| FA | Ferulic acid |
| FTIR | Fourier-transform infrared spectroscopy |
| GAE | Gallic acid equivalent |
| H2O2 | Hydrogen peroxide |
| H2SO4 | Sulfuric acid |
| HPLC | High-performance liquid chromatography |
| KI | Potassium iodide |
| LSD | Least significant difference |
| MDA | Malondialdehyde |
| n-BC | Nano-biochar |
| NPs | Nanoparticles |
| •O2− | Superoxide radical |
| PAL | Phenylalanine ammonia-lyase |
| PCA | Principal component analysis |
| p-CA | p-Coumaric acid |
| POD | Peroxidase |
| PVP | Polyvinylpyrrolidone |
| QE | Quercetin |
| QEq | Quercetin equivalent |
| ROS | Reactive oxygen species |
| RT | Rutin |
| SEM–EDS | Scanning electron microscopy with energy-dispersive X-ray spectroscopy |
| SiNPs | Silica nanoparticles |
| SOD | Superoxide dismutase |
| TBA | Tributylamine |
| TCA | Trichloroacetic acid |
| TChl | Total chlorophyll |
| TE | Trolox equivalent |
| TFC | Total flavonoid content |
| TPC | Total phenolic content |
References
- Kopecká, R.; Kameniarová, M.; Černý, M.; Brzobohatý, B.; Novák, J. Abiotic stress in crop production. Int. J. Mol. Sci. 2023, 24, 6603. [Google Scholar] [CrossRef] [PubMed]
- Zhang, L.; Miras-Moreno, B.; Yildiztugay, E.; Ozfidan-Konakci, C.; Arikan, B.; Elbasan, F.; Ak, G.; Rouphael, Y.; Zengin, G.; Lucini, L. Metabolomics and physiological insights into the ability of exogenously applied chlorogenic acid and hesperidin to modulate salt stress in lettuce distinctively. Molecules 2021, 26, 6291. [Google Scholar] [CrossRef]
- Ahmad, S.; Khan, S.A.; Hussain, A.; Zhang, L.; Alomrani, O.S.; Ahmad, A.; Al-Ghanim, K.A.; Alshehri, M.A.; Ali, S.; Sarker, P.K. Salt stress amelioration and nutrient strengthening in spinach (Spinacia oleracea L.) via biochar amendment and zinc fortification: Seed priming versus foliar application. Sci. Rep. 2024, 14, 15062. [Google Scholar] [CrossRef] [PubMed]
- Acosta-Motos, J.R.; Ortuño, M.F.; Bernal-Vicente, A.; Diaz-Vivancos, P.; Sanchez-Blanco, M.J.; Hernandez, J.A. Plant responses to salt stress: Adaptive mechanisms. Agronomy 2017, 7, 18. [Google Scholar] [CrossRef]
- Munns, R.; Tester, M. Mechanisms of Salinity Tolerance. Annu. Rev. Plant Biol. 2008, 59, 651–681. [Google Scholar] [CrossRef]
- Isayenkov, S.V.; Maathuis, F.J.M. Plant salinity stress: Many unanswered questions remain. Front. Plant Sci. 2019, 10, 80. [Google Scholar] [CrossRef] [PubMed]
- van Zelm, E.; Zhang, Y.; Testerink, C. Salt tolerance mechanisms of plants. Annu. Rev. Plant Biol. 2020, 29, 403–433. [Google Scholar] [CrossRef]
- Shahzadi, J.; Zaib-un-Nisa, A.N.; Ali1, N.; Iftikhar, M.; Shah, A.A.; Ashraf, M.Y.; Chao, C.; Shaffique, S.; Gatasheh, M.K. Foliar application of nano biochar solution elevates tomato productivity by counteracting the effect of salt stress insights into morphological physiological and biochemical indices. Sci. Rep. 2025, 15, 3205. [Google Scholar] [CrossRef]
- Dhuldhaj, U.P.; Shaikh, A.B.; Puri, J. Nano-biochar production and its characteristics: Overview. Int. J. Adv. Biol. Biomed. Res. 2022, 10, 206–220. [Google Scholar] [CrossRef]
- Li, P.; Yan, M.; Li, M.; Zhou, T.; Li, H.; Si, B. Migration rules and mechanisms of nano-biochar in soil columns under various transport conditions. Nanomaterials 2024, 14, 1035. [Google Scholar] [CrossRef]
- Aziz, S.; Uzair, B.; Ali, M.I.; Anbreen, S.; Umber, F.; Khalid, M.; Alaa, A.A.; Mishra, A.Y.; Mishra, V.; Serrano-Aroca, Á.; et al. Synthesis and characterization of nanobiochar from rice husk biochar for the removal of safranin and malachite green from water. Environ. Res. 2023, 238, 116909. [Google Scholar] [CrossRef] [PubMed]
