Biosynthesis and Its Regulatory Mechanisms of 2-(2-Phenylethyl)chromones in Agarwood
Abstract
1. Introduction
2. Structure and Function of PEC
2.1. FDC-Type
2.2. ATC-Type
2.3. OAC-Type
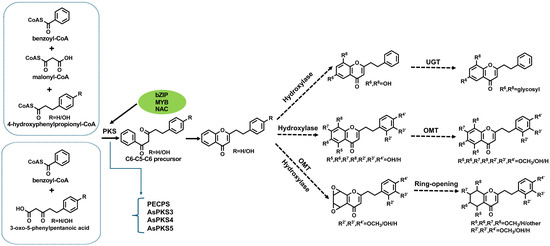
3. Biosynthetic Pathways of PEC
4. Regulation of PEC Biosynthesis
5. Application of Multi-Omics in Agarwood
6. Conclusions and Perspective
Author Contributions
Funding
Conflicts of Interest
Abbreviations
| PECs | 2-(2-Phenylethyl)chromones |
| FDC-type | Flindersiachromones |
| OAC-type | Oxidoagarochromones |
| ATC-type | Agarotetrolchromones |
| AChE | Acetylcholinesterase |
| PDE | Phosphodiesterase |
| PKS | Polyketide synthase |
| OMTs | O-methylytransferases |
| PECPS | PECs precursor synthase |
| CYPs | Cytochrome P450 enzymes |
| TFs | Transcription factors |
| Bzip | Basic leucine zips |
| UPLC–ESI-QTOF-MS | Electrospray ionization mass spectrometry |
References
- Lei, Z.D.; Liu, D.L.; Zhao, Y.M.; Gao, X.X. A new 2-(2-phenylethyl)chromone from Aquilaria sinensis. Chem. Nat. Compd. 2018, 54, 30–33. [Google Scholar] [CrossRef]
- Li, Y.B.; Sheng, N.; Wang, L.L.; Li, S.J.; Chen, J.N.; Lai, X.P. Analysis of 2-(2-phenylethyl)chromones by UPLC-ESI-QTOF-MS and multivariate statistical methods in wild and cultivated agarwood. Int. J. Mol. Sci. 2016, 17, 771. [Google Scholar] [CrossRef]
- Wang, S.; Yu, Z.X.; Wang, C.H.; Wu, C.M.; Guo, P.; Wei, J.H. Chemical constituents and pharmacological activity of agarwood and Aquilaria plants. Molecules 2018, 23, 342. [Google Scholar]
- Liao, G.; Mei, W.L.; Dong, W.H.; Li, W.; Wang, P.; Kong, F.D.; Gai, C.J.; Song, X.Q.; Dai, H.F. 2-(2-Phenylethyl)chromone derivatives in artificial agarwood from Aquilaria sinensis. Fitoterapia 2016, 110, 38–43. [Google Scholar] [CrossRef]
- National Pharmacopoeia Commission. Chinese Pharmacopoeia; Beijing China Medical Science and Technology Press: Beijing, China, 2010. [Google Scholar]
- Li, W.; Cai, C.H.; Dong, W.H.; Guo, Z.K.; Wang, H.; Mei, W.L. 2-(2-Phenylethyl)chromone derivatives from Chinese agarwood induced by artificial holing. Fitoterapia 2014, 98, 117–123. [Google Scholar]
- Yu, M.; Liu, Y.Y.; Feng, J.; Chen, D.L.; Yang, Y.; Liu, P.W.; Yu, Z.X.; Wei, J.H. Remarkable phytochemical characteristics of Chi-Nan agarwood induced from new-found Chi-Nan germplasm of Aquilaria sinensis compared with ordinary agarwood. Int. J. Anal. Chem. 2021, 5593730, 10. [Google Scholar] [CrossRef] [PubMed]
- Wu, Z.Q.; Liu, W.Z.; Li, J.; Yu, L.W.; Lin, L. Dynamic analysis of gene expression and determination of chemicals in agarwood in Aquilaria sinensis. J. For. Res. 2020, 31, 1833–1841. [Google Scholar]
- Xia, B.; Li, J.R.; Yang, D.L.; Mei, W.L.; Ding, L.S.; Zhou, Y. A rapid and highly specific method to evaluate the presence of 2-(2-phenylethyl) chromones in agarwood by supercritical fluid chromatography-mass spectrometry. Eur. J. Mass Spectrom. 2014, 20, 395–402. [Google Scholar] [CrossRef]
- Wang, X.H.; Gao, B.W.; Liu, X.; Dong, X.J.; Zhang, Z.X.; Fan, H.Y.; Zhang, L.; Wang, J.; Shi, S.P.; Tu, P.F. Salinity stress induces the production of 2-(2-phenylethyl)chromones and regulates novel classes of responsive genes involved in signal transduction in Aquilaria sinensis calli. BMC Plant Biol. 2016, 16, 119. [Google Scholar]
