Plant Species Diversity Improves Soil Physicochemical Traits and Modulates Soil Microbial Community Structure, with a Pronounced Enhancement of Fungal Diversity in Urban Forests
Abstract
1. Introduction
2. Results
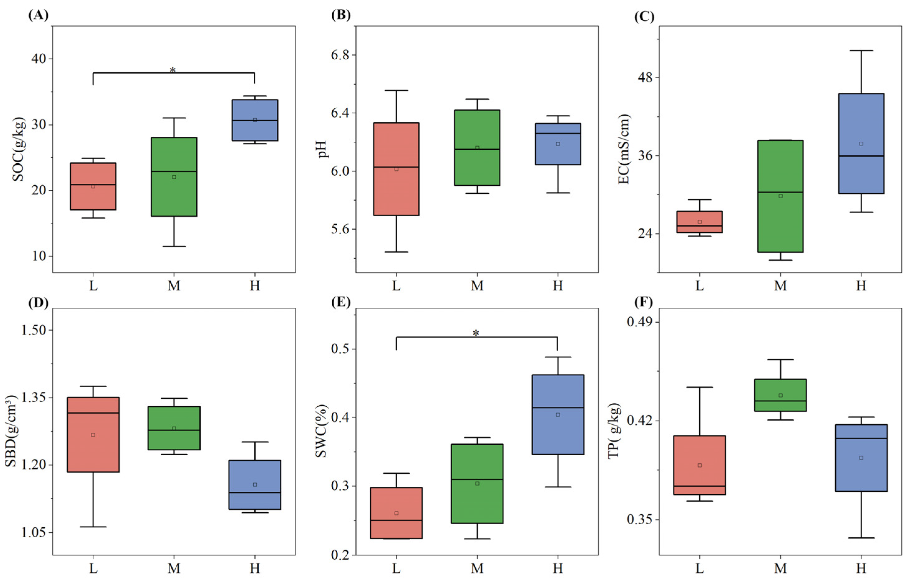
2.1. Soil Physicochemical Properties Among Different Levels of Plant Species Diversity
2.2. Effects of Plant Species Diversity on Soil Microbial Community Composition and Diversity
2.2.1. Effects of Plant Species Diversity on Soil Microbial OTU Composition
2.2.2. Soil Microbial Community Composition and Functional Potential Characteristics Under Different Levels of Plant Species Diversity
2.2.3. Effects of Plant Species Diversity on Soil Microbial Community Diversity Indices
2.3. Significance Tests for Soil Bacteria and Fungi Under Different Levels of Plant Species Diversity
2.4. Interaction Analysis of Soil Bacteria, Fungi, and Soil Physicochemical Properties
2.4.1. Correlation Heatmap Analysis
2.4.2. Mantel Test Heatmap Analysis
2.4.3. PLS-PM Analysis
3. Discussion
3.1. Effects of Plant Species Diversity on Soil Properties
3.2. Effects of Plant Species Diversity on Soil Microbial Community Structure
3.3. Interaction Mechanisms Between Soil Physicochemical Properties and Soil Microorganisms
4. Materials and Methods
4.1. Study Area
4.2. Experimental Design
4.3. Determination of Soil Physicochemical Properties
4.4. Determination of Soil Microbial
4.5. Data Analysis
5. Conclusions
Author Contributions
Funding
Data Availability Statement
Conflicts of Interest
Abbreviations
| ACE | Abundance-based Coverage Estimator |
| COG | Clusters of Orthologous Groups of proteins |
| DBH | Diameter at Breast Height |
| EC | Electrical Conductivity |
| FUNGuild | Fungal Functional Guild |
| LSD | Least Significant Difference |
| OTUs | Operational Taxonomic Units |
| PLS-PM | Partial Least Squares Path Modeling |
| PE | Paired-End |
| 16S rDNA | 16S Ribosomal Deoxyribonucleic Acid |
| SBD | Soil Bulk Density |
| SOC | Soil Organic Carbon |
| SOM | Soil Organic Matter |
| SWC | Soil Water Content |
| TP | Total Phosphorus |
References
- Cardinale, B.J.; Duffy, J.E.; Gonzalez, A.; Hooper, D.U.; Perrings, C.; Venail, P.; Narwani, A.; Mace, G.M.; Tilman, D.; Wardle, D.A.; et al. Biodiversity loss and its impact on humanity. Nature 2012, 486, 59–67. [Google Scholar] [CrossRef] [PubMed]
- Bennett, J.A.; Koch, A.M.; Forsythe, J.; Johnson, N.C.; Tilman, D.; Klironomos, J.; Gessner, M. Resistance of soil biota and plant growth to disturbance increases with plant diversity. Ecol. Lett. 2019, 23, 119–128. [Google Scholar] [CrossRef]
- Decaëns, T. Macroecological patterns in soil communities. Glob. Ecol. Biogeogr. 2010, 19, 287–302. [Google Scholar] [CrossRef]
- Shen, C.; Wang, J.; Jing, Z.; Qiao, N.-H.; Xiong, C.; Ge, Y. Plant diversity enhances soil fungal network stability indirectly through the increase of soil carbon and fungal keystone taxa richness. Sci. Total Environ. 2022, 818, 151737. [Google Scholar] [CrossRef]
- Hector, A.; Schmid, B.; Beierkuhnlein, C.; Caldeira, M.C.; Diemer, M.; Dimitrakopoulos, P.G.; Finn, J.A.; Freitas, H.; Giller, P.S.; Good, J.; et al. Plant Diversity and Productivity Experiments in European Grasslands. Science 1999, 286, 1123–1127. [Google Scholar] [CrossRef]