- Ng, L.Y.F.; Ariffin, H.; Yasim-Anuar, T.A.T.; Farid, M.A.A.; Hassan, M.A. High-energy ball milling for high productivity of nanobiochar from oil palm biomass. Nanomaterials 2022, 12, 3251. [Google Scholar] [CrossRef] [PubMed]
- Yang, H.; Yang, J.; Liu, L.; Wang, B. Nano-biochar derived from bamboo biomass: A dual-functional material for electrochemical sensing of ferulic acid and adsorptive removal of surfactants in cosmetic wastewater. Int. J. Electrochem. Sci. 2025, 20, 100959. [Google Scholar] [CrossRef]
- Zha, Y.; Zhao, B.; Niu, T. Bamboo biochar and Zinc oxide nanoparticles improved the growth of maize (Zea mays L.) and decreased cadmium uptake in Cd-contaminated soil. Agriculture 2022, 12, 1507. [Google Scholar] [CrossRef]
- Alfei, S.; Pandoli, O.G. Bamboo-based biochar: A still too little-studied black gold and its current applications. J. Xenobiot. 2024, 14, 416–451. [Google Scholar] [CrossRef]
- Xue, N.; Anwar, S.; Shafiq, F.; Gul-e-Kainat; Ullah, K.; Zulqarnain, M.; Haider, I.; Ashraf, M. Nanobiochar application in combination with mulching improves metabolites and curd quality traits in cauliflower. Horticulturae 2023, 9, 687. [Google Scholar] [CrossRef]
- Khaliq, H.; Anwar, S.; Shafiq, F.; Ashraf, M.; Zhang, L.; Haider, I.; Khan, S. Interactive effects of soil and foliar-applied nanobiochar on growth, metabolites, and nutrient composition in Daucus carota. Plant Growth Regul. 2023, 42, 3715–3729. [Google Scholar] [CrossRef]
- Kumar, A.; Joseph, S.; Graber, E.R.; Taherymoosavi, S.; Mitchell, D.R.G.; Munroe, P.; Tsechansky, L.; Lerdahl, O.; Aker, W.; Sæbø, M. Fertilizing behavior of extract of organomineral-activated biochar: Low-dose foliar application for promoting lettuce growth. Chem. Biol. Technol. Agric. 2021, 8, 21. [Google Scholar] [CrossRef]
- Sultan, H.; Li, Y.; Ahmed, W.; Yixue, M.; Shah, A.; Faizan, M.; Ahmad, A.; Abbas, H.M.M.; Nie, L.; Khan, M.N. Biochar and nano biochar: Enhancing salt resilience in plants and soil while mitigating greenhouse gas emissions: A comprehensive review. J. Environ. Manag. 2024, 355, 120448. [Google Scholar] [CrossRef]
- Mehr-un-Nisa; Shafiq, F.; Anwar, S.; Mahmood, A.; Iabal, M.; Ullah, A.; Zulqarnain, M.; Haider, I.; Ashraf, M.; Zhang, L. Physiological effects of some engineered nanomaterials on radish (Raphanus sativus L.) intercropped with pea (Pisum sativum L.). Environ. Sci. Pollut. Res. 2023, 30, 78353–78366. [Google Scholar] [CrossRef]
- Shani, M.Y.; Ahmad, S.; Ashraf, M.Y.; Nawaz, M.; Arshad, I.; Anjum, A.; De Mastro, F.; Cocozza, C.; Khan, Z.; Gul, N.; et al. Nano-biochar suspension mediated alterations in growth, physio-biochemical activities and nutrient content in wheat (Triticum aestivum L.) at the vegetative stage. Plants 2024, 13, 2347. [Google Scholar] [CrossRef]
- Rasheed, A.; Anwar, S.; Shafiq, F.; Zaib-un-Nisa; Khan, S.; Ashraf, M. Physiological and biochemical effects of biochar nanoparticles on spinach exposed to salinity and drought stresses. Environ. Sci. Pollut. Res. 2024, 31, 14103–14122. [Google Scholar] [CrossRef]
- Raza, M.A.S.; Shah, A.N.; Shahid, M.A.; Nawaz, M.; Ibrahim, M.A.; Iqbal, R.; Aslam, M.U.; Ercisli, S.; Ali, Q. Nano-biochar enhances wheat crop productivity by vindicating the effects of drought: In relation to physiological and phenological stages. ACS Omega 2023, 8, 37808–37819. [Google Scholar] [CrossRef]