- Xia, L.L.; Li, W.; Wang, H.; Chen, H.Q.; Cai, C.H.; Yang, L.; Jiang, B.; Yang, Y.L.; Mei, W.L.; Dai, H.F. LC-MS guided identification of dimeric 2-(2-phenylethyl)chromones and sesquiterpene-2-(2-phenylethyl)chromone conjugates from agarwood of Aquilaria crassna and their cytotoxicity. Fitoterapia 2019, 138, 104349. [Google Scholar]
- Patil, V.M.; Masand, N.; Verma, S.; Masand, V. Chromones: Privileged scaffold in anticancer drug discovery. Chem. Biol. Drug Des. 2021, 98, 943–953. [Google Scholar] [CrossRef]
- Li, C.G.; Pan, L.; Han, Z.Z.; Xie, Y.Q.; Hu, H.J.; Liu, X.L.; Wu, L.H.; Yang, L.; Wang, Z.T. Antioxidative 2-(2-phenylethyl)chromones in Chinese eaglewood from Aquilaria sinensis. J. Asian Nat. Prod. Res. 2020, 22, 639–646. [Google Scholar] [CrossRef] [PubMed]
- He, Q.; Hu, D.B.; Zhang, L.; Xia, M.Y.; Yan, H.; Li, X.N.; Luo, J.F.; Wang, Y.S.; Yang, J.H.; Wang, Y.H. Neuroprotective compounds from the resinous heartwood of Aquilaria sinensis. Phytochemistry 2021, 181, 112554. [Google Scholar] [CrossRef]
- Yang, L.; Qiao, L.R.; Xie, D.; Yuan, Y.H.; Chen, N.H.; Dai, J.G.; Guo, S.X. 2-(2-Phenylethyl)chromones from Chinese eaglewood. Phytochemistry 2012, 76, 92–97. [Google Scholar] [CrossRef]
- Liao, G.; Dong, W.H.; Yang, J.L.; Li, W.; Wang, J.; Mei, W.L.; Dai, H.F. Monitoring the chemical profile in agarwood formation within one year and speculating on the biosynthesis of 2-(2-phenylethyl)chromones. Molecules 2018, 23, 1261. [Google Scholar] [CrossRef]
- Li, W.; Chen, H.Q.; Wang, H.; Mei, W.L.; Dai, H.F. Natural products in agarwood and Aquilaria plants: Chemistry, biological activities and biosynthesis. Nat. Prod. Rep. 2021, 38, 528–565. [Google Scholar] [CrossRef]
- Xiao, M.J.; Gao, Z.H.; Wei, J.H. Advances in research on bioactivity and biosynthesis of 2-(2-phenylethyl) chromones. Chin. Pharm. J. 2019, 054, 1909–1918. [Google Scholar]
- Ahn, S.; Ma, C.T.; Choi, J.M.; An, S.; Lee, M.; Le, T.H.V.; Pyo, J.J.; Lee, J.; Choi, M.S.; Kwon, S.W.; et al. Adiponectin-secretion-promoting phenylethylchromones from the agarwood of Aquilaria malaccensis. J. Nat. Prod. 2019, 82, 259–264. [Google Scholar] [CrossRef] [PubMed]
- Wang, X.H.; Gao, B.W.; Nakashima, Y.; Mori, T.; Zhang, Z.X.; Kodama, T.; Lee, Y.E.; Zhang, Z.K.; Wong, C.P.; Liu, Q.Q.; et al. Identification of a diarylpentanoid-producing polyketide synthase revealing an unusual biosynthetic pathway of 2-(2-phenylethyl) chromones in agarwood. Nat. Commun. 2022, 13, 348. [Google Scholar] [CrossRef]
- Xiao, M.J.; Wang, B.B.; Feng, Y.N.; Sun, P.W.; Rong, M.; Liu, Y.Y.; Chen, D.L.; Lv, F.F.; Gao, Z.H.; Wei, J.H. Three candidate 2-(2-phenylethyl)chromone- producing type III polyketide synthases from Aquilaria sinensis (Lour.) Gilg have multifunctions synthesizing benzalacetones, quinolones and pyrones. Ind. Crops Prod. 2022, 186, 115263. [Google Scholar] [CrossRef]
- Wang, X.H.; Zhang, Z.X.; Dong, X.J.; Feng, Y.Y.; Liu, X.; Gao, B.W.; Wang, J.L.; Zhang, L.; Wang, J.; Shi, S.P.; et al. Identification and functional characterization of three type III polyketide synthases from Aquilaria sinensis calli. Biochem. Biophys. Res. Commun. 2017, 486, 1040–1047. [Google Scholar]