- Bardgett, R.D.; van der Putten, W.H. Belowground biodiversity and ecosystem functioning. Nature 2014, 515, 505–511. [Google Scholar] [CrossRef]
- Gessner, M.O.; Swan, C.M.; Dang, C.K.; McKie, B.G.; Bardgett, R.D.; Wall, D.H.; Hättenschwiler, S. Diversity meets decomposition. Trends Ecol. Evol. 2010, 25, 372–380. [Google Scholar] [CrossRef]
- Hui, N.; Jumpponen, A.; Francini, G.; Kotze, D.J.; Liu, X.; Romantschuk, M.; Strömmer, R.; Setälä, H. Soil microbial communities are shaped by vegetation type and park age in cities under cold climate. Environ. Microbiol. 2017, 19, 1281–1295. [Google Scholar] [CrossRef] [PubMed]
- Wang, M.M.; Cui, J.; Teng, Z. Soil bacterial community characteristics and influencing factors in the major forest stands of shushan urban forest park. J. Northwest For. Univ. 2024, 39, 176–186. [Google Scholar] [CrossRef]
- Bais, H.P.; Weir, T.L.; Perry, L.G.; Gilroy, S.; Vivanco, J.M. The Role of Root Exudates in Rhizosphere Interactions with Plants and Other Organisms. Annu. Rev. Plant Biol. 2006, 57, 233–266. [Google Scholar] [CrossRef]
- Chari, N.R.; Taylor, B.N. Soil organic matter formation and loss are mediated by root exudates in a temperate forest. Nat. Geosci. 2022, 15, 1011–1016. [Google Scholar] [CrossRef]
- Ali, A.; Dai, D.; Akhtar, K.; Teng, M.; Yan, Z.; Urbina-Cardona, N.; Mullerova, J.; Zhou, Z. Response of understory vegetation, tree regeneration, and soil quality to manipulated stand density in a Pinus massoniana plantation. Glob. Ecol. Conserv. 2019, 23, 119–128. [Google Scholar] [CrossRef]
- Huang, F.; Tu, J.; Zhang, F.; Ran, J.; Wang, Y.; Liu, W.; Chen, W.; Wang, X.; Wang, Q. Soil health assessment of urban forests in Nanchang, China: Establishing a minimum data set model. Soil Biol. Biochem. 2025, 206, 1–10. [Google Scholar] [CrossRef]
- Meng, X.Y.; Fan, S.X.; Dong, L.; Kong, X.Y.; Wang, M.M.; Li, K.; Wang, W.L. Correlation between understory plant diversity and soil factors in beijing urban forests. J. Northeast. For. Univ. 2023, 51, 102–114. [Google Scholar] [CrossRef]
- Zhang, X.; Du, W.; Bai, L.D.; Xu, Y.; Wang, Y.L. Microbial diversity and function of understory soil in baotou labor park. J. Inn. Mong. Agric. Univ. (Nat. Sci. Ed.) 2023, 44, 60–65. [Google Scholar] [CrossRef]
- Delgado-Baquerizo, M.; Reich, P.B.; Trivedi, C.; Eldridge, D.J.; Abades, S.; Alfaro, F.D.; Bastida, F.; Berhe, A.A.; Cutler, N.A.; Gallardo, A.; et al. Multiple elements of soil biodiversity drive ecosystem functions across biomes. Nat. Ecol. Evol. 2020, 4, 210–220. [Google Scholar] [CrossRef] [PubMed]
- Dassen, S.; Cortois, R.; Martens, H.; de Hollander, M.; Kowalchuk, G.A.; van der Putten, W.H.; De Deyn, G.B. Differential responses of soil bacteria, fungi, archaea and protists to plant species richness and plant functional group identity. Mol. Ecol. 2017, 26, 4085–4098. [Google Scholar] [CrossRef]
- Zhou, T.; Liang, G.; Reich, P.B.; Delgado-Baquerizo, M.; Wang, C.; Zhou, Z. Promoting effect of plant diversity on soil microbial functionality is amplified over time. One Earth 2024, 7, 2139–2148. [Google Scholar] [CrossRef]