- Yousaf, W.; Shah, A.A.; Afzal, M.B.; Zaib-un-Nisa; Ali, N.; Ashraf, M.Y.; Elansary, H.O.; Ahmad, A. Supplementation of nano-biochar improved growth and physiological attributes in wheat seedlings exposed to salt stress through enhanced activity of hydrolysing and nitrogen metabolic enzymes and regulation of crucial metabolites. S. Afr. J. Bot. 2024, 167, 500–508. [Google Scholar] [CrossRef]
- Tourajzadeh, O.; Piri, H.; Naserin, A.; Cahri, M.M. Effect of nano biochar addition and deficit irrigation on growth, physiology and water productivity of quinoa plants under salinity conditions. Environ. Exp. Bot. 2024, 217, 105564. [Google Scholar] [CrossRef]
- Gan, P.; Chen, Y.; Li, Z.; Li, Y.; Liang, J.; Zhao, Z. Ferrihydrite-Biochar Augments Ecological Restoration in Reclaimed Coral Islands via Dual Pathways: Antioxidant System Stimulation and Microbial Metabolic Mediated C/N Cycling. Environ. Res. 2025, 286, 122979. [Google Scholar] [CrossRef] [PubMed]
- Simko, I.; Zhao, R.; Peng, H. Differential impact of SiO2 foliar application on lettuce response to temperature, salinity, and drought stress. Plants 2025, 14, 1845. [Google Scholar] [CrossRef]
- Santander, C.; Vidal, G.; Ruiz, A.; Vidal, C.; Cornejo, P. Salinity eustress in seaweeds creases the biosynthesis and accumulation of phenolic compounds that improve the functional and antioxidant quality of red lettuce. Agronomy 2022, 12, 598. [Google Scholar] [CrossRef]
- Chaturvedi, K.; Singhwane, A.; Dhangar, M.; Milli, M.; Gorhae, N.; Niak, N.; Prashant, N.; Srivastava, A.K.; Verma, M. Bamboo for producing charcoal and biochar for versatile applications. Biomass Convers. Biorefin. 2024, 14, 15159–15185. [Google Scholar] [CrossRef]
- Raczkiewicz, M.; Ostolska, I.; Mašek, O.; Oleszczuk, P. Effect of the pyrolysis conditions and type of feedstock on nanobiochars obtained as a result of ball milling. J. Clean. Prod. 2024, 458, 142456. [Google Scholar] [CrossRef]
- Freddo, A.; Cai, C.; Reid, B.J. Environmental contextualisation of potential toxic elements and polycyclic aromatic hydrocarbons in biochar. Environ. Pollut. 2012, 17, 18–24. [Google Scholar] [CrossRef]
- Lyu, H.; Gao, B.; He, F.; Zimmerman, A.R.; Ding, C.; Huang, H.; Tang, J. Effects of ball milling on the physicochemical and sorptive properties of biochar: Experimental observations and governing mechanisms. Environ. Pollut. 2018, 233, 54–63. [Google Scholar] [CrossRef]
- Pattnaik, D.; Kumar, S.; Bhuyan, S.K.; Mishra, S.C. Effect of carbonization temperatures on biochar formation of bamboo leaves. IOP Conf. Ser. Mater. Sci. Eng. 2018, 338, 012054. [Google Scholar] [CrossRef]
- Francioso, O.; Schiavon, M.; Nardi, S.; Castellani, D.; Ferrari, E.; Estrada, M.T.R.; della Lucia, M.C.; Zuffi, V.; Ertani, A. Mitigation of salt stress in Lactuca sativa L. var. Gentile Rossa using microalgae as priming agents. Plants 2024, 13, 3311. [Google Scholar] [CrossRef] [PubMed]
- Dong, X.; Sun, L.; Guo, J.; Liu, L.; Han, G.; Wang, B. Exogenous boron alleviates growth inhibition by NaCl stress by reducing Cl− uptake in sugar beet (Beta vulgaris). Plant Soil 2021, 464, 423–439. [Google Scholar] [CrossRef]
- Zhou, W.; Zheng, W.; Wang, W.; Lv, H.; Liang, B.; Li, J. Exogenous pig blood-derived protein hydrolysates as a promising method for alleviation of salt stress in tomato (Solanum lycopersicum L.). Sci. Hortic. 2022, 294, 110779. [Google Scholar] [CrossRef]