- Das, A.; Begum, K.; Akhtar, S.; Ahmed, R.; Tamuli, P.; Kulkarni, R.; Banu, S. Genome-wide investigation of Cytochrome P450 superfamily of Aquilaria agallocha: Association with terpenoids and phenylpropanoids biosynthesis. bioRxiv-Plant Biol. 2023, 234, 123758. [Google Scholar] [CrossRef]
- Okudera, Y.; Ito, M. Production of agarwood fragrant constituents in Aquilaria calli and cell suspension cultures. Plant Biotechnol. 2009, 26, 307–315. [Google Scholar]
- Yang, J.L.; Dong, W.H.; Kong, F.D.; Liao, G.; Wang, J.; Li, W.; Mei, W.L.; Dai, H.F. Characterization and analysis of 2-(2-phenylethyl)-chromone derivatives from agarwood (Aquilaria crassna) by artificial holing for different times. Molecules 2016, 21, 911. [Google Scholar] [CrossRef] [PubMed]
- Khadem, S.; Marles, R.J. Chromone and flavonoid alkaloids: Occurrence and bioactivity. Molecules 2012, 17, 191–206. [Google Scholar]
- Chen, X.D.; Zhu, X.L.; Feng, M.R.; Zhong, Z.J.; Zhou, X.; Chen, X.Y.; Ye, W.; Zhang, W.M.; Gao, X.X. Relationship between expression of chalcone synthase genes and chromones in artificial agarwood induced by formic acid stimulation combined with Fusarium sp. A2 inoculation. Molecules 2017, 22, 686. [Google Scholar] [CrossRef]
- Mi, X.Y.; Feng, Y.Y.; Guan, F.Y.; Zheng, Y.Y.; Qiu, H.L.; Gao, B.W.; Wang, B.W.; Liu, X.; Wang, J.; Tu, P.F.; et al. Overexpression of plant polyketide synthase AsPECPS from Aquilaria sinensis enhances the tolerance of the transgenic Nicotiana benthamiana to salt stress and ABA treatment. Plant Cell Tissue Organ Cult. 2024, 157, 8. [Google Scholar]
- Ding, X.P.; Wang, H.; Huang, S.Z.; Zhang, H.; Chen, H.Q.; Chen, P.W.; Wang, Y.G.; Yang, Z.; Wang, Y.L.; Peng, S.Q.; et al. Molecular evolution and characterization of type III polyketide synthase gene family in Aquilaria sinensis. Plant Physiol. Biochem. 2024, 210, 108571. [Google Scholar]
- Yang, Y.; Zhu, J.H.; Zeng, J.; Mei, W.L.; Dai, H.F.; Peng, S.Q. Cloning and expression analysis of AsOMT1 gene in Aquilaria sinensis. Plant Physiol. J. 2023, 59, 200–208. [Google Scholar]
- Wu, W.L.; Yan, T.T.; Sun, X.C.; Wilson, I.; Li, G.Y.; Hong, Z.; Shao, F.J.; Qiu, D.Y. Identification and characterization of two O-methyltransferases involved in biosynthesis of methylated 2-(2-phenethyl)chromones in agarwood. J. Exp. Bot. 2024, 75, 3452–3466. [Google Scholar]
- Wang, B.B.; Hai, Y.; Zhang, L.; Zhang, M.L.; Ding, N.; Fan, J.P.; Zhang, B.B.; Zhang, Z.K.; Wang, J.; Wang, X.H.; et al. Identification of O-methyltransferases potentially contributing to the structural diversity of 2-(2-phenylethyl)chromones in agarwood. J. Agric. Food Chem. 2024, 72, 13297–13307. [Google Scholar] [PubMed]
- Wang, Y.X.; Huang, W.Q.; Tian, W.S.; Mo, T.; Yan, Y.R.; Cui, X.X.; Liu, X. Enzymatic biosynthesis of novel 2-(2-phenylethyl)chromone glycosides catalyzed by UDP-glycosyltransferase UGT71BD1. Biochem. Biophys. Res. Commun. 2023, 671, 80–86. [Google Scholar] [PubMed]