- Lange, M.; Eisenhauer, N.; Sierra, C.A.; Bessler, H.; Engels, C.; Griffiths, R.I.; Mellado-Vázquez, P.G.; Malik, A.A.; Roy, J.; Scheu, S.; et al. Plant diversity increases soil microbial activity and soil carbon storage. Nat. Commun. 2015, 6, 6707. [Google Scholar] [CrossRef]
- Tilman, D.; Reich, P.B.; Knops, J.; Wedin, D.; Mielke, T.; Lehman, C. Diversity and productivity in a long-term grassland experiment. Science 2001, 294, 843–845. [Google Scholar] [CrossRef]
- Sun, W.; Li, Q.; Qiao, B.; Jia, K.; Li, C.; Zhao, C. Advances in Plant–Soil Feedback Driven by Root Exudates in Forest Ecosystems. Forests 2024, 15, 515. [Google Scholar] [CrossRef]
- Zhang, P.; Dong, Y.; Guo, Y.; Wang, C.; Wang, G.; Ma, Z.; Zhou, W.; Zhang, D.; Ren, Z.; Wang, W. Urban forest soil is becoming alkaline under rapid urbanization: A case study of Changchun, northeast China. Catena 2023, 224, 1–11. [Google Scholar] [CrossRef]
- Jiang, K.; Zhang, Q.; Wang, Y.; Li, H.; Yang, Y.; Reyimu, T. The Combination of Plant Diversity and Soil Microbial Diversity Directly and Actively Drives the Multifunctionality of Grassland Ecosystems in the Middle Part of the Northern Slopes of the Tian Shan under Grazing Disturbance. Sustainability 2023, 15, 5673. [Google Scholar] [CrossRef]
- Monaco, P.; Baldoni, A.; Naclerio, G.; Scippa, G.S.; Bucci, A. Impact of Plant–Microbe Interactions with a Focus on Poorly Investigated Urban Ecosystems—A Review. Microorganisms 2024, 12, 1276. [Google Scholar] [CrossRef]
- Sferra, G.; Montagnoli, A.; Bucci, A.; Monaco, P.; Agosto, G.; Trupiano, D.; Naclerio, G.; Chiatante, D.; Scippa, G.S. An integrated perspective on the interactions between Quercus cerris fine roots and microbial community in top- and sub-layers of urban rhizosphere. Plant Biosyst.—Int. J. Deal. All Asp. Plant Biol. 2025, 159, 1630–1648. [Google Scholar] [CrossRef]
- Ji, R.Q.; Zhou, J.J.; Ma, S.Y.; Kasuerman; Yang, X.; Yu, L. Investigation on Symbiotic Fungi in Roots of Coniferous Forests in Jingyuetan National Forest Park. J. Fungal Res. 2020, 18, 154–161. [Google Scholar] [CrossRef]
- Segata, N.; Izard, J.; Waldron, L.; Gevers, D.; Miropolsky, L.; Garrett, W.S.; Huttenhower, C. Metagenomic biomarker discovery and explanation. Genome Biol. 2011, 12, R60. [Google Scholar] [CrossRef]
- Dai, Z.; Zang, H.; Chen, J.; Fu, Y.; Wang, X.; Liu, H.; Shen, C.; Wang, J.; Kuzyakov, Y.; Becker, J.N.; et al. Metagenomic insights into soil microbial communities involved in carbon cycling along an elevation climosequences. Environ. Microbiol. 2021, 23, 4631–4645. [Google Scholar] [CrossRef]
- Porazinska, D.L.; Farrer, E.C.; Spasojevic, M.J.; Bueno de Mesquita, C.P.; Sartwell, S.A.; Smith, J.G.; White, C.T.; King, A.J.; Suding, K.N.; Schmidt, S.K. Plant diversity and density predict belowground diversity and function in an early successional alpine ecosystem. Ecology 2018, 99, 1942–1952. [Google Scholar] [CrossRef] [PubMed]