- Ramanayaka, S.; Kumar, M.; Etampawala, T.; Vithanage, M. Macro, colloidal and nanobiochar for oxytetracycline removal in synthetic hydrolyzed human urine. Environ. Pollut. 2020, 267, 115683. [Google Scholar] [CrossRef]
- Hong, J.; Wang, C.; Wagner, D.C.; Gardea-Torresdey, J.L.; He, F.; Rico, C.M. Foliar application of nanoparticles: Mechanisms of absorption, transfer, and multiple impacts. Environ. Sci. Nano 2021, 8, 1196–1210. [Google Scholar] [CrossRef]
- Wu, M.Y. Effects of incorporation of nano-carbon into slow-released fertilizer on rice yield and nitrogen loss in surface water of paddy soil. In Proceedings of the Third International Conference on Intelligent System Design and Engineering Applications, Hong Kong, China, 16–18 January 2013. [Google Scholar]
- Djanaguiraman, M.; Anbazhagan, V.; Dhankher, O.P.; Prasad, P.V.V. Uptake, translocation, toxicity, and impact of nanoparticles on plant physiological processes. Plants 2024, 13, 3137. [Google Scholar] [CrossRef]
- Zhao, Y.; Yu, H.; Zhou, J.M.; Smith, S.M.; Li, J. Malate circulation: Linking chloroplast metabolism to mitochondrial ROS. Trends Plant Sci. 2020, 25, 446–454. [Google Scholar] [CrossRef] [PubMed]
- Taïbi, K.; Taïbi, F.; Abderrahim, L.A.; Ennajah, A.; Belkhodja, M.; Mulet, J.M. Effect of salt stress on growth, chlorophyll content, lipid peroxidation and antioxidant defence systems in Phaseolus vulgaris L. S. Afr. J. Bot. 2016, 105, 306–312. [Google Scholar] [CrossRef]
- Murtaza, G.; Deng, G.; Usman, M.; Jamil, A.; Qasim, M.; Iqbal, J.; Ercisil, S.; Akrak, M.I.; Rizwan, M.; Elshikh, M.S.; et al. Impact of Acacia-derived biochar to mitigate salinity stress in Zea mays L. by morpho-physiological and biochemical indices. Sci. Rep. 2024, 14, 31883. [Google Scholar] [CrossRef]
- Akter, M.; Oue, H. Effect of saline irrigation on accumulation of Na+, K+, Ca2+, and Mg2+ ions in rice plants. Agriculture 2018, 8, 164. [Google Scholar] [CrossRef]
- Yang, Y.; Ye, C.; Zhao, M.; Li, J.; Zhang, X.; Yang, Z.; Yang, Z.; Algopishi, U.B.; Ahmed, W. Nanoparticles in sustainable agriculture: Enhancing nutrient use efficiency and abiotic stress resilience under climate change. Plant Stress 2025, 17, 100982. [Google Scholar] [CrossRef]
- Li, R.; Zhang, R.; Li, Y.; Liu, C.; Wang, P. Foliar uptake and distribution of metallic oxide nanoparticles in maize (Zea mays L.) leaf. Environ. Sci. Technol. 2024, 58, 16994–17003. [Google Scholar] [CrossRef] [PubMed]
- Fareed, S.; Haider, A.; Ramzan, T.; Ahmad, M.; Younis, A.; Zulfiqar, U.; Rehman, H.; Waraich, E.A.; Abbas, A.; Chaudhary, T.; et al. Investigating the growth promotion potential of biochar on pea (Pisum sativum) plants under saline conditions. Sci. Rep. 2024, 14, 10870. [Google Scholar] [CrossRef]
- Kaur, G.; Sanwal, S.K.; Kumar, A.; Pundir, R.K.; Yadav, M.; Sehrawat, N. Role of osmolytes dynamics in plant metabolism to cope with salinity induced osmotic stress. Discov. Agric. 2024, 2, 59. [Google Scholar] [CrossRef]
- Huang, M.; Yin, X.; Chen, J.; Cao, F. Biochar application mitigates the effect of heat stress on rice (Oryza sativa L.) by regulating the root-zone environment. Front. Plant Sci. 2021, 12, 711725. [Google Scholar] [CrossRef]
- Gill, S.; Ramzan, M.; Naz, G.; Danish, S.; Ansari, M.J.; Salmen, S.H. Effect of silicon nanoparticle-based biochar on wheat growth, antioxidants and nutrients concentration under salinity stress. Sci. Rep. 2024, 14, 6380. [Google Scholar] [CrossRef]