- Dong, X.J.; Gao, B.W.; Feng, Y.Y.; Liu, X.; Wang, J.; Wang, J.L.; Tu, P.F.; Wang, X.H.; Shi, S.P. Production of 2-(2-phenylethyl)chromones in Aquilaria sinensis calli under different treatments. Plant Cell, Tissue Organ Cult. 2018, 135, 53–62. [Google Scholar]
- Zhao, T.; Zhou, Y.; Li, W.Y.; Ma, X.Y.; Zhan, R.T.; Chen, W.W. Experimental induction of 2-(2-phenylethyl) chromone in aerial roots of Aquilaria sinensis. Pak. J. Bot. 2019, 51, 1645–1651. [Google Scholar]
- Tan, C.S.; Isa, N.M.; Ismail, I.; Zainal, Z. Agarwood induction: Current developments and future perspectives. Front. Plant Sci. 2019, 10, 122. [Google Scholar]
- Ma, S.; Fu, Y.L.; Li, Y.J.; Wei, P.L.; Liu, Z.G. The formation and quality evaluation of agarwood induced by the fungi in Aquilaria sinensis. Ind. Crops Prod. 2021, 173, 114129. [Google Scholar]
- Grotewold, E. Plant metabolic diversity: A regulatory perspective. Trends Plant Sci. 2005, 10, 57–62. [Google Scholar]
- Zhang, H.; Ding, X.P.; Wang, H.; Chen, H.Q.; Dong, W.H.; Zhu, J.H.; Wang, J.; Peng, S.Q.; Dai, H.F.; Mei, W.L. Systematic evolution of bZIP transcription factors in Malvales and functional exploration of AsbZIP14 and AsbZIP41 in Aquilaria sinensis. Front. Plant Sci. 2023, 14, 1243323. [Google Scholar]
- Dröge-Laser, W.; Weiste, C. The C/S1 bZIP network: A regulatory hub orchestrating plant energy homeostasis. Trends Plant Sci. 2018, 23, 422–433. [Google Scholar]
- Yang, Y.; Zhu, J.H.; Wang, H.; Guo, D.; Wang, Y.; Mei, W.L.; Peng, S.Q.; Dai, H.F. Systematic investigation of the R2R3-MYB gene family in Aquilaria sinensis reveals a transcriptional repressor AsMYB054 involved in 2-(2-phenylethyl)chromone biosynthesis. Int. J. Biol. Macromol. 2023, 244, 125302. [Google Scholar]
- Vranová, E.; Coman, D.; Gruissem, W. Structure and dynamics of the isoprenoid pathway network. Mol. Plant. 2012, 5, 318–333. [Google Scholar]
- Yang, Z.; Mei, W.L.; Wang, H.; Zeng, J.; Dai, H.F.; Ding, X.P. Comprehensive analysis of NAC Transcription Factors Reveals Their Evolution in Malvales and Functional Characterization of AsNAC019 and AsNAC098 in Aquilaria sinensis. Int. J. Mol. Sci. 2023, 24, 17384. [Google Scholar]
- Mei, W.L.; Zuo, W.J.; Yang, D.L.; Dong, W.; Dai, H.F. Advances in the mechanism, artificial agarwood-induction techniques and chemical constituents of artificial agarwood production. Chin. J. Trop. Crops 2013, 34, 2513–2520. (In Chinese) [Google Scholar]
- Yan, T.T.; Yang, S.; Chen, Y.; Wang, Q.; Li, G.Y. Chemical profiles of cultivated agarwood induced by different techniques. Molecules 2019, 24, 1990. [Google Scholar] [CrossRef]
- Wu, W.L.; Sun, X.C.; Wilson, I.; Jiang, L.Y.; Jiang, X.Y.; Shao, F.J.; Qiu, D.Y. Effects of ferrous sulfate and methyl jasmonate treatment on the content of 2-(2-phenethyl)chromones in Aquilaria sinensis. Plant Cell Tissue Organ Cult. 2024, 156, 51. [Google Scholar]
- Nguyen, H.T.; Min, J.E.; Long, N.P.; Thanh, M.C.; Le, T.H.V.; Lee, J.; Park, J.H.; Kwon, S.W. Multi-platform metabolomics and a genetic approach support the authentication of agarwood produced by Aquilaria crassna and Aquilaria malaccensis. J. Pharm. Biomed. Anal. 2017, 142, 136–144. [Google Scholar] [PubMed]