- Hoch, J.M.K.; Rhodes, M.E.; Shek, K.L.; Dinwiddie, D.; Hiebert, T.C.; Gill, A.S.; Salazar Estrada, A.E.; Griffin, K.L.; Palmer, M.I.; McGuire, K.L. Soil Microbial Assemblages Are Linked to Plant Community Composition and Contribute to Ecosystem Services on Urban Green Roofs. Front. Ecol. Evol. 2019, 7, 198. [Google Scholar] [CrossRef]
- Wagg, C.; Bender, S.F.; Widmer, F.; van der Heijden, M.G.A. Soil biodiversity and soil community composition determine ecosystem multifunctionality. Proc. Natl. Acad. Sci. USA 2014, 111, 5266–5270. [Google Scholar] [CrossRef] [PubMed]
- Xiang, J.; Gu, J.; Wang, G.; Bol, R.; Yao, L.; Fang, Y.; Zhang, H. Soil pH controls the structure and diversity of bacterial commnities along elevational gradients on Huangshan, China. Eur. J. Soil Biol. 2024, 120, 103586. [Google Scholar] [CrossRef]
- Gillespie, L.M.; Fromin, N.; Milcu, A.; Buatois, B.; Pontoizeau, C.; Hättenschwiler, S. Higher tree diversity increases soil microbial resistance to drought. Commun. Biol. 2020, 3, 377. [Google Scholar] [CrossRef]
- Fierer, N.; Craine, J.M.; Mclauchlan, K.; Schimel, J.P. Litter Quality and the Temperature Sensitivity of Decomposition. Ecology 2005, 86, 320–326. [Google Scholar] [CrossRef]
- van der Heijden, M.G.A.; Bardgett, R.D.; van Straalen, N.M. The unseen majority: Soil microbes as drivers of plant diversity and productivity in terrestrial ecosystems. Ecol. Lett. 2008, 11, 296–310. [Google Scholar] [CrossRef] [PubMed]
- Domeignoz-Horta, L.A.; Shinfuku, M.; Junier, P.; Poirier, S.; Verrecchia, E.; Sebag, D.; DeAngelis, K.M. Direct evidence for the role of microbial community composition in the formation of soil organic matter composition and persistence. ISME Commun. 2021, 1, 64. [Google Scholar] [CrossRef]
- Six, J.; Frey, S.D.; Thiet, R.K.; Batten, K.M. Bacterial and Fungal Contributions to Carbon Sequestration in Agroecosystems. Soil Sci. Soc. Am. J. 2006, 70, 555–569. [Google Scholar] [CrossRef]
- Liang, C.; Amelung, W.; Lehmann, J.; Kästner, M. Quantitative assessment of microbial necromass contribution to soil organic matter. Glob. Change Biol. 2019, 25, 3578–3590. [Google Scholar] [CrossRef]
- Lauber, C.L.; Hamady, M.; Knight, R.; Fierer, N. Pyrosequencing-Based Assessment of Soil pH as a Predictor of Soil Bacterial Community Structure at the Continental Scale. Appl. Environ. Microbiol. 2009, 75, 5111–5120. [Google Scholar] [CrossRef]
- Prober, S.M.; Leff, J.W.; Bates, S.T.; Borer, E.T.; Firn, J.; Harpole, W.S.; Lind, E.M.; Seabloom, E.W.; Adler, P.B.; Bakker, J.D.; et al. Plant diversity predicts beta but not alpha diversity of soil microbes across grasslands worldwide. Ecol. Lett. 2014, 18, 85–95. [Google Scholar] [CrossRef]
- Pennekamp, F.; Pontarp, M.; Tabi, A.; Altermatt, F.; Alther, R.; Choffat, Y.; Fronhofer, E.A.; Ganesanandamoorthy, P.; Garnier, A.; Griffiths, J.I.; et al. Biodiversity increases and decreases ecosystem stability. Nature 2018, 563, 109–112. [Google Scholar] [CrossRef]
- Shen, C.; Wang, J.; He, J.-Z.; Yu, F.-H.; Ge, Y. Plant Diversity Enhances Soil Fungal Diversity and Microbial Resistance to Plant Invasion. Appl. Environ. Microbiol. 2021, 818, 151737. [Google Scholar] [CrossRef]