- Mehmood, H.M.; Ashraf, M.Y.; Almas, H.I.; Zaib-un-Nisa; Ali, N.; Khaliq, B.; Ansari, M.A.; Singh, R.; Gul, S. Synergistic effects of soil and foliar nano-biochar on growth, nitrogen metabolism and mineral uptake in wheat varieties. J. King Saud Univ. Sci. 2024, 36, 103392. [Google Scholar] [CrossRef]
- Alharbi, K.; Rashwan, E.; Mohamed, H.H.; Awadalla, A.; Omara, A.E.D.; Hafez, E.M.; Alshaal, T. Application of silica nanoparticles in combination with two bacterial strains improves the growth, antioxidant capacity and production of barley irrigated with saline water in salt-affected soil. Plants 2022, 11, 2026. [Google Scholar] [CrossRef]
- Al-Zahrani, H.S.; Alharby, H.F.; Hakeem, K.R.; Rehman, R.U. Exogenous application of zinc to mitigate the salt stress in Vigna radiata (L.) Wilczek—Evaluation of physiological and biochemical processes. Plants 2021, 10, 1005. [Google Scholar] [CrossRef]
- Wang, R.; Gao, M.; Ji, S.; Wang, S.; Meng, Y.; Zhou, Z. Carbon allocation, osmotic adjustment, antioxidant capacity and growth in cotton under long-term soil drought during flowering and boll-forming period. Plant Physiol. Biochem. 2016, 107, 137–146. [Google Scholar] [CrossRef]
- Borbély, P.; Iqbal, N.; Czékus, Z.; Tari, I.; Poór, P. Exogenous sodium nitroprusside alleviates salt-induced changes in photosynthesis of greenhouse tomato plants by leaf age-dependent manner. J. Plant Growth Regul. 2025, 44, 4556–4568. [Google Scholar] [CrossRef]
- Harakotr, B.; Trisiri, T.; Charoensup, L.; Thepsilvisut, O.; Rithichai, P.; Suwor, P.; Jirakiattikul, Y. Effects of protein hydrolysate derived from hempseed by-products on growth, mineral contents, and quality of greenhouse grown red oak lettuce. Horticulturae 2025, 11, 357. [Google Scholar] [CrossRef]
- El-Nakhel, C.; Pannico, A.; Kyriacou, M.C.; Giordano, M.; De Pascale, S.; Rouphael, Y. Macronutrient deprivation eustress elicits differential secondary metabolites in red and green-pigmented butterhead lettuce grown in a closed soilless system. J. Sci. Food Agric. 2019, 99, 6962–6972. [Google Scholar] [CrossRef]
- Soviguidi, D.R.J.; Pan, R.; Liu, Y.; Rao, L.; Zhang, W.; Yang, X. Chlorogenic acid metabolism: The evolution and roles in plant response to abiotic stress. Phyton Int. J. Exp. Bot. 2021, 91, 239–255. [Google Scholar] [CrossRef]
- Gulzar, N.; Kamili, A.N.; Shah, M.A. Silicon, the multifunctional element in reducing biotic and abiotic stress in plants. Int. Res. J. Plant Sci. 2021, 12, 1–9. [Google Scholar]
- Sepasi, M.; Iranbakhsh, A.; Saadatmand, S.; Ebadi, M.; Ardebili, Z.O. Silicon nanoparticles (SiNPs) stimulated secondary metabolism and mitigated toxicity of salinity stress in basil (Ocimum basilicum) by modulating gene expression: A sustainable approach for crop protection. Environ. Sci. Pollut. Res. 2024, 31, 16485–16496. [Google Scholar] [CrossRef]
- Lanqing, L.; Yue, X.; Keyan, C.; Jun, Z.; Min, W.; Wenqiang, W.; Zhifan, Z.; Fan, L.; Yadong, D.; Yinghao, F. Adsorption characteristics of ball milling-modified Chinese medicine residue biochar toward quercetin. ACS Omega 2024, 9, 11658–11670. [Google Scholar] [CrossRef]
- Rouphael, Y.; Carillo, P.; Garcia-Perez, P.; Cardarelli, M.; Senizza, B.; Miras-Moreno, B.; Colla, G.; Lucini, L. Plant biostimulants from seaweeds or vegetal proteins enhance the salinity tolerance in greenhouse lettuce by modulating plant metabolism in a distinctive manner. Sci. Hortic. 2022, 305, 111368. [Google Scholar] [CrossRef]
- Harakotr, B.; Srijunteuk, S.; Rithichai, P.; Tabunhan, S. Effects of light-emitting diode light irradiance levels on yield, antioxidants and antioxidant capacities of indigenous vegetable microgreens. Sci. Technol. Asia 2019, 4, 59–66. Available online: https://ph02.tci-thaijo.org/index.php/SciTechAsia/article/view/206350 (accessed on 9 May 2024).