- Ding, X.P.; Mei, W.L.; Lin, Q.; Wang, H.; Wang, J.; Peng, S.Q.; Li, H.L.; Zhu, J.H.; Li, W.; Wang, P.; et al. Genome sequence of the agarwood tree Aquilaria sinensis (Lour.) Spreng: The first chromosome-level draft genome in the Thymelaeceae family. GigaScience 2020, 9, giaa013. [Google Scholar]
- Nong, W.Y.; Law, S.T.S.; Wong, A.Y.P.; Baril, T.; Swale, T.; Chu, L.M.; Hayward, A.; Lau, D.T.W.; Hui, J.H.L. Chromosomal-level reference genome of the incense tree Aquilaria sinensis. Mol. Ecol. Resour. 2020, 20, 971–979. [Google Scholar]
- Xu, Y.H.; Zhang, Z.; Wang, M.X.; Wei, J.H.; Chen, H.J.; Gao, Z.H.; Sui, C.; Luo, H.M.; Zhang, X.L.; Yang, Y.; et al. Identification of genes related to agarwood formation: Transcriptome analysis of healthy and wounded tissues of Aquilaria sinensis. BMC Genom. 2013, 14, 227. [Google Scholar]
- Ye, W.; Wu, H.Q.; He, X.; Wang, L.; Zhang, W.M.; Li, H.H.; Fan, Y.F.; Tan, G.H.; Liu, T.M.; Gao, X.X. Transcriptome sequencing of chemically induced Aquilaria sinensis to identify genes related to agarwood formation. PLoS ONE 2016, 11, e0155505. [Google Scholar]
- Wang, X.H.; Dong, X.J.; Feng, Y.Y.; Liu, X.; Wang, J.L.; Zhang, Z.X.; Li, J.; Zhao, Y.F.; Shi, S.P.; Tu, P.F. H2O2 and NADPH oxidases involve in regulation of 2-(2-phenylethyl) chromones accumulation during salt stress in Aquilaria sinensis calli. Plant Sci. 2018, 269, 1–11. [Google Scholar] [PubMed]
- Ye, W.; Zhang, W.M.; Liu, T.M.; Zhu, M.Z.; Li, S.N.; Li, H.H.; Huang, Z.L.; Gao, X.X. iTRAQ-based auantitative proteomic analysis of chemically induced Aquilaria sinensis provides insights into agarwood formation mechanism. Proteomics 2018, 18, e1800023. [Google Scholar] [PubMed]



Disclaimer/Publisher’s Note: The statements, opinions and data contained in all publications are solely those of the individual author(s) and contributor(s) and not of MDPI and/or the editor(s). MDPI and/or the editor(s) disclaim responsibility for any injury to people or property resulting from any ideas, methods, instructions or products referred to in the content. |
© 2025 by the authors. Licensee MDPI, Basel, Switzerland. This article is an open access article distributed under the terms and conditions of the Creative Commons Attribution (CC BY) license (https://creativecommons.org/licenses/by/4.0/).
Share and Cite
Wu, W.; Jiang, X.; Jiang, L.; Wilson, I.; Shao, F.; Qiu, D. Biosynthesis and Its Regulatory Mechanisms of 2-(2-Phenylethyl)chromones in Agarwood. Plants 2025, 14, 1012. https://doi.org/10.3390/plants14071012
Wu W, Jiang X, Jiang L, Wilson I, Shao F, Qiu D. Biosynthesis and Its Regulatory Mechanisms of 2-(2-Phenylethyl)chromones in Agarwood. Plants. 2025; 14(7):1012. https://doi.org/10.3390/plants14071012
Chicago/Turabian StyleWu, Wenli, Xiaoyang Jiang, Luyuan Jiang, Iain Wilson, Fenjuan Shao, and Deyou Qiu. 2025. "Biosynthesis and Its Regulatory Mechanisms of 2-(2-Phenylethyl)chromones in Agarwood" Plants 14, no. 7: 1012. https://doi.org/10.3390/plants14071012
APA StyleWu, W., Jiang, X., Jiang, L., Wilson, I., Shao, F., & Qiu, D. (2025). Biosynthesis and Its Regulatory Mechanisms of 2-(2-Phenylethyl)chromones in Agarwood. Plants, 14(7), 1012. https://doi.org/10.3390/plants14071012