- Domeignoz-Horta, L.A.; Cappelli, S.L.; Shrestha, R.; Gerin, S.; Lohila, A.K.; Heinonsalo, J.; Nelson, D.B.; Kahmen, A.; Duan, P.; Sebag, D.; et al. Plant diversity drives positive microbial associations in the rhizosphere enhancing carbon use efficiency in agricultural soils. Nat. Commun. 2024, 15, 8065. [Google Scholar] [CrossRef] [PubMed]
- Shen, C.; Xiong, J.; Zhang, H.; Feng, Y.; Lin, X.; Li, X.; Liang, W.; Chu, H. Soil pH drives the spatial distribution of bacterial communities along elevation on Changbai Mountain. Soil Biol. Biochem. 2013, 57, 204–211. [Google Scholar] [CrossRef]
- Jeanbille, M.; Buée, M.; Bach, C.; Cébron, A.; Frey-Klett, P.; Turpault, M.P.; Uroz, S. Soil Parameters Drive the Structure, Diversity and Metabolic Potentials of the Bacterial Communities Across Temperate Beech Forest Soil Sequences. Microb. Ecol. 2015, 71, 482–493. [Google Scholar] [CrossRef] [PubMed]
- Schimel, J.; Balser, T.C.; Wallenstein, M. Microbial stress-response physiology and its implications for ecosystem function. Ecology 2007, 88, 1386–1394. [Google Scholar] [CrossRef]
- Bastida, F.; Torres, I.F.; Andrés-Abellán, M.; Baldrian, P.; López-Mondéjar, R.; Větrovský, T.; Richnow, H.H.; Starke, R.; Ondoño, S.; García, C.; et al. Differential sensitivity of total and active soil microbial communities to drought and forest management. Glob. Change Biol. 2017, 23, 4185–4203. [Google Scholar] [CrossRef]
- De Vries, F.T.; Griffiths, R.I.; Bailey, M.; Craig, H.; Girlanda, M.; Gweon, H.S.; Hallin, S.; Kaisermann, A.; Keith, A.M.; Kretzschmar, M.; et al. Soil bacterial networks are less stable under drought than fungal networks. Nat. Commun. 2018, 9, 3033. [Google Scholar] [CrossRef]
- Delgado-Baquerizo, M.; Maestre, F.T.; Reich, P.B.; Jeffries, T.C.; Gaitan, J.J.; Encinar, D.; Berdugo, M.; Campbell, C.D.; Singh, B.K. Microbial diversity drives multifunctionality in terrestrial ecosystems. Nat. Commun. 2016, 7, 10541. [Google Scholar] [CrossRef]
- Fierer, N.; Jackson, R.B. The diversity and biogeography of soil bacterial communities. Proc. Natl. Acad. Sci. USA 2006, 103, 626–631. [Google Scholar] [CrossRef]
- Sun, D.; Niu, Y.; Yu, M.; Tian, W. The Conception of Ecotourism Development in Jingyuetan National Forest Park. J. Northeast. For. Univ. 2001, 29, 57–60. [Google Scholar] [CrossRef]
- Ji, Y.H.; Wang, L.J.; Sun, C.B.; Huang, Y.S.; Li, Y.J. The Lung of Changchun-Jingyuetan, the Largest Urban Forest Park in Asia. J. Chin. Urban For. 2004, 18, 28–31. [Google Scholar]
- Shi, L.; Yuli, Y.; Wei, X. Analysis and Evaluation on the Climate Resources of Tourism in Jingyuetan National Forest Park. J. Northeast. For. Univ. 2005, 33, 87–89. [Google Scholar] [CrossRef]
- Meng, X.; Fan, S.; Dong, L.; Li, K.; Li, X. Response of Understory Plant Diversity to Soil Physical and Chemical Properties in Urban Forests in Beijing, China. Forests 2023, 14, 571. [Google Scholar] [CrossRef]
- Bao, S.D. Soil Agrochemical Analysis; China Agricultural Press: Beijing, China, 2000. [Google Scholar]
- Shi, S.; Kumar, S.; Young, S.; Maclean, P.; Jauregui, R. Evaluation of 16S rRNA gene primer pairs for bacterial community profiling in an across soil and ryegrass plant study. J. Sustain. Agric. Environ. 2023, 2, 500–512. [Google Scholar] [CrossRef]