- Lichtenthaler, H.K.; Wellburn, A.R. Determinations of total carotenoids and chlorophylls a and b of leaf extracts in different solvents. Biochem. Soc. Trans. 1983, 11, 591–592. [Google Scholar] [CrossRef]
- Bates, L.S.; Waldren, R.P.; Teare, I.D. Rapid determination of free proline for water-stress studies. Plant Soil 1973, 39, 205–207. [Google Scholar] [CrossRef]
- DuBois, M.; Gilles, K.A.; Hamilton, J.K.; Rebers, P.A.; Smith, F. Colorimetric method for determination of sugars and related substances. Anal. Chem. 1956, 28, 350–356. [Google Scholar] [CrossRef]
- Bradford, M.M. A rapid and sensitive method for the quantitation of microgram quantities of protein utilizing the principle of protein-dye binding. Anal. Biochem. 1976, 72, 248–254. [Google Scholar] [CrossRef]
- Billah, M.; Sajib, S.A.; Roy, N.C.; Rashid, M.M.; Reza, M.A.; Hasan, M.M.; Talukder, M.R. Effects of DBD air plasma treatment on the enhancement of black gram (Vigna mungo L.) seed germination and growth. Arch. Biochem. Biophys. 2020, 681, 108253. [Google Scholar] [CrossRef]
- da Silva, L.J.; Dias, D.C.F.D.S.; Sekita, M.C.; Finger, F.L. Lipid peroxidation and antioxidant enzymes of Jatropha curcas L. seeds stored at different maturity stages. Acta Sci. Agron. 2018, 40, e34978. [Google Scholar] [CrossRef]
- Heshmati, S.; Dehaghi, M.A.; Farooq, M.; Wojtyla, Ł.; Maleki, K.; Heshmati, S. Role of melatonin seed priming on antioxidant enzymes and biochemical responses of Carthamus tinctorius L. under drought stress conditions. Plant Stress 2021, 2, 100023. [Google Scholar] [CrossRef]
- Önder, S.; Önder, D.G.; Tonguç, M. Determination of hydrogen peroxide content and antioxidant enzyme activities in safflower (Carthamus tinctorius L.) seeds after accelerated aging test. J. Nat. Appl. Sci. 2020, 24, 681–688. [Google Scholar] [CrossRef]
- Zhang, S.Z.; Hua, B.Z.; Zhang, F. Induction of the activities of antioxidative enzymes and the levels of malondialdehyde in cucumber seedlings as a consequence of Bemisia tabaci (Hemiptera: Aleyrodidae) infestation. Arthropod-Plant Interact. 2008, 2, 209–213. [Google Scholar] [CrossRef]
- Jirakiattikul, Y.; Ruangnoo, S.; Sangmukdee, K.; Chamchusri, K.; Rithichai, P. Enhancement of plumbagin production through elicitation in in vitro-regenerated shoots of Plumbago indica L. Plants 2024, 13, 1450. [Google Scholar] [CrossRef] [PubMed]
- Folin, O.; Ciocalteu, V. On tyrosine and tryptophane determinations in proteins. J. Biol. Chem. 1927, 73, 627–650. [Google Scholar] [CrossRef]
- Kubola, J.; Siriamornpun, S.; Meeso, N. Phytochemicals, vitamin C and sugar content of Thai wild fruits. Food Chem. 2011, 126, 972–981. [Google Scholar] [CrossRef]
- Re, R.; Pellegrini, N.; Proteggente, A.; Pannala, A.; Yang, M.; Rice-Evans, C. Antioxidant activity applying an improved ABTS radical cation decolorization assay. Free Radic. Biol. Med. 1999, 26, 1231–1237. [Google Scholar] [CrossRef] [PubMed]
- Brand-Williams, W.; Cuvelier, M.E.; Berset, C. Use of a free radical method to evaluate antioxidant activity. LWT Food Sci. Technol. 1995, 28, 25–30. [Google Scholar] [CrossRef]





| Treatments 1 | Shoot | Root | ||||||
|---|---|---|---|---|---|---|---|---|
| Fresh Weight (g) | % | Dry Weight (g) | % | Fresh Weight (g) | % | Dry Weight (g) | % | |
| Control | 87.84 ± 5.82 a 2 | 100 | 3.29 ± 0.08 b | 100 | 7.27 ± 0.53 bc | 100 | 0.33 ± 0.01 c | 100 |
| NaCl | 60.50 ± 4.32 d | 69 | 2.78 ± 0.13 c | 84 | 5.67 ± 0.36 d | 78 | 0.26 ± 0.02 d | 78 |
| NaCl + n-BC1.0 | 71.14 ± 4.36 bc | 81 | 3.79 ± 0.10 a | 115 | 6.76 ± 0.45 c | 93 | 0.37 ± 0.03 b | 112 |
| NaCl + n-BC3.0 | 73.90 ± 3.39 b | 84 | 3.85 ± 0.22 a | 117 | 8.77 ± 0.48 a | 120 | 0.46 ± 0.02 a | 139 |
| NaCl + n-BC5.0 | 65.65 ± 3.69 cd | 75 | 3.69 ± 0.14 a | 112 | 7.51 ± 0.49 b | 103 | 0.38 ± 0.01 b | 115 |
| C.V. (%) | 6.13 | 4.13 | 6.43 | 5.08 | ||||
| Treatments 1 | Chlorophyll a | Chlorophyll b | Total Chlorophyll | Carotenoid |
|---|---|---|---|---|
| Control | 39.62 ± 0.07 c 2 | 15.72 ± 0.02 a | 55.34 ± 0.06 c | 3.59 ± 0.03 a |
| NaCl | 39.64 ± 0.05 c | 15.60 ± 0.02 c | 55.24 ± 0.05 d | 3.39 ± 0.03 d |
| NaCl + n-BC1.0 | 39.69 ± 0.01 bc | 15.66 ± 0.03 bc | 55.35 ± 0.03 c | 3.44 ± 0.02 c |
| NaCl + n-BC3.0 | 39.85 ± 0.03 a | 15.69 ± 0.06 ab | 55.54 ± 0.06 a | 3.52 ± 0.02 b |
| NaCl + n-BC5.0 | 39.75 ± 0.03 b | 15.68 ± 0.03 ab | 55.42 ± 0.02 b | 3.50 ± 0.01 b |
| C.V. (%) | 0.44 | 0.36 | 0.45 | 4.04 |
| Treatments 1 | Na+ | K+ | Na+/K+ | Ca2+ | Mg2+ |
|---|---|---|---|---|---|
| Control | 0.39 ± 0.04 d 2 | 6.09 ± 0.71 a | 0.63 ± 0.01 e | 1.36 ± 0.05 a | 0.36 ± 0.01 a |
| NaCl | 2.31 ± 0.12 a | 2.29 ± 0.11 d | 1.01 ± 0.06 a | 0.28 ± 0.04 e | 0.27 ± 0.02 d |
| NaCl + n-BC1.0 | 2.00 ± 0.06 b | 2.64 ± 0.12 d | 0.76 ± 0.06 b | 0.57 ± 0.02 d | 0.30 ± 0.01 c |
| NaCl + n-BC3.0 | 1.75 ± 0.04 c | 3.88 ± 0.24 c | 0.44 ± 0.02 c | 0.99 ± 0.06 b | 0.34 ± 0.01 ab |
| NaCl + n-BC5.0 | 1.73 ± 0.09 c | 5.00 ± 0.01 b | 0.35 ± 0.02 d | 0.74 ± 0.11 c | 0.33 ± 0.02 b |
| C.V. (%) | 4.62 | 8.61 | 7.30 | 8.04 | 3.89 |
| Treatments 1 | Osmolyte Contents (mg g−1 DW) | H2O2 (µmol g−1 DW) | MDA (µmol g−1 DW) | ||
|---|---|---|---|---|---|
| Proline | Total Soluble Sugar | Total Soluble Protein | |||
| Control | 2.92 ± 0.07 d 2 | 2.23 ± 0.02 e | 8.23 ± 0.39 c | 6.91 ± 0.59 d | 8.77 ± 0.61 b |
| NaCl | 3.86 ± 0.06 c | 2.50 ± 0.01 d | 10.70 ± 1.98 c | 25.19 ± 1.50 a | 10.00 ± 0.61 a |
| NaCl + n-BC1.0 | 4.77 ± 0.05 b | 3.81 ± 0.01 b | 16.56 ± 2.76 b | 13.48 ± 2.56 b | 9.59 ± 0.28 ab |
| NaCl + n-BC3.0 | 5.43 ± 0.18 a | 5.39 ± 0.02 a | 30.81 ± 1.96 a | 6.20 ± 0.52 d | 6.93 ± 0.67 c |
| NaCl + n-BC5.0 | 4.43 ± 0.04 b | 3.65 ± 0.01 b | 17.39 ± 1.42 b | 10.45 ± 0.59 c | 6.95 ± 0.38 c |
| C.V. (%) | 2.23 | 0.42 | 11.18 | 11.22 | 7.34 |
| Treatments 1 | APX | CAT | SOD |
|---|---|---|---|
| Control | 6.45 ± 0.21 d 2 | 3.52 ± 0.47 c | 31.67 ± 2.53 d |
| NaCl | 12.99 ± 0.17 c | 6.51 ± 0.78 b | 37.75 ± 0.90 cd |
| NaCl + n-BC1.0 | 13.39 ± 0.81 c | 7.36 ± 1.46 b | 40.59 ± 1.68 bc |
| NaCl + n-BC3.0 | 22.19 ± 1.83 a | 9.20 ± 0.76 a | 46.52 ± 1.52 a |
| NaCl + n-BC5.0 | 19.61 ± 0.11 b | 9.32 ± 0.68 a | 42.26 ± 1.18 b |
| CV. (%) | 6.05 | 21.16 | 4.81 |
| Treatments 1 | TPC | TFC | Antioxidant Activities (mg TE g−1 DE) | |
|---|---|---|---|---|
| (mg GAE g−1 DE) | (mg QEq g−1 DE) | ABTS | DPPH | |
| Control | 5.41 ± 0.61 d 2 | 45.66 ± 2.51 d | 8.13 ± 0.90 d | 16.68 ± 2.33 d |
| NaCl | 6.66 ± 0.47 c | 51.36 ± 1.29 c | 11.90 ± 0.35 c | 18.88 ± 1.53 d |
| NaCl + n-BC1.0 | 10.03 ± 0.50 b | 61.83 ± 3.32 b | 14.18 ± 0.78 b | 21.24 ± 0.72 c |
| NaCl + n-BC3.0 | 12.23 ± 0.83 a | 67.22 ± 3.38 a | 16.40 ± 0.86 a | 29.42 ± 0.51 a |
| NaCl + n-BC5.0 | 9.09 ± 0.75 b | 66.98 ± 1.71 a | 15.52 ± 0.28 a | 26.38 ± 1.32 b |
| C.V. (%) | 8.62 | 4.91 | 6.01 | 7.35 |
| Treatments 1 | CGA 2 | CFA | FA | p-CA | CA | RT | QE |