- Magurran, A. Measuring Biological Diversity; Oxford University Press: Oxford, UK, 2011. [Google Scholar]









| Level | Shannon-Wiener Index | Dominant Species | Subdominant Species | Number of Plants | Species Richness |
|---|---|---|---|---|---|
| L | 0.43 | Larix olgensis A. Henry | - | 29 | 4 |
| 0.47 | Quercus mongolica Fisch. ex Ledeb. | - | 21 | 3 | |
| 0.50 | Quercus mongolica Fisch. ex Ledeb. | - | 23 | 4 | |
| 0.53 | Pinus sylvestris var. mongolica Litv. | - | 52 | 5 | |
| M | 1.04 | Pinus sylvestris var. mongolica Litv. | - | 22 | 4 |
| 1.05 | Pinus tabuliformis var. mukdensis Uyeki | - | 31 | 4 | |
| 1.15 | Pinus koraiensis Siebold & Zucc. | - | 28 | 6 | |
| 1.22 | Pinus sylvestris var. mongolica Litv. | Pinus koraiensis Siebold & Zucc. | 14 | 5 | |
| H | 1.79 | Pinus sylvestris var. mongolica Litv. | Acer mono Maxim. | 43 | 12 |
| 1.82 | Pinus sylvestris var. mongolica Litv. | Acer mono Maxim. | 46 | 9 | |
| 1.82 | Quercus mongolica Fisch. ex Ledeb. | Tilia mandshurica Rupr. & Maxim. | 54 | 9 | |
| 1.87 | Pinus koraiensis Siebold & Zucc. | Ulmus pumila L. | 31 | 9 |
Disclaimer/Publisher’s Note: The statements, opinions and data contained in all publications are solely those of the individual author(s) and contributor(s) and not of MDPI and/or the editor(s). MDPI and/or the editor(s) disclaim responsibility for any injury to people or property resulting from any ideas, methods, instructions or products referred to in the content. |
© 2025 by the authors. Licensee MDPI, Basel, Switzerland. This article is an open access article distributed under the terms and conditions of the Creative Commons Attribution (CC BY) license.
Share and Cite
Song, Y.-H.; Xu, F.-B.; Wang, M.-H.; Xie, Y.-B.; Tian, L.-M.; Lv, C.-X.; Zhang, X.-W.; Guo, Z.-M.; Zhang, D. Plant Species Diversity Improves Soil Physicochemical Traits and Modulates Soil Microbial Community Structure, with a Pronounced Enhancement of Fungal Diversity in Urban Forests. Plants 2026, 15, 79. https://doi.org/10.3390/plants15010079
Song Y-H, Xu F-B, Wang M-H, Xie Y-B, Tian L-M, Lv C-X, Zhang X-W, Guo Z-M, Zhang D. Plant Species Diversity Improves Soil Physicochemical Traits and Modulates Soil Microbial Community Structure, with a Pronounced Enhancement of Fungal Diversity in Urban Forests. Plants. 2026; 15(1):79. https://doi.org/10.3390/plants15010079
Chicago/Turabian StyleSong, Yu-Hang, Fan-Bing Xu, Ming-Hui Wang, Yuan-Bo Xie, Li-Ming Tian, Cai-Xia Lv, Xi-Wen Zhang, Zi-Ming Guo, and Dan Zhang. 2026. "Plant Species Diversity Improves Soil Physicochemical Traits and Modulates Soil Microbial Community Structure, with a Pronounced Enhancement of Fungal Diversity in Urban Forests" Plants 15, no. 1: 79. https://doi.org/10.3390/plants15010079
APA StyleSong, Y.-H., Xu, F.-B., Wang, M.-H., Xie, Y.-B., Tian, L.-M., Lv, C.-X., Zhang, X.-W., Guo, Z.-M., & Zhang, D. (2026). Plant Species Diversity Improves Soil Physicochemical Traits and Modulates Soil Microbial Community Structure, with a Pronounced Enhancement of Fungal Diversity in Urban Forests. Plants, 15(1), 79. https://doi.org/10.3390/plants15010079