|---|---|---|---|---|---|---|---|
| Control | 7.32 ± 2.10 c 3 | 0.99 ± 0.14 c | 1.14 ± 0.30 b | 0.61 ± 0.01 d | 0.33 ± 0.03 c | 1.17 ± 0.10 c | 1.03 ± 0.11 |
| NaCl | 8.78 ± 0.64 bc | 2.28 ± 0.17 b | 1.50 ± 0.33 b | 0.79 ± 0.05 c | 0.46 ± 0.05 b | 1.48 ± 0.15 b | 1.01 ± 0.08 |
| NaCl + n-BC1.0 | 9.07 ± 0.61 b | 2.45 ± 0.40 b | 1.90 ± 0.19 a | 0.84 ± 0.04 bc | 0.49 ± 0.04 ab | 1.71 ± 0.20 a | 1.08 ± 0.04 |
| NaCl + n-BC3.0 | 10.96 ± 0.77 a | 2.84 ± 0.25 a | 2.26 ± 0.20 a | 0.95 ± 0.01 a | 0.58 ± 0.09 a | 1.80 ± 0.20 a | n.d. 4 |
| NaCl + n-BC5.0 | 9.13 ± 0.43 b | 2.42 ± 0.23 b | 2.20 ± 0.14 a | 0.85 ± 0.03 b | 0.56 ± 0.05 a | 1.73 ± 0.08 a | n.d. |
| C.V. (%) | 12.02 | 11.56 | 13.38 | 4.09 | 10.13 | 9.69 | 4.09 |
| Variables | PC1 (54.29%) | PC2 (37.38%) | Variables | PC1 (54.29%) | PC2 (37.38%) |
|---|---|---|---|---|---|
| Plant height | 0.64 | 0.72 | Total soluble protein | −0.69 | −0.17 |
| Plant width | 0.14 | 0.68 | H2O2 | 0.20 | −0.94 |
| Number of leaves per plant | 0.01 | 0.73 | MDA | 0.57 | −0.64 |
| Shoot fresh weight | 0.55 | 0.72 | APX | −0.96 | 0.04 |
| Shoot dry weight | −0.59 | 0.56 | CAT | −0.90 | −0.07 |
| Root fresh weight | −0.36 | 0.76 | SOD | −0.95 | −0.05 |
| Root dry weight | −0.55 | 0.61 | TPC | −0.92 | 0.09 |
| Chla | −0.84 | 0.25 | TFC | −0.92 | 0.13 |
| Chlb | 0.08 | 0.78 | ABTS | −0.97 | 0.03 |
| TChl | −0.68 | 0.59 | DPPH | −0.89 | 0.25 |
| Caro | 0.20 | 0.90 | CGA | −0.93 | −0.18 |
| Na+ | −0.57 | −0.79 | CFA | −0.88 | −0.35 |
| K+ | 0.33 | 0.89 | FA | −0.88 | 0.09 |
| Na+/K+ | −0.19 | −0.97 | p-CA | −0.95 | −0.20 |
| Ca2+ | 0.26 | 0.91 | CA | −0.85 | −0.07 |
| Mg2+ | 0.06 | 0.96 | RT | −0.84 | −0.11 |
| Proline | −0.88 | 0.30 | QE | 0.77 | −0.43 |
| Total soluble sugar | −0.91 | 0.23 |
Disclaimer/Publisher’s Note: The statements, opinions and data contained in all publications are solely those of the individual author(s) and contributor(s) and not of MDPI and/or the editor(s). MDPI and/or the editor(s) disclaim responsibility for any injury to people or property resulting from any ideas, methods, instructions or products referred to in the content. |
© 2025 by the authors. Licensee MDPI, Basel, Switzerland. This article is an open access article distributed under the terms and conditions of the Creative Commons Attribution (CC BY) license.
Share and Cite
Harakotr, B.; Taebuanhuad, S.; Jirakiattikul, Y.; Puangchick, T. Foliar Application of Bamboo-Derived Nano-Biochar Enhances Morphological and Biochemical Responses of Lettuce (Lactuca sativa L.) Under Salt Stress. Plants 2026, 15, 9. https://doi.org/10.3390/plants15010009
Harakotr B, Taebuanhuad S, Jirakiattikul Y, Puangchick T. Foliar Application of Bamboo-Derived Nano-Biochar Enhances Morphological and Biochemical Responses of Lettuce (Lactuca sativa L.) Under Salt Stress. Plants. 2026; 15(1):9. https://doi.org/10.3390/plants15010009
Chicago/Turabian StyleHarakotr, Bhornchai, Sompop Taebuanhuad, Yaowapha Jirakiattikul, and Thanpisit Puangchick. 2026. "Foliar Application of Bamboo-Derived Nano-Biochar Enhances Morphological and Biochemical Responses of Lettuce (Lactuca sativa L.) Under Salt Stress" Plants 15, no. 1: 9. https://doi.org/10.3390/plants15010009
APA StyleHarakotr, B., Taebuanhuad, S., Jirakiattikul, Y., & Puangchick, T. (2026). Foliar Application of Bamboo-Derived Nano-Biochar Enhances Morphological and Biochemical Responses of Lettuce (Lactuca sativa L.) Under Salt Stress. Plants, 15(1), 9. https://doi.org/10.3390/plants15010009

